Removal of Antibiotics by Biochars: A Critical Review
Abstract
:1. Introduction
2. Biochars and Adsorption: A Bibliometric Survey
3. Antibiotics and Bacterial Cytology
Characteristics of Bacterial Cytology
4. A Critical Review of Biochar-Based Adsorption Processes
- Specific surface area;
- Micro- and mesopore structures;
- Surface functional groups;
- Mineral content and composition.
4.1. Biochar Properties
- The specific surface area of biochars is usually between 0 and 100 m2/g;
- Wood biochars have the greatest specific surface area (up to 738 m2/g);
- The pore volume of different biochars is between 0 and 0.2 cm3/g;
- The ash content of biochars is highly variable; it is highest in sewage sludge, algae, and manure biochars, and lowest in wood biochars.
4.2. Modification of Biochars
4.3. An Overview of Biochar-Based Adsorption Studies
4.4. Thermodynamic and Kinetic Considerations
- -
- If ΔG < 0, the process is thermodynamically favorable, and adsorption will occur spontaneously;
- -
- If ΔG > 0, the process is thermodynamically unfavorable, and adsorption will not occur spontaneously:
- -
- If ΔG = 0, the process is at thermodynamic equilibrium.
5. Knowledge Gaps, Critical Evaluation, and Future Directions
- Currently, there is deficient monitoring of specific antibiotic compounds in water sources.
- Biochars’ surface structure and chemical properties are highly variable among different biochars. Waste biomass materials are usually applied for biochar production, but they have limited potential compared to porous wood biochars.
- The effect of ash contents on adsorption is usually ignored, although inorganics are involved in the surface complexation. More studies are required to screen biochars for ash composition.
- Most antibiotic adsorption studies were performed at the batch scale, which is not representative of real water conditions. Also, studies on the simultaneous removal of antibiotics and other pollutants are still scarce.
- Thermodynamic and kinetic studies on the adsorption of antibiotics on biochars are scarce. The adsorption mechanisms of different antibiotics on pristine chars are not well known.
- Heteroatom doping and iron doping of biochars are promising approaches to increase the adsorption capacity of biochars, but they are costly.
- Molecular imprinting of biochars is another possible way to improve the adsorption capacity of biochars, but this process is also costly.
- The combination of biochars with other antibiotic removal methods, such as the activation of AOPs, seems to be a promising approach.
6. Conclusions
Author Contributions
Funding
Institutional Review Board Statement
Data Availability Statement
Acknowledgments
Conflicts of Interest
References
- Davies, J.; Davies, D. Origins and evolution of antibiotic resistance. Microbiol. Mol. Biol. Rev. 2010, 74, 417–433. [Google Scholar] [CrossRef] [PubMed]
- Nemeth, J.; Oesch, G.; Kuster, S.P. Bacteriostatic versus bactericidal antibiotics for patients with serious bacterial infections: Systematic review and meta-analysis. J. Antimicrob. Chemother. 2015, 70, 382–395. [Google Scholar] [CrossRef] [PubMed]
- Homem, V.; Santos, L. Degradation and removal methods of antibiotics from aqueous matrices–a review. J. Environ. Manag. 2011, 92, 2304–2347. [Google Scholar] [CrossRef] [PubMed]
- Ahmed, M.B.; Zhou, J.L.; Ngo, H.H.; Guo, W. Adsorptive removal of antibiotics from water and wastewater: Progress and challenges. Sci. Total Environ. 2015, 532, 112–126. [Google Scholar]
- Stennett, H.L.; Back, C.R.; Race, P.R. Derivation of a Precise and Consistent Timeline for Antibiotic Development. Antibiotics 2022, 11, 1237. [Google Scholar] [CrossRef]
- Alagawany, M.; Abd El-Hack, M.E.; Farag, M.R.; Sachan, S.; Karthik, K.; Dhama, K. The use of probiotics as eco-friendly alternatives for antibiotics in poultry nutrition. Environ. Sci. Pollut. Res. 2018, 25, 10611–10618. [Google Scholar]
- Gaskins, H.R.; Collier, C.T.; Anderson, D.B. Antibiotics as growth promotants: Mode of action. Anim. Biotechnol. 2002, 13, 29–42. [Google Scholar] [CrossRef]
- Krasucka, P.; Pan, B.; Ok, Y.S.; Mohan, D.; Sarkar, B.; Oleszczuk, P. Engineered biochar–A sustainable solution for the removal of antibiotics from water. Chem. Eng. J. 2021, 405, 126926. [Google Scholar] [CrossRef]
- Blázquez, J.; Couce, A.; Rodríguez-Beltrán, J.; Rodríguez-Rojas, A. Antimicrobials as promoters of genetic variation. Curr. Opin. Microbiol. 2012, 15, 561–569. [Google Scholar] [CrossRef]
- Murray, C.J.L.; Ikuta, K.S.; Sharara, F.; Swetschinski, L.; Aguilar, G.R.; Gray, A.; Han, C.; Bisignano, C.; Rao, P.; Wool, E. Global burden of bacterial antimicrobial resistance in 2019: A systematic analysis. Lancet 2022, 399, 629–655. [Google Scholar] [CrossRef]
- Kwon, J.H.; Powderly, W.G. The post-antibiotic era is here. Science 2021, 373, 471. [Google Scholar] [CrossRef] [PubMed]
- Xiang, Y.; Xu, Z.; Wei, Y.; Zhou, Y.; Yang, X.; Yang, Y.; Yang, J.; Zhang, J.; Luo, L.; Zhou, Z. Carbon-based materials as adsorbent for antibiotics removal: Mechanisms and influencing factors. J. Environ. Manag. 2019, 237, 128–138. [Google Scholar]
- Klein, E.Y.; Van Boeckel, T.P.; Martinez, E.M.; Pant, S.; Gandra, S.; Levin, S.A.; Goossens, H.; Laxminarayan, R. Global increase and geographic convergence in antibiotic consumption between 2000 and 2015. Proc. Natl. Acad. Sci. USA 2018, 115, E3463–E3470. [Google Scholar] [CrossRef] [PubMed]
- Browne, A.J.; Chipeta, M.G.; Haines-Woodhouse, G.; Kumaran, E.P.A.; Hamadani, B.H.K.; Zaraa, S.; Henry, N.J.; Deshpande, A.; Reiner, R.C.; Day, N.P.J. Global antibiotic consumption and usage in humans, 2000–18: A spatial modelling study. Lancet Planet. Health 2021, 5, e893–e904. [Google Scholar] [CrossRef]
- Wise, R. Antimicrobial resistance: Priorities for action. J. Antimicrob. Chemother. 2002, 49, 585–586. [Google Scholar] [CrossRef] [PubMed]
- Kümmerer, K. Significance of antibiotics in the environment. J. Antimicrob. Chemother. 2003, 52, 5–7. [Google Scholar] [CrossRef]
- Miranda, C.; Silva, V.; Capita, R.; Alonso-Calleja, C.; Igrejas, G.; Poeta, P. Implications of antibiotics use during the COVID-19 pandemic: Present and future. J. Antimicrob. Chemother. 2020, 75, 3413–3416. [Google Scholar] [CrossRef]
- Gelband, H.; Miller Molly, P.; Pant, S.; Gandra, S.; Levinson, J.; Barter, D.; White, A.; Laxminarayan, R. The state of the world’s antibiotics 2015. Wound Health South. Afr. 2015, 8, 30–34. [Google Scholar]
- Hutchings, M.I.; Truman, A.W.; Wilkinson, B. Antibiotics: Past, present and future. Curr. Opin. Microbiol. 2019, 51, 72–80. [Google Scholar] [CrossRef]
- Stokes, J.M.; Yang, K.; Swanson, K.; Jin, W.; Cubillos-Ruiz, A.; Donghia, N.M.; MacNair, C.R.; French, S.; Carfrae, L.A.; Bloom-Ackermann, Z. A deep learning approach to antibiotic discovery. Cell 2020, 180, 688–702. [Google Scholar] [CrossRef]
- Aslam, A.; Gajdács, M.; Zin, C.S.; Ab Rahman, N.S.; Ahmed, S.I.; Zafar, M.Z.; Jamshed, S. Evidence of the practice of self-medication with antibiotics among the lay public in low-and middle-income countries: A scoping review. Antibiotics 2020, 9, 597. [Google Scholar] [CrossRef] [PubMed]
- Biswal, B.K.; Balasubramanian, R. Adsorptive removal of sulfonamides, tetracyclines and quinolones from wastewater and water using carbon-based materials: Recent developments and future directions. J. Clean. Prod. 2022, 349, 131421. [Google Scholar] [CrossRef]
- Hiller, C.X.; Hübner, U.; Fajnorova, S.; Schwartz, T.; Drewes, J.E. Antibiotic microbial resistance (AMR) removal efficiencies by conventional and advanced wastewater treatment processes: A review. Sci. Total Environ. 2019, 685, 596–608. [Google Scholar] [PubMed]
- Liu, C.; Li, B.; Liu, M.; Mao, S. Demand, status, and prospect of antibiotics detection in the environment. Sens. Actuators B Chem. 2022, 369, 132383. [Google Scholar]
- Ying, G.-G.; He, L.-Y.; Ying, A.J.; Zhang, Q.-Q.; Liu, Y.-S.; Zhao, J.-L. China must reduce its antibiotic use. Environ. Sci. Technol. 2017, 51, 1072–1073. [Google Scholar] [CrossRef]
- Haenni, M.; Dagot, C.; Chesneau, O.; Bibbal, D.; Labanowski, J.; Vialette, M.; Bouchard, D.; Martin-Laurent, F.; Calsat, L.; Nazaret, S. Environmental contamination in a high-income country (France) by antibiotics, antibiotic-resistant bacteria, and antibiotic resistance genes: Status and possible causes. Environ. Int. 2022, 159, 107047. [Google Scholar]
- Nasrollahi, N.; Vatanpour, V.; Khataee, A. Removal of antibiotics from wastewaters by membrane technology: Limitations, successes, and future improvements. Sci. Total Environ. 2022, 838, 156010. [Google Scholar]
- Diao, Z.-H.; Huang, S.-T.; Chen, X.; Zou, M.-Y.; Liu, H.; Guo, P.-R.; Kong, L.-J.; Chu, W. Peroxymonosulfate-assisted photocatalytic degradation of antibiotic norfloxacin by a calcium-based Ag3PO4 composite in water: Reactivity, products and mechanism. J. Clean. Prod. 2022, 330, 129806. [Google Scholar]
- Diao, Z.-H.; Jin, J.-C.; Zou, M.-Y.; Liu, H.; Qin, J.-Q.; Zhou, X.-H.; Qian, W.; Guo, P.-R.; Kong, L.-J.; Chu, W. Simultaneous degradation of amoxicillin and norfloxacin by TiO2@ nZVI composites coupling with persulfate: Synergistic effect, products and mechanism. Sep. Purif. Technol. 2021, 278, 119620. [Google Scholar] [CrossRef]
- Diao, Z.-H.; Xu, X.-R.; Jiang, D.; Liu, J.-J.; Kong, L.-J.; Li, G.; Zuo, L.-Z.; Wu, Q.-H. Simultaneous photocatalytic Cr (VI) reduction and ciprofloxacin oxidation over TiO2/Fe0 composite under aerobic conditions: Performance, durability, pathway and mechanism. Chem. Eng. J. 2017, 315, 167–176. [Google Scholar]
- Leng, L.; Wei, L.; Xiong, Q.; Xu, S.; Li, W.; Lv, S.; Lu, Q.; Wan, L.; Wen, Z.; Zhou, W. Use of microalgae based technology for the removal of antibiotics from wastewater: A review. Chemosphere 2020, 238, 124680. [Google Scholar] [PubMed]
- Yadav, A.; Dindorkar, S.S.; Ramisetti, S.B. Adsorption behaviour of boron nitride nanosheets towards the positive, negative and the neutral antibiotics: Insights from first principle studies. J. Water Process Eng. 2022, 46, 102555. [Google Scholar]
- Oberoi, A.S.; Jia, Y.; Zhang, H.; Khanal, S.K.; Lu, H. Insights into the fate and removal of antibiotics in engineered biological treatment systems: A critical review. Environ. Sci. Technol. 2019, 53, 7234–7264. [Google Scholar] [PubMed]
- Peng, B.; Chen, L.; Que, C.; Yang, K.; Deng, F.; Deng, X.; Shi, G.; Xu, G.; Wu, M. Adsorption of antibiotics on graphene and biochar in aqueous solutions induced by π-π interactions. Sci. Rep. 2016, 6, 31920. [Google Scholar] [PubMed]
- Li, M.; Liu, Y.; Zeng, G.; Liu, N.; Liu, S. Graphene and graphene-based nanocomposites used for antibiotics removal in water treatment: A review. Chemosphere 2019, 226, 360–380. [Google Scholar]
- Xu, W.; Zhang, G.; Zou, S.; Li, X.; Liu, Y. Determination of selected antibiotics in the Victoria Harbour and the Pearl River, South China using high-performance liquid chromatography-electrospray ionization tandem mass spectrometry. Environ. Pollut. 2007, 145, 672–679. [Google Scholar]
- Li, B.; Zhang, T. Biodegradation and adsorption of antibiotics in the activated sludge process. Environ. Sci. Technol. 2010, 44, 3468–3473. [Google Scholar]
- Zhang, T.; Li, B. Occurrence, transformation, and fate of antibiotics in municipal wastewater treatment plants. Crit. Rev. Environ. Sci. Technol. 2011, 41, 951–998. [Google Scholar]
- Kermani, M.; Izanloo, H.; Kalantary, R.R.; Barzaki, H.S.; Kakavandi, B. Study of the performances of low-cost adsorbents extracted from Rosa damascena in aqueous solutions decolorization. Desalin. Water Treat. 2017, 80, 357–369. [Google Scholar] [CrossRef]
- Kakavandi, B.; Raofi, A.; Peyghambarzadeh, S.M.; Ramavandi, B.; Niri, M.H.; Ahmadi, M. Efficient adsorption of cobalt on chemical modified activated carbon: Characterization, optimization and modeling studies. Desalin. Water Treat. 2018, 111, 310–321. [Google Scholar] [CrossRef]
- Yu, F.; Li, Y.; Han, S.; Ma, J. Adsorptive removal of antibiotics from aqueous solution using carbon materials. Chemosphere 2016, 153, 365–385. [Google Scholar] [PubMed]
- He, M.; Xu, Z.; Hou, D.; Gao, B.; Cao, X.; Ok, Y.S.; Rinklebe, J.; Bolan, N.S.; Tsang, D.C.W. Waste-derived biochar for water pollution control and sustainable development. Nat. Rev. Earth Environ. 2022, 3, 444–460. [Google Scholar]
- Zhang, A.; Li, X.; Xing, J.; Xu, G. Adsorption of potentially toxic elements in water by modified biochar: A review. J. Environ. Chem. Eng. 2020, 8, 104196. [Google Scholar]
- Park, J.H.; Choppala, G.K.; Bolan, N.S.; Chung, J.W.; Chuasavathi, T. Biochar reduces the bioavailability and phytotoxicity of heavy metals. Plant Soil 2011, 348, 439–451. [Google Scholar]
- Brassard, P.; Godbout, S.; Lévesque, V.; Palacios, J.H.; Raghavan, V.; Ahmed, A.; Hogue, R.; Jeanne, T.; Verma, M. Biochar for soil amendment. In Char and Carbon Materials Derived from Biomass; Elsevier: Amsterdam, The Netherlands, 2019; pp. 109–146. [Google Scholar]
- Zhao, C.; Shao, B.; Yan, M.; Liu, Z.; Liang, Q.; He, Q.; Wu, T.; Liu, Y.; Pan, Y.; Huang, J. Activation of peroxymonosulfate by biochar-based catalysts and applications in the degradation of organic contaminants: A review. Chem. Eng. J. 2021, 416, 128829. [Google Scholar]
- Joseph, S.D.; Downie, A.; Munroe, P.; Crosky, A.; Lehmann, J. Biochar for carbon sequestration, reduction of greenhouse gas emissions and enhancement of soil fertility; a review of the materials science. In Proceedings of the Australian Combustion Symposium, Sydney, Australia, 9–11 December 2007; pp. 130–133. [Google Scholar]
- Lehmann, J.; Joseph, S. Biochar for Environmental Management: Science, Technology and Implementation; Routledge: Abingdon, UK, 2015; ISBN 1134489536. [Google Scholar]
- Du, L.; Ahmad, S.; Liu, L.; Wang, L.; Tang, J. A review of antibiotics and antibiotic resistance genes (ARGs) adsorption by biochar and modified biochar in water. Sci. Total Environ. 2023, 858, 159815. [Google Scholar]
- Smernik, R.J. Biochar and sorption of organic compounds. In Biochar for Environmental Management; Routledge: Abingdon, UK, 2012; pp. 321–332. [Google Scholar]
- Ji, L.; Liu, F.; Xu, Z.; Zheng, S.; Zhu, D. Adsorption of pharmaceutical antibiotics on template-synthesized ordered micro-and mesoporous carbons. Environ. Sci. Technol. 2010, 44, 3116–3122. [Google Scholar]
- Koyuncu, I.; Arikan, O.A.; Wiesner, M.R.; Rice, C. Removal of hormones and antibiotics by nanofiltration membranes. J. Memb. Sci. 2008, 309, 94–101. [Google Scholar]
- Ji, L.; Wan, Y.; Zheng, S.; Zhu, D. Adsorption of tetracycline and sulfamethoxazole on crop residue-derived ashes: Implication for the relative importance of black carbon to soil sorption. Environ. Sci. Technol. 2011, 45, 5580–5586. [Google Scholar]
- Li, M.; Dong, C.; Guo, C.; Yu, L. Magnetic Activated Biochar Fe3O4-MOS Made from Moringa Seed Shells for the Adsorption of Methylene Blue. Processes 2022, 10, 2720. [Google Scholar]
- Van Eck, N.; Waltman, L. Software survey: VOSviewer, a computer program for bibliometric mapping. Scientometrics 2010, 84, 523–538. [Google Scholar] [CrossRef] [PubMed]
- Kümmerer, K.; Henninger, A. Promoting resistance by the emission of antibiotics from hospitals and households into effluent. Clin. Microbiol. Infect. 2003, 9, 1203–1214. [Google Scholar] [CrossRef] [PubMed]
- Nonejuie, P.; Burkart, M.; Pogliano, K.; Pogliano, J. Bacterial cytological profiling rapidly identifies the cellular pathways targeted by antibacterial molecules. Proc. Natl. Acad. Sci. USA 2013, 110, 16169–16174. [Google Scholar] [CrossRef]
- Veetilvalappil, V.V.; Manuel, A.; Aranjani, J.M.; Tawale, R.; Koteshwara, A. Pathogenic arsenal of Pseudomonas aeruginosa: An update on virulence factors. Future Microbiol. 2022, 17, 465–481. [Google Scholar] [CrossRef]
- Dowling, A.; O’dwyer, J.; Adley, C. Antibiotics: Mode of action and mechanisms of resistance. Antimicrob. Res. Nov. Bioknowledge Educ. Programs 2017, 1, 536–545. [Google Scholar]
- Michael, I.; Rizzo, L.; McArdell, C.S.; Manaia, C.M.; Merlin, C.; Schwartz, T.; Dagot, C.; Fatta-Kassinos, D. Urban wastewater treatment plants as hotspots for the release of antibiotics in the environment: A review. Water Res. 2013, 47, 957–995. [Google Scholar] [CrossRef]
- Dong, F.-X.; Yan, L.; Huang, S.-T.; Liang, J.-Y.; Zhang, W.-X.; Yao, X.-W.; Chen, X.; Qian, W.; Guo, P.-R.; Kong, L.-J. Removal of antibiotics sulfadiazine by a biochar based material activated persulfate oxidation system: Performance, products and mechanism. Process Saf. Environ. Prot. 2022, 157, 411–419. [Google Scholar] [CrossRef]
- Huang, S.-T.; Lei, Y.-Q.; Guo, P.-R.; Zhang, W.-X.; Liang, J.-Y.; Chen, X.; Xu, J.-W.; Diao, Z.-H. Degradation of Levofloxacin by a green zero-valent iron-loaded carbon composite activating peroxydisulfate system: Reactivity, products and mechanism. Chemosphere 2023, 340, 139899. [Google Scholar] [CrossRef]
- Liang, J.-Y.; Zhang, W.-X.; Yao, X.-W.; Chen, M.-L.; Chen, X.; Kong, L.-J.; Diao, Z.-H. New insights into co-adsorption of Cr6+ and chlortetracycline by a new fruit peel based biochar composite from water: Behavior and mechanism. Colloids Surf. A Physicochem. Eng. Asp. 2023, 672, 131764. [Google Scholar] [CrossRef]
- Liu, J.-J.; Diao, Z.-H.; Liu, C.-M.; Jiang, D.; Kong, L.-J.; Xu, X.-R. Synergistic reduction of copper (II) and oxidation of norfloxacin over a novel sewage sludge-derived char-based catalyst: Performance, fate and mechanism. J. Clean. Prod. 2018, 182, 794–804. [Google Scholar] [CrossRef]
- Li, N.; Zhou, L.; Jin, X.; Owens, G.; Chen, Z. Simultaneous removal of tetracycline and oxytetracycline antibiotics from wastewater using a ZIF-8 metal organic-framework. J. Hazard. Mater. 2019, 366, 563–572. [Google Scholar] [CrossRef] [PubMed]
- Li, J.; Zhang, K.; Zhang, H. Adsorption of antibiotics on microplastics. Environ. Pollut. 2018, 237, 460–467. [Google Scholar] [CrossRef] [PubMed]
- Lin, Y.; Xu, S.; Li, J. Fast and highly efficient tetracyclines removal from environmental waters by graphene oxide functionalized magnetic particles. Chem. Eng. J. 2013, 225, 679–685. [Google Scholar] [CrossRef]
- Wang, B.; Gao, B.; Fang, J. Recent advances in engineered biochar productions and applications. Crit. Rev. Environ. Sci. Technol. 2017, 47, 2158–2207. [Google Scholar] [CrossRef]
- Qiu, B.; Shao, Q.; Shi, J.; Yang, C.; Chu, H. Application of biochar for the adsorption of organic pollutants from wastewater: Modification strategies, mechanisms and challenges. Sep. Purif. Technol. 2022, 300, 121925. [Google Scholar] [CrossRef]
- Weber, K.; Quicker, P. Properties of biochar. Fuel 2018, 217, 240–261. [Google Scholar] [CrossRef]
- Leng, L.; Xiong, Q.; Yang, L.; Li, H.; Zhou, Y.; Zhang, W.; Jiang, S.; Li, H.; Huang, H. An overview on engineering the surface area and porosity of biochar. Sci. Total Environ. 2021, 763, 144204. [Google Scholar] [CrossRef]
- Bagreev, A.; Bandosz, T.J.; Locke, D.C. Pore structure and surface chemistry of adsorbents obtained by pyrolysis of sewage sludge-derived fertilizer. Carbon N. Y. 2001, 39, 1971–1979. [Google Scholar] [CrossRef]
- Ahmad, M.; Rajapaksha, A.U.; Lim, J.E.; Zhang, M.; Bolan, N.; Mohan, D.; Vithanage, M.; Lee, S.S.; Ok, Y.S. Biochar as a sorbent for contaminant management in soil and water: A review. Chemosphere 2014, 99, 19–33. [Google Scholar] [CrossRef]
- Braida, W.J.; Pignatello, J.J.; Lu, Y.; Ravikovitch, P.I.; Neimark, A.V.; Xing, B. Sorption hysteresis of benzene in charcoal particles. Environ. Sci. Technol. 2003, 37, 409–417. [Google Scholar] [CrossRef]
- Pattaraprakorn, W.; Nakamura, R.; Aida, T.; Niiyama, H. Adsorption of CO2 and N2 onto charcoal treated at different temperatures. J. Chem. Eng. Jpn. 2005, 38, 366–372. [Google Scholar] [CrossRef]
- Cantrell, K.B.; Hunt, P.G.; Uchimiya, M.; Novak, J.M.; Ro, K.S. Impact of pyrolysis temperature and manure source on physicochemical characteristics of biochar. Bioresour. Technol. 2012, 107, 419–428. [Google Scholar] [CrossRef] [PubMed]
- Wang, P.; Zhang, J.; Shao, Q.; Wang, G. Physicochemical properties evolution of chars from palm kernel shell pyrolysis. J. Therm. Anal. Calorim. 2018, 133, 1271–1280. [Google Scholar] [CrossRef]
- Ahmad, S.; Gao, F.; Lyu, H.; Ma, J.; Zhao, B.; Xu, S.; Ri, C.; Tang, J. Temperature-dependent carbothermally reduced iron and nitrogen doped biochar composites for removal of hexavalent chromium and nitrobenzene. Chem. Eng. J. 2022, 450, 138006. [Google Scholar] [CrossRef]
- Nguyen, B.T.; Lehmann, J. Black carbon decomposition under varying water regimes. Org. Geochem. 2009, 40, 846–853. [Google Scholar] [CrossRef]
- Nguyen, B.T.; Lehmann, J.; Hockaday, W.C.; Joseph, S.; Masiello, C.A. Temperature sensitivity of black carbon decomposition and oxidation. Environ. Sci. Technol. 2010, 44, 3324–3331. [Google Scholar] [CrossRef]
- Fu, P.; Hu, S.; Xiang, J.; Sun, L.; Su, S.; An, S. Study on the gas evolution and char structural change during pyrolysis of cotton stalk. J. Anal. Appl. Pyrolysis 2012, 97, 130–136. [Google Scholar] [CrossRef]
- Chen, Y.; Zhang, X.; Chen, W.; Yang, H.; Chen, H. The structure evolution of biochar from biomass pyrolysis and its correlation with gas pollutant adsorption performance. Bioresour. Technol. 2017, 246, 101–109. [Google Scholar] [CrossRef]
- Chen, B.; Zhou, D.; Zhu, L. Transitional adsorption and partition of nonpolar and polar aromatic contaminants by biochars of pine needles with different pyrolytic temperatures. Environ. Sci. Technol. 2008, 42, 5137–5143. [Google Scholar] [CrossRef]
- Kim, K.H.; Kim, J.-Y.; Cho, T.-S.; Choi, J.W. Influence of pyrolysis temperature on physicochemical properties of biochar obtained from the fast pyrolysis of pitch pine (Pinus rigida). Bioresour. Technol. 2012, 118, 158–162. [Google Scholar] [CrossRef]
- Lu, L.; Kong, C.; Sahajwalla, V.; Harris, D. Char structural ordering during pyrolysis and combustion and its influence on char reactivity. Fuel 2002, 81, 1215–1225. [Google Scholar] [CrossRef]
- Zeng, K.; Minh, D.P.; Gauthier, D.; Weiss-Hortala, E.; Nzihou, A.; Flamant, G. The effect of temperature and heating rate on char properties obtained from solar pyrolysis of beech wood. Bioresour. Technol. 2015, 182, 114–119. [Google Scholar] [CrossRef] [PubMed]
- Chen, D.; Li, Y.; Cen, K.; Luo, M.; Li, H.; Lu, B. Pyrolysis polygeneration of poplar wood: Effect of heating rate and pyrolysis temperature. Bioresour. Technol. 2016, 218, 780–788. [Google Scholar] [CrossRef] [PubMed]
- Lattao, C.; Cao, X.; Mao, J.; Schmidt-Rohr, K.; Pignatello, J.J. Influence of molecular structure and adsorbent properties on sorption of organic compounds to a temperature series of wood chars. Environ. Sci. Technol. 2014, 48, 4790–4798. [Google Scholar] [CrossRef]
- Mukherjee, A.; Zimmerman, A.R.; Harris, W. Surface chemistry variations among a series of laboratory-produced biochars. Geoderma 2011, 163, 247–255. [Google Scholar] [CrossRef]
- Krahn, K.M.; Cornelissen, G.; Castro, G.; Arp, H.P.H.; Asimakopoulos, A.G.; Wolf, R.; Holmstad, R.; Zimmerman, A.R.; Sørmo, E. Sewage sludge biochars as effective PFAS-sorbents. J. Hazard. Mater. 2023, 445, 130449. [Google Scholar] [CrossRef]
- Mehio, N.; Dai, S.; Jiang, D. Quantum mechanical basis for kinetic diameters of small gaseous molecules. J. Phys. Chem. A 2014, 118, 1150–1154. [Google Scholar] [CrossRef]
- Pignatello, J.J.; Kwon, S.; Lu, Y. Effect of natural organic substances on the surface and adsorptive properties of environmental black carbon (char): Attenuation of surface activity by humic and fulvic acids. Environ. Sci. Technol. 2006, 40, 7757–7763. [Google Scholar] [CrossRef]
- Jimenez-Cordero, D.; Heras, F.; Alonso-Morales, N.; Gilarranz, M.A.; Rodriguez, J.J. Porous structure and morphology of granular chars from flash and conventional pyrolysis of grape seeds. Biomass Bioenergy 2013, 54, 123–132. [Google Scholar] [CrossRef]
- Jindarom, C.; Meeyoo, V.; Kitiyanan, B.; Rirksomboon, T.; Rangsunvigit, P. Surface characterization and dye adsorptive capacities of char obtained from pyrolysis/gasification of sewage sludge. Chem. Eng. J. 2007, 133, 239–246. [Google Scholar] [CrossRef]
- Zhang, W.; Mao, S.; Chen, H.; Huang, L.; Qiu, R. Pb (II) and Cr (VI) sorption by biochars pyrolyzed from the municipal wastewater sludge under different heating conditions. Bioresour. Technol. 2013, 147, 545–552. [Google Scholar] [CrossRef] [PubMed]
- Xu, Q.; Tang, S.; Wang, J.; Ko, J.H. Pyrolysis kinetics of sewage sludge and its biochar characteristics. Process Saf. Environ. Prot. 2018, 115, 49–56. [Google Scholar] [CrossRef]
- Chen, T.; Zhang, Y.; Wang, H.; Lu, W.; Zhou, Z.; Zhang, Y.; Ren, L. Influence of pyrolysis temperature on characteristics and heavy metal adsorptive performance of biochar derived from municipal sewage sludge. Bioresour. Technol. 2014, 164, 47–54. [Google Scholar] [CrossRef] [PubMed]
- Yuan, H.; Lu, T.; Huang, H.; Zhao, D.; Kobayashi, N.; Chen, Y. Influence of pyrolysis temperature on physical and chemical properties of biochar made from sewage sludge. J. Anal. Appl. Pyrolysis 2015, 112, 284–289. [Google Scholar] [CrossRef]
- Iberahim, N.; Sethupathi, S.; Bashir, M.J.K. Optimization of palm oil mill sludge biochar preparation for sulfur dioxide removal. Environ. Sci. Pollut. Res. 2018, 25, 25702–25714. [Google Scholar] [CrossRef]
- Li, J.; Yu, G.; Pan, L.; Li, C.; You, F.; Xie, S.; Wang, Y.; Ma, J.; Shang, X. Study of ciprofloxacin removal by biochar obtained from used tea leaves. J. Environ. Sci. 2018, 73, 20–30. [Google Scholar] [CrossRef]
- Keiluweit, M.; Nico, P.S.; Johnson, M.G.; Kleber, M. Dynamic molecular structure of plant biomass-derived black carbon (biochar). Environ. Sci. Technol. 2010, 44, 1247–1253. [Google Scholar] [CrossRef]
- Chowdhury, Z.Z.; Karim, M.Z.; Ashraf, M.A.; Khalid, K. Influence of carbonization temperature on physicochemical properties of biochar derived from slow pyrolysis of durian wood (Durio zibethinus) sawdust. BioResources 2016, 11, 3356–3372. [Google Scholar] [CrossRef]
- Vaughn, S.F.; Kenar, J.A.; Tisserat, B.; Jackson, M.A.; Joshee, N.; Vaidya, B.N.; Peterson, S.C. Chemical and physical properties of Paulownia elongata biochar modified with oxidants for horticultural applications. Ind. Crops Prod. 2017, 97, 260–267. [Google Scholar] [CrossRef]
- Li, C.; Zhu, X.; He, H.; Fang, Y.; Dong, H.; Lü, J.; Li, J.; Li, Y. Adsorption of two antibiotics on biochar prepared in air-containing atmosphere: Influence of biochar porosity and molecular size of antibiotics. J. Mol. Liq. 2019, 274, 353–361. [Google Scholar] [CrossRef]
- Mohan, D.; Rajput, S.; Singh, V.K.; Steele, P.H.; Pittman, C.U., Jr. Modeling and evaluation of chromium remediation from water using low cost bio-char, a green adsorbent. J. Hazard. Mater. 2011, 188, 319–333. [Google Scholar] [CrossRef] [PubMed]
- Lee, J.W.; Kidder, M.; Evans, B.R.; Paik, S.; Buchanan, A.C., III; Garten, C.T.; Brown, R.C. Characterization of biochars produced from cornstovers for soil amendment. Environ. Sci. Technol. 2010, 44, 7970–7974. [Google Scholar] [CrossRef] [PubMed]
- Mullen, C.A.; Boateng, A.A.; Goldberg, N.M.; Lima, I.M.; Laird, D.A.; Hicks, K.B. Bio-oil and bio-char production from corn cobs and stover by fast pyrolysis. Biomass Bioenergy 2010, 34, 67–74. [Google Scholar] [CrossRef]
- Ahmad, M.; Lee, S.S.; Dou, X.; Mohan, D.; Sung, J.-K.; Yang, J.E.; Ok, Y.S. Effects of pyrolysis temperature on soybean stover-and peanut shell-derived biochar properties and TCE adsorption in water. Bioresour. Technol. 2012, 118, 536–544. [Google Scholar] [CrossRef]
- Muradov, N.; Fidalgo, B.; Gujar, A.C.; Garceau, N.; Ali, T. Production and characterization of Lemna minor bio-char and its catalytic application for biogas reforming. Biomass Bioenergy 2012, 42, 123–131. [Google Scholar] [CrossRef]
- Liu, P.; Liu, W.-J.; Jiang, H.; Chen, J.-J.; Li, W.-W.; Yu, H.-Q. Modification of bio-char derived from fast pyrolysis of biomass and its application in removal of tetracycline from aqueous solution. Bioresour. Technol. 2012, 121, 235–240. [Google Scholar] [CrossRef]
- Cope, C.O.; Webster, D.S.; Sabatini, D.A. Arsenate adsorption onto iron oxide amended rice husk char. Sci. Total Environ. 2014, 488, 554–561. [Google Scholar] [CrossRef]
- Deng, Y.; Huang, S.; Dong, C.; Meng, Z.; Wang, X. Competitive adsorption behaviour and mechanisms of cadmium, nickel and ammonium from aqueous solution by fresh and ageing rice straw biochars. Bioresour. Technol. 2020, 303, 122853. [Google Scholar] [CrossRef]
- Zeng, Z.; Tan, X.; Liu, Y.; Tian, S.; Zeng, G.; Jiang, L.; Liu, S.; Li, J.; Liu, N.; Yin, Z. Comprehensive adsorption studies of doxycycline and ciprofloxacin antibiotics by biochars prepared at different temperatures. Front. Chem. 2018, 6, 80. [Google Scholar] [CrossRef]
- Angın, D.; Şensöz, S. Effect of pyrolysis temperature on chemical and surface properties of biochar of rapeseed (Brassica napus L. ). Int. J. Phytoremedia. 2014, 16, 684–693. [Google Scholar] [CrossRef]
- Karaosmanoǧlu, F.; Işıḡıgür-Ergüdenler, A.; Sever, A. Biochar from the straw-stalk of rapeseed plant. Energy Fuels 2000, 14, 336–339. [Google Scholar] [CrossRef]
- Wang, X.; Zhou, W.; Liang, G.; Song, D.; Zhang, X. Characteristics of maize biochar with different pyrolysis temperatures and its effects on organic carbon, nitrogen and enzymatic activities after addition to fluvo-aquic soil. Sci. Total Environ. 2015, 538, 137–144. [Google Scholar] [CrossRef] [PubMed]
- Mubarik, S.; Saeed, A.; Athar, M.M.; Iqbal, M. Characterization and mechanism of the adsorptive removal of 2, 4, 6-trichlorophenol by biochar prepared from sugarcane baggase. J. Ind. Eng. Chem. 2016, 33, 115–121. [Google Scholar] [CrossRef]
- Lee, Y.; Ryu, C.; Park, Y.-K.; Jung, J.-H.; Hyun, S. Characteristics of biochar produced from slow pyrolysis of Geodae-Uksae 1. Bioresour. Technol. 2013, 130, 345–350. [Google Scholar] [CrossRef] [PubMed]
- Saldarriaga, J.F.; Montoya, N.A.; Estiati, I.; Aguayo, A.T.; Aguado, R.; Olazar, M. Unburned material from biomass combustion as low-cost adsorbent for amoxicillin removal from wastewater. J. Clean. Prod. 2021, 284, 124732. [Google Scholar] [CrossRef]
- Jang, H.M.; Kan, E. A novel hay-derived biochar for removal of tetracyclines in water. Bioresour. Technol. 2019, 274, 162–172. [Google Scholar] [CrossRef]
- Chen, B.; Chen, Z. Sorption of naphthalene and 1-naphthol by biochars of orange peels with different pyrolytic temperatures. Chemosphere 2009, 76, 127–133. [Google Scholar] [CrossRef]
- Lian, F.; Huang, F.; Chen, W.; Xing, B.; Zhu, L. Sorption of apolar and polar organic contaminants by waste tire rubber and its chars in single-and bi-solute systems. Environ. Pollut. 2011, 159, 850–857. [Google Scholar] [CrossRef]
- Ronsse, F.; Van Hecke, S.; Dickinson, D.; Prins, W. Production and characterization of slow pyrolysis biochar: Influence of feedstock type and pyrolysis conditions. GCB Bioenergy 2013, 5, 104–115. [Google Scholar] [CrossRef]
- Zhao, L.; Cao, X.; Mašek, O.; Zimmerman, A. Heterogeneity of biochar properties as a function of feedstock sources and production temperatures. J. Hazard. Mater. 2013, 256, 1–9. [Google Scholar] [CrossRef]
- Kloss, S.; Zehetner, F.; Dellantonio, A.; Hamid, R.; Ottner, F.; Liedtke, V.; Schwanninger, M.; Gerzabek, M.H.; Soja, G. Characterization of slow pyrolysis biochars: Effects of feedstocks and pyrolysis temperature on biochar properties. J. Environ. Qual. 2012, 41, 990–1000. [Google Scholar] [CrossRef] [PubMed]
- Luo, L.; Xu, C.; Chen, Z.; Zhang, S. Properties of biomass-derived biochars: Combined effects of operating conditions and biomass types. Bioresour. Technol. 2015, 192, 83–89. [Google Scholar] [CrossRef] [PubMed]
- Gai, X.; Wang, H.; Liu, J.; Zhai, L.; Liu, S.; Ren, T.; Liu, H. Effects of feedstock and pyrolysis temperature on biochar adsorption of ammonium and nitrate. PLoS ONE 2014, 9, e113888. [Google Scholar] [CrossRef] [PubMed]
- Uchimiya, M.; Wartelle, L.H.; Lima, I.M.; Klasson, K.T. Sorption of deisopropylatrazine on broiler litter biochars. J. Agric. Food Chem. 2010, 58, 12350–12356. [Google Scholar] [CrossRef]
- Song, W.; Guo, M. Quality variations of poultry litter biochar generated at different pyrolysis temperatures. J. Anal. Appl. Pyrolysis 2012, 94, 138–145. [Google Scholar] [CrossRef]
- Touray, N.; Tsai, W.-T.; Chen, H.-R.; Liu, S.-C. Thermochemical and pore properties of goat-manure-derived biochars prepared from different pyrolysis temperatures. J. Anal. Appl. Pyrolysis 2014, 109, 116–122. [Google Scholar] [CrossRef]
- Zhang, J.; Huang, B.; Chen, L.; Li, Y.; Li, W.; Luo, Z. Characteristics of biochar produced from yak manure at different pyrolysis temperatures and its effects on the yield and growth of highland barley. Chem. Speciat. Bioavailab. 2018, 30, 57–67. [Google Scholar] [CrossRef]
- Bordoloi, N.; Narzari, R.; Sut, D.; Saikia, R.; Chutia, R.S.; Kataki, R. Characterization of bio-oil and its sub-fractions from pyrolysis of Scenedesmus dimorphus. Renew. Energy 2016, 98, 245–253. [Google Scholar] [CrossRef]
- Jung, K.-W.; Jeong, T.-U.; Kang, H.-J.; Ahn, K.-H. Characteristics of biochar derived from marine macroalgae and fabrication of granular biochar by entrapment in calcium-alginate beads for phosphate removal from aqueous solution. Bioresour. Technol. 2016, 211, 108–116. [Google Scholar] [CrossRef]
- Jung, K.-W.; Kim, K.; Jeong, T.-U.; Ahn, K.-H. Influence of pyrolysis temperature on characteristics and phosphate adsorption capability of biochar derived from waste-marine macroalgae (Undaria pinnatifida roots). Bioresour. Technol. 2016, 200, 1024–1028. [Google Scholar] [CrossRef]
- Boakye, P.; Tran, H.N.; Lee, D.S.; Woo, S.H. Effect of water washing pretreatment on property and adsorption capacity of macroalgae-derived biochar. J. Environ. Manag. 2019, 233, 165–174. [Google Scholar] [CrossRef] [PubMed]
- Yang, H.; Huan, B.; Chen, Y.; Gao, Y.; Li, J.; Chen, H. Biomass-based pyrolytic polygeneration system for bamboo industry waste: Evolution of the char structure and the pyrolysis mechanism. Energy Fuels 2016, 30, 6430–6439. [Google Scholar] [CrossRef]
- Liu, Y.; Yao, S.; Wang, Y.; Lu, H.; Brar, S.K.; Yang, S. Bio-and hydrochars from rice straw and pig manure: Inter-comparison. Bioresour. Technol. 2017, 235, 332–337. [Google Scholar] [CrossRef]
- Suliman, W.; Harsh, J.B.; Abu-Lail, N.I.; Fortuna, A.-M.; Dallmeyer, I.; Garcia-Perez, M. Influence of feedstock source and pyrolysis temperature on biochar bulk and surface properties. Biomass Bioenergy 2016, 84, 37–48. [Google Scholar] [CrossRef]
- Ok, Y.S.; Chang, S.X.; Gao, B.; Chung, H.-J. SMART biochar technology—A shifting paradigm towards advanced materials and healthcare research. Environ. Technol. Innov. 2015, 4, 206–209. [Google Scholar] [CrossRef]
- Mohamed, B.A.; Ellis, N.; Kim, C.S.; Bi, X.; Emam, A.E. Engineered biochar from microwave-assisted catalytic pyrolysis of switchgrass for increasing water-holding capacity and fertility of sandy soil. Sci. Total Environ. 2016, 566, 387–397. [Google Scholar] [CrossRef]
- Yao, Y.; Gao, B.; Chen, J.; Yang, L. Engineered biochar reclaiming phosphate from aqueous solutions: Mechanisms and potential application as a slow-release fertilizer. Environ. Sci. Technol. 2013, 47, 8700–8708. [Google Scholar] [CrossRef]
- Rajapaksha, A.U.; Chen, S.S.; Tsang, D.C.W.; Zhang, M.; Vithanage, M.; Mandal, S.; Gao, B.; Bolan, N.S.; Ok, Y.S. Engineered/designer biochar for contaminant removal/immobilization from soil and water: Potential and implication of biochar modification. Chemosphere 2016, 148, 276–291. [Google Scholar] [CrossRef]
- Huang, H.; Tang, J.; Gao, K.; He, R.; Zhao, H.; Werner, D. Characterization of KOH modified biochars from different pyrolysis temperatures and enhanced adsorption of antibiotics. RSC Adv. 2017, 7, 14640–14648. [Google Scholar] [CrossRef]
- Nguyen, V.-T.; Nguyen, T.-B.; Huang, C.P.; Chen, C.-W.; Bui, X.-T.; Dong, C.-D. Alkaline modified biochar derived from spent coffee ground for removal of tetracycline from aqueous solutions. J. Water Process Eng. 2021, 40, 101908. [Google Scholar] [CrossRef]
- Zhang, X.; Gang, D.D.; Zhang, J.; Lei, X.; Lian, Q.; Holmes, W.E.; Zappi, M.E.; Yao, H. Insight into the activation mechanisms of biochar by boric acid and its application for the removal of sulfamethoxazole. J. Hazard. Mater. 2022, 424, 127333. [Google Scholar] [CrossRef] [PubMed]
- Tang, L.; Yu, J.; Pang, Y.; Zeng, G.; Deng, Y.; Wang, J.; Ren, X.; Ye, S.; Peng, B.; Feng, H. Sustainable efficient adsorbent: Alkali-acid modified magnetic biochar derived from sewage sludge for aqueous organic contaminant removal. Chem. Eng. J. 2018, 336, 160–169. [Google Scholar] [CrossRef]
- Zhou, Y.; He, Y.; He, Y.; Liu, X.; Xu, B.; Yu, J.; Dai, C.; Huang, A.; Pang, Y.; Luo, L. Analyses of tetracycline adsorption on alkali-acid modified magnetic biochar: Site energy distribution consideration. Sci. Total Environ. 2019, 650, 2260–2266. [Google Scholar] [CrossRef]
- Xiang, W.; Wan, Y.; Zhang, X.; Tan, Z.; Xia, T.; Zheng, Y.; Gao, B. Adsorption of tetracycline hydrochloride onto ball-milled biochar: Governing factors and mechanisms. Chemosphere 2020, 255, 127057. [Google Scholar] [CrossRef]
- Gęca, M.; Khalil, A.M.; Tang, M.; Bhakta, A.K.; Snoussi, Y.; Nowicki, P.; Wiśniewska, M.; Chehimi, M.M. Surface Treatment of Biochar—Methods, Surface Analysis and Potential Applications: A Comprehensive Review. Surfaces 2023, 6, 179–213. [Google Scholar] [CrossRef]
- Zhao, J.; Liang, G.; Zhang, X.; Cai, X.; Li, R.; Xie, X.; Wang, Z. Coating magnetic biochar with humic acid for high efficient removal of fluoroquinolone antibiotics in water. Sci. Total Environ. 2019, 688, 1205–1215. [Google Scholar] [CrossRef] [PubMed]
- Jing, X.-R.; Wang, Y.-Y.; Liu, W.-J.; Wang, Y.-K.; Jiang, H. Enhanced adsorption performance of tetracycline in aqueous solutions by methanol-modified biochar. Chem. Eng. J. 2014, 248, 168–174. [Google Scholar] [CrossRef]
- Gao, N.; Du, W.; Zhang, M.; Ling, G.; Zhang, P. Chitosan-modified biochar: Preparation, modifications, mechanisms and applications. Int. J. Biol. Macromol. 2022, 209, 31–49. [Google Scholar] [CrossRef]
- Liu, J.; Zhou, B.; Zhang, H.; Ma, J.; Mu, B.; Zhang, W. A novel Biochar modified by Chitosan-Fe/S for tetracycline adsorption and studies on site energy distribution. Bioresour. Technol. 2019, 294, 122152. [Google Scholar] [CrossRef]
- Ngo, H.H.; Guo, W.; Nguyen, T.H.; Luong, T.M.L.; Nguyen, X.H.; Phan, T.L.A.; Nguyen, M.P.; Nguyen, M.K. New chitosan-biochar composite derived from agricultural waste for removing sulfamethoxazole antibiotics in water. Bioresour. Technol. 2023, 385, 129384. [Google Scholar]
- Hu, B.; Tang, Y.; Wang, X.; Wu, L.; Nong, J.; Yang, X.; Guo, J. Cobalt-gadolinium modified biochar as an adsorbent for antibiotics in single and binary systems. Microchem. J. 2021, 166, 106235. [Google Scholar] [CrossRef]
- Shen, Q.; Wang, Z.; Yu, Q.; Cheng, Y.; Liu, Z.; Zhang, T.; Zhou, S. Removal of tetracycline from an aqueous solution using manganese dioxide modified biochar derived from Chinese herbal medicine residues. Environ. Res. 2020, 183, 109195. [Google Scholar] [CrossRef] [PubMed]
- Xiang, Y.; Yang, X.; Xu, Z.; Hu, W.; Zhou, Y.; Wan, Z.; Yang, Y.; Wei, Y.; Yang, J.; Tsang, D.C.W. Fabrication of sustainable manganese ferrite modified biochar from vinasse for enhanced adsorption of fluoroquinolone antibiotics: Effects and mechanisms. Sci. Total Environ. 2020, 709, 136079. [Google Scholar] [CrossRef] [PubMed]
- Amusat, S.O.; Kebede, T.G.; Dube, S.; Nindi, M.M. Ball-milling synthesis of biochar and biochar–based nanocomposites and prospects for removal of emerging contaminants: A review. J. Water Process Eng. 2021, 41, 101993. [Google Scholar] [CrossRef]
- Huang, D.; Wang, X.; Zhang, C.; Zeng, G.; Peng, Z.; Zhou, J.; Cheng, M.; Wang, R.; Hu, Z.; Qin, X. Sorptive removal of ionizable antibiotic sulfamethazine from aqueous solution by graphene oxide-coated biochar nanocomposites: Influencing factors and mechanism. Chemosphere 2017, 186, 414–421. [Google Scholar] [CrossRef]
- Inyang, M.; Gao, B.; Zimmerman, A.; Zhou, Y.; Cao, X. Sorption and cosorption of lead and sulfapyridine on carbon nanotube-modified biochars. Environ. Sci. Pollut. Res. 2015, 22, 1868–1876. [Google Scholar] [CrossRef]
- Mei, Y.; Xu, J.; Zhang, Y.; Li, B.; Fan, S.; Xu, H. Effect of Fe–N modification on the properties of biochars and their adsorption behavior on tetracycline removal from aqueous solution. Bioresour. Technol. 2021, 325, 124732. [Google Scholar] [CrossRef]
- Tang, W.; Zanli, B.L.G.L.; Chen, J. O/N/P-doped biochar induced to enhance adsorption of sulfonamide with coexisting Cu2+/Cr (VI) by air pre-oxidation. Bioresour. Technol. 2021, 341, 125794. [Google Scholar] [CrossRef]
- Zhang, Y.; Liang, S.; He, R.; Zhao, J.; Lv, J.; Kang, W.; Zhang, J. Enhanced adsorption and degradation of antibiotics by doping corncob biochar/PMS with heteroatoms at different preparation temperatures: Mechanism, pathway, and relative contribution of reactive oxygen species. J. Water Process Eng. 2022, 46, 102626. [Google Scholar] [CrossRef]
- Wang, R.-Z.; Huang, D.-L.; Liu, Y.-G.; Zhang, C.; Lai, C.; Wang, X.; Zeng, G.-M.; Zhang, Q.; Gong, X.-M.; Xu, P. Synergistic removal of copper and tetracycline from aqueous solution by steam-activated bamboo-derived biochar. J. Hazard. Mater. 2020, 384, 121470. [Google Scholar] [CrossRef]
- Huang, J.; Zimmerman, A.R.; Chen, H.; Gao, B. Ball milled biochar effectively removes sulfamethoxazole and sulfapyridine antibiotics from water and wastewater. Environ. Pollut. 2020, 258, 113809. [Google Scholar] [CrossRef] [PubMed]
- Wu, B.; Wan, J.; Zhang, Y.; Pan, B.; Lo, I.M.C. Selective phosphate removal from water and wastewater using sorption: Process fundamentals and removal mechanisms. Environ. Sci. Technol. 2019, 54, 50–66. [Google Scholar] [CrossRef] [PubMed]
- Tarannum, N.; Khatoon, S.; Dzantiev, B.B. Perspective and application of molecular imprinting approach for antibiotic detection in food and environmental samples: A critical review. Food Control 2020, 118, 107381. [Google Scholar] [CrossRef]
- Wang, Q.; Wang, T.; Zhang, Y.; Ma, J.; Tuo, Y. Preparation and evaluation of a chitosan modified biochar as an efficient adsorbent for pipette tip-solid phase extraction of triazine herbicides from rice. Food Chem. 2022, 396, 133716. [Google Scholar] [CrossRef]
- Liao, P.; Zhan, Z.; Dai, J.; Wu, X.; Zhang, W.; Wang, K.; Yuan, S. Adsorption of tetracycline and chloramphenicol in aqueous solutions by bamboo charcoal: A batch and fixed-bed column study. Chem. Eng. J. 2013, 228, 496–505. [Google Scholar] [CrossRef]
- Wang, Y.; Lu, J.; Wu, J.; Liu, Q.; Zhang, H.; Jin, S. Adsorptive removal of fluoroquinolone antibiotics using bamboo biochar. Sustainability 2015, 7, 12947–12957. [Google Scholar] [CrossRef]
- Zhang, X.; Zhang, Y.; Ngo, H.H.; Guo, W.; Wen, H.; Zhang, D.; Li, C.; Qi, L. Characterization and sulfonamide antibiotics adsorption capacity of spent coffee grounds based biochar and hydrochar. Sci. Total Environ. 2020, 716, 137015. [Google Scholar] [CrossRef]
- Nguyen, T.-B.; Chen, W.-H.; Chen, C.-W.; Patel, A.K.; Bui, X.-T.; Chen, L.; Singhania, R.R.; Dong, C.-D. Phosphoric acid-activated biochar derived from sunflower seed husk: Selective antibiotic adsorption behavior and mechanism. Bioresour. Technol. 2023, 371, 128593. [Google Scholar] [CrossRef]
- Ahmed, M.B.; Zhou, J.L.; Ngo, H.H.; Guo, W.; Johir, M.A.H.; Sornalingam, K. Single and competitive sorption properties and mechanism of functionalized biochar for removing sulfonamide antibiotics from water. Chem. Eng. J. 2017, 311, 348–358. [Google Scholar] [CrossRef]
- Zhang, X.; Zhen, D.; Liu, F.; Chen, R.; Peng, Q.; Wang, Z. An achieved strategy for magnetic biochar for removal of tetracyclines and fluoroquinolones: Adsorption and mechanism studies. Bioresour. Technol. 2023, 369, 128440. [Google Scholar] [CrossRef]
- Diao, Y.; Shan, R.; Li, M.; Gu, J.; Yuan, H.; Chen, Y. Efficient Adsorption of a Sulfonamide Antibiotic in Aqueous Solutions with N-doped Magnetic Biochar: Performance, Mechanism, and Reusability. ACS Omega 2022, 8, 879–892. [Google Scholar] [CrossRef] [PubMed]
- Wang, H.; Lou, X.; Hu, Q.; Sun, T. Adsorption of antibiotics from water by using Chinese herbal medicine residues derived biochar: Preparation and properties studies. J. Mol. Liq. 2021, 325, 114967. [Google Scholar] [CrossRef]
- Kong, X.; Liu, Y.; Pi, J.; Li, W.; Liao, Q.; Shang, J. Low-cost magnetic herbal biochar: Characterization and application for antibiotic removal. Environ. Sci. Pollut. Res. 2017, 24, 6679–6687. [Google Scholar] [CrossRef] [PubMed]
- Azari, A.; Kakavandi, B.; Kalantary, R.R.; Ahmadi, E.; Gholami, M.; Torkshavand, Z.; Azizi, M. Rapid and efficient magnetically removal of heavy metals by magnetite-activated carbon composite: A statistical design approach. J. Porous Mater. 2015, 22, 1083–1096. [Google Scholar] [CrossRef]
- Meng, Q.; Zhang, Y.; Meng, D.; Liu, X.; Zhang, Z.; Gao, P.; Lin, A.; Hou, L. Removal of sulfadiazine from aqueous solution by in-situ activated biochar derived from cotton shell. Environ. Res. 2020, 191, 110104. [Google Scholar] [CrossRef] [PubMed]
- Srivastava, A.; Dave, H.; Prasad, B.; Maurya, D.M.; Kumari, M.; Sillanpää, M.; Prasad, K.S. Low cost iron modified syzygium cumini l. Wood biochar for adsorptive removal of ciprofloxacin and doxycycline antibiotics from aqueous solution. Inorg. Chem. Commun. 2022, 144, 109895. [Google Scholar] [CrossRef]
- Ahmed, M.J. Adsorption of quinolone, tetracycline, and penicillin antibiotics from aqueous solution using activated carbons. Environ. Toxicol. Pharmacol. 2017, 50, 1–10. [Google Scholar] [CrossRef]
- Rogers, H.R. Sources, behaviour and fate of organic contaminants during sewage treatment and in sewage sludges. Sci. Total Environ. 1996, 185, 3–26. [Google Scholar] [CrossRef]
- Peng, X.; Hu, F.; Zhang, T.; Qiu, F.; Dai, H. Amine-functionalized magnetic bamboo-based activated carbon adsorptive removal of ciprofloxacin and norfloxacin: A batch and fixed-bed column study. Bioresour. Technol. 2018, 249, 924–934. [Google Scholar] [CrossRef]
- Tan, X.; Liu, Y.; Gu, Y.; Xu, Y.; Zeng, G.; Hu, X.; Liu, S.; Wang, X.; Liu, S.; Li, J. Biochar-based nano-composites for the decontamination of wastewater: A review. Bioresour. Technol. 2016, 212, 318–333. [Google Scholar] [CrossRef]



| Antibiotics | Mechanism | Spectrum | Target Bacteria | Chemical Structure | Chemical Formula Functional Groups |
|---|---|---|---|---|---|
| Penicillins | Inhibition of cell wall synthesis | Broad-spectrum, last resort, narrow-spectrum | Gram-positive bacteria (first-generation) Gram-positive and Gram-negative bacteria (second-, third-, and fourth-generation) | ![]() | C16H19N3O5S |
| (L-amoxillin) | |||||
| β-lactam ring | |||||
| COOH | |||||
| NH | |||||
| NH2 | |||||
| OH | |||||
| CH3 | |||||
| Cephalosporins | Cell wall disruption | Broad-spectrum, last-resort | Gram-positive bacteria (first- and second-generation) Gram-positive and Gram-negative bacteria (third- and fourth-generation) | ![]() | C16H21N3O8S |
| ((+)-cephalosporin C) | |||||
| β-lactam ring | |||||
| COOH | |||||
| NH | |||||
| NH2 | |||||
| CH3 | |||||
| Sulfonamides | Inhibition of folic acid metabolism | Broad-spectrum | Gram-positive and Gram-negative bacteria | ![]() | C10H11N3O3S |
| (sulfamethoxazole) | |||||
| SO2 | |||||
| NH | |||||
| NH2 | |||||
| CH3 | |||||
| Fluoroquinolones | Inhibition of DNA replication | Broad-spectrum | Gram-positive and Gram-negative bacteria | ![]() | C17H18FN3O3 |
| (ciprofloxacin) | |||||
| COOH | |||||
| C=O | |||||
| Tetracyclines | Inhibition of protein synthesis (30 s ribosome) | Broad- spectrum | Gram-positive and Gram-negative bacteria | ![]() | C22H24N2O8 |
| (tetracycline) | |||||
| C=O | |||||
| OH | |||||
| R3N | |||||
| C=N | |||||
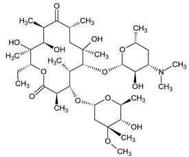
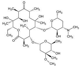
| Macrolides | Inhibition of protein synthesis (50 s ribosome) | Broad-spectrum | Gram-positive and Gram-negative bacteria | ![]() | (-)-Erythromycin |
| (C37H67NO13) | |||||
| C=O | |||||
| OH | |||||
| CH3 | |||||
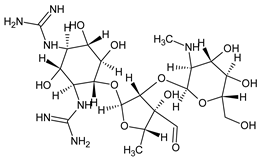
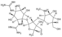
| Aminoglycosides | Inhibition of protein synthesis (30 s ribosome) | Broad-spectrum | Mostly Gram-negative bacteria and certain Gram-positive bacteria | ![]() | Streptomycin |
| (C21H39N7O12) | |||||
| NH | |||||
| NH2 | |||||
| C=N | |||||
| OH |
| Feedstock | Pyrolysis Temperature (°C) | Char Yield (%) | Surface Area m2/g | Pore Volume cm3/g | Ash Content (%) | Reference |
|---|---|---|---|---|---|---|
| Sewage sludge | 750 | - | 60.7 | - | [94] | |
| Sewage sludge | 400 | 76.1 | 23.7 | - | [95] | |
| Sewage sludge | 600 | - | 92.3 | - | [96] | |
| Sewage sludge | 500 | - | 25.4 | 0.056 | 74.2 | [97] |
| 900 | 67.6 | 0.099 | 88.1 | |||
| Sewage sludge | 700 | 65 | 26.70 | 0.159 | 86.8 | [98] |
| Palm oil mill sludge | 400 | 54.2 | 47.7 | 0.007 | 44.8 | [99] |
| 800 | - | 193.1 | 0.065 | 59.5 | ||
| Pine needles | 400 | 30 | 112.4 | 0.044 | 2.3 | [83] |
| 700 | 14 | 490.8 | 0.186 | 2.2 | ||
| Pine needles | 700 | 25 | 390 | 0.12 | 18.7 | [73] |
| Used tea leaves | 350–550 | - | 8.1 | 0.012 | - | [100] |
| Ponderosa pine wood | 500 | 28.4 | 196 | 2.1 | [101] | |
| Ponderosa pine wood | 700 | 22.0 | 347 | 1.7 | ||
| Tall fescue straw | 700 | 28.8 | 139 | 19.3 | ||
| Quercus lobata wood | 650 | 225 | 3.7 | [89] | ||
| 285 | ||||||
| Pinus taeda wood | 77 (N2) | 1.1 | ||||
| 528 | ||||||
| Tripsacum floridanum grass | 643 | 15.9 | ||||
| 427 (CO2) | ||||||
| Beech wood | 800 | 12.5 ± 0.2 | 70.2 | 0.003 | - | [86] |
| 1200 | 10.0 ± 0.7 | 110.2 | 0.047 | |||
| 1600 | 8.3 ± 0.4 | 48.7 | 0.040 | |||
| 2000 | 8.3 ± 0.5 | 22.2 | 0.032 | |||
| Poplar wood | 600 | - | 411 | 0.182 | 4.7 | [87] |
| Durian wood | 550 | 24.6 | 221 | 0.008 | 20.8 | [102] |
| (Durio zibethinus) | ||||||
| Paulownia elongata | - | - | 310 | 4.1 | [103] | |
| wood | ||||||
| Pinewood sawdust | 800 | 11.6 | 738.0 | 0.244 | 1.9 | [104] |
| (Pinus radiata) | ||||||
| Oak bark | 450 | 22.8 | 1.9 | 1.060 | 11.3 | [105] |
| Corn stover | 450 | 15 | 12 | 58.0 | [106] | |
| Corn stover | 500 | 17 | 3.1 | 32.4 | [107] | |
| Soybean stover | 700 | 21.6 | 420.3 | 0.190 | 17.2 | [108] |
| Cotton stalk | 500 | 1.5 | 0.007 | 2.7 | [81] | |
| Duckweed | 500 | 44 | 12 | 0.014 | 9.5 | [109] |
| Rice husk | 500 | - | 34.4 | 0.028 | 42.2 | [110] |
| Rice husk | 550 | - | 181 | - | [111] | |
| Rice straw | 400 | - | 4.4 | 0.015 | 40.7 | [112] |
| 700 | 161.2 | 0.086 | 52.5 | |||
| Rice straw | 700 | - | 20.6 | 0.019 | - | [113] |
| Rapeseed | 550 | - | 25.4 (BET) | 0.0480 | 24.9 | [114] |
| 18.3 (Micro) | ||||||
| 7.1 (Meso) | ||||||
| Rapeseed | 700 | 29.6 | 19.3 | 1.254 | 14.4 | [115] |
| Maize | 600 | 29.54 | 70 | 0.06 | 27.2 | [116] |
| Sugarcane bagasse (SGB) | 300 | - | 224.1 | 4.2 | [117] | |
| 400 | 361.8 | 4.2 | ||||
| 500 | 291.4 | 4.1 | ||||
| Giant Miscanthus | 500 | 27.2 | 181 | - | [118] | |
| 700 | 25.1 | 369 | ||||
| Peanut shell | 700 | 21.9 | 448.2 | 0.200 | 8.9 | [108] |
| Palm kernel shell | 400 | 46.7 | 4.5 | 0.011 | 8.1 | [77] |
| 500 | 37.5 | 12 | 0.086 | 5.2 | ||
| 600 | 35.4 | 260 | 0.17 | 8.9 | ||
| 700 | 32.8 | 370 | 0.19 | 8.4 | ||
| Olive stones | 400 | - | 476.3 | 36.2 | [119] | |
| 600 | 173.3 | 41.2 | ||||
| Alfalfa | 500 | - | 31.1 | 31.3 | [120] | |
| (Medicago sativa) | ||||||
| Orange peel | 700 | 22.2 | 201.0 | 0.035 | 2.8 | [121] |
| Tire rubber | 400 | 59.3 | 24.2 | 0.080 | 15.4 | [122] |
| 600 | 54.5 | 51.5 | 0.120 | 15.6 | ||
| 800 | 43.0 | 50.0 | 0.110 | 10.5 | ||
| Grape seeds | 700 | 28 | 124 (N2) | - | [93] | |
| 454 (CO2) | ||||||
| 66 (Ar77) | ||||||
| 600 | 31 | 110 (N2) | ||||
| 424 (CO2) | ||||||
| 57 (Ar77) | ||||||
| Wood | 600 | 23.3 | 127 | 1.3 | [123] | |
| Straw | 25.2 | 22 | 24.5 | |||
| Green waste | 24.4 | 46 | 13.4 | |||
| Dry algae | 22.9 | 19 | 73.0 | |||
| Cow manure | 500 | 57.2 | 21.9 | 0.028 | 67.5 | [124] |
| Pig manure | 38.5 | 47.4 | 0.075 | 48.4 | ||
| Shrimp hull | 33.4 | 13.3 | 0.039 | 53.8 | ||
| Bone dregs | 48.7 | 113 | 0.278 | 77.6 | ||
| Wastewater sludge | 45.9 | 71.6 | 0.060 | 61.9 | ||
| Waste paper | 36.6 | 133 | 0.084 | 53.5 | ||
| Sawdust | 28.3 | 203 | 0.125 | 9.9 | ||
| Grass | 27.8 | 3.33 | 0.010 | 20.8 | ||
| Wheat straw | 29.8 | 33.2 | 0.051 | 18.0 | ||
| Peanut shell | 32.0 | 43.5 | 0.040 | 10.6 | ||
| Chlorella | 40.2 | 2.78 | 0.010 | 52.6 | ||
| Waterweeds | 58.4 | 3.78 | 0.009 | 63.5 | ||
| Spruce wood | 525 | - | 40.4 | 4.7 | [125] | |
| Poplar wood | 55.7 | 6.8 | ||||
| Wheat straw | 14.2 | 12.7 | ||||
| Pine sawdust (air lim.) | 300 | - | 12.1 | 6.7 | [126] | |
| Maize straw (air lim.) | 300 | 7.8 | 15.4 | |||
| SCB (air lim.) | 300 | 25.3 | 11.8 | |||
| Pine sawdust N2 | 300 | 8.2 | 4.6 | |||
| Maize straw N2 | 300 | 2.6 | 11.3 | |||
| SCB N2 | 300 | 12.2 | 8.9 | |||
| Pine sawdust N2 | 500 | 68.4 | 6.9 | |||
| Maize straw N2 | 500 | 33.2 | 17.6 | |||
| SCB N2 | 500 | 97.8 | 12.3 | |||
| Wheat straw | 600 | 24.6 | 177 | 0.110 | 12.0 | [127] |
| Corn straw | 26.7 | 7 | 0.012 | 18.0 | ||
| Peanut-shell | 28.5 | 185 | 0.110 | 11.0 | ||
| Broiler litter | 350 | - | 60.0 | 0.000 | - | [128] |
| 700 | 94 | 0.018 | ||||
| Poultry litter | 600 | 46 | 5.79 | 60.8 | [129] | |
| Feedlot manure | 700 | 32.2 | 145.2 | 92.0 | [76] | |
| Goat-manure | 600 | 37.9 | 13.9 | 0.008 | - | [130] |
| 800 | 33.8 | 93.5 | 0.049 | |||
| Yak manure | 700 | - | 82.9 | 0.074 | - | [131] |
| S. dimorphus | 500 | - | 123 | 43.3 | [132] | |
| Microalgae | 600 | 89 | 44.2 | |||
| Laminaria japonica | 600 | 38.0 | 79.9 | 0.044 | 55.1 | [133] |
| microalgae | ||||||
| Waste marine | 400 | 67.7 | 70.3 | 0.112 | 41.9 | [134] |
| Macroalgae | 600 | 47.8 | 61.8 | 0.078 | 48.7 | |
| (Undaria pinnatifida roots) | 800 | 39.3 | 44.5 | 0.057 | 50.4 | |
| Saccharina japonica | 600 | - | 266 (unwashed) 543 (washed) | 0.132 | - | [135] |
| macroalgae | 0.266 | |||||
| Bamboo Industrial waste | 550 650 750 850 950 | - | 277.3 | 0.173 0.162 0.144 0.254 0.142 | - | [136] |
| 266.7 | ||||||
| 228.6 | ||||||
| 382.8 | ||||||
| 143.4 | ||||||
| (SBET) | ||||||
| 221.6 | ||||||
| 228.7 | ||||||
| 200.8 | ||||||
| 320.7 | ||||||
| 99.7 | ||||||
| (Smic) | ||||||
| Rice straw | 700 | 30.7 | 32.9 | 0.049 | - | [137] |
| Pig manure | 38 | 20.5 | 0.045 | |||
| Douglas fir wood | 600 | 16.0 | 500 | 0.2 | - | [138] |
| Hybrid poplar wood | 20.4 | 416 | 0.17 | |||
| Douglas fir bark | 29.6 | 423 | 0.17 | |||
| Sewage sludge | - | - | 165 | 0.047 | - | [90] |
| 87 | 0.027 | |||||
| Sludge and food waste | 683 (CO2) | 0.186 | ||||
| 97 | 0.153 | |||||
| Wood chips | 84 | 0.133 | ||||
| 261 (N2) | 0.160 |
| Treatment No. | Treatment | Advantages | Disadvantages |
|---|---|---|---|
| 1 | Acid treatment | Removal of metals; increased surface area | Lower biochar yield due to acid hydrolysis; inefficient removal of silica; high cost |
| 2 | Alkali treatment | Removal of silica; increased surface area | Lower biochar yield due to alkaline hydrolysis; inefficient removal of metals; high cost |
| 3 | Demineralization with hot water | Efficient removal of metals and silica | Energy- and time-consuming; additional drying step required |
| 4 | Ball milling | Increased surface area | High cost; less effective than chemical methods |
| 5 | Steam activation | Increased surface area | Reduced biochar yield |
| 6 | Doping with organic compounds | Addition of surface functional groups | High cost |
| 7 | Surfactant modification | Addition of acidic or basic surface functional groups | Leaching of surfactant; high cost |
| 8 | Mineral impregnation | Addition of metal oxides on the biochar surface | Secondary contamination by leaching of mineral |
| 9 | Mineral impregnation: iron | Addition of iron atoms on the biochar surface; easy removal of magnetic particles from water | Secondary contamination by leaching of iron |
| 10 | Composite-forming clays | Enhanced ion-exchange mechanism | Environmental impact of clay processing |
| 11 | Composite-forming by carbon | Addition of adsorption sites | High cost |
| 12 | Composite-forming by heteroatom doping | Addition of surface functional groups | High cost; heteroatom leaching; specialized process |
| 13 | Molecular imprinting | Production of a specialized type of biochar selective to target (imprint) molecules; reusable | High cost; specialized process |
| Biochar Biochar Precursor | Pyrolysis Temperature (°C) | Proposed Mechanism | Modification | Antibiotic Used | Maximum Adsorption Capacity (Qm) (mg/g) | Reference |
|---|---|---|---|---|---|---|
| Pristine biochars | ||||||
| Pinus radiata wood sawdust | 600–800 | n.a | n.a | Tetracycline | 163 | [104] |
| (TC) | ||||||
| Bamboo sawdust | 500 | n.a | n.a | Enrofloxacin (EF) | 45.9 (EF) | [170] |
| Ofloxacin | 45.1 | |||||
| (OF) | (OF) | |||||
| Spent coffee grounds | 200–700 | π–π EDA | n.a | Sulfadiazine (SDZ), sulfamethoxazole (SMX) | 0.12 | [171] |
| (SDZ) | ||||||
| 0.13 | ||||||
| (SMX) | ||||||
| Modified biochars | ||||||
| Sunflower seed husk | 600 | Multiple: chemisorption, external diffusion, intraparticle diffusion | H3PO4 | Tetracycline (TC), ciprofloxacin (CIP), sulfamethoxazole (SMX) | 429.3 | [172] |
| (TC) | ||||||
| 361.6 | ||||||
| (CIP) | ||||||
| 251.3 | ||||||
| (SMX) | ||||||
| Bamboo | 380 | Hydrogen bonds, π–π EDA, Lewis acid–base | H3PO4 | Sulfamethoxazole (SMX) | 88.10 | [173] |
| Poplar wood | 500 | Pore filling, π–π interactions, surface complexation, hydrogen bonding, and electrostatic interactions | KOH Fe3O4 | Tetracyclines | 70.3–89.6 | [174] |
| (TCs) | (TCs) | |||||
| Fluoroquinolones | 35.5–60.3 | |||||
| (FQs) | (FQs) | |||||
| Palm fibers | 500 | Pore filling, surface electrostatic interactions, hydrogen bonding complexation, and π–π EDA interactions | Fe–N co-doped | Sulfamethoxazole (SMX) | 42.9 | [175] |
Disclaimer/Publisher’s Note: The statements, opinions and data contained in all publications are solely those of the individual author(s) and contributor(s) and not of MDPI and/or the editor(s). MDPI and/or the editor(s) disclaim responsibility for any injury to people or property resulting from any ideas, methods, instructions or products referred to in the content. |
© 2023 by the authors. Licensee MDPI, Basel, Switzerland. This article is an open access article distributed under the terms and conditions of the Creative Commons Attribution (CC BY) license (https://creativecommons.org/licenses/by/4.0/).
Share and Cite
Sen, U.; Esteves, B.; Aguiar, T.; Pereira, H. Removal of Antibiotics by Biochars: A Critical Review. Appl. Sci. 2023, 13, 11963. https://doi.org/10.3390/app132111963
Sen U, Esteves B, Aguiar T, Pereira H. Removal of Antibiotics by Biochars: A Critical Review. Applied Sciences. 2023; 13(21):11963. https://doi.org/10.3390/app132111963
Chicago/Turabian StyleSen, Umut, Bruno Esteves, Terencio Aguiar, and Helena Pereira. 2023. "Removal of Antibiotics by Biochars: A Critical Review" Applied Sciences 13, no. 21: 11963. https://doi.org/10.3390/app132111963
APA StyleSen, U., Esteves, B., Aguiar, T., & Pereira, H. (2023). Removal of Antibiotics by Biochars: A Critical Review. Applied Sciences, 13(21), 11963. https://doi.org/10.3390/app132111963







