Skip Content
You are currently on the new version of our website. Access the old version .
Applied SciencesApplied Sciences
  • Article
  • Open Access

15 November 2023

The Effect of Ultrasound and Pulsed Electric Field on the Osmotic Dehydration Process of Strawberries

,
,
,
,
and
1
Department of Food Biotechnology and Microbiology, Institute of Food Sciences, Warsaw University of Life Sciences—SGGW, Nowoursynowska 159c, 02-776 Warsaw, Poland
2
Department of Food Engineering and Process Management, Institute of Food Sciences, Warsaw University of Life Sciences—SGGW, Nowoursynowska 159c, 02-776 Warsaw, Poland
*
Authors to whom correspondence should be addressed.
This article belongs to the Special Issue Microorganisms in Foods and Food Processing Environments

Abstract

Currently, the demands of consumers are growing, and they expect safe and natural products of higher quality compared to products processed using thermal methods. Thermal treatment influences the sensory as well as quality and nutritional value of processed plant material. This results in the development of innovative, non-thermal methods of food preservation and processing. Hence, the study was conducted to examine how ultrasound (US) and pulsed electric field (PEF) affect the osmotic dehydration process of strawberries. An US treatment with a power of 400 W and a frequency of 24 kHz for 30 and 90 s and a PEF treatment were used, adopting the appropriate energy consumption of 1 and 2.5 kJ/kg. Then, strawberries after both processes were osmotically dehydrated in 0.5; 1, and 2 h at 30 °C. Dehydration was carried out in a 50% sucrose solution. Research findings have indicated that the pretreatment positively enhanced the efficiency of osmotic dehydration. An improvement in the dry weight gain rate was noted. Strawberries dehydrated with the use of pretreatment had similar or lower color values and the content of bioactive components compared to strawberries subjected to dehydration only. The material treated with the PEF turned out to be the softest. Significant differences in sugar content were noted in fruits after pretreatment. Sucrose levels increased, glucose levels decreased, and fructose remained at a comparable level.

1. Introduction

Osmotic dehydration is the method of partially removing water from plant tissue by using a hypertonic solution. Osmotic pressure serves as the driving force, promoting the exchange of mass between the substances. In this process, water migrates from the material into the osmotic solution, while the osmotic agent travels from the solution into the food [1,2]. A suitable osmotic substance should be easily soluble, relatively inexpensive, convenient, non-toxic, may have an additional preservative effect and be compatible with the material to be dewatered. Although the use of alternative substances containing, e.g., ingredients with high nutritional value (fruit concentrates) or ingredients with a low glycaemic index (polyols), is increasingly observed, the most common agent used for osmotic dehydration remains sucrose [3,4,5].
Osmotic dehydration is one of the food technology processes that consume the least energy. This is an important aspect from an environmental and economic point of view. The process preserves to a large extent the natural organoleptic and nutritional properties of the processed materials. Additionally, it allows plant tissues to be enriched with ingredients (polyphenols, anthocyanins, flavanols, procyanidins, vitamins) that are beneficial to humans’ health [6]. This non-thermal method provides great flexibility in the selection of raw materials and also enables the shaping of their taste profile, color, and flavor with increased amounts of health-promoting compounds. There is also the opportunity to produce functional and designer foods, which are characterized with special properties [7]. As a result, the range of potential industrial applications of this method increases significantly [2]. Moreover, integrating conventional methods like osmotic dehydration with cutting-edge non-thermal technologies, such as ultrasound or pulsed electric field, accelerates both mass and heat transfer. This approach facilitates the production of high-quality products [8].
Ultrasound treatment (US) is an energy-efficient, non-thermal technique that is used in the food sector [9]. The application of ultrasound in solid materials causes the formation of microscopic channels, accelerating the diffusion of water from within them. This is a process similar to the changes occurring in a sponge during its compression and relaxation, characterized by a series of rapid compressions and decompressions. The other phenomenon induced by ultrasound is cavitation. It causes a rapid increase in both pressure and temperature when cavitation bubbles burst and collapse. It mainly takes place at the solid–liquid interface, but this effect can also occur inside solid material containing water. The local high temperature and pressure can lead to damage of the cellular structure facilitating water removal [10,11]. The use of ultrasound as an enhancing process for non-thermal osmotic dehydration significantly affects the preservation of the homogeneous structure of the processed product by reducing the internal stress generated during the diffusion process. The texture of the raw material remains homogeneous, which affects the overall assessment of product quality [12]. Furthermore, the combination of ultrasound and osmotic dehydration can lead to acceleration on the drying process and obtaining a better quality of dried materials. Particularly, it may result in the lower shrinkage and higher rehydration capacity of the final dried foods [9].
Pulsed electric field (PEF) is another non-thermal food processing method based on the application of short repeated high voltage pulses to the food materials. It is distinguished by preserving food and causing less degradation in nutritional components than the traditional preservations techniques at the same time [13]. PEF technology enables an efficient use of energy with preservation of food taste, texture, aroma, color, and nutrients [14]. Changes in the structure of the product affected by the PEF occur due to the difference in dielectric constants between the cytoplasm, the surrounding liquid medium, and the cell membrane. The result is the creation of a transmembrane potential, inducing electrical breakdown of the membrane. The application of the PEF to the plasma membrane allows food preservation, inactivating microorganisms without having a detrimental effect on food quality. Furthermore, the PEF increases moisture removal during drying and can be used as a potential pretreatment to reduce food drying time. The primary factors influencing the efficacy of the PEF include electric field strength, temperature, pulse width, and pulse number [15]. Employing the PEF as a pretreatment in the osmotic dehydration process can improve the outflow of mass from the cells while largely preserving the structure of the food product matrix [16].
As a result of using non-thermal technologies such as ultrasound and PEF and osmotic dehydration processing, a decrease in microbial growth is also observed [17,18]. Studies have shown that the use of a PEF can reduce the number of bacteria by up to 10 log cycles. PEF treatment usage has the potential to deactivate pathogenic microorganisms associated with water and foodborne illnesses. Studies showed a reduction in Salmonella Typhimurium numbers by 4 log cycles for liquid products treated with a PEF (20 kV–900 μs). The use of a PEF causes the inactivation of microorganisms by creating nanometer-sized membrane pores in the microorganisms, which induce cell death [19,20]. The possibility of using ultrasound to improve the microbiological quality of plant raw materials has also been demonstrated [21]. It was found that US treatment decreased bacterial count by 0.4–1.5 log CFU/g in plum and 2 log cycles in strawberries, while the reduction in Salmonella Enteritidis on lettuce was possible by up to 5.7 log cycles [22,23]. The action of ultrasound mainly involves the destruction of the cell wall and membrane of microorganisms and depends on the process conditions related to frequency, power, and temperature. Moreover, the effect of ultrasound on bacterial spores is less destructive than on vegetative cells [21,24,25]. A smaller impact on the reduction in microorganisms is observed when osmotic dehydration is used [26]. A decrease of 1–2 log cycles in the overall bacterial count was noted when dehydrating potatoes in a 50 °Brix sucrose solution. Employing a 75% sucrose concentration for osmotic dehydration of berries at a temperature of 40 °C caused a complete reduction in E. coli, L. monocytogenes, S. enterica, and a slight reduction in Enterococcus faecium. The mechanism of the antimicrobial action of this process is probably the effect of washing microorganisms from the surface of the raw material. Increasing the osmotic dehydration temperature may result in a greater reduction in microorganisms [26]. Thus, combining the non-thermal treatments with osmotic dehydration process can positively effect on the final food quality.
The strawberries are appreciated for their nutritional value, offering numerous health benefits. These berries are rich in polyphenols, folate, and essential vitamins such as C, A, and E. They also contain carotenoids like lutein and zeaxanthin, as well as a wealth of antioxidants and vital micronutrients, including potassium, iodine, magnesium, copper, iron, and phosphorus [27]. Furthermore, strawberries are known for their anti-inflammatory, antimicrobial, anti-allergic, anti-hypertensive, anti-cancer, and anti-chronic properties [28]. Unfortunately, the strawberries have a limited shelf life ca. 1 day, and thus they undergo a range of technological treatments, predominantly freezing, and are also transformed into jams or beverages [6]. The quality alterations have been documented during the processes of freezing, thawing, cooking, drying, and other preservation methods. Thermal treatment influences the sensory as well as quality and nutritional value of processed plant material [29,30]. Due to this, the study aimed to investigate the effect of ultrasounds and pulsed electric field on the osmotic dehydration process of strawberries, with analysis of their physical (brix, color, texture) and chemical properties (water content and water activity, total polyphenols content, total anthocyanins content, vitamin C content, antioxidant activity, sugars content) as well as microbial stability. The application of the non-thermal pretreatment e.g., US or PEF before the osmotic dehydration process can influence the quality (e.g., bioactive compound, color, texture) of the strawberries and can be treated as hurdle technologies, which will be helpful with the eliminating or controlling pathogens in food products.

2. Materials and Methods

2.1. Material

Fresh organic strawberries Granda Rosa were obtained from an ecological strawberry farm (Magnuszewo, Masovian Voivodeship, Poland) and stored at 5 °C until the moment of the experiment (no longer than 24 h). Fruits of similar size and color, without any mechanical damage, were removed from their calyx, washed with tap water, and treated with ultrasound and pulsed electric field treatment. After pretreatment, the material was sliced into 5 mm-thick pieces and underwent osmotic dehydration.

2.2. Technological Methods

2.2.1. Pretreatment

Ultrasound Treatment Process (US)

The experimental setup utilized an ultrasonic processor, the UP 400S model (400 W, 24 kHz, Hielscher GmbH, Stuttgart, Germany) connected with a 22 mm cylindrical titanium horn tip. A total of 50 g of strawberries was placed in the glass beaker and filled with tap water to a volume of 250 mL. The amplitude was fixed at 100% and the processing time was 30 (US1) and 90 s (US2). The sonotrode was submerged to a depth of 4 cm beneath the water’s surface [31]. The temperature of the process was 25 °C and it was maintained during the processing with the use of another beaker with cold water with ice. The US treatment was conducted at least in duplicate.

Pulsed Electric Field Treatment Process (PEF)

The PEF treatment was conducted using a PEF Pilot™ Dual unit (Elea GmbH, Quakenbrück, Germany). The voltage that was generated by the device was 24 kV. The system delivered 20 Hz rectangular pulses with a 7 µs wide monopolar signal. In the application chamber, 50 g of strawberries was positioned and then gently doused with tap water possessing a conductivity of 220 μS/cm at a temperature of 21 ± 2 °C. The material-to-water ratio remained consistent at 1:19. The distance between the electrodes was 12 cm [32]. The delivered energy (kJ/kg) was 1 (PEF1) and 2.5 kJ/kg (PEF2) (energy was controlled by changing the number of delivered pulses). The electric field strength was equal to 1.07 kV/cm. The experiment was performed in duplicate.

2.2.2. Osmotic Dehydration Process (OD)

Weighted strawberry slices were placed in 300 mL glass beakers and poured with 50% sucrose solution in a 1:4 ratio. The procedure was conducted within a laboratory water bath with continuous linear agitation (VWR model VLSB12, Darmstadt, Germany) at 30 °C for 30, 60, and 120 min. After an osmotic dehydration process, the filter paper was used to blot away any extra solution present on the slice surfaces. Then, the samples were weighted and the extract content (measured in °Brix) was assessed using a handheld refractometer PAL-3 (Atago Instruments, Tokyo, Japan) [33]. The experiment was performed in duplicate. All the parameters and abbreviations for the samples are presented in Table 1.
Table 1. Osmotic dehydrated samples of strawberries with the use of different parameters of ultrasound (US) and pulsed electric field (PEF) treatments.
The kinetics of osmotic dehydration of kiwi was analyzed based on mass loss Δ M t o (kg/kg), water loss Δ M t w (kg H2O/kg), and solid gain Δ M t S T (kg/kg) using following equation [34]:
Δ M t o = ( m 0 m t ) m 0 ,
Δ M t w = ( m 0 X 0 w m t X t w ) m 0 ,
Δ M t S T = ( m t X t S T m 0 X 0 S T ) m 0 ,
where:
  • m0—initial weight of strawberries before osmotic dehydration (kg),
  • mt—final weight of strawberries after osmotic dehydration (kg),
  • X 0 w , X 0 S T —water and dry matter content before osmotic dehydration (kg/kg),
  • X t w , X t S T —water and dry matter content after osmotic dehydration (kg/kg).

2.3. Analitical Methoods

2.3.1. Water Content

The gravimetric technique was employed to ascertain the moisture content in both fresh and dehydrated strawberries [35]. The material cut in small pieces was subjected to drying in a laboratory dryer (SLW 115 STD, Pol-Eko-Aparatura, Wodzisław-Śląski, Poland) at 70 °C for 24 h. The samples were analyzed in triplicate.

2.3.2. Microbiological Analysis

A total of 10 g of the processed sample was taken, diluted in physiological saline, and then homogenized. A series of dilutions of the homogenate was prepared and transferred deep into the PCA medium (Biomaxima, Lublin, Poland), where the total count of microorganisms (TVC) and DRBC and the total count of yeasts and molds (TYM) were determined (Biomaxima, Lublin, Poland). The samples were incubated at 30 °C for 72 h for the TVC determination and at 25 °C for the TYM determination. Subsequently, the developed colonies were enumerated using the ProtoCOL 3 system, an automatic colony counting and zone measuring tool (Synbiosis in Frederick, MD, USA). The outcome was expressed as log10 CFU/g of the product. The samples were analyzed in triplicate [36]. To evaluate the microbial stability, the same microbiological analysis was conducted after 7 days of storage in temperature 10 °C in a laboratory thermostat (Q-CELL, POL-LAB, Wilkowice, Poland) at an RH of 58–63% [37].

2.3.3. Physical Properties (Color, Texture)

The color was measured by the reflectance method (Konica Minolta CR-5 colorimeter, Konica Minolta, Tokyo, Japan). Color parameters were recorded in the L*a*b* system where L* represents brightness, encompassing the scale from 0 (black) to 100 (white), a* share of green/red color, b* share of blue/yellow color. A standard D65 light source, a 2° observer, di:8 geometry, and a measuring slit with a diameter of 3 mm were used for the measurement. Before performing the test, the device was calibrated using a white and black standard. At least 10 replicates were performed for each sample. For the material subjected to osmotic dehydration, the total color difference ΔE was considered in relation to the fresh material [38].
Texture analysis was conducted by subjecting the samples to compression test, using the TA-XT2i Texture Analyzer (StableMicro Systems, Surrey, UK) equipped with a cylindrical 75 mm diameter platen, at room temperature (22 ± 2 °C). The compression process was monitored and recorded using the computer program (Texture Export). The strawberries underwent compression at a consistent speed of 20 mm/min, resulting in a 25% reduction in their initial height. The parameters were evaluated as Fmax (maximum force) and the work required for compression of the subjected samples was determined. The testing was performed with a minimum of 15 replicates for each sample [39].

2.3.4. Determination of Bioactive Compounds

Extract Preparation

Samples for chemical analyses were subjected to a freeze-drying process (30 °C, 0.630 mPa, 48 h). Then, the material was crushed in an analytical mill (IKA A11 basic; IKA-Werke GmbH, Staufen, Germany). Extraction was carried out using a solution of 80% ethyl alcohol and 0.1 M hydrochloric acid in the ratio of 85:15, v/v) on an orbital shaker (Multi Reax, Heidolph Instruments, Schwabac, Germany) for 12 h at 18 °C. The solution underwent centrifugation, and the resulting supernatant was carefully transferred to 0.2 mL PRC tubes. This extract was employed to assess the total phenols content (TPC), total anthocyanins content (TAC), and total antioxidant capacity. Two separate extracts were prepared for each sample.

Total Polyphenols Content (TPC)

A total of 10 µL of extract was placed on a 96-well plate and diluted twice with distilled water. A total of 40 µL of Folin–Ciocalteu reagent was added to the solution, and after 3 min 250 µL of supersaturated calcium carbonate was added also. The reaction was carried out for 60 min at 25 °C. The total polyphenolic content was quantitatively assessed through the measurement of absorbance in the reaction mixture at a 750 nm wavelength on multiplate spectrophotometer (Multiskan Sky, Thermo Electron Co., Waltham, MA, USA), with reference to a calibration curve established for chlorogenic acid within the range of 0 to 100 µg/mL [40]. The analysis was performed in duplicate.

Total Anthocyanins Content (TAC)

The total anthocyanin content was determined spectrophotometrically by the pH differential method. A total of 30 µL of the extract was mixed with two buffers (pH 1 and pH 4.5) in an amount of 135 µL. After 20 min of incubation at 25 °C, the absorbance was measured against the reagent blank using a plate reader (wavelength: 510 and 700 nm). The analysis was conducted three times. The measurement was reported as milligrams of cyanide-3-glucoside per gram of dry mass (mg/g d.m.) [41]. The analysis was performed twice.

Vitamin C Content

The vitamin C content was assessed via ultra-performance liquid chromatography (UPLC) using a Waters H-Class UPLC system and a photodiode array (PAD) detector (Waters, Milford, MA, USA) [42]. Approximately 0.05 g of material was extracted with a 10 mL chilled solution composed of 3% metaphosphoric acid, 8% acetic acid, and 1 mM EDTA) for 10 min, followed by centrifugation at 5 °C for 5 min. The obtained supernatant was subsequently filtered through a syringe filter (0.2 μm, GHP Acrodisc, Pall Corporation, Port Washington, NY, USA). Following a 2-fold dilution with the eluent, it was prepared for analysis. The separation procedure was carried out using a Waters HSS T3 C18 column (100 mm × 2.1 mm, 1.8 μm) at a temperature of 35 °C, with a mobile phase flow rate of 0.25 mL/min (consisting of 0.1% formic acid in Milli-Q water). The quantification of ascorbic acid content was accomplished by examining the spectrum at 245 nm and using a calibration curve established with the L (-) ascorbic acid standard. Each sample was analyzed in duplicate.

Antioxidant Activity with DPPH and ABTS Radicals (AA)

The antioxidant activities of strawberries samples were measured by Trolox equivalent antioxidant capacity assay, based on the ability of the antioxidants in the sample to scavenge the colored radical compared to the ability of the antioxidant vitamin E analog (Trolox) to scavenge radical. A solution of the green monocation radical 2,2′-azinobis-(3-ethylbenzothiazoline-6-sulfonic acid) (19.2 mg ABTS + 3.3 mg K2S2O8 + 5 mL H2O) and the purple radical diphenylpicrylhydrazyl (25 mg DPPH + 100 mL CH₃OH) was prepared. Immediately before analysis, the solutions were diluted to obtain absorbance on the spectrophotometer in the range of 0.680–0.720 AU, at wavelengths of 734, 515 nm, suitable for ABTS and DPPH. A total of 2 µL of the extract was measured into a 96-well plate, and 8 µL of 80% ethanol and 250 µL of the radical solution were added. After 6 min, the absorbance was measured for the ABTS radical at a wavelength of 734 nm, and after 60 min for the DPPH radical at a wavelength of 515 nm [43]. The absorbance of the radical working solutions was monitored. The results were expressed in milligrams of Trolox per gram of dried material. Two separate analyses were conducted for each extract.

2.3.5. Sugars Content

Sugar content was determined utilizing a high-performance liquid chromatography (HPLC) system featuring a refractive index (RI) detector (Waters, Milford, MA, USA). The separation took place on a calcium cation exchange Sugar-Pak I column, which was maintained at 90 °C, with a mobile phase consisting of Milli-Q water flowing at a rate of 0.6 mL/min [44]. To prepare the samples, approximately 0.3 g of material was diluted with 10 mL of Milli-Q hot water (80 °C) and extracted for 4 h. The solution underwent centrifugation for 5 min, after which it was filtered through a syringe filter (Millex-FG, 0.20 μm, 25 mm, Millipore, Milford, MA, USA). The quantitative determination of the analytes was based on calibration curves prepared using standard solutions of sucrose, glucose, fructose, and maltitol. Each analysis was performed twice.

2.3.6. Statistical Analysis

A one-way ANOVA was utilized to investigate how the osmotic dehydration process was affected by ultrasound and pulsed electric field pretreatment. The Tukey procedure was used to analyze detailed comparisons with a significance level of α = 0.05. The analysis was performed in the Statistica program (version 13, StatSoft Inc., Tulsa, OK, USA).

3. Results and Discussion

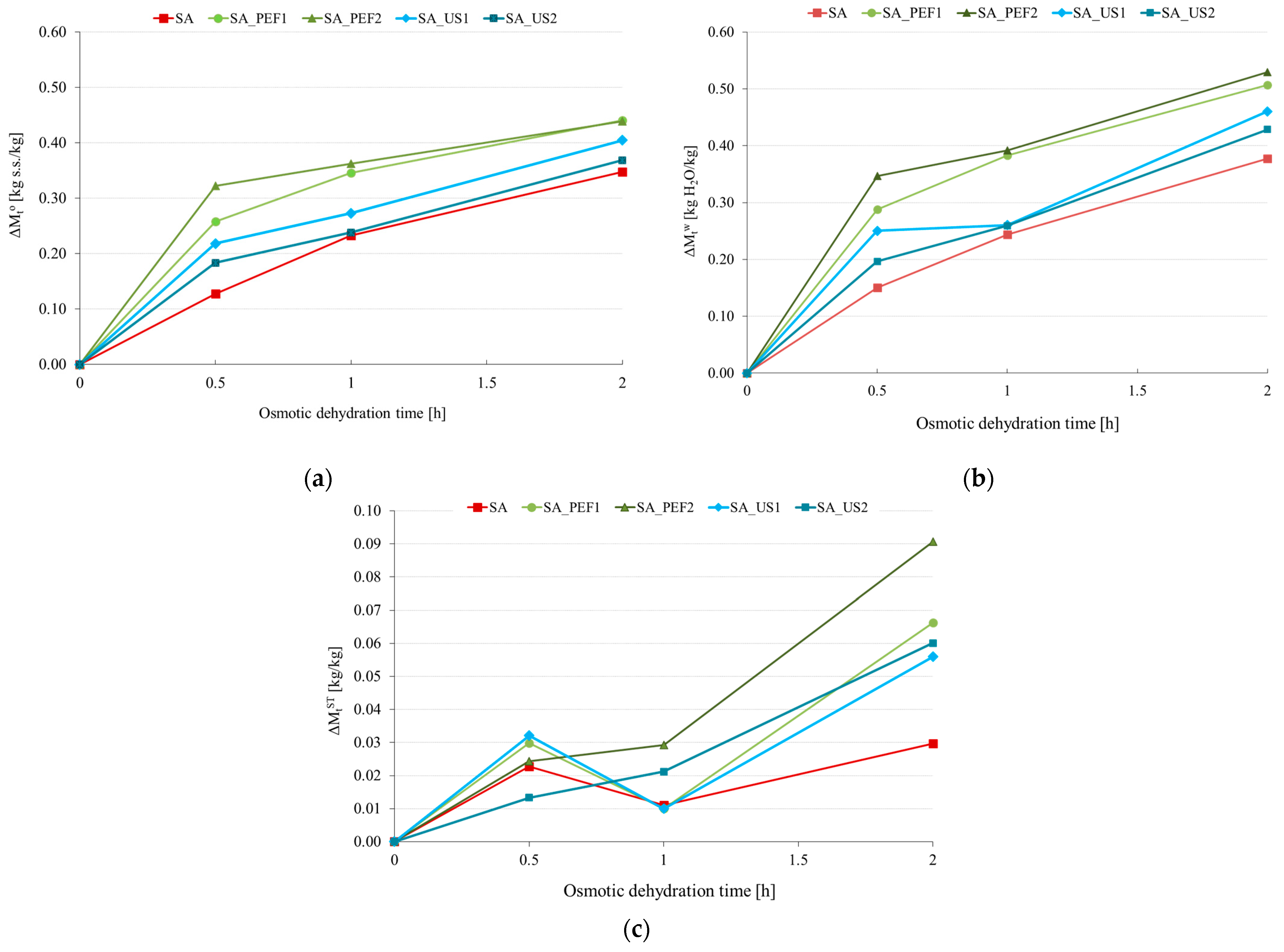
3.1. The Influence of US or PEF Pretreatment on the Kinetics of the Strawberry Osmotic Dehydration Process

The time-dependent behavior of the osmotic dehydration process for strawberries was analyzed. This analysis considered scenarios with no pretreatment, as well as those involving ultrasound or PEF pretreatments. The evaluation involved parameters like mass loss, water loss, and solid gain (Figure 1). The most intensive mass transfer was observed during the first 30 min regardless of the pretreatment used. Ma et al. [11], who conducted osmotic dehydration of kiwi fruit with or without ultrasound-assisted osmotic dehydration (40 kHz, 80 kHz, 40 + 80 kHz with intensity of 25 W/L, 50 W/L, 75 W/L), also observed that the highest mass transfer occurred in the early stage of the process. This trend was attributed to the initial stage of the process, where there exists a substantial osmotic pressure difference between the osmo-dehydrated material and the surrounding solution, and this difference gradually diminishes over time [45]. It was found that mass loss and water loss were highest in the case of using a PEF pretreatment with an energy of 2.5 kJ/kg, and then 1 kJ/kg, regardless of the osmotic dehydration time used. This is related to the mechanism of the PEF. The PEF causes electroporation of the plant tissue cell membrane, which leads to an increase in osmotic efficiency [46,47,48]. The effect of the PEF pretreatment on the enhancement of mass transfer during osmotic dehydration has been also observed in previous studies [16,49,50]. Furthermore, it is worth noting that the application of ultrasound, independently of its duration, resulted in less mass loss and water loss compared to a PEF treatment, but more than in the case of the no pretreatment samples. In might be explained by the mechanism of ultrasound, which consists in forming microscopic channels in the tissue, thus facilitating the removal of moisture [45]. The mass loss is a consequence of a bigger flow of water from the raw material than the solids flow penetrating plant tissue during osmotic dehydration [51].
Figure 1. Mass loss Δ M t o (a), water loss Δ M t w (b), and solid gain Δ M t S T (c) during osmotic dehydration of strawberries in 50% sucrose solution at 30 °C using US and PEF treatments; SA: osmotic dehydrated strawberries in 50% sucrose solution; SA_PEF1 and SA_PEF2: pulsed electric field-treated strawberries with the energy of 1 or 2.5 kJ/kg and subjected to osmotic dehydration; SA_US1 and SA_US2: ultrasound-treated strawberries for 30 and 90 s and subjected to osmotic dehydration.
Water loss increased with the duration of the osmotic dehydration process in all analyzed materials. At the end of the osmotic dehydration process (after 2 h), it was found that the highest water loss occurred in the material subjected to osmotic dehydration using a PEF pretreatment of 2.5 kJ/kg. Regardless of the pretreatment used, the highest water losses were recorded in the initial stage of osmotic dehydration. As the osmotic dehydration process continued, the rate of water loss gradually diminished. After the initial stage, in which the diffusion process is rapid, the rate of change of water loss decreases [52]. Therefore, Nowacka et al. [53] found that the use of ultrasound for 10 min is useful for water removal only for short osmotic dehydration processes (120 min, 25 °C, 61.5% sucrose solution). In turn, Goula et al. [54] performed an osmotic dehydration on potatoes (30–70% of osmotic solution concentration, 32.5–45 °C, 0–180 min) and showed that the application of ultrasound (5 min of US treatment, 32.5 °C, 40% of amplitude level, 7/6 pulse duration/pulse interval ratio) increased in the first 60 min of water loss, and that the solid gain obtained the same or even better osmotic effect as the normal osmotic dehydration over a long time (180 min). Their study showed that ultrasound-assisted osmotic dehydration lasting a short time (~60 min) had the same effect as longer osmotic dehydration without an ultrasound application, and the difference in water loss between treatments was most intense during the first hour.
For all samples, the greatest increase in solid content during osmotic dehydration in a 50% sucrose solution was observed at the end of the process, which occurred after 2 h. The highest solid gain after the process was observed for PEF-pretreated materials, followed by US-pretreated materials, and the lowest solid gain was observed for strawberries subjected to osmotic dehydration alone. Similarly, Dellarosa et al. [46] found that solid gain after 120 min of osmotic dehydration of apples in 30% of sucrose solution increased when the PEF pretreatment (250 and 400 V/cm, 20 °C, 1:1 product-to-water ratio) was applied in relation to the osmo-dehydrated sample without pretreatment. Furthermore, in the research of Yu et al. [50], a PEF pretreatment applied before osmotic dehydration of blueberries considerably increased the rate of solid gain and caused the reduction in the dehydration time from 130 h to 48 h compared to the control samples of osmo-dehydrated without pretreatment (the process was stopped when samples reached to 3.5 g/g initial dry mass of water loss). The application of PEF treatments resulted in the perforation of the cell membrane, which, in turn, facilitated greater water and solute diffusivity. Consequently, the PEF-pretreated samples exhibited significantly higher rates of water loss and solid gain compared to the non-PEF-treated samples.
The extract content of the fresh strawberries was 8.9 ± 0.2 °Brix (Figure 2). Along with the duration of the osmotic dehydration process, an increase in the extract content of the strawberry tissue was noted for all samples. This is due to the penetration of osmoactive substances from the solution into the plant tissue. Such operations make it possible to enrich the dehydrated materials with beneficial components for the human’s health and to shape the food’s taste profile [2]. The use of pretreatments also affected changes in the extract content. Materials treated with PEF or US were characterized by a gradual increase in the extract content with the process time. It was observed that the PEF pretreatment caused the highest increase in the extract content among the analyzed materials, whereas the US pretreatment also affected the higher extract content in the strawberries compared to the material given to the osmotic dehydration alone. Statistical analysis showed after 2 h of the process, a significant difference between the strawberries subjected to osmotic dehydration alone and the strawberries pretreated with PEF (1 or 2.5 kJ/kg) and US (90 s) (p < 0.05).
Figure 2. Extract content in strawberries subjected to US and PEF treatments and osmotic dehydration in 50% sucrose solution at 30 °C; SA: osmotic dehydrated strawberries in 50% sucrose solution; SA_PEF1 and SA_PEF2: pulsed electric field-treated strawberries with the energy of 1 or 2.5 kJ/kg and subjected to osmotic dehydration; SA_US1 and SA_US2: ultrasound-treated strawberries for 30 and 90 s and subjected to osmotic dehydration. The same letters above the columns present homogenous groups at α = 0.05.

3.2. The Influence of US or PEF Pretreatment on the Water Content and Microbilogical Stability

Water content is a parameter determining the microbiological stability of the product. The water content in fresh strawberries was on average 90.3 ± 0.7% (Figure 3). In all cases, as the dehydration process continued, the water content decreased. This was connected to the osmotic substance permeating the plant tissue. Due to the complex mass transfer occurring because of the pressure gradient at the interface between the raw material and the solution, the water content within the raw material diminished, while the dry substance mass increased [55]. Raw material treated with both ultrasound and PEF displayed a reduced water content, attributed to the enhanced penetration of sucrose from the osmotic solution. Strawberries subjected to a PEF had a lower water content than those subjected to ultrasound. Additionally, the highest changes in water content were recorded in the material exposed to a PEF of 2.5 kJ/kg, which was probably related to greater changes in the structure of the material. Similar results were obtained by Tylewicz et al. [56] when dehydrating kiwifruit treated with a PEF. The water content was approximately 3% lower than in fruits not treated with a PEF.
Figure 3. The water content of strawberries subjected to US and PEF treatments and osmotic dehydration in 50% sucrose solution at 30 °C; SA: osmotic dehydrated strawberries in 50% sucrose solution; SA_PEF1 and SA_PEF2: pulsed electric field-treated strawberries with the energy of 1 or 2.5 kJ/kg and subjected to osmotic dehydration; SA_US1 and SA_US2: ultrasound-treated strawberries for 30 and 90 s and subjected to osmotic dehydration. The same letters above the columns present homogenous groups at α = 0.05.
Osmotic dehydration, as well as the PEF and US pretreatments, may affect the microbiological quality of the raw material. This is due to the lower water content in the dehydrated product and, consequently, the lower water activity. In fresh strawberries, the total number of microorganisms was observed at the level of 3.73 ± 0.08 CFU/g of product, and osmotic dehydration applied alone did not reduce the number of microorganisms (Figure 4). The use of higher PEF energy (2.5 kJ/kg) and ultrasound pretreatment with both of the parameters used (30, 90 s) resulted in a reduction in the number of microorganisms by approximately 1–1.5 log cycles. Determination of the number of fungi showed a reduction in their level after osmotic dehydration by 1 log cycle, while PEF energy by 2 log cycles. Pretreatment with ultrasound resulted in a reduction in the number of fungi below the detection threshold. This means that the use of proper parameters of the non-thermal pretreatment (both PEF and US) applied before osmotic dehydration positively effects the microbial stability of the final product. After 7 days of refrigerated storage of dehydrated strawberries, an increase in the total number of microorganisms by approximately 3 log cycles was observed in the case of non-dehydrated fruits, while the TVC in the case of dehydrated fruits subjected to pretreatment was a little bit higher or at the same level as immediately after the dehydration process. The same trends were observed in the number of fungi; however, after 7 days, their presence in the US-treated samples was observed at the level of 2 log cycles. Gani et al. [57] showed that the use of ultrasonic treatment on fresh strawberries allows for the reduction in the number of bacteria by approximately 2 log cycles and the number of fungi by 1 log cycle. In turn, in the study by Rosário et al. [23] it was shown that storing the US-processed strawberries at refrigerated temperature made it possible to maintain the microbiological stability of the tested fruits.
Figure 4. Total viable count (TVC) and total count of yeast and mold (TYM) in strawberries subjected to US and PEF treatments and osmotic dehydration in 50% sucrose solution at 30 °C (a) after the treatment; (b) after 7 days of storage in temperature of 10 °C; SA: osmotic dehydrated strawberries in 50% sucrose solution; SA_PEF1 and SA_PEF2: pulsed electric field-treated strawberries with the energy of 1 or 2.5 kJ/kg and subjected to osmotic dehydration; SA_US1 and SA_US2: ultrasound-treated strawberries for 30 and 90 s and subjected to osmotic dehydration.

3.3. The Influence of US or PEF Pretreatment on the Physical Properties (Color, Texture)

The color of food stands out as a critical attribute that significantly influences the quality of both raw ingredients and finished products. It is the color that has a significant impact on the consumer’s acceptance of the product [58]. For fresh strawberries, the L* parameter was on average 54.6 ± 3.4 (Table 2). For material subjected to the osmotic dehydration process alone, it was found that as the dehydration process continued, the L* parameter increased, which resulted in the strawberries having a lighter color. There was no effect of the PEF pretreatment on the color change of the strawberries compared to the raw material subjected only to osmotic dehydration. However, strawberries exposed to ultrasound and then dehydrated were characterized by a slight decrease in the L* parameter after the dehydration process, which resulted in a slight darkening.
Table 2. L*, a*, b* parameters and total color difference (ΔE calculated in comparison to fresh sample) of strawberries subjected to US and PEF treatments and osmotic dehydration in 50% sucrose solution at 30 °C, SA: osmotic dehydrated strawberries in 50% sucrose solution; SA_PEF1 and SA_PEF2: pulsed electric field-treated strawberries with the energy of 1 or 2.5 kJ/kg and subjected to osmotic dehydration; SA_US1 and SA_US2: ultrasound-treated strawberries for 30 and 90 s and subjected to osmotic dehydration.
The a* parameter in fresh strawberries was 25.3 ± 8.2. Changes in the color parameter a* were characterized by greater diversity compared to the L* parameter. The material subjected to osmotic dehydration alone exhibited diminishing values of the a* parameter as the duration extended, ultimately reaching a notably lower value of 15.9 ± 6.5 after 2 h of dehydration. Such a change indicates a reduction in the share of red color, which was related to the leaching of components responsible for the color, e.g., anthocyanins, into the osmotic solution [59]. A trend can be observed that the use of higher energy consumption during PEF processing resulted in lower values of the a* parameter, which was associated with greater leaching of colored compounds, but these are not statistically significant changes. Strawberries subjected to sonication and then dehydrated were characterized by increasing values of the a* parameter along with the duration of the process. After 2 h of the process, similar values were found to the fresh ones. Fresh strawberries had a b* parameter of 23.9 ± 8.0. Strawberries that received the PEF pretreatment followed by dehydration exhibited a notably lower value of the b* parameter. However, fruits subjected to sonication and then dehydrated for 2 h were characterized by b* parameter values similar to those of fresh material and material dehydrated for 2 h in sucrose.
The ΔE parameter determines the general color changes in strawberries after osmotic dehydration with or without a PEF and US pretreatment in relation to fresh fruit tissue. After dehydration, all fruits had values higher than 5, which means that the color changes were significant. After 2 h of dehydration, the material previously treated with a PEF was characterized by a lower parameter compared to the material subjected to the osmotic dehydration process alone, while strawberries treated with ultrasound had higher ΔE values, but they were not statistically significant. Paraskevopoulou et al. [60] found no significant differences in brightness (L*) between the fresh, PEF-pretreated, and osmotic dehydrated samples. Other studies have shown that a PEF can retain its color by releasing the intercellular content depending on the initial characteristics of the raw material, cell membrane permeability, and process conditions [60]. In turn, research by Tylewicz et al. [56] showed that the initial PEF treatment on the osmotic dehydrated of strawberries led to an increase in the L* value compared to the untreated strawberries. Research conducted by Rahaman et al. [61] showed that the use of ultrasound before osmotic dehydration changes the color of plums due to water, which washes away solids and color.
Figure 5 shows the test results regarding the change in texture during the osmotic dehydration process. To compress a fresh strawberry, the maximum force was equal to 0.2 ± 0.05 N, while the work for compression was 0.4 ± 0.1 mJ.
Figure 5. Maximum force (a) and work (b) necessary to deform strawberries subjected to US and PEF treatments and osmotic dehydration in 50% sucrose solution at 30 °C; SA: osmotic dehydrated strawberries in 50% sucrose solution; SA_PEF1 and SA_PEF2: pulsed electric field-treated strawberries with the energy of 1 or 2.5 kJ/kg and subjected to osmotic dehydration; SA_US1 and SA_US2: ultrasound-treated strawberries for 30 and 90 s and subjected to osmotic dehydration. The same letters above the columns present homogenous groups at α = 0.05.
Strawberries subjected to osmotic dehydration alone required less maximum compressive force over time, amounting to 0.14 ± 0.06 N after 2 h. This means that the material has softened. Strawberries dehydrated after a PEF treatment were characterized by a low maximum force required for deformation compared to fresh and dehydrated fruit without pretreatment. In turn, in the material subjected to ultrasound, the maximum force needed to deform was higher and comparable to the material subjected to osmotic dehydration applied alone. Initially, the maximum force for the material subjected to sonication and dehydration was comparable to the raw material, and later it decreased, but still remained at a higher level than strawberries dehydrated using a PEF. A significant difference was found between the work needed to deform the raw material and the material osmotic dehydrated with using a PEF. In turn, the osmo-dehydrated material with the use of US was characterized by similar or slightly lower values of work necessary to deform compared to strawberries only dehydrated, but these changes were not statistically significant. The changes in the US-treated samples might be related to dissolution of pectin in cell walls as a consequence of ultrasound treatment, which results in reduced firmness [62]. By contrast, in case of the PEF treatment, research conduct by Paraskevopoulou et al. [60] showed that 120 min of osmotic dehydration and a PEF treatment (35.1 kJ/kg) helped maintain the hardness of the pumpkin, not differing significantly from the texture of the fresh samples. However, Dermesonlouoglou et al. [63] found that the firmness of osmotically dehydrated samples surpassed the corresponding values of freshly cut pumpkin samples. Taiwo et al. [64] observed a decrease in the hardness of PEF-treated (1.2 kV/cm, 350 µs) strawberry halves (1200 V/cm; 350 µs) followed by osmotic dehydration for 4 h in sucrose and NaCl solution. According to Tylewicz et al. [65], PEF processing (25 °C, pulse width of 100 μs, 0.1–0.4 kV/cm) used as pretreatment to osmotic dehydration (120 min) caused a significant decrease in the hardness of osmotically dehydrated strawberries depending on the applied electric field (0.1–0.4 kV/cm). This could be attributed to cellular rupture and the the creation of pores that led to the softening of the samples. Toward the end of the osmotic dehydration process, a minor increase in firmness was observed due to the substantial uptake of solids. This distinction arises from the fact that textural properties of fruit tissue are related to the cell wall component, influenced by sample size, shape, compression speed, and extent of compression [66].

3.4. The Influence of US or PEF Pretreatment on the Bioactive Compounds (TPC, TAC, Vitamin C, Antioxidant Activity—AA)

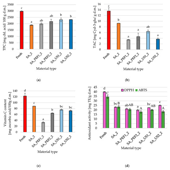
During osmotic dehydration, the material is immersed in a specific osmotic solution. Depending on the purposed quality of the final product, it can be, e.g., starch, sucrose, glucose, fructose or corn syrup. The way in which this process is carried out permits the transfer of certain substances from the material to the osmotic solution, as well as in the reverse direction [67]. Figure 6 displays the total polyphenols content (TPC), the total anthocyanin content (TAC), the vitamin C content, and the antioxidant activity of fresh and osmotically dehydrated strawberries (untreated and treated with US or PEF). Fresh strawberries had the highest content of bioactive compounds—2981.0 ± 34.0 mg chl. acid/100 g d.m. (TPC), 13.6 ± 1.2 mg Cyd-3-glu/g d.m. (TAC), 122.7 ± 9.4 mg ascorbic acid/100 g d.m. (vitamin C), 39.9 ± 1.6 mg TE/g d.m. (DPPH), and 34.5 ± 1.6 mg TE/g d.m. (ABTS). Osmotic dehydration has led to a reduction in the amount of these compounds in strawberries by 36.5, 31.7, 28.0, 42.2, and 31.9%, respectively (untreated samples—SA_2). The root cause of this observation can be found in the way the process was carried out. Not only water but also some of the bioactive ingredients dissolved in it could have penetrated the solution surrounding the material [67,68].
Figure 6. Total polyphenols content (TPC) (a), total anthocyanin content (TAC) (b), Vitamin C content (c), and antioxidant activity (d) during osmotic dehydration of strawberries in 50% sucrose solution at 30 °C using US and PEF treatments; SA: osmotic dehydrated strawberries in 50% sucrose solution; SA_PEF1 and SA_PEF2: pulsed electric field-treated strawberries with the energy of 1 or 2.5 kJ/kg and subjected to osmotic dehydration; SA_US1 and SA_US2: ultrasound-treated strawberries for 30 and 90 s and subjected to osmotic dehydration. The same letters (a–c for DPPH, A–C for ABTS) above the columns present homogenous groups at α = 0.05.
As shown in Figure 6a, osmotically dehydrated strawberries pretreated with US exhibited significantly higher TPC than the untreated samples (SA_2). Cavitation, which is the basic mechanism of an ultrasound, produces significant shear force capable of breaking covalent bonds. As a result, antioxidant compounds may be released, e.g., phenols, flavones, carotenoids, or ascorbate [69,70]. Despite the lack of statistically significant differences, a slightly higher retention of polyphenols has also been observed in samples treated with PEF (in comparison to untreated samples). The effect of PEF on enzyme activity is still unclear. In the analyzed case, this non-thermal technique could reduce the activity of an enzyme involved in the oxidation of substances containing polyphenol groups—polyphenol oxidase. This would justify the higher TPC in the PEF-treated samples [67]. As depicted in Figure 1c, strawberries treated with US and PEF prior to osmotic dehydration had higher solid gain than the untreated samples. This means that more sugar had penetrated them during the dehydration process. The structure of strawberries damaged by the action of US and PEF probably exhibited higher permeability to sugar absorbed from the solution. The intensive absorption of sugar by US- and PEF-treated materials could partially constitute a barrier to the leaching of some substances from the strawberries, and this is why the treated samples showed a higher TPC retention than the untreated samples [71]. Moreover, the determination of TPC using the Folin–Ciocalteu method is linked to the risk of overestimating the content of these compounds in the analyzed material. This overestimation can occur due to the presence of reducing sugars, such as fructose, glucose, or maltose, as well as ascorbic acid [72].
The application of non-thermal preliminary treatments, both ultrasound and PEF, led (in most analyzed cases) to obtaining osmo-dehydrated strawberries with a significantly lower TAC compared to the untreated osmo-dehydrated samples (Figure 6b). The content of anthocyanins in the SA_US1_2 sample did not differ statistically from the content of these chemical compounds in the reference sample (SA_2), but this difference was relatively big (31.3%). Anthocyanins are chemical compounds characterized by relatively high solubility in water, so their reduced retention may stem from the leaching process occurring during osmotic dehydration [73]. Both non-thermal preliminary treatments cause structural changes in the treated tissue. The microscopic channels (US) created in it as well as irreversible or reversible pores (PEF) enhance the diffusion of water [67], and thus probably also the leaching of some soluble solids.
Vitamin C contents in both the untreated and the US-pretreated osmotically dehydrated strawberries were similar. On the other hand, the PEF-pretreated and osmo-dehydrated samples exhibited significantly lower vitamin C content than the untreated osmo-dehydrated ones (Figure 6c). It is worth mentioning that no statistically significant differences in the ascorbic acid content have been observed between sample SA_PEF2_2 and both US-treated samples. Vitamin C dissolves very well in water, which facilitates its leaching from the material during osmotic dehydration [73]. As mentioned above, cavitation could cause the disruption of covalent bonds and, as a result, the release of, e.g., ascorbic acid [69,70]. This might explain both the similar content of vitamin C in the samples untreated and treated with US, as well as the higher content of this bioactive compound in the US-treated samples compared to the PEF-treated samples. Permeabilized cells, as a result of the PEF treatment, could cause higher and faster leakage of vitamin C from the strawberries into the osmotic solution [68].
Strawberries osmotically dehydrated with PEF pretreatment displayed the lowest antioxidant activity, estimated on the basis of DPPH and ABTS assays (Figure 6d). This is probably related to the increased cell permeability resulting from electroporation (facilitating the leakage of chemicals with water) [69]. Although the US pretreatment enhanced the porosity of strawberry tissue, it did not induce substantial alterations in the antioxidant activity of the treated samples when compared to the SA_2 sample. As in the case of TPC and vitamin C, this can be explained by the release of chemical substances due to the breaking of covalent bonds by cavitation [69,70].

3.5. The Influence of US or PEF Pretreatment on the Sugar Content

During osmotic dehydration, immersing the material in a hypertonic solution leads to the simultaneous movement of water from the material into the osmotic solution and the infusion of osmotic solutes in the reverse direction, from the osmotic solution into the material [45]. Figure 7 presents the content of sugars (sucrose, glucose, and fructose) in fresh and osmotically dehydrated strawberries (untreated and treated with US or PEF). Fresh strawberries contained 8.1 ± 0.6 g sucrose in 100 g d.m., 15.8 ± 0.7 g glucose in 100 g d.m., and 16.8 ± 1.6 g fructose in 100 g d.m. Osmotic dehydration led to an increase in the sucrose content in strawberries by 394.1%, as well as a reduction in their glucose and fructose contents by 16.5 and 23.2%, respectively (untreated samples—SA_2). All three of the above-mentioned sugars are soluble sugars that naturally occur in strawberries [74]. Dehydration of these types of fruit in a sucrose solution resulted in a leakage of some of the glucose and fructose, while enriching them with the sucrose in which they were immersed [75]. The sucrose content in the untreated and in the US-pretreated osmotically dehydrated strawberries was similar. In turn, the PEF-pretreated and osmo-dehydrated samples had a significantly higher content of this sugar than the untreated osmo-dehydrated ones. The samples treated with US also had a similar glucose content to the untreated samples, while those samples treated with a PEF had the lowest content of this sugar. Although no statistically significant differences were observed in the fructose content among all dehydrated strawberries, a slightly lower concentration of this sugar was noted in the samples that underwent the PEF treatment. The highest changes in terms of sugar content in the PEF-pretreated and osmotically dehydrated strawberries could be caused by electroporation, which results in increased tissue permeability [76]. This led to the highest water loss (perhaps together with the glucose and fructose dissolved in it) (Figure 1b) and the highest solid gain (after sucrose penetration from the solution) of these samples (Figure 1c). As explained Zongo et al. [77] water removal and sugar gain in the case of mango subjected to the PEF treatment (1 kV/cm, 10 and 30 pulse numbers) and to osmotic dehydration (4 h, 40 °C, 60 °Brix agave syrup with or without addition of inulin or xantan gum) depends on the plant tissue microstructure and its changes during the processing.
Figure 7. Sugar content (sucrose, glucose, fructose) in osmotic dehydrated strawberries with the use of US and PEF treatments; SA: osmotic dehydrated strawberries in 50% sucrose solution; SA_PEF1 and SA_PEF2: pulsed electric field-treated strawberries with the energy of 1 or 2.5 kJ/kg and subjected to osmotic dehydration; SA_US1 and SA_US2: ultrasound-treated strawberries for 30 and 90 s and subjected to osmotic dehydration. The same letters (a–c for sucrose, A–D for glucose, a′–b′ for fructose) at the columns present homogenous groups at α = 0.05.

4. Conclusions

The objective of this study was to evaluate how ultrasound and PEF impact the osmotic dehydration process of strawberries and certain characteristics of the dehydrated material. Application of a PEF as a preliminary treatment to support osmotic dehydration has a significant impact on the mass loss and water loss. Whereas the ultrasound-treated samples used before osmotic dehydration obtained lower mass and water loss in comparison to PEF-treated samples, they still had a higher mass and water loss than the untreated strawberries. Moreover, incorporating ultrasound and PEF into the osmotic dehydration process of food has a beneficial impact on the increase in solid gain. The highest increase in dry matter content was recorded in the material treated with PEF, followed by US and finally the osmic dehydrated material without pretreatment. This was related to the penetration of an osmotic substance, which was confirmed by the sugar content test. Furthermore, the application of PEF and ultrasound during the osmotic dehydration of strawberries led to a substantial enhancement in the extract content within the raw material.
The material treated with PEF and osmotic dehydration was characterized by the lowest hardness, while US-treated strawberries have similar or lower hardness in comparison to the samples subjected only to osmotic dehydration. However, the use of a pulsed electric field and ultrasound in the osmotic dehydration process of strawberries resulted in a reduction in the content of bioactive ingredients such as polyphenols, anthocyanins, and vitamin C, which is not a beneficial effect. But still, the levels of bioactive compounds are comparable to the material osmotically dehydrated without the use of pretreatment.

Author Contributions

Conceptualization, M.N. and D.W.-R.; methodology, K.R., K.P. and M.N.; software, K.R. and K.P.; validation, K.R. and K.P.; formal analysis, M.T.; investigation, K.R., K.P., M.T. and M.N.; resources, M.N. and D.W.-R.; data curation, K.P. and K.R.; writing—original draft preparation, K.P., A.M., M.T., K.R. and M.N.; writing—review and editing, M.N. and D.W.-R.; visualization, K.P., K.R., A.M. and M.N.; supervision, M.N. and D.W.-R.; project administration, M.N.; funding acquisition, M.N. All authors have read and agreed to the published version of the manuscript.

Funding

This project received funding from transnational funding bodies, partners of the H2020 ERA-NETs SUSFOOD2 and CORE Organic Cofunds, under the Joint SUSFOOD2/CORE Organic Call 2019 (MILDSUSFRUIT), as well as the National Centre for Research and Development (POLAND, decision DWM/SF-CO/31/2021). The research for this publication was carried out with the use of research equipment purchased as part of the “Food and Nutrition Centre—modernisation of the WULS campus to create a Food and Nutrition Research and Development Centre (CŻiŻ)” co-financed by the European Union from the European Regional Development Fund under the Regional Operational Programme of the Mazowieckie Voivodeship for 2014–2020 (project no. RPMA.01.01.00-14-8276/17).

Institutional Review Board Statement

Not applicable.

Data Availability Statement

The data presented in this study are available on request from the corresponding author.

Acknowledgments

The authors would like to thank Małgorzata Rumianek for her help.

Conflicts of Interest

The authors declare no conflict of interest. The funders had no role in the design of the study; in the collection, analyses, or interpretation of data; in the writing of the manuscript; or in the decision to publish the results.

References

  1. Ghellam, M.; Zannou, O.; Pashazadeh, H.; Galanakis, C.M.; Aldawoud, T.M.S.; Ibrahim, S.A.; Koca, I. Optimization of Osmotic Dehydration of Autumn Olive Berries Using Response Surface Methodology. Foods 2021, 10, 1075. [Google Scholar] [CrossRef] [PubMed]
  2. Ciurzyńska, A.; Kowalska, H.; Czajkowska, K.; Lenart, A. Osmotic Dehydration in Production of Sustainable and Healthy Food. Trends Food Sci. Technol. 2016, 50, 186–192. [Google Scholar] [CrossRef]
  3. Cichowska, J.; Żubernik, J.; Czyżewski, J.; Kowalska, H.; Witrowa-Rajchert, D. Efficiency of Osmotic Dehydration of Apples in Polyols Solutions. Molecules 2018, 23, 446. [Google Scholar] [CrossRef] [PubMed]
  4. Lech, K.; Michalska, A.; Wojdylo, A.; Nowicka, P.; Figiel, A. The Influence of the Osmotic Dehydration Process on Physicochemical Properties of Osmotic Solution. Molecules 2017, 22, 2246. [Google Scholar] [CrossRef] [PubMed]
  5. Akbarian, M.; Ghasemkhani, N.; Moayedi, F. Osmotic Dehydration of Fruits in Food Industrial: A Review. Int. J. Biosci. 2014, 4, 42–57. [Google Scholar]
  6. Kowalska, J.; Kowalska, H.; Marzec, A.; Brzeziński, T.; Samborska, K.; Lenart, A. Dried Strawberries as a High Nutritional Value Fruit Snack. Food Sci. Biotechnol. 2018, 27, 799–807. [Google Scholar] [CrossRef]
  7. Tylewicz, U.; Nowacka, M.; Rybak, K.; Drozdzal, K.; Dalla Rosa, M.; Mozzon, M. Design of Healthy Snack Based on Kiwifruit. Molecules 2020, 25, 3309. [Google Scholar] [CrossRef]
  8. Galanakis, C.M. Functionality of Food Components and Emerging Technologies. Foods 2021, 10, 128. [Google Scholar] [CrossRef]
  9. Salehi, F. Recent Advances in the Ultrasound-Assisted Osmotic Dehydration of Agricultural Products: A Review. Food Biosci. 2023, 51, 102307. [Google Scholar] [CrossRef]
  10. Ye, L.; Zhu, X.; Liu, Y. Numerical Study on Dual-Frequency Ultrasonic Enhancing Cavitation Effect Based on Bubble Dynamic Evolution. Ultrason. Sonochem 2019, 59, 104744. [Google Scholar] [CrossRef]
  11. Ma, Y.; Yi, J.; Bi, J.; Zhao, Y.; Li, X.; Wu, X.; Du, Q. Effect of Ultrasound on Mass Transfer Kinetics and Phenolic Compounds of Apple Cubes during Osmotic Dehydration. LWT 2021, 151, 112186. [Google Scholar] [CrossRef]
  12. Siucińska, K.; Dyki, B.; Murgrabia, A.; Pieczywek, P.M.; Konopacka, D. Ocena Zmian Struktury Suszonej Tkanki Wiśni Poddanej Wstępnie Obróbce Osmotycznej Wspomaganej Ultradźwiękami. Żywność Nauka Technol. Jakość 2015, 22, 123–137. [Google Scholar] [CrossRef]
  13. Gürsul, I.; Gueven, A.; Grohmann, A.; Knorr, D. Pulsed Electric Fields on Phenylalanine Ammonia Lyase Activity of Tomato Cell Culture. J. Food Eng. 2016, 188, 66–76. [Google Scholar] [CrossRef]
  14. Krishnaveni, S.; Rajini, V. Cascaded Boost Converter-Based High-Voltage Pulse Generator for Pulsed Electric Field Applications. Arch. Electr. Eng. 2021, 70, 631–641. [Google Scholar] [CrossRef]
  15. Won, Y.C.; Min, S.C.; Lee, D.U. Accelerated Drying and Improved Color Properties of Red Pepper by Pretreatment of Pulsed Electric Fields. Dry. Technol. 2015, 33, 926–932. [Google Scholar] [CrossRef]
  16. Dermesonlouoglou, E.; Chalkia, A.; Dimopoulos, G.; Taoukis, P. Combined Effect of Pulsed Electric Field and Osmotic Dehydration Pre-Treatments on Mass Transfer and Quality of Air Dried Goji Berry. Innov. Food Sci. Emerg. Technol. 2018, 49, 106–115. [Google Scholar] [CrossRef]
  17. Nowacka, M.; Dadan, M.; Tylewicz, U. Current Applications of Ultrasound in Fruit and Vegetables Osmotic Dehydration Processes. Appl. Sci. 2021, 11, 1269. [Google Scholar] [CrossRef]
  18. Katsimichas, A.; Dimopoulos, G.; Dermesonlouoglou, E.; Taoukis, P. Modelling and Evaluation of the Effect of Pulsed Electric Fields and High Pressure Processing Conditions on the Quality Parameters of Osmotically Dehydrated Tomatoes. Appl. Sci. 2023, 13, 11397. [Google Scholar] [CrossRef]
  19. Sanz-Puig, M.; Santos-Carvalho, L.; Cunha, L.M.; Pina-Pérez, M.C.; Martínez, A.; Rodrigo, D. Effect of Pulsed Electric Fields (PEF) Combined with Natural Antimicrobial by-Products against S. Typhimurium. Innov. Food Sci. Emerg. Technol. 2016, 37, 322–328. [Google Scholar] [CrossRef]
  20. Garner, A.L. Pulsed Electric Field Inactivation of Microorganisms: From Fundamental Biophysics to Synergistic Treatments. Appl. Microbiol. Biotechnol. 2019, 103, 7917–7929. [Google Scholar] [CrossRef]
  21. Pagnossa, J.P.; Rocchetti, G.; Ribeiro, A.C.; Piccoli, R.H.; Lucini, L. Ultrasound: Beneficial Biotechnological Aspects on Microorganisms-Mediated Processes. Curr. Opin. Food Sci. 2020, 31, 24–30. [Google Scholar] [CrossRef]
  22. Chen, Z.; Zhu, C. Combined Effects of Aqueous Chlorine Dioxide and Ultrasonic Treatments on Postharvest Storage Quality of Plum Fruit (Prunus salicina L.). Postharvest Biol. Technol. 2011, 61, 117–123. [Google Scholar] [CrossRef]
  23. Do Rosário, D.K.A.; da Silva Mutz, Y.; Peixoto, J.M.C.; Oliveira, S.B.S.; de Carvalho, R.V.; Carneiro, J.C.S.; de São José, J.F.B.; Bernardes, P.C. Ultrasound Improves Chemical Reduction of Natural Contaminant Microbiota and Salmonella enterica subsp. enterica on Strawberries. Int. J. Food Microbiol. 2017, 241, 23–29. [Google Scholar] [CrossRef]
  24. Fan, K.; Zhang, M.; Bhandari, B.; Jiang, F. A Combination Treatment of Ultrasound and ε-Polylysine to Improve Microorganisms and Storage Quality of Fresh-Cut Lettuce. LWT 2019, 113, 108315. [Google Scholar] [CrossRef]
  25. Fan, K.; Wu, J.; Chen, L. Ultrasound and Its Combined Application in the Improvement of Microbial and Physicochemical Quality of Fruits and Vegetables: A Review. Ultrason. Sonochem 2021, 80, 105838. [Google Scholar] [CrossRef]
  26. Bai, X.; Campagnoli, M.; Butot, S.; Putallaz, T.; Michot, L.; Zuber, S. Inactivation by Osmotic Dehydration and Air Drying of Salmonella, Shiga Toxin-Producing Escherichia coli, Listeria Monocytogenes, Hepatitis A Virus and Selected Surrogates on Blueberries. Int. J. Food Microbiol. 2020, 320, 108522. [Google Scholar] [CrossRef] [PubMed]
  27. Sood, M.; Bandral, J.D. Composition, Quality and Uses. In Strawberries; CRC Press: Boca Raton, FL, USA, 2019; pp. 23–30. [Google Scholar] [CrossRef]
  28. Ansar; Nazaruddin; Azis, A.D. New Frozen Product Development from Strawberries (Fragaria ananassa Duch.). Heliyon 2020, 6, e05118. [Google Scholar] [CrossRef]
  29. Haffner, K. Postharvest Quality and Processing of Strawberries. Acta Hortic. 2002, 567, 715–722. [Google Scholar] [CrossRef]
  30. Tompkins, N.J.; Murphy, T.T.; Furukawa, A.T. Furukawa Method for Processing Fresh Strawberries for Extended Shelf Life. U.S. Patent 5,616,354, 12 October 1995. [Google Scholar]
  31. Nowacka, M.; Dadan, M. Ultrasound-Assisted Drying of Food; Springer: Berlin/Heidelberg, Germany, 2022; pp. 93–112. [Google Scholar] [CrossRef]
  32. Dadan, M.; Barańska, A.; Matys, A.; Rybak, K.; Witrowa-Rajchert, D.; Wiktor, A.; Nowacka, M. Impact of Pulsed Electric Field Treatment on the Process Kinetics and Selected Properties of Air and Dehumidified Air-Dried Mushrooms. Processes 2023, 11, 2101. [Google Scholar] [CrossRef]
  33. Rząca, M.; Witrowa-Rajchert, D.; Tylewicz, U.; Rosa, M.D. Mass Exchange in Osmotic Dehydration Process of Kiwi Fruits. Żywność. Nauka. Technologia. Jakość 2009, 6, 140–149. [Google Scholar]
  34. Tylewicz, U.; Panarese, V.; Laghi, L.; Rocculi, P.; Nowacka, M.; Placucci, G.; Rosa, M.D. NMR and DSC Water Study during Osmotic Dehydration of Actinidia Deliciosa and Actinidia Chinensis Kiwifruit. Food Biophys. 2011, 6, 327–333. [Google Scholar] [CrossRef]
  35. Xu, B.; Chen, J.; Sylvain Tiliwa, E.; Yan, W.; Roknul Azam, S.M.; Yuan, J.; Wei, B.; Zhou, C.; Ma, H. Effect of Multi-Mode Dual-Frequency Ultrasound Pretreatment on the Vacuum Freeze-Drying Process and Quality Attributes of the Strawberry Slices. Ultrason. Sonochem 2021, 78, 105714. [Google Scholar] [CrossRef] [PubMed]
  36. Bogusz, R.; Pobiega, K.; Rybak, K.; Wiktor, A.; Parniakov, O.; Smetana, S.; Nowacka, M. The Pulsed Electric Field Treatment Effect on Drying Kinetics and Chosen Quality Aspects of Freeze-Dried Black Soldier Fly (Hermetia illucens) and Yellow Mealworm (Tenebrio Molitor) Larvae. Appl. Sci. 2023, 13, 10251. [Google Scholar] [CrossRef]
  37. Pobiega, K.; Przybył, J.L.; Żubernik, J.; Gniewosz, M. Prolonging the Shelf Life of Cherry Tomatoes by Pullulan Coating with Ethanol Extract of Propolis during Refrigerated Storage. Food Bioproc. Technol. 2020, 13, 1447–1461. [Google Scholar] [CrossRef]
  38. Samborska, K.; Eliasson, L.; Marzec, A.; Kowalska, J.; Piotrowski, D.; Lenart, A.; Kowalska, H. The Effect of Adding Berry Fruit Juice Concentrates and By-Product Extract to Sugar Solution on Osmotic Dehydration and Sensory Properties of Apples. J. Food Sci. Technol. 2019, 56, 1927–1938. [Google Scholar] [CrossRef]
  39. Kowalska, H.; Trusinska, M.; Rybak, K.; Wiktor, A.; Witrowa-Rajchert, D.; Nowacka, M. Shaping the Properties of Osmo-Dehydrated Strawberries in Fruit Juice Concentrates. Appl. Sci. 2023, 13, 2728. [Google Scholar] [CrossRef]
  40. Wiktor, A.; Chadzynska, M.; Rybak, K.; Dadan, M.; Witrowa-Rajchert, D.; Nowacka, M. The Influence of Polyols on the Process Kinetics and Bioactive Substance Content in Osmotic Dehydrated Organic Strawberries. Molecules 2022, 27, 1376. [Google Scholar] [CrossRef]
  41. Farias, C.A.A.; Moraes, D.P.; Neuenfeldt, N.H.; Zabot, G.L.; Emanuelli, T.; Barin, J.S.; Ballus, C.A.; Barcia, M.T. Microwave Hydrodiffusion and Gravity Model with a Unique Hydration Strategy for Exhaustive Extraction of Anthocyanins from Strawberries and Raspberries. Food Chem. 2022, 383, 132446. [Google Scholar] [CrossRef]
  42. Spínola, V.; Mendes, B.; Câmara, J.S.; Castilho, P.C. An Improved and Fast UHPLC-PDA Methodology for Determination of L-Ascorbic and Dehydroascorbic Acids in Fruits and Vegetables. Evaluation of Degradation Rate during Storage. Anal. Bioanal. Chem. 2012, 403, 1049–1058. [Google Scholar] [CrossRef]
  43. Xiao, F.; Xu, T.; Lu, B.; Liu, R. Guidelines for Antioxidant Assays for Food Components. Food Front. 2020, 1, 60–69. [Google Scholar] [CrossRef]
  44. Yang, S.; Meng, Z.; Li, Y.; Chen, R.; Yang, Y.; Zhao, Z. Evaluation of Physiological Characteristics, Soluble Sugars, Organic Acids and Volatile Compounds in ‘Orin’ Apples (Malus domestica) at Different Ripening Stages. Molecules 2021, 26, 807. [Google Scholar] [CrossRef] [PubMed]
  45. Prithani, R.; Dash, K.K. Mass Transfer Modelling in Ultrasound Assisted Osmotic Dehydration of Kiwi Fruit. Innov. Food Sci. Emerg. Technol. 2020, 64, 102407. [Google Scholar] [CrossRef]
  46. Dellarosa, N.; Ragni, L.; Laghi, L.; Tylewicz, U.; Rocculi, P.; Dalla Rosa, M. Time Domain Nuclear Magnetic Resonance to Monitor Mass Transfer Mechanisms in Apple Tissue Promoted by Osmotic Dehydration Combined with Pulsed Electric Fields. Innov. Food Sci. Emerg. Technol. 2016, 37, 345–351. [Google Scholar] [CrossRef]
  47. Parniakov, O.; Lebovka, N.I.; Bals, O.; Vorobiev, E. Effect of Electric Field and Osmotic Pre-Treatments on Quality of Apples after Freezing–Thawing. Innov. Food Sci. Emerg. Technol. 2015, 29, 23–30. [Google Scholar] [CrossRef]
  48. Puértolas, E.; Luengo, E.; Álvarez, I.; Raso, J. Improving Mass Transfer to Soften Tissues by Pulsed Electric Fields: Fundamentals and Applications. Annu. Rev. Food Sci. Technol. 2012, 3, 263–282. [Google Scholar] [CrossRef]
  49. Ahmed, I.; Qazi, I.M.; Jamal, S. Developments in Osmotic Dehydration Technique for the Preservation of Fruits and Vegetables. Innov. Food Sci. Emerg. Technol. 2016, 34, 29–43. [Google Scholar] [CrossRef]
  50. Yu, Y.; Jin, T.Z.; Fan, X.; Wu, J. Biochemical Degradation and Physical Migration of Polyphenolic Compounds in Osmotic Dehydrated Blueberries with Pulsed Electric Field and Thermal Pretreatments. Food Chem. 2018, 239, 1219–1225. [Google Scholar] [CrossRef]
  51. Bchir, B.; Bouaziz, M.A.; Ettaib, R.; Sebii, H.; Danthine, S.; Blecker, C.; Besbes, S.; Attia, H. Optimization of Ultrasound-Assisted Osmotic Dehydration of Pomegranate Seeds (Punica granatum L.) Using Response Surface Methodology. J. Food Process Preserv. 2020, 44, e14657. [Google Scholar] [CrossRef]
  52. Xin, Y.; Zhang, M.; Adhikari, B. Effect of Trehalose and Ultrasound-Assisted Osmotic Dehydration on the State of Water and Glass Transition Temperature of Broccoli (Brassica oleracea L. var. botrytis L.). J. Food Eng. 2013, 119, 640–647. [Google Scholar] [CrossRef]
  53. Nowacka, M.; Tylewicz, U.; Laghi, L.; Dalla Rosa, M.; Witrowa-Rajchert, D. Effect of Ultrasound Treatment on the Water State in Kiwifruit during Osmotic Dehydration. Food Chem. 2014, 144, 18–25. [Google Scholar] [CrossRef]
  54. Goula, A.M.; Kokolaki, M.; Daftsiou, E. Use of Ultrasound for Osmotic Dehydration. The Case of Potatoes. Food Bioprod. Process. 2017, 105, 157–170. [Google Scholar] [CrossRef]
  55. Macedo, L.L.; Corrêa, J.L.G.; da Silva Araújo, C.; Vimercati, W.C. Effect of Osmotic Agent and Vacuum Application on Mass Exchange and Qualitative Parameters of Osmotically Dehydrated Strawberries. J. Food Process Preserv. 2022, 46, e16621. [Google Scholar] [CrossRef]
  56. Tylewicz, U.; Tappi, S.; Genovese, J.; Mozzon, M.; Rocculi, P. Metabolic Response of Organic Strawberries and Kiwifruit Subjected to PEF Assisted-Osmotic Dehydration. Innov. Food Sci. Emerg. Technol. 2019, 56, 102190. [Google Scholar] [CrossRef]
  57. Gani, A.; Baba, W.N.; Ahmad, M.; Shah, U.; Khan, A.A.; Wani, I.A.; Masoodi, F.A.; Gani, A. Effect of Ultrasound Treatment on Physico-Chemical, Nutraceutical and Microbial Quality of Strawberry. LWT Food Sci. Technol. 2016, 66, 496–502. [Google Scholar] [CrossRef]
  58. Pingret, D.; Fabiano-Tixier, A.S.; Chemat, F. Degradation during Application of Ultrasound in Food Processing: A Review. Food Control 2013, 31, 593–606. [Google Scholar] [CrossRef]
  59. Jiang, J.; Zhang, M.; Devahastin, S.; Yu, D. Effect of Ultrasound-Assisted Osmotic Dehydration Pretreatments on Drying and Quality Characteristics of Pulsed Fluidized Bed Microwave Freeze-Dried Strawberries. LWT 2021, 145, 111300. [Google Scholar] [CrossRef]
  60. Paraskevopoulou, E.; Andreou, V.; Dermesonlouoglou, E.K.; Taoukis, P.S. Combined Effect of Pulsed Electric Field and Osmotic Dehydration Pretreatments on Mass Transfer and Quality of Air-Dried Pumpkin. J. Food Sci. 2022, 87, 4839–4853. [Google Scholar] [CrossRef]
  61. Rahaman, A.; Zeng, X.A.; Kumari, A.; Rafiq, M.; Siddeeg, A.; Manzoor, M.F.; Baloch, Z.; Ahmed, Z. Influence of Ultrasound-Assisted Osmotic Dehydration on Texture, Bioactive Compounds and Metabolites Analysis of Plum. Ultrason. Sonochem 2019, 58, 104643. [Google Scholar] [CrossRef]
  62. Pieczywek, P.M.; Kozioł, A.; Konopacka, D.; Cybulska, J.; Zdunek, A. Changes in Cell Wall Stiffness and Microstructure in Ultrasonically Treated Apple. J. Food Eng. 2017, 197, 1–8. [Google Scholar] [CrossRef]
  63. Dermesonlouoglou, E.; Paraskevopoulou, E.; Andreou, V.; Taoukis, P. Osmotic Dehydration for the Production of Novel Pumpkin Cut Products of Enhanced Nutritional Value and Sustainability. Appl. Sci. 2020, 10, 6225. [Google Scholar] [CrossRef]
  64. Taiwo, K.A.; Eshtiaghi, M.N.; Ade-Omowaye, B.I.O.; Knorr, D. Osmotic Dehydration of Strawberry Halves: Influence of Osmotic Agents and Pretreatment Methods on Mass Transfer and Product Characteristics. Int. J. Food Sci. Technol. 2003, 38, 693–707. [Google Scholar] [CrossRef]
  65. Tylewicz, U.; Tappi, S.; Mannozzi, C.; Romani, S.; Dellarosa, N.; Laghi, L.; Ragni, L.; Rocculi, P.; Dalla Rosa, M. Effect of Pulsed Electric Field (PEF) Pre-Treatment Coupled with Osmotic Dehydration on Physico-Chemical Characteristics of Organic Strawberries. J. Food Eng. 2017, 213, 2–9. [Google Scholar] [CrossRef]
  66. Barragán-Iglesias, J.; Rodríguez-Ramírez, J.; Sablani, S.S.; Méndez-Lagunas, L.L. Texture Analysis of Dried Papaya (Carica papaya L., cv. Maradol) Pretreated with Calcium and Osmotic Dehydration. Dry. Technol. 2019, 37, 906–919. [Google Scholar] [CrossRef]
  67. Pandiselvam, R.; Tak, Y.; Olum, E.; Sujayasree, O.J.; Tekgül, Y.; Çalışkan Koç, G.; Kaur, M.; Nayi, P.; Kothakota, A.; Kumar, M. Advanced Osmotic Dehydration Techniques Combined with Emerging Drying Methods for Sustainable Food Production: Impact on Bioactive Components, Texture, Color, and Sensory Properties of Food. J. Texture Stud. 2022, 53, 737–762. [Google Scholar] [CrossRef]
  68. Sakooei-Vayghan, R.; Peighambardoust, S.H.; Hesari, J.; Peressini, D. Effects of Osmotic Dehydration (with and without Sonication) and Pectin-Based Coating Pretreatments on Functional Properties and Color of Hot-Air Dried Apricot Cubes. Food Chem. 2020, 311, 125978. [Google Scholar] [CrossRef]
  69. Ratnawati, R.; Prasetyaningrum, A.; Wardhani, D.H. Kinetics and Thermodynamics of Ultrasound-Assisted Depolymerization of κ-Carrageenan. Bull. Chem. React. Eng. Catal. 2016, 11, 48–58. [Google Scholar] [CrossRef]
  70. Wu, B.; Guo, X.; Guo, Y.; Ma, H.; Zhou, C. Enhancing Jackfruit Infrared Drying by Combining Ultrasound Treatments: Effect on Drying Characteristics, Quality Properties and Microstructure. Food Chem. 2021, 358, 129845. [Google Scholar] [CrossRef]
  71. Dermesonlouoglou, E.; Zachariou, I.; Andreou, V.; Taoukis, P.S. Effect of Pulsed Electric Fields on Mass Transfer and Quality of Osmotically Dehydrated Kiwifruit. Food Bioprod. Process. 2016, 100, 535–544. [Google Scholar] [CrossRef]
  72. Lawag, I.L.; Nolden, E.S.; Schaper, A.A.M.; Lim, L.Y.; Locher, C. A Modified Folin-Ciocalteu Assay for the Determination of Total Phenolics Content in Honey. Appl. Sci. 2023, 13, 2135. [Google Scholar] [CrossRef]
  73. Macedo, L.L.; Corrêa, J.L.G.; da Silva Araújo, C.; Oliveira, D.d.S.; Teixeira, L.J.Q. Use of Coconut Sugar as an Alternative Agent in Osmotic Dehydration of Strawberries. J. Food Sci. 2023, 88, 3786–3806. [Google Scholar] [CrossRef]
  74. Li, L.; Wang, J.; Jiang, K.; Kuang, Y.; Zeng, Y.; Cheng, X.; Liu, Y.; Wang, S.; Shen, W. Preharvest Application of Hydrogen Nanobubble Water Enhances Strawberry Flavor and Consumer Preferences. Food Chem. 2022, 377, 131953. [Google Scholar] [CrossRef] [PubMed]
  75. Ramallo, L.A.; Mascheroni, R.H. Rate of Water Loss and Sugar Uptake during the Osmotic Dehydration of Pineapple. Braz. Arch. Biol. Technol. 2005, 48, 761–770. [Google Scholar] [CrossRef]
  76. González-Pérez, J.E.; Ramírez-Corona, N.; López-Malo, A. Mass Transfer During Osmotic Dehydration of Fruits and Vegetables: Process Factors and Non-Thermal Methods. Food Eng. Rev. 2021, 13, 344–374. [Google Scholar] [CrossRef]
  77. Zongo, P.A.; Khalloufi, S.; Mikhaylin, S.; Ratti, C. Pulsed Electric Field and Freeze-Thawing Pretreatments for Sugar Uptake Modulation during Osmotic Dehydration of Mango. Foods 2022, 11, 2551. [Google Scholar] [CrossRef] [PubMed]
Disclaimer/Publisher’s Note: The statements, opinions and data contained in all publications are solely those of the individual author(s) and contributor(s) and not of MDPI and/or the editor(s). MDPI and/or the editor(s) disclaim responsibility for any injury to people or property resulting from any ideas, methods, instructions or products referred to in the content.

Article Metrics

Citations

Article Access Statistics

Multiple requests from the same IP address are counted as one view.