Next Article in Journal
Cooperative Computing Offloading Scheme via Artificial Neural Networks for Underwater Sensor Networks
Next Article in Special Issue
Crustal Apparent Density Variations in the Middle Segment of the North Tianshan Mountains and Their Tectonic Significance
Previous Article in Journal
Research Progress on the Development of the Planter Unit for Furrowing Control and the Depth Measurement Technology
Previous Article in Special Issue
Measurements and Evaluations of the Atmospheric Transparency at Short Millimeter Wavelengths at Candidate Sites for Millimeter- and Sub-Millimeter-Wave Telescopes
 
 
Font Type:
Arial Georgia Verdana
Font Size:
Aa Aa Aa
Line Spacing:
Column Width:
Background:
Article

A Real-Time Measurement System for Atmospheric Turbulence Intensity and Distribution Based on the GLAO System

1
The Key Laboratory on Adaptive Optics, Chinese Academy of Sciences, Chengdu 610209, China
2
Institute of Optics and Electronics, Chinese Academy of Sciences, Chengdu 610209, China
3
University of Chinese Academy of Sciences, Beijing 100049, China
4
School of Electronic Electrical and Communication Engineering, University of Chinese Academy of Sciences, Beijing 101408, China
*
Authors to whom correspondence should be addressed.
Appl. Sci. 2023, 13(21), 11885; https://doi.org/10.3390/app132111885
Submission received: 13 September 2023 / Revised: 26 October 2023 / Accepted: 26 October 2023 / Published: 30 October 2023
(This article belongs to the Special Issue Advanced Observation for Geophysics, Climatology and Astronomy)

Abstract

Measuring the intensity and distribution of atmospheric optical turbulence at large-aperture astronomical telescope sites is crucial to optimizing turbulence correction for different layers. A real-time measurement of turbulence distribution in large-aperture telescopes would be valuable for the parameter optimization of adaptive optics (AO) systems, especially for large field-of-view AO systems such as multi-conjugate adaptive optics (MCAO) and ground-layer adaptive optics (GLAO). Based on the GLAO system of NVST at FSO, a real-time measurement system was deployed to assess the site’s atmospheric turbulence intensity and distribution. This system is, to our knowledge, the first real-time turbulence parameter measurement system in the world with an AO system. We adopt pseudo-open loop methods to restore the turbulence information from the close-loop data of GLAO and measure the turbulence strength and distribution. Multiple subaperture pairs are used instead of a pair of subapertures for fitting calculation to increase the measurement accuracy. Two conventional measurement algorithms, SLODAR and S-DIMM+, are compared with the data from the open-source simulator SOAPY, to cross-verify the correctness of our calculation based on the data process of pseudo-open loop data and multiple subaperture pairs. The simulation results show that for two layers’ turbulence input, approximately 93% of the turbulence is correctly detected with the SLODAR method and the given parameters of wavefront sensors and correctors, while the S-DIMM+ is 87%. Real-time measurements of atmospheric turbulence at the NVST site were carried out on 28 May 2023. The observation results indicated that approximately 80% of the turbulence was located below an altitude of 2000 m; only a few appear in the upper height.

1. Introduction

Multi-conjugate adaptive optics (MCAO) [1,2,3] is attractive for the large-field-of-view high-resolution imaging requirements of astronomical observations, which heavily rely on the intensity distribution information of turbulence. Therefore, the intensity distribution of atmospheric optical turbulence is essential prior information for the MCAO system. For a ground-layer adaptive optics (GLAO) [4] system, the intensity and distribution of turbulence are fundamental for analyzing performance. Measuring the atmospheric optical turbulence intensity and its distribution information is necessary. Additionally, the intensity and distribution of atmospheric turbulence positively impact the development of future intelligent adaptive optical systems and the post-reconstruction of astronomical images.
There are currently many methods for measuring atmospheric turbulence in the visible and infrared bands, such as SCIntillation Detection and Ranging (SCIDAR [5]), Stereo-SCIDAR [6,7,8], SLOpe Detection and Ranging (SLODAR [9,10,11,12]), the Multi-Aperture Scintillation Sensor (MASS [13,14]), the Multiple-Aperture Seeing Profiler (MASP [15,16]), the Ring-Image Next-Generation Scintillation Sensor (RINGSS [17]), the Differential Image Motion Monitor (DIMM [18]), Solar DIMM(SDIMM [19,20,21]), S-DIMM+ [22,23,24], and the Profiler of the Differential Solar Limb (PDSL [25]). Most of these numerous algorithms serve the site selection process of large-aperture telescopes by monitoring the atmospheric turbulence at the site for a long time to obtain a comprehensive evaluation of the turbulence situation at the site. Most methods have developed into independent small instruments for easy installation at different sites. However, atmospheric turbulence is variable, and atmospheric turbulence at different times may be completely different. When operating the large-aperture telescope and MCAO system, we need to detect the intensity and distribution of atmospheric turbulence in real time to better optimize the MCAO system parameters. Under the conditions of large-aperture telescopes and MCAO systems, the use of additional small portable devices is unnecessary. It is feasible to directly use large-aperture telescopes with wavefront sensors to detect atmospheric turbulence, and various methods have been tested, such as MASS and Stereo-SCIDAR [8], based on scintillation for nighttime observations, and SLODAR [11] and S-DIMM+ [22,23,24] for daytime measurements. These two algorithms are feasible for use in the turbulence measurement system on the 1-m New Vacuum Solar Telescope (NVST).
Both SLODAR and S-DIMM+ originated from the DIMM method proposed in 1990 [18], which is a widely employed method for measuring the intensity of atmospheric optical turbulence. Based on the Kolmogorov turbulence theory, the relationship between the wavefront variance of atmospheric optical turbulence and the atmospheric coherence length could be established. By measuring wavefront fluctuations of a target passing through atmospheric optical turbulence using two apertures spaced at a predetermined distance, the atmospheric coherence length can be determined. This method has become the predominant approach for quantifying the intensity of atmospheric optical turbulence at astronomical sites.
The SLODAR or S-DIMM+ method needs wavefront information from different guide stars (regions) for measuring the intensity and distribution of atmospheric turbulence. The SLODAR method employs slope correlation to achieve layered detection of atmospheric optical turbulence, thereby obtaining the intensity distribution information of atmospheric optical turbulence. This method has primarily been used in nighttime astronomical observations and gradually employed in daytime solar observations based on wide-field wavefront sensors [26]. In 2021, Artem et al. [27] incorporated temporal movement to supplement the spatial guide region by utilizing a single field of view of the Shack–Hartmann wavefront sensor. This offers a fresh approach to developing the SLODAR method. G. B. Scharmer and T. I. M. van Werkhoven [22] proposed the S-DIMM+ method for measuring atmospheric optical turbulence intensity distribution in daytime solar observations. In 2012, Keller et al. [23] employed this method to measure turbulence intensity distribution at the Big Bear Solar Observatory (BBSO). In 2018, Zhiyong Wang et al. [24] further extended this method and conducted turbulence measurements at the 1-m New Vacuum Solar Telescope (NVST) site.
Most of the above methods are for the study of algorithms. Most methods use the AO system open-loop state and offline data to measure atmospheric turbulence parameters. Long-term turbulence monitoring of large-aperture telescope sites cannot be realized.
This study introduces a real-time measurement system of atmospheric optical turbulence intensity and distribution based on the GLAO system on NVST at Fuxian Lake Solar Observatory (FSO) [4]. The DIMM method is used to measure the Fried parameter. As the Shack–Hartmann wave-front sensors (SHWFS) have multiple sub-apertures, and any two sub-apertures in a pair can be worked as a DIMM, all sub-apertures are used to improve the measurement accuracy of atmospheric coherence length. The measurement system is run on the upper computer of the GLAO system; it acquires slope and voltage data from the real-time controller (RTC) of the GLAO system and reconstructs the turbulence information using the pseudo-open-loop method, then measures the atmospheric turbulence intensity and distribution and displays the final results. This measurement system should be the first real-time atmospheric turbulence measurement system that does not require hardware costs and works simultaneously with the GLAO system.
The configuration, principles, simulation, indoor experiments, and real-time measuring results of the turbulence distribution measurement system are given in this article. The subsequent sections of this paper are organized as follows. Section 2 details the components and measurement principles of the system; Section 3 presents the results based on simulation data; Section 4 highlights the real-time measurement results of the measurement system, including results for indoor hot air turbulence and real atmospheric turbulence; and finally, in Section 5, we offer a concise summary of the measurements system.

2. System Description

Figure 1 illustrates the framework of the system. In the GLAO system, the atmospheric turbulent wavefront (light signal) enters the deformable mirror (DM) from the telescope, the DM performs closed-loop correction, and then the residual wavefront enters the MD-WFS for wavefront detection to obtain slope information (electrical signal). The slope information is transmitted to the RTC for processing, resulting in a closed-loop voltage to control the DM. The RTC is responsible for real-time processing and the Upper Computer (UPC) is responsible for monitoring. The measurement system relies on the GLAO system. The measurement system captures the MD-WFS slopes and the DM corrected voltages from the GLAO RTC. After preprocessing and pseudo-open-loop reconstruction, this pseudo-open-loop slope information is used for measuring the atmospheric turbulence’s intensity and distribution. Finally, the measurement system displays the results to the GLAO UPC.
Serving as the primary equipment for detecting atmospheric turbulence in the system, the parameters of MD-WFS dictate the specific characteristics of the measurement system. The quantity of sub-aperture pairs in a given direction determines the number of height layers that a measurement grid can probe. In contrast, the number of guide region pairs in a particular order determines the maximum number of measurement grids that can be constructed. The related parameters of the real-time measurement system are listed in Table 1.
The MD-WFS has a sub-aperture arrangement of 9 × 8, with the shape of a regular hexagon. Figure 2 shows the configuration information of the MD-WFS. The diameter of the pupil plane is 0.98 m. Due to the secondary mirror obstruction in the telescope’s center, the MD-WFS only has 48 effective sub-apertures.
Combining two sub-apertures separated by a certain distance forms a sub-aperture pair, the basis for measuring atmospheric turbulence intensity. In this MD-WFS, we establish sub-aperture pairs using sub-apertures in the horizontal direction. All sub-apertures are taken into account to increase measurement accuracy and stability. Then, we can construct eight sub-aperture pairs with different interval sizes. An interval size of 0 is also included, corresponding to data from different guide regions within the same sub-aperture, which is used to probe near-ground turbulence. If two guide regions form a measurement grid in the horizontal direction, then eight sub-aperture pairs can probe eight different height layers.
The MD-WFS features a 42″ × 37″ field of view (FOV) and a pixel resolution of 0.6″/Pixel. MD-WFS has a large FOV, and multiple small regions are cut out in the sub-images for different direction wavefront sensing. Each small region corresponds to an independent Shack–Hartmann wavefront sensor. Therefore, MD-WFS is equivalent to multiple independent WFS.
Nine guide regions are set up in the sub-images of the MD-WFS, arranged in a rectangular pattern. A pair of guide regions at a certain angle apart in the horizontal direction form a guide region pair. A measurement grid can be obtained by combining the guide region pair with a sub-aperture pair. Similarly, all guide regions are taken into consideration. There are three sizes of guide region angular intervals in the horizontal direction, respectively [0 9 18] arcseconds, which can yield two different height measurement grids. The angular interval is 0, corresponding to the data from different sub-apertures of the same guide region. This can only be applied to detecting the overall intensity of atmospheric turbulence. For two measurement grids at different heights, we encrypt the measurement grids based on the method proposed by Zhiyong Wang et al. [24]. Finally, we obtain a 12-layer measurement grid, the corresponding heights of [0 1361 2723 4084 5446 6808 8169 9531 10,893 13,616 16,339 19,062] m.
The calculation of atmospheric coherence length is mainly based on the DIMM method. For the traditional DIMM method, only one guide region with two sub-apertures is needed. This system utilizes the multi-star region and multi-sub-aperture of the MD-WFS to enhance the accuracy of coherence length measurement. The SLODAR method is primarily employed to measure the intensity distribution information of atmospheric optical turbulence.
The measurement system calculates a result every second, which represents the atmospheric conditions at the current moment. To enhance the statistical significance of the results, the most recent 100 results were averaged and displayed on the UPC. Figure 3 depicts the UI of the real-time turbulence intensity and distribution measurement system. The UI is attached to the GLAO control software, and in Figure 3, the UI is enlarged and displayed in the center of the image for easy viewing. The left table of the UI shows the measured heights (in m) and their corresponding atmospheric coherence lengths (in cm) at each height. The right graph area displays the total atmospheric coherence length and the normalized intensity of turbulence (distribution).

2.1. Data Acquisition and Preprocessing

We configured the measuring system to acquire data at a frame rate of 200 to quickly collect sufficient data. Figure 4 presents the data acquisition and preprocessing flowchart within the measurement system. The intensity measurement of atmospheric optical turbulence requires statistical calculation of sequential data. Consequently, each measure employs 10 s of data, equal to 2000 frames. To facilitate real-time data reception and computation, we developed a first-in-first-out (FIFO) data container with a capacity of 4000 frames of data. Once the FIFO container accrues an additional 200 data frames, it triggers a follow-up computation. Consequently, the most recent 2000 data frames are used for current processing. This FIFO approach enables the measurement system to compute results every second.
The data obtained from the RTC contain various errors and noise. Preprocessing is required before the statistical calculations. This preprocessing includes removing obvious errors and noise and selecting suitable guide regions for computation.
During the tracking of targets using the solar telescope, tracking errors inevitably occur. Moreover, the telescope is also subject to slight shaking due to wind influence, introducing judder errors. Such errors have a pronounced characteristic: the overall judder of the pupil plane. On the MD-WFS, these error features manifest as the overall tilting judder of all sub-apertures. Therefore, these errors can be eliminated by removing the total tilt of the Hartmann wavefront sensor.
In optical systems, all the optical devices inevitably introduce aberrations, which are time-invariant. In daytime solar observations, the primary mirror or other optical devices are indeed affected by solar energy, thus producing minute deformations. This kind of deformation is very complicated, but the variation time of this deformation is long. It can be considered that the aberrations introduced by this deformation also have the property of being time-invariant in a short time. For errors with time invariance, we eliminate them by removing the static aberrations of the MD-WFS.
It is a significant challenge to sense wavefront information with low-contrast targets in the solar atmosphere, such as granulations. The accuracy of the wavefront is not good when using mage-shift measurement algorithms [28]. Therefore, it is necessary to pre-process the data to improve the accuracy of the measurement. In addition, the measurement system could update the measurement parameters based on the data situation.

2.2. Pseudo-Open-Loop Reconstruction

The closed-loop state represents the standard operational state of the GLAO system. Detection of atmospheric turbulence in this state necessitates reconstructing pseudo-open-loop data from closed-loop data. Figure 5 illustrates the flowchart for transforming closed-loop data into pseudo-open-loop data.
We define open-loop data as closed-loop data with a DM voltage of zero. As a result, the measurement system no longer distinguishes between open-loop data and closed-loop data, and calculations can be made with the closed-loop data. Using the region method, we measured the slope response of the MD-WFS on the DM for each actuator unit voltage.
S i = [ x 1 1 , y 1 1 , x 1 2 , , y 1 N , x 2 1 , , y M N ] T ,
In the formula, Si represents the slope response of the i-th actuator, x represents the slope in the horizontal direction, and y represents the slope in the vertical direction. For a set of slope data, there are a total of N sub-apertures, each containing M guide regions. For the GLAO system, the slope data include 48 × 9 × 2 floating-point numbers. For the 127 units on the DM, their response slopes can form a response matrix.
Z = [ S 1 , S 2 , , S i , , S 127 ] ,
Through the response matrix, a relationship can be established between the control voltage of the DM and the slope of the MD-WFS. The slope information corresponding to the control voltage can be calculated from this. The final pseudo-open-loop data comprise the correction slope information calculated by the control voltage V and the residual slope information Sclose.
S p s e u d o = Z V + S c l o s e ,

2.3. Turbulence Measurement

Based on the measurement principle of the DIMM method and fully utilizing the features of the MD-WFS, we conducted a more accurate measurement of the atmospheric coherence length.
The DIMM method directly establishes the relationship between the variance of slope undulations for two distinct sub-apertures and the atmosphere’s coherent length. This relationship facilitates the calculation of atmospheric coherence length by translating statistical parameters into measurable data.
( x ( s ) x ( 0 ) ) 2 = 0.358 λ 2 r 0 5 / 3 D 1 / 3 1 0.541 ( s / D ) 1 / 3 ( y ( s ) y ( 0 ) ) 2 = 0.358 λ 2 r 0 5 / 3 D 1 / 3 1 0.811 ( s / D ) 1 / 3 ,
In Equation (4), it is stipulated that one of the sub-apertures is at the coordinate (0), while the other is at the coordinate (s). Here, x(s) denotes the horizontal slope of the sub-aperture at position s. A similar principle is applied to the vertical slope y. In this context, λ refers to the detection wavelength, and D represents the sub-aperture size. r0 is the atmospheric coherence length. In the measurement system, we employ another set of improved formulas developed by Keller et al. [23].
( x ( s ) x ( 0 ) ) 2 = 0.32 λ 2 r 0 5 / 3 D 1 / 3 1 0.70 s / D + 0.70 3 1 / 3 ( y ( s ) y ( 0 ) ) 2 = 0.32 λ 2 r 0 5 / 3 D 1 / 3 1 0.82 s / D + 0.82 3 1 / 3 ,
Comparing Equation (5) with Equation (4), the difference of Equation (5) is that it solves the problem of the formula failing under small sub-aperture intervals(s). Analyzing the simulated phase screen, the results calculated by Equation (5) are relatively more accurate.
The above formula shows that the variance of wavefront jitter is directly proportional to the power of the atmospheric coherence length (r05/3). For the statistical data over some time, there should be a unique statistical measurement value for the atmospheric coherence length. For the MD-WFS, it simultaneously measures multiple guide regions and multiple sub-apertures. According to different sub-aperture interval distances and guide regions, the MD-WFS can calculate multiple wavefront variance values under different intervals.
r05/3 represents the intensity of atmospheric optical turbulence. The measurement system starts from a unique atmospheric coherence length estimation value. It uses linear fitting to evaluate the most suitable r05/3, obtaining a more accurate evaluation value of the atmospheric coherence length(r0). We constructed a linear fit, taking the variance as the dependent variable, r05/3 as the parameter, and the rest of the formula as the independent variable. Through the variances calculated at different sub-aperture intervals, we fitted an optimal r05/3.
( x ( s ) x ( 0 ) ) 2 = r 0 5 / 3 0.32 λ 2 D 1 / 3 1 0.70 s / D + 0.70 3 1 / 3 ( y ( s ) y ( 0 ) ) 2 = r 0 5 / 3 0.32 λ 2 D 1 / 3 1 0.82 s / D + 0.82 3 1 / 3 y = a x + b ,
For the actual calculation of wavefront jitter variance, a fixed bias, like y = y′ + Δy, may occur due to various reasons such as data, noise, computation, etc., where y′ refers to the actual value of the variance, and Δy refers to the fixed bias caused by various factors. This fixed bias is fatal to linear fitting like y = ax, as it will severely affect the fitting results. Therefore, a constant term b is added to the measurement system to eliminate the impact of this fixed bias.
For the measurement of the atmospheric turbulence intensity distribution, we directly use the SLODAR method. Taking advantage of the multi-guide regions simultaneous measurement feature of the MD-WFS, we use multiple guide regions to form multiple measurement grids and incorporate the ideas of modified S-DIMM+ to encrypt the measurement grid.

3. Verification

Since it is difficult to determine the correct turbulence distribution of atmospheric turbulence, simulation was an important means of verifying the correctness of this technique. The feasibility of using closed-loop data for atmospheric turbulence profile measurement was verified with the data from the open-source simulator SOAPY [29]. Simulation based on the open-source emulator could simplify programming and increase the confidence of the results. The measurement results with open-loop data were given for comparison. The parameters of MD-WFS and DM are corresponding to the actual system. The configuration of the MD-WFS and DM has been simplified from a hexagonal to a rectangular pattern for simulation convenience.
The simulation set up two guide regions along the horizontal direction, with a horizontal interval of 18 arcseconds between the guide regions. A height-measurement grid can be calculated based on the sub-aperture interval of the MD-WFS and the angular interval of the guide regions. This grid can detect nine height layers, and the corresponding detection heights are [0 1248 2496 3743 4991 6239 7487 8734 9982] m.
The total r0 of all phase screens is set to 0.1 m. We set up two layers of atmospheric turbulence. One layer of turbulence is located at the ground layer, with intensity accounting for 60%; the other layer is located at a high altitude, with the turbulence height variable with the intensity accounting for 40%. The heights of the high layer are set as [1248 2496 3743 4991 6239 7487 8734 9982] m, respectively.

3.1. Measurement of Coherent Length in Atmospheric Turbulence

Based on the simulation parameters, we first verified the accuracy of atmospheric coherence length r0 measurement. If only one sub-aperture pair and one guide region are used, a r0 value can be obtained. Multiple r0 values can be obtained for multiple sub-aperture pairs and multiple guide regions on MD-WFS. Figure 6 shows the probability density function of a set of r0 measurement results.
The above results indicate that if only one sub-aperture interval and one guide star are used to calculate the atmospheric coherence length, there may be significant errors, with a maximum value of 12.5 cm and a minimum value of about 8 cm. If the method proposed in this article is used to utilize all sub-apertures and guide regions on SHWFS, better measurement results can be achieved, and the measurement result (10.2 cm) is very close to the simulation design value (10 cm).

3.2. Measurement of Atmospheric Turbulence Distribution

Using SOAPY simulator, we generated open- and closed-loop data of multiple guide stars under two-layer turbulence. Open-loop data could be used to measure atmospheric turbulence parameters directly. For closed-loop data, pseudo-open loop reconstruction was used to obtain the corresponding open-loop data, and then the atmospheric turbulence parameters were measured.
We varied the height of the upper turbulence to see if the measurements would follow the same pattern. The corresponding results are shown in Figure 7.
To compare the S-DIMM+ and SLODAR methods, we used the same data and parameters to measure atmospheric turbulence intensity distribution using the S-DIMM+ method. Figure 8 shows the measurement results.
We use the following quantification formula to analyze the measurement accuracy of the SLODAR method and the S-DIMM+ method.
J = 1 0.5 × i w i m w i a ,
In the formula, J represents the proportion of correctly detected atmospheric turbulence intensity; i represents the i-th layer; wm and wa represent the proportion of intensity detected in each layer and the theoretically set proportion of intensity. The corresponding quantification results are shown in Table 2.
Comparing the S-DIMM+ and SLODAR methods, it can be found that the SLODAR method can achieve better measurement results under the current parameter configuration. The accuracy of the SLODAR method is approximately 93%, while that of the S-DIMM+ method is 87%. From Figure 8, it can be observed that S-DIMM+ extends a layer of turbulence to nearby turbulence layers. When detecting the highest turbulence, the accuracy of the SLODAR method decreases; however, the S-DIMM+ method performs poorly in detecting turbulence in the middle layer. Compared to the S-DIMM+ method, using the SLODAR method can achieve better measurement results under the current GLAO parameter settings. This is also the reason why the measurement system utilizes the SLODAR method for calculations.
Furthermore, the results show that using closed-loop data to calculate atmospheric turbulence is feasible. Compared to open-loop data, closed-loop data do not show a decrease in measurement accuracy when used for atmospheric turbulence measurement. This means that the measurement system can operate smoothly during the normal closed-loop operation of the GLAO system.

4. Results of the Real-Time Atmospheric Turbulence Measurement

4.1. Indoor Experiment

The measurement system was deployed at the GLAO system of the NVST in October 2022. Before measuring natural atmospheric turbulence, we experimented with the measurement system using indoor laser point sources. A soldering iron was placed in the optical path to create heat–air turbulence. The position of hot air turbulence roughly corresponds to an optical altitude of about 2500 m. The results of the open-loop and closed-loop data are shown in Figure 9.
The results indicate that the measurement results of the open and closed-loop data are highly similar. On this basis, it can be inferred that the system is capable of effectively measuring the stratified conditions of atmospheric turbulence under closed-loop conditions. Due to the width of the turbulent hot air, the measurement results are not distributed on a thin layer. Due to the folding of the optical paths in the GLAO system [4], some weak turbulence is detected at higher altitudes.

4.2. Real-Time Atmospheric Turbulence Measurement

Subsequently, we employed a measurement system to quantify the atmospheric turbulence at the NVST site. The GLAO system operates at a high frame rate of 2100 Hz and constantly listens to data requests from the measurement system. The measurement system requests data at a fixed rate of 200 Hz, which triggers subsequent computational tasks once per second. If each measurement can be completed within one second, the system can continuously output one result per second in real time.
In terms of actual computation time, the system accomplishes all calculations within 0.6 s and displays the results on the host computer interface, effectively satisfying the envisaged real-time requirements.
The measurement results are shown in Figure 10.
During the observation process, the FOV of the observed solar activity area exceeded 1″. The average atmospheric coherence length is approximately 10.8 cm. During the observation process, we systematically adjusted the open- and closed-loop states to collect validation data. The results obtained in the closed-loop state are almost identical to those in the open-loop state. The results show that the measurement system can measure atmospheric turbulence under both open- and closed-loop conditions, even in natural atmospheric turbulence conditions.
To compare the S-DIMM+ method, we saved the original data during the real-time measurement process. After collecting the data, we measured them using S-DIMM+. The S-DIMM+ measurement results are shown in Figure 10b.
We have conducted a statistical analysis of atmospheric turbulence during this period to better compare the measurement results of the two methods. Figure 11 and Table 3 show the statistical results.
The results show that the statistical results obtained via the two methods are relatively similar, with most turbulence located below 2000 m. Approximately 86% of the real-time measurement results obtained by the measurement system are located below 2000 m, with only a small portion of turbulence occurring in the upper layers. The results of the S-DIMM+ method are relatively scattered. Due to the sun’s irradiation, the ground temperature rises rapidly, resulting in very strong atmospheric turbulence near the ground. It is reasonable for daytime turbulence to be concentrated near the ground.
Statistical analysis of the results of both the SLODAR and S-DIMM+ methods reveals that approximately 80% of the turbulence is located below an altitude of 2000 m; only a small amount occurs at a greater height.

5. Conclusions

Without additional hardware, a real-time turbulence profile measurement system was deployed on NVST for the measurement of atmospheric turbulence intensity and distribution. The measurement system acquired wavefront sensor slope data and voltage data from the RTC of the GLAO system to recover the turbulence wavefront information. Multiple sub-apertures and guide regions were employed to measure turbulence intensity distribution with DIMM and SLODAR methods.
The simulation results show that for the conventional DIMM method with a pair of sub-apertures and one guide star, the value of measured r0 is from 8.0 cm to 12.5 cm corresponding to the input of 10 cm. Two conventional measurement algorithms, SLODAR and S-DIMM+, were compared with the same parameters in a simulation in order to cross-verify the correctness of our calculations based on the data process of pseudo-open loop data and multiple sub-aperture pairs. The results show that the measurement accuracy of the SLODAR method (93%) is slightly higher than S-DIMM+ (87%). The SLODAR method may cause a decrease in accuracy in detecting high layers, while a decrease in the accuracy of S-DIMM+ occurred in the middle layer’s measurement. The results with closed-loop and open-loop data did not show a difference in measurement accuracy. This means that the measurement system could operate smoothly during the normal closed-loop operation of the GLAO system.
The system was tested indoors with the heat–air turbulence simulator after being deployed on the NVST. Then, we observed and measured the atmospheric turbulence profile on 28 May 2023. The results from open-loop and closed-loop measurements were relatively consistent. Off-line measurement based on the S-DIMM+ method was carried out for the comparison. The corresponding results were very similar to the real-time measurement results of the measurement system with the SLODAR method. Statistical analysis of these results revealed that approximately 80% of the turbulence was located at a height below 2000 m; only a few appeared at the upper height. The results based on open-loop data and close-loop data also showed consistency, but there were differences in the detection of strong and weak turbulence. Since these differences were not present in the simulation, noise might be the main cause of this difference. The closed loop of the adaptive optical system might affect the wavefront detection accuracy of MD-WFS. In addition, due to the optimization method, the detection accuracy for weak turbulence might be relatively low, especially when noise exists simultaneously.
This measurement system should be the first real-time atmospheric turbulence measurement system that does not require hardware costs and works simultaneously with the GLAO system. It could be combined with the GLAO system and MCAO system to facilitate subsequent processing and application. However, this measurement system relied entirely on data from the GLAO system. So, it could only measure when the GLAO system was running, which puts higher requirements on the observation time. In addition, in the case of very strong turbulence, MD-WFS wavefront detection might be quite difficult. In this case, the measurement of atmospheric turbulence parameters might be invalid.

Author Contributions

Methodology, writing—review and editing: X.R. (Xian Ran), L.Z. and C.R.; software: X.R. (Xian Ran) and H.B.; validation: X.R. (Xian Ran), L.Z., X.R. (Xuejun Rao), J.Y., D.T. and C.W.; writing—original draft preparation, visualization: X.R. (Xian Ran); supervision, project administration, funding acquisition: L.Z. and C.R. All authors have read and agreed to the published version of the manuscript.

Funding

This research was funded by the National Natural Science Foundation of China grants 12261131508, 11727805, 12103057, and the Youth Innovation Promotion Association of the Chinese Academy of Sciences, grant no. 2021378.

Institutional Review Board Statement

Not applicable.

Informed Consent Statement

Not applicable.

Data Availability Statement

Data used are available on request from the corresponding author.

Acknowledgments

We are grateful to Lin Luo, Guangquan Liao, and the NVST-related staff for their help during the system’s deployment and observation. Thank you to the editors and reviewers for their valuable suggestions on the content of this article.

Conflicts of Interest

The authors declare no conflict of interest.

References

  1. Rigaut, F.; Neichel, B. Multiconjugate Adaptive Optics for Astronomy. Annu. Rev. Astron. Astrophys. 2018, 56, 277–314. [Google Scholar] [CrossRef]
  2. Berkefeld, T.; Soltau, D.; von der Lühe, O. Multi-conjugate solar adaptive optics with the VTT and GREGOR. In Proceedings of the SPIE Astronomical Telescopes + Instrumentation, Orlando, FL, USA, 27 June 2006; Volume 6272. [Google Scholar]
  3. Zhang, L.; Guo, Y.; Rao, C. Solar multi-conjugate adaptive optics based on high order ground layer adaptive optics and low order high altitude correction. Opt. Express 2017, 25, 4356–4367. [Google Scholar] [CrossRef] [PubMed]
  4. Zhang, L.; Bao, H.; Rao, X.; Guo, Y.; Zhong, L.; Ran, X.; Yan, N.; Yang, J.; Wang, C.; Zhou, J.; et al. Ground-layer adaptive optics for the New Vacuum Solar Telescope: Instrument description and first results. Sci. China Phys. Mech. Astron. 2023, 66, 269611. [Google Scholar] [CrossRef]
  5. Avila, R.; Masciadri, E.; Vernin, J.; Sánchez, L.J. Generalized SCIDAR Measurements at San Pedro Mártir. I. Turbulence Profile Statistics. Publ. Astron. Soc. Pac. 2004, 116, 682. [Google Scholar] [CrossRef]
  6. Shepherd, H.W.; Osborn, J.; Wilson, R.W.; Butterley, T.; Avila, R.; Dhillon, V.S.; Morris, T.J. Stereo-SCIDAR: Optical turbulence profiling with high sensitivity using a modified SCIDAR instrument. Mon. Not. R. Astron. Soc. 2013, 437, 3568–3577. [Google Scholar] [CrossRef]
  7. Osborn, J.; Butterley, T.; Townson, M.J.; Reeves, A.P.; Morris, T.J.; Wilson, R.W. Turbulence velocity profiling for high sensitivity and vertical-resolution atmospheric characterization with Stereo-SCIDAR. Mon. Not. R. Astron. Soc. 2016, 464, 3998–4007. [Google Scholar] [CrossRef]
  8. Osborn, J.; Wilson, R.W.; Sarazin, M.; Butterley, T.; Chacón, A.; Derie, F.; Farley, O.J.D.; Haubois, X.; Laidlaw, D.; LeLouarn, M.; et al. Optical turbulence profiling with Stereo-SCIDAR for VLT and ELT. Mon. Not. R. Astron. Soc. 2018, 478, 825–834. [Google Scholar] [CrossRef]
  9. Wilson, R.W. SLODAR: Measuring optical turbulence altitude with a Shack-Hartmann wavefront sensor. Mon. Not. R. Astron. Soc. 2002, 337, 103–108. [Google Scholar] [CrossRef]
  10. Butterley, T.; Wilson, R.W.; Sarazin, M. Determination of the profile of atmospheric optical turbulence strength from SLODAR data. Mon. Not. R. Astron. Soc. 2006, 369, 835–845. [Google Scholar] [CrossRef]
  11. Laidlaw, D.J.; Osborn, J.; Morris, T.J.; Basden, A.G.; Beltramo-Martin, O.; Butterley, T.; Gendron, E.; Reeves, A.P.; Rousset, G.; Townson, M.J.; et al. Optimizing the accuracy and efficiency of optical turbulence profiling using adaptive optics telemetry for extremely large telescopes. Mon. Not. R. Astron. Soc. 2018, 483, 4341–4353. [Google Scholar] [CrossRef]
  12. Butterley, T.; Wilson, R.W.; Sarazin, M.; Dubbeldam, C.M.; Osborn, J.; Clark, P. Characterization of the ground layer of turbulence at Paranal using a robotic SLODAR system. Mon. Not. R. Astron. Soc. 2019, 492, 934–949. [Google Scholar] [CrossRef]
  13. Tokovinin, A.; Kornilov, V.; Shatsky, N.; Voziakova, O. Restoration of turbulence profile from scintillation indices. Mon. Not. R. Astron. Soc. 2003, 343, 891–899. [Google Scholar] [CrossRef][Green Version]
  14. Ogane, H.; Akiyama, M.; Oya, S.; Ono, Y. Atmospheric turbulence profiling with multi-aperture scintillation of a Shack–Hartmann sensor. Mon. Not. R. Astron. Soc. 2021, 503, 5778–5788. [Google Scholar] [CrossRef]
  15. Ren, D.; Zhao, G.; Zhang, X.; Dou, J.; Chen, R.; Zhu, Y.; Yang, F. Multiple-Aperture-Based Solar Seeing Profiler. Publ. Astron. Soc. Pac. 2015, 127, 870–879. [Google Scholar] [CrossRef][Green Version]
  16. Ren, D.; Zhao, G. Advanced Multiple Aperture Seeing Profiler. Publ. Astron. Soc. Pac. 2016, 128, 105002. [Google Scholar] [CrossRef]
  17. Tokovinin, A. Measurement of turbulence profile from defocused ring images. Mon. Not. R. Astron. Soc. 2021, 502, 794–808. [Google Scholar] [CrossRef]
  18. Sarazin, M.; Roddier, F. The eso differential image motion monitor. Astron. Astrophys. 1990, 227, 294–300. [Google Scholar]
  19. Liu, Z.; Beckers, J. Comparative Solar Seeing and Scintillation Studies at the Fuxian Lake Solar Station. Sol. Phys. 2001, 198, 197–209. [Google Scholar] [CrossRef]
  20. Song, T.F.; Wen, Y.M.; Liu, Y.; Elmhamdi, A.; Kordi, A.S.; Zhao, M.Y.; Zhang, X.F.; Li, X.B.; Wang, J.X.; Fu, Y.; et al. Automatic Solar Seeing Observations at Mt. Wumingshan in Western China. Sol. Phys. 2018, 293, 37. [Google Scholar] [CrossRef]
  21. Song, T.; Liu, Y.; Cai, Z.; Zhao, M.; Zhang, X.; Wang, J.; Li, X.; Huang, S.; Song, Q.; Du, Z. Evaluation of the day-time ground-level turbulence at Mt Wumingshan with a microthermal sensor. Mon. Not. R. Astron. Soc. 2021, 505, 3070–3077. [Google Scholar] [CrossRef]
  22. Scharmer, G.B.; van Werkhoven, T.I.M. S-DIMM plus height characterization of day-time seeing using solar granulation. Astron. Astrophys. 2010, 513, A25. [Google Scholar] [CrossRef]
  23. Kellerer, A.; Gorceix, N.; Marino, J.; Cao, W.; Goode, P.R. Profiles of the daytime atmospheric turbulence above Big Bear solar observatory. Astron. Astrophys. 2012, 542, A2. [Google Scholar] [CrossRef]
  24. Wang, Z.; Zhang, L.; Kong, L.; Bao, H.; Guo, Y.; Rao, X.; Zhong, L.; Zhu, L.; Rao, C. A modified S-DIMM+: Applying additional height grids for characterizing daytime seeing profiles. Mon. Not. R. Astron. Soc. 2018, 478, 1459–1467. [Google Scholar] [CrossRef]
  25. Song, T.; Cai, Z.; Liu, Y.; Zhao, M.; Fang, Y.; Zhang, X.; Wang, J.; Li, X.; Song, Q.; Du, Z. Daytime optical turbulence profiling with a profiler of the differential solar limb. Mon. Not. R. Astron. Soc. 2020, 499, 1909–1917. [Google Scholar] [CrossRef]
  26. Townson, M.J.; Kellerer, A.; Osborn, J.; Butterley, T.; Morris, T.; Wilson, R.W. Characterising daytime atmospheric conditions on La Palma. J. Phys. Conf. Ser. 2015, 595, 012035. [Google Scholar] [CrossRef]
  27. Shikhovtsev, A.Y.; Kovadlo, P.G.; Kiselev, A.V.; Kolobov, D.Y.; Lukin, V.P.; Russkikh, I.V.; Shikhovtsev, M.Y. Modified Method to Detect the Turbulent Layers in the Atmospheric Boundary Layer for the Large Solar Vacuum Telescope. Atmosphere 2021, 12, 159. [Google Scholar] [CrossRef]
  28. Löfdahl, M.G. Evaluation of image-shift measurement algorithms for solar Shack-Hartmann wavefront sensors. Astron. Astrophys. 2010, 524, A90. [Google Scholar] [CrossRef]
  29. Reeves, A. Soapy: An adaptive optics simulation written purely in Python for rapid concept development. In Proceedings of the Adaptive Optics Systems V, Edinburgh, UK, 1 July 2016; p. 99097F. [Google Scholar]
Figure 1. The framework of the real-time measurement system.
Figure 1. The framework of the real-time measurement system.
Applsci 13 11885 g001
Figure 2. MD-WFS configuration information: (a) the sub-aperture arrangement of MD-WFS, with sub-apertures divided into a hexagonal pattern on the pupil plane; (b) schematic diagram of Hartmann image, with sub-apertures forming a rectangular FOV; nine guide regions are selected in each sub-image for multiple-direction wavefront sensing.
Figure 2. MD-WFS configuration information: (a) the sub-aperture arrangement of MD-WFS, with sub-apertures divided into a hexagonal pattern on the pupil plane; (b) schematic diagram of Hartmann image, with sub-apertures forming a rectangular FOV; nine guide regions are selected in each sub-image for multiple-direction wavefront sensing.
Applsci 13 11885 g002
Figure 3. The UI of the real-time turbulence intensity and distribution measurement system is attached to the GLAO control software.
Figure 3. The UI of the real-time turbulence intensity and distribution measurement system is attached to the GLAO control software.
Applsci 13 11885 g003
Figure 4. Flow chart for data acquisition and preprocessing in the measurement system.
Figure 4. Flow chart for data acquisition and preprocessing in the measurement system.
Applsci 13 11885 g004
Figure 5. Process of reconstructing pseudo-open-loop data.
Figure 5. Process of reconstructing pseudo-open-loop data.
Applsci 13 11885 g005
Figure 6. Probability density function of a set of r0 measurement results. The blue bar chart and line represent the probability density function of the results using only one sub-aperture pair and one guide region, while the red vertical line represents the fitting r0 using all sub-aperture pairs and guide regions.
Figure 6. Probability density function of a set of r0 measurement results. The blue bar chart and line represent the probability density function of the results using only one sub-aperture pair and one guide region, while the red vertical line represents the fitting r0 using all sub-aperture pairs and guide regions.
Applsci 13 11885 g006
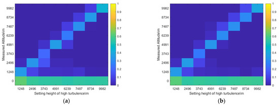
Figure 7. Measurement results of open-loop data and pseudo-open-loop data. Each column in the figure represents a measurement result. The vertical coordinate indicates the height level measured, and the horizontal coordinate indicates the set height of the upper turbulence; (a) the result of open-loop data; (b) the result of pseudo-open-loop data.
Figure 7. Measurement results of open-loop data and pseudo-open-loop data. Each column in the figure represents a measurement result. The vertical coordinate indicates the height level measured, and the horizontal coordinate indicates the set height of the upper turbulence; (a) the result of open-loop data; (b) the result of pseudo-open-loop data.
Applsci 13 11885 g007
Figure 8. Measurement results of S-DIMM+ method for same data and parameter. Each column in the figure represents a measurement result. The vertical coordinate indicates the height level measured, and the horizontal coordinate indicates the set height of the upper turbulence; (a) the result of open-loop data; (b) the result of pseudo-open-loop data.
Figure 8. Measurement results of S-DIMM+ method for same data and parameter. Each column in the figure represents a measurement result. The vertical coordinate indicates the height level measured, and the horizontal coordinate indicates the set height of the upper turbulence; (a) the result of open-loop data; (b) the result of pseudo-open-loop data.
Applsci 13 11885 g008
Figure 9. Measurement results of open-loop and closed-loop data under heat–air turbulence conditions: the upper graph shows the results of open data, the lower shows the results of closed data.
Figure 9. Measurement results of open-loop and closed-loop data under heat–air turbulence conditions: the upper graph shows the results of open data, the lower shows the results of closed data.
Applsci 13 11885 g009
Figure 10. Observation results on 28 May 2023. (a) the measurement results. The top graph indicates the variation of the atmospheric coherence length, the bottom chart shows the atmospheric coherence length of different heights, and the middle figure shows the system’s status, where green means the open loop and yellow means the closed loop. (b) The measurement results of S-DIMM+ for the same data and parameters.
Figure 10. Observation results on 28 May 2023. (a) the measurement results. The top graph indicates the variation of the atmospheric coherence length, the bottom chart shows the atmospheric coherence length of different heights, and the middle figure shows the system’s status, where green means the open loop and yellow means the closed loop. (b) The measurement results of S-DIMM+ for the same data and parameters.
Applsci 13 11885 g010
Figure 11. Statistical results of two methods.
Figure 11. Statistical results of two methods.
Applsci 13 11885 g011
Table 1. System parameter.
Table 1. System parameter.
Telescope aperture0.98 m
Wavelength500 nm
Data frame rate200 Hz
Sub-aperture arrangement9 × 8, hexagon
Number of effective sub-apertures48
Pixel resolution0.6 arcsec/pixel
Field of view42″ × 37″
Guide regions arrangement3 × 3
Angle interval corresponding to the guide region pairs[0 9 18]″
Number of measured height layers12
Table 2. Quantification of measurement results using two methods.
Table 2. Quantification of measurement results using two methods.
J/%12482496374349916239748787349982
SLODAROpen95.693.093.693.995.794.091.288.5
Close96.892.592.993.897.993.392.281.1
S-DIMM+Open94.489.775.590.878.687.189.795.1
Close94.890.181.489.885.288.287.696.5
Table 3. The proportion of turbulence intensity at different heights.
Table 3. The proportion of turbulence intensity at different heights.
/%0–20002000–10,000>10,000
SLODAR86.012.31.7
S-DIMM+78.419.32.3
Disclaimer/Publisher’s Note: The statements, opinions and data contained in all publications are solely those of the individual author(s) and contributor(s) and not of MDPI and/or the editor(s). MDPI and/or the editor(s) disclaim responsibility for any injury to people or property resulting from any ideas, methods, instructions or products referred to in the content.

Share and Cite

MDPI and ACS Style

Ran, X.; Zhang, L.; Bao, H.; Rao, X.; Yang, J.; Tong, D.; Wang, C.; Rao, C. A Real-Time Measurement System for Atmospheric Turbulence Intensity and Distribution Based on the GLAO System. Appl. Sci. 2023, 13, 11885. https://doi.org/10.3390/app132111885

AMA Style

Ran X, Zhang L, Bao H, Rao X, Yang J, Tong D, Wang C, Rao C. A Real-Time Measurement System for Atmospheric Turbulence Intensity and Distribution Based on the GLAO System. Applied Sciences. 2023; 13(21):11885. https://doi.org/10.3390/app132111885

Chicago/Turabian Style

Ran, Xian, Lanqiang Zhang, Hua Bao, Xuejun Rao, Jinsheng Yang, Dingkang Tong, Cheng Wang, and Changhui Rao. 2023. "A Real-Time Measurement System for Atmospheric Turbulence Intensity and Distribution Based on the GLAO System" Applied Sciences 13, no. 21: 11885. https://doi.org/10.3390/app132111885

APA Style

Ran, X., Zhang, L., Bao, H., Rao, X., Yang, J., Tong, D., Wang, C., & Rao, C. (2023). A Real-Time Measurement System for Atmospheric Turbulence Intensity and Distribution Based on the GLAO System. Applied Sciences, 13(21), 11885. https://doi.org/10.3390/app132111885

Note that from the first issue of 2016, this journal uses article numbers instead of page numbers. See further details here.

Article Metrics

Back to TopTop