Next Article in Journal
A Minimum Cost Design Approach for Steel Frames Based on a Parallelized Firefly Algorithm and Parameter Control
Previous Article in Journal
Impact Characteristics of a Bidirectional Pneumatic DTH Hammer for Unconsolidated Formations
Previous Article in Special Issue
Research on the Effect of Karst on Foundation Pit Blasting and the Stiffness of Optimal Rock-Breaking Cement Mortar
 
 
Font Type:
Arial Georgia Verdana
Font Size:
Aa Aa Aa
Line Spacing:
Column Width:
Background:
Article

Investigation of Load–Displacement Characteristics and Crack Behavior of RC Beam Based on Nonlinear Finite Element Analysis Using Concrete Damage Plasticity

1
Department of Civil Engineering, Kumoh National Institute of Technology, Gumi 39177, Republic of Korea
2
Department of Architectural Engineering, Kumoh National Institute of Technology, Gumi 39177, Republic of Korea
*
Authors to whom correspondence should be addressed.
Appl. Sci. 2023, 13(21), 11798; https://doi.org/10.3390/app132111798
Submission received: 9 August 2023 / Revised: 18 October 2023 / Accepted: 23 October 2023 / Published: 28 October 2023
(This article belongs to the Special Issue Damage and Fracture Analysis of Concrete Structures)

Abstract

:
Crack patterns provide critical information about the structural integrity and safety of concrete structures. However, until now, there has been a lack of sufficient studies on using the Finite Element (FE) method to investigate the characteristics of the crack patterns of reinforced concrete (RC) beams. Therefore, this study aims to develop an FE model to analyze the load–displacement and crack characteristics of a beam under a four-point bending test using the concrete damaged plasticity (CDP) model that accounts for the influence of mesh size. The simulation results were validated against experimental results, including mesh convergence analysis, energy balance, load characteristics, and crack patterns. A parametric study was then conducted using this model to investigate the influence of the rebar’s diameter, number, and spacing on the RC beam’s load–displacement characteristics and crack behavior. The findings demonstrate that the FE model accurately simulates the working behavior of the RC beam, with a maximum deviation at a cracking load of 8.7% and crack patterns with a maximum deviation in the mean crack height of 12.1%. In addition, the results of the parametric study suggest that the rebar configuration significantly affects the RC beam’s loading carrying capacity. This study provides deeper insights into the use of FE modeling for analyzing the behavior of RC beams, which can be useful for designing and optimizing structures in civil engineering.

1. Introduction

Reinforced concrete (RC) structures are popular in modern construction due to their durability, strength, and versatility. However, RC beams are susceptible to cracking due to diverse factors such as overload, substandard construction practices, and environmental effects like corrosion. These cracks can compromise the stability of the structure and may fail if not addressed. Therefore, the objective of this study is to study the mechanisms and characteristics of crack development in RC beams to ensure their safety and longevity.
Numerical techniques such as finite element analysis have become popular tools for investigating crack development in RC beams. These techniques provide detailed insights into beam behavior under varying load conditions and can guide design decisions to reduce the risk of cracking.
Numerous numerical methods have been developed to model crack propagation in concrete structures. One notable approach is the Extended Finite Element Method (XFEM), an extension of the Partition of Unity Finite Element Method (PUFEM). Another method involves using the Finite Element Method (FEM) in conjunction with the Concrete Damaged Plasticity (CDP) model.
XFEM’s applicability has been explored in previous studies [1,2,3] for analyzing cracks in concrete structures. For instance, Faron et al. [1] utilized XFEM with one or two crack planes to simulate crack propagation and the load–displacement behavior of concrete beams. While the load–displacement curves exhibited good agreement with experimental data, the crack patterns did not align well with the observed results. When employing XFEM, it is necessary to define the initial crack geometry or location accurately. Therefore, replicating experimental crack patterns in the simulation model requires creating an initial pattern that closely matches the observed cracks. This step poses significant challenges when attempting to predict crack patterns in structures during the design phase without the availability of experimental data.
The crack band method, introduced by Bažant et al. [4], is widely utilized in addressing nonlinear finite element analysis (FEA) challenges. It is often employed in the smeared crack approach, as discussed in studies [5,6]. Cervenka et al. [7] applied the smeared crack method to model crack patterns in RC beams, achieving a maximum deviation in crack width of approximately 48% compared to experimental results. However, it is important to note that the use of the crack band model may pose challenges, particularly when dealing with large finite elements and the presence of reinforcements [5]. These challenges can impact the effectiveness of the model, introducing potential issues during the solution process.
Recently, the CDP model, which was developed by Lee et al. [8], has been popular in modeling the working behavior of concrete structures due to its ability to capture the cracking and crushing of concrete accurately. Many studies have applied the CDP model to research the nonlinear behavior of concrete structures under different loading conditions. Rai [9] used the CDP model to model the nonlinear behavior of an RC deep beam under a three-point bending test. The FE results showed a good agreement in the load–displacement curve and damage patterns, with a maximum of 6.92% in error at ultimate displacement. Luu and Kim [10] developed an FE model using the CDP model in combination with a surface-based cohesive model to simulate NSC-UHPFRC specimens under different loading conditions. The maximum deviation of the model was found to be 15.9%. The FEA results also matched well with the experimental (EXP) results in both load–displacement curve and damage patterns, with a maximum of 22% deviation in ultimate displacement. Also, Solhmirzaei et al. [11] utilized the CDP model to model the working behavior of the UHPFRC beam under a four-point bending test with a deviation of 10% between FEA and EXP.
The CDP model also conducted modeling of an RC beam reinforced with other materials such as Fiber Reinforced Polymer (FRP) or ultra-high performance concrete (UHPC). Rai et al. [9] studied reinforcing RC beams with web openings by using CFRP with a maximum deviation in the ultimate load of about 17%. Zhu et al. [12] used the CDP model for both RC and UHPFRC material when modeling the pre-damaged RC beams reinforced by UHPC under the four-point bending test. The simulated and experimental results showed good agreement in the load–displacement curve; the deviation did not exceed 6% but the damage patterns did not fit between those results. Furthermore, Lee et al. [13] simulated the post-tensioned reinforced concrete beams by using the CDP model with a maximum of 9% error in ultimate load between the simulation and experimental results.
All studies mentioned above show that the CDP model is a good model to simulate the working behavior of reinforced concrete beams under different loads or in interaction with other structures. However, those studies only researched the behavior of the load–displacement curve between simulated and experimental results and did not mention the crack propagation with detailed characteristics of the crack in width, length, and space.
In recent times, some studies have paid attention to using the CDP model to calculate the crack width. Naas et al. [14] used the CDP model to model RC beams’ working behavior under four-point bending. The numerical results were then utilized to estimate the crack width by using strain on either side of the element multiplied by the length of the element. The numerical results showed good agreement with the experimental results, with a maximum error of 15% in the crack width of an RC beam. However, there was no comparison in damage patterns in terms of each crack’s width, length, and space. Mathern et al. [15] presented a practical FE method to capture RC beams’ cracking and crushing behavior. The method for capturing the crack width was introduced using a smeared crack combined with a crack band method. The results showed good agreement in the load–displacement curve and crack width between FEA and the experiment. However, the method to calculate the crack strain, length, and space of each crack was not introduced.
From the lack of studies using the CDP model to estimate crack patterns, this study aims to develop an FE model using the CDP model to model the load–displacement curve and present a method to calculate the width, length, and spacing of crack patterns. The assumption of concrete compression and tension behavior depends on the FE model’s mesh size as a starting point as the mesh size significantly influences the crack width calculation in the FE model. After validating the simulation results with the experimental results, the FE model was examined under a parametric study to investigate the influence of different diameters of rebars and the space between rebars on the working behavior of the RC beam.
The proposed FE models, utilizing the CDP model, effectively capture load–displacement curves, crack propagation, and patterns. The study emphasizes the significant influence of a reinforcement diameter on crack behavior. The findings hold practical applications for predicting and optimizing the performance of reinforced concrete beams.
This study is structured as follows: Section 2 presents an overview of the experiment. Then, Section 3 introduces the FE analysis, including the element types and model for modeling the behavior of concrete and reinforcement, the method to calculate the crack width, and the choice of ABAQUS solver. Section 4 presents the results and discussion related to the accuracy of the model and a parametric study. Finally, Section 5 summarizes the study’s key findings and discusses their implications.

2. Experimental Test

Gribniak et al. [16] conducted an experimental investigation on the structural behavior and development of cracks in nine different RC beams. Two beams (S1-2 and S1-4) with dimensions 3280 × 300 × 280 mm and various reinforcements were adopted for examination in this study. The concrete used for those beams was the concrete grade C37 with the mix design shown in Table 1. This concrete had a compressive strength of 49.4 MPa days and a Young’s modulus of E = 24 (GPa) which was determined from 150 × 300 mm cylinder specimens at 28.
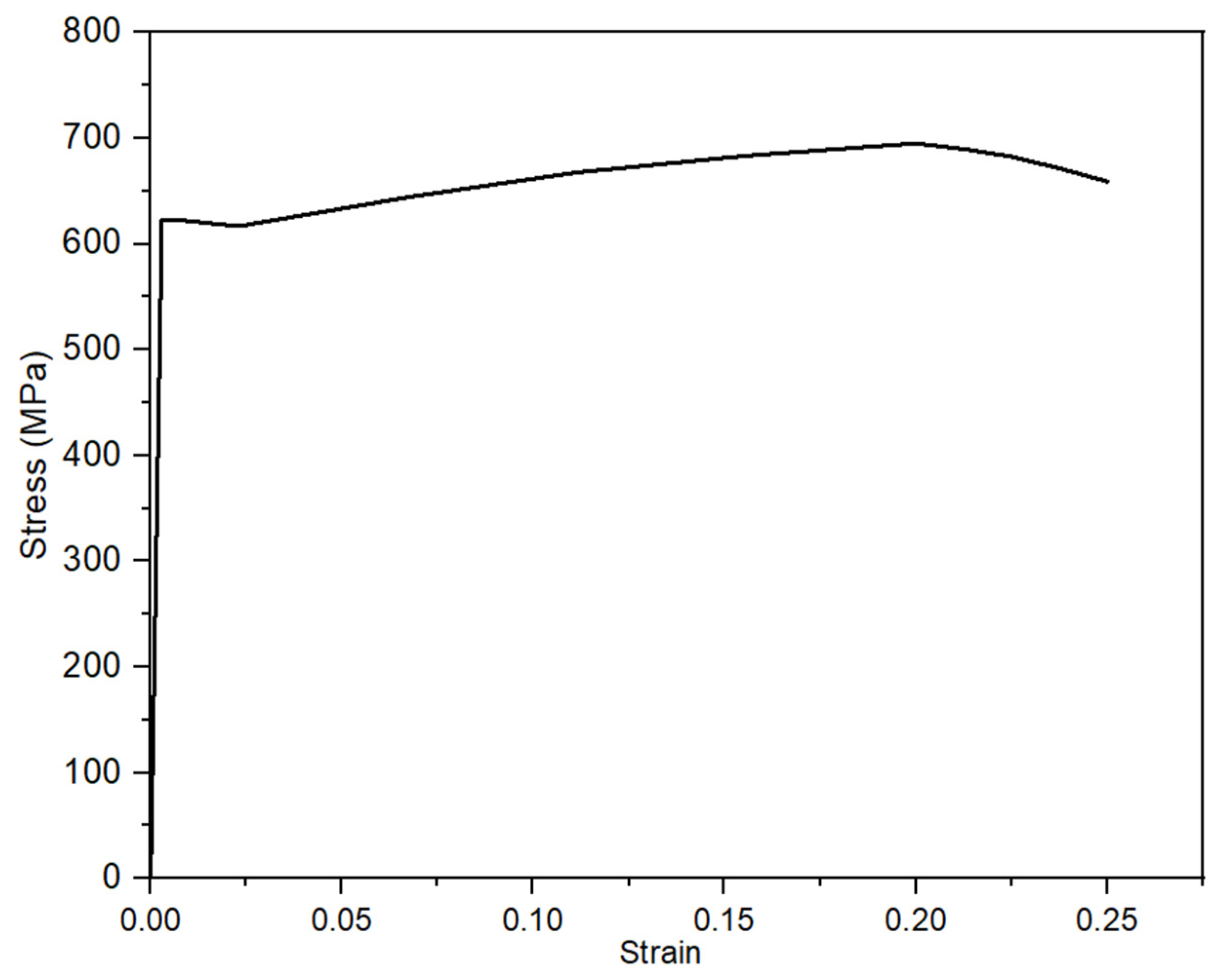
The RC beams were reinforced with five rebars of 14 mm diameter for beam S1-2, two 22 mm diameter for beam S1-4 in the tensile area, and two rebars of 6 mm diameter in the compressive zone. Stirrups, with a diameter of 6 mm, were placed at intervals of 200 mm along the beam’s length. The longitudinal reinforcements and stirrups were made of steel with a Young’s modulus of 210.5 GPa, yield strength of fy = 623.3 MPa, a tensile strength of 695.1 MPa, and a Poisson’s ratio of 0.3. The detailed geometry and arrangement of rebars in the beam are illustrated in Figure 1.
Gribniak et al. [16] conducted an experimental investigation on the structural behavior and development of cracks in nine different RC beams. This study focused on two specific beams, S1-2 and S1-4, from these nine beams. Both beams measured 3280 × 300 × 280 mm and were constructed using concrete graded as C37 with the mix design as outlined in Table 1. After 28 days, the concrete exhibited a compressive strength of 49.4 MPa. The Young’s modulus was determined to be 24 GPa based on the examination of 150 × 300 mm cylinder specimens.
For the reinforcement, beam S1-2 was equipped with five 14 mm diameter rebars in the tensile area, while beam S1-4 had two 22 mm diameter rebars in the same area along with two 6 mm diameter rebars in the compressive zone in two beams. Stirrups, with a diameter of 6 mm, were placed at 200 mm intervals along the length of the beams. Both the longitudinal reinforcements and stirrups were made of steel, with a Young’s modulus of 210.5 GPa, yield strength of 623.3 MPa, tensile strength of 695.1 MPa, and a Poisson’s ratio of 0.3. Figure 1 provides a detailed illustration of the geometry and arrangement of rebars in the two beams.

3. FE Analysis

In this section, the analysis focuses on two beams, namely BS1-2 and BS1-4, investigated by Gribniak et al. [16], as previously mentioned. Their nonlinear behavior is examined using Finite Element Analysis with the ABAQUS 2020 software. The detailed methodology is presented below.

3.1. Element Types

The accuracy of finite element analysis is crucial for simulating the behavior of beam components and supports. Therefore, appropriate element types were carefully selected in this study. The eight-node linear brick with reduced integration element (C3D8R) [17] was chosen to model concrete effectively. The two-noded truss element (T3D2) [17] was used to model longitudinal and transverse reinforcements, which interacted with concrete through an embedded constraint, thus reducing computational costs. Additionally, discrete rigid shell elements [17] were used to model rigid bodies, such as steel pins and supports, due to their ability to accurately simulate contact between the RC beam and load pins and supports. A detailed simulation of the RC beam is illustrated in Figure 2.

3.2. Material Modeling

The concrete damaged plasticity (CDP) model, which combines damage and plasticity, is widely used to simulate the nonlinear behavior of concrete. It represents cracks through the use of tensile and compressive damage variables, dt and dc, respectively (as shown in Figure 3). After unloading, the model exhibits weaker reload behavior due to elastic stiffness degradation and the introduction of plastic strain [17].
The CDP model requires five parameters, including the ratio of the initial biaxial to initial uniaxial compressive strength (σb0c0), the shape of the failure surface (Kc), the eccentricity of the plastic flow (ε), the dilation angle (ψ), and the viscosity parameter, to improve the convergence rate. Table 2 provides the parameters for Normal Strength Concrete (NSC).
In order to accurately model the tension and compression behavior of unconfined concrete, the concrete model developed in previous studies was utilized. The details of this model are presented in the following sections.

3.2.1. Compression Behavior

The compressive behavior of concrete under uniaxial loading conditions can be characterized by three distinct phases, as illustrated in Figure 3a. Each of these phases is described in detail below:
Phase 1: During the first phase, the stress is linearly proportional to strain, as described by Equation (1):
σ ( c 1 ) = E 0 ε c
With E0, εc represents the concrete’s initial elastic stiffness and strain, respectively.
Phase 2: After the linear stage, cracks begin to appear, and the stress–strain relationship of concrete becomes nonlinear, as described by Equation (2):
σ ( c 2 ) = E ci ε c f cm - ( ε c ε c 1 ) 2 1 + ( E ci ε c f cm - 2 ) ε c ε c 1 f cm
Eci represents the modulus of elasticity of deformation of concrete for zero stress, while fcm and εc1 denote the strength and strain at peak, respectively.
Phase 3: This softening phase assumes that the stress–strain relationship follows the theory proposed by Krätzig et al. [19], which takes into account the mesh length (leq). The constitutive law of this phase is presented in Equation (3):
s ( c 3 ) = ( 2 + g c f cm e c 1 2 f cm - g c e c + g c e c 2 2 e c 1 ) 1
With γ c = π 2 f c m ε c 1 2 [ G c h l e q 0.5 f c m ( ε c 1 ( 1 b ) + b f c m E 0 ) ] ;   b = ε c p l ε c i n
Where ε c p l , ε c i n denote plastic strain and inelastic strain, respectively. leq is the characteristic length, which depends on the mesh size.
Gch is the crushing energy, which is determined by G ch = ( f cm f tm ) 2 0.073 f cm 0.18
The compression damage variable, dc, is determined by the portion of normalized energy dissipated by damage [20] in the following Equation:
d c = 1 - 1 2 + a c [ 2 ( 1 + a c ) exp ( b c ε c ch ) - a c exp ( 2 b c ε c ch ) ]
εcch is the crushing strain.
Here, the ac and bc dimensionless coefficients are determined from Equations (5) and (6):
a c = 2 ( f c m / f c 0 ) 1 + 2 ( f c m / f c 0 ) 2 f c m / f c 0
b c = f c 0 l e q G c h ( 1 + a c 2 )
fc0 is the compressive strength at zero crushing strain, and fcm is determined by f cm = f c 0 ( 1 + a c ) 2 4 a c .

3.2.2. Tension Behavior

Hordijk [21] presents the tensile nonlinear behavior of concrete, which is depicted by the stress–crack opening relationship in Equation (7):
f t ( w ) f t m = [ 1 + ( c 1 w w c ) 3 ] e c 2 w w c w w c ( 1 + c 1 3 ) e c 2
Here, c1 = 3, c2 = 6.93, and wc represent the crack opening, which can be determined using the fracture crack opening given in Equation (8).
w c = 5.14 G F f t m
GF is the fracture energy which is determined by G F = 0.073 f c m 0.18
The width of the crack at the mesh size leq is determined by Equation (9):
w = l e q ε t c k = l e q ( ε t σ t E c 1 )
The tension damage variable, dt, is determined by the portion of normalized energy dissipated by damage in the following Equation:
d t = 1 1 2 + a t [ 2 ( 1 + a t ) exp ( b t ε t c k ) a t exp ( 2 b t ε t c k ) ]
a t = 2 ( f t m / f t 0 ) 1 + 2 ( f t m / f t 0 ) 2 f t m / f t 0
b t = f t 0 l e q G F ( 1 + a t 2 )
ε t c k is the cracking strain. ft0 is the tensile strength at zero cracking strain, and ftm is determined by f tm = f t 0 ( 1 + a t ) 2 4 a t
From the above equations, combined with Model Code recommendations [22], the curves show the stress and damage variables in the compression and tension behavior of the concrete used in the modeling model, which is presented in Figure 4.

3.2.3. Reinforcement Material Behavior

In order to model the behavior of the steel reinforcement, the nonlinear uniaxial material model [23] was applied. The stress–strain curve of the reinforcements is presented in Figure 5.

3.3. Interfacial Interactions

ABAQUS 2020 software provides an embedded constraint technique that can effectively model truss elements within solid elements, such as rebars embedded in concrete [17]. This modeling was utilized to simulate the interaction between the rebars and the surrounding concrete. In order to model the interaction between concrete and supports and loading pins, hard penalty contact with a friction coefficient of 0.2 [24] was applied.

3.4. Mesh Sensitivity

Several studies have demonstrated that mesh size significantly affects the accuracy of finite element simulations [25,26]. Mesh density is directly proportional to mesh size. However, using finer meshes can result in longer computation times due to the tremendous number of elements. ABAQUS recommends employing elements with aspect ratios close to one [17]. While there is no prescribed minimum mesh size for a given finite element analysis, it is essential to refine the mesh appropriately to achieve accurate results matching those of experiments. Ultimately, the selection of mesh size depends on the user’s evaluation of accuracy and convergence. This study assessed mesh sensitivity by employing mesh sizes of 50, 30, 20, and 10 mm for the beam. The mesh length of reinforcements was equal to the mesh size of the concrete in each case, while the mesh length of the stirrups was 10 mm, and the mesh size of the roller supports and pins was 5 mm.

3.5. Crack Width

The validation of FE models with experimental results is crucial in civil engineering, and crack width is a critical parameter in this process. The calculation of crack width in FE analysis involves multiplying the crack strain with the equivalent length in the cracked deformation plane, which is presented in Equation (9) [17,27], with the plastic strain determined from Equation (13):
ε t c k = ε t p l d t d t 1 σ t E 0
It is important to consider the crack band width, also known as the equivalent length, which describes the stress–strain curve’s softening behavior and varies based on the mesh size and crack direction, as shown in Figure 6.

3.6. ABAQUS Solver

The selection of an appropriate solver in ABAQUS is critical to obtaining accurate and reliable results for a given analysis. Depending on the specific problem being solved and the material behavior under consideration, the choice between ABAQUS/Standard and ABAQUS/Explicit must be carefully evaluated. In the case of nonlinear material behaviors and contact problems, ABAQUS/Explicit is the preferred solver due to its superior performance [17]. For this reason, the ABAQUS/Explicit solver was utilized in this study to conduct all of the FE simulations.
All models were configured with a single time step and one second period without any mass scaling. Moreover, the smooth step option was utilized to modulate the load amplitude, mitigating the impact of the loading rate. Additionally, the automatic incrementation feature was employed to calculate the time increment automatically, which ensured that it did not exceed the stability limit [17].
A four-point bending test of an RC beam can generally be simulated as quasi-static due to the slow loading rate. However, when using an explicit solver, examining the system’s energy balance is important to ensure the simulation model’s accuracy. Specifically, the ratio of kinetic energy to the internal energy of the deforming material should not exceed 10%, and the total energy should remain constant throughout the simulation [17].

4. Results and Discussion

4.1. Mesh Sensitivity

A comparative analysis of mesh sizes was conducted to assess their ability to predict an RC beam’s ultimate load and displacement accurately. Mesh sizes of 50 mm, 30 mm, 20 mm, and 10 mm were employed to examine mesh convergence at the load service, defined at approximately 0.6 times the ultimate load. The corresponding results are presented in Table 3. The results show that a mesh size of 20 mm had the highest level of accuracy compared to the experimental results, with errors of only 1.04% and 5.39% for ultimate load and corresponding displacement, respectively. Specifically, in the experiment, the ultimate load and displacement were recorded as 226.32 KN and 20.333 mm, whereas in the FEA results, the corresponding results for ultimate load and displacement were 256.293 KN and 19.238 mm, respectively.
The crack patterns obtained using the 20 mm and 10 mm mesh sizes closely resembled the experimental results, as demonstrated in Figure 7. In addition, Figure 8 illustrates that the ultimate load of the RC beam began to converge from the mesh of 20 mm. Consequently, a mesh size of 20 mm was chosen to analyze the RC beam’s nonlinear working and cracking behavior.
In theory, employing a finer mesh size theoretically enhances accuracy. However, for beam S1-2, a mesh size of 20 mm demonstrates superior accuracy in line with experimental outcomes compared to a 10 mm mesh size. Several factors account for this phenomenon. Initially, the presence of initial defects or voids [29] in the concrete beam induces alterations in the load–displacement curve of the RC beam when utilizing a solid concrete beam. Secondly, deviations in the experimental process contribute to variations in the experimental results compared to the idealized experiment.
When performing the identical analysis, confirm that the 20 mm mesh size remains suitable for assessing mesh sensitivity in the case of beam S1-4.

4.2. Energy Balance

Figure 9a,b depicts the energy content for the ABAQUS/Explicit model of beams S1-2 and S1-4, respectively. The results indicate that the ratio of kinetic energy (ALLKE) to internal energy (ALLIE) was found to be less than 1%, with the total energy (ETOTAL) approaching zero. These findings provide evidence for the suitability of the explicit solver in simulating RC beams under quasi-static four-point bending. The decreases in internal energy observed in the RC beams are attributed to crack propagation in the concrete and plastic deformation of the reinforcements. Cracks in the material release stored energy, and plastic deformation of reinforcements results in a loss of their ability to store energy.

4.3. Load–Displacement Curve

Table 4 and Figure 10 and Figure 11 compare the loads and displacements obtained from the FEA and experimental data of beams S1-2 and S1-4. This analysis employed a 20 mm mesh size for the concrete beam following the completion of the mesh convergence analysis.
Figure 10 compares the results of FEA and experimental outcomes for the RC beam S1-2 at various load stages, encompassing the first cracking, service, and failure loads. The crack patterns and mode of failure exhibit substantial agreement between the simulation and experiment. The results indicate that the beam failed in flexure, with cracking initiating at the midspan and propagating toward the beam’s ends, which is a characteristic feature of flexural failure.
During the initial stage, as the structure reached the cracking load, the FEA results exhibited good agreement with the experimental findings. The deviation between the FEA and EXP was approximately 8.7%, as detailed in Table 4. Specifically, the cracking load in the experimental test measured 60.93 kN, while in the FEA model it was 66.23 kN. Regarding the corresponding displacement, the cracking displacement from the FEA aligned closely with the experimental result, showing only a 3.58% discrepancy. Specifically, the values of those displacements were 1.999 mm from FEA and 1.93 mm from the experiment.
In the next stage, as cracks emerged, the stiffness of the RC beam decreased. The beam’s capacity to bear loads kept rising until it hit the ultimate load, marked by multiple cracks in the beam and the reinforcements reaching the yield load. At this point, the FEA results closely matched the experimental results, with a deviation of just 1.04%. The ultimate load was 228.673 KN in the FEA result and 226.32 KN in the experimental result. When considering the corresponding displacement at the ultimate load, there was a 5.39% difference between the FEA and experimental results, measuring 19.2377 mm and 20.33 mm, respectively.
It is clear that, in general, the load–displacement curve from the FEA aligns closely with the experimental curve. However, the two curves have a noticeable gap, specifically in the load range of 60 KN to 170 KN. This difference can be attributed to voids and defects present in the experimental RC beam. These imperfections affect the results, deviating from the ideal behavior assumed by the isotropic material used in the FEA model.
Around a load of 170 KN, there is a decline in the stiffness of the curve of the FEA model. This reduction is linked to the emergence of cracks in the concrete. These cracks cause a decrease in stiffness, and this change is accounted for in the FEA model by utilizing the CDP model for the concrete beam.
Table 4 and Figure 11 present a comparison of results between the FEA model and the experiment, specifically focusing on the load–displacement curve at the cracking and ultimate points. When comparing with beam S1-2, it is evident that there is a more significant difference in the cracking and ultimate points between the FEA and the EXP results.
There is a notable disparity between the cracking load and corresponding displacements of the FEA and EXP results at the cracking point, being 10.08% and 9.99%, respectively (see Table 4). Moving to the ultimate point, the FEA results align well with the experimental findings, showing a deviation of 7.9% in ultimate load and 1.4% in corresponding displacement. To provide specifics, the ultimate load for the FEA and EXP results stands at 221.96 kN and 205.7 kN, while the ultimate displacements are 20.42 mm and 20.71 mm, respectively.
However, Figure 11 illustrates a discrepancy, despite the good initial stiffness agreement between the FEA and EXP results. There is a noticeable gap in the curve. This deviation can be attributed to voids and defects in the experimental concrete specimens, leading to a decrease in the strength and initial stiffness of the experimental beam. Additionally, discrepancies in the experimental process and measurements might contribute to this observed difference.
In both cases, despite differences in the shapes of the load–displacement curves, the maximum deviation occurs at the crack load, with a difference of 10.08% between FEA and EXP results. It can be observed that the proposed FE models can be utilized to accurately simulate the working behavior of the RC beam under bending loads.

4.3.1. Beam S1-2

The crack pattern width in the RC beam was only reported at five positions in the study conducted by Gribniak et al. [16]. Therefore, the comparison between the simulated and experimental results for the crack patterns of the RC beam was performed at these five positions based on the available experimental data.
Figure 12 illustrates the crack patterns observed in both experimental and simulated results, with each crack numbered from (1) to (5) to facilitate the comparison of crack parameters. Based on the output data, the plastic strain, tension damage variable, and stress of the element at the position of the crack were derived after the service load, as shown in Table 5.
Detailed measurements of the height (h), width (w), and distance between cracks at the soffit of the RC beam (s) are presented in Table 6. The comparison shows good agreement between the simulated and experimental crack patterns in terms of their position, width, and height, with a difference of 12.1% observed in mean height and mean distance between cracks. The mean width difference between the simulation and experiment at the service load is around 3.38%, while the maximum crack width difference is about 12.6%.

4.3.2. Beam S1-4

In employing a similar method to measure crack patterns, the study obtained values for width, height, and spacing, as detailed in Table 7. These measurements were conducted at five different positions of the crack patterns under the service load on beam S1-4, as illustrated in Figure 13.
The findings reveal that the FE model accurately predicts the mean width of the beam, demonstrating a deviation of 3.4%. However, substantial differences exist in the height and spacing of cracks, with disparities of 18.39% and 10.28%, respectively. The observed distinctions in the crack width, height, and spacing between the experimental and simulation models may stem from variations in concrete properties. Notably, the concrete’s response to compression and tension in the simulation differs from that in the experiment. Furthermore, the simulation did not entirely capture the embedded constraints between the concrete and reinforcements, affecting their behavior. Additionally, the presence of voids and defects in the concrete significantly influences its behavior and the interaction between the concrete and reinforcements under bending loads.
The results imply that the suggested FE models have the potential to be employed for predicting crack patterns, encompassing crack height, width, and spacing.

4.4. Parametric Study

The cross-sectional area of the rebars in the RC beam is designed to resist the expected service loads on the structure. The selection of the number and diameter of the rebars is based on the required area, as well as the spacing requirements stipulated in building codes. These requirements typically include both minimum and maximum spacing between rebars.
For example, the ACI Code [30] specifies a minimum spacing to adequately place the concrete, which must be at least equal to the diameter of the bar, the maximum size of aggregate, or one inch. Conversely, a maximum spacing is required to limit large cracks resulting from excessive distances between longitudinal bars. In the ACI Code, this maximum spacing is determined using the formula:
s 4.42 ( 40,000 f s )   ( c m )
where fs is the calculated stress in the reinforcement at the tension face (MPa).
Therefore, this section presents a comprehensive parametric study to investigate how rebars’ location and diameter affect the RC beam’s characteristic load and crack behavior. The study utilized the well-validated simulation model and built upon experimental results from the Section 3.
In a previous section, beam S1-2 was installed with five 14mm diameter rebars in the tensile area with a cross-sectional area of 770 mm2. Using the same cross-section, seven, four, and five reinforcing bars with diameters of 12 mm, 16 mm, and 18 mm were used to simulate crack propagation behavior in RC beams. The mechanical properties of the reinforcements were assumed to remain unchanged. The five 14 mm diameter rebars were then replaced with those rebars to examine the structural behavior of the beam. Table 8 shows the reinforcement design for each beam and the resulting cross-sectional area, with the largest error of 4.49% occurring in the B16 beam.
Table 9 compares the cracking and ultimate load of the parametric beams. Decreasing the rebar diameter while increasing the number of rebars decreases the ultimate load and corresponding deflection at the ultimate load. Similarly, increasing the rebar diameter while decreasing the number of rebars also decreases the ultimate load and corresponding deflection. Therefore, an optimal combination of rebar diameter, number, and spacing can maximize the load-carrying capacity of an RC beam.
During the first stage, reducing the diameter of reinforcements while simultaneously decreasing their spacing and increasing quantity results in approximately a 3.4% increase in crack load and a 5.9% increase in displacement. This increase can be explained by the fact that increasing the number of reinforcements while reducing their diameter and spacing results in a larger contact area between the concrete and rebars, leading to an increase in bonding between the two materials. This results in better performance of the RC beam compared to the reference beam. Conversely, increasing the diameter and spacing while reducing the number of reinforcements decreases the crack load and corresponding deflection.
Figure 14a displays the crack patterns in each parametric beam. The results show that changes in the diameter, spacing, and number of rebars in the RC beam lead to variations in the width, length, and position of cracks.
Figure 14b shows that changes in the diameter, spacing, and number of reinforcements in parametric beams have an impact on crack behavior. Increasing the diameter and spacing while decreasing the number of reinforcements resulted in wider cracks and vice versa. Increasing the diameter of the reinforcement from d12 to d18 resulted in a slight increase in the mean crack width of the RC beam at service load, from 80.85 μm to 90.45 μm, as shown in Table 10. The largest crack width of 176 μm was observed in the B16 and B12 beams. The decrease in the number of bars in those beams led to an increase in the spacing between the rebars, which in turn caused an increase in the crack width. The larger spacing between the rebars resulted in a larger area of concrete being affected by shear and bending forces. This led to faster damage of the concrete and larger crack widths at the soffit of the RC beam compared to beams with smaller diameter reinforcements but thicker spacing between them.
The reference beam with 5d14 exhibited the maximum mean crack height of approximately 133.5 mm due to its high load-carrying capacity of 228.67 kN. As the load increased, the crack height also increased proportionally.
The parametric study conducted on rebar diameter, number, and spacing in RC beams provides deeper insights into the critical factors affecting the load-carrying capacity and crack behavior. The structural performance of RC beams can be improved by optimizing the combination of rebar diameter, number, and spacing. The results hold substantial significance for the design and construction of RC structures, providing valuable assistance to engineers in improving the durability and performance of these structures.

5. Conclusions

The study involved developing 3D finite element models to conduct a nonlinear analysis of RC beams under four-point bending. The models were validated with experimental results through various variables, including mesh sensitivity analysis, energy balance, load characteristics, and crack patterns. A parametric study was then conducted to examine the effects of diameter, spacing, and number of rebars on the beam’s load-carrying capacity and crack propagation. The following conclusions are drawn from this study:
  • The suggested FE models, integrating the CDP model, consider mesh size and a crack width calculation method based on equivalent length and crack direction. This comprehensive approach enables a precise simulation of both the load–displacement behavior and the dimensions of crack patterns in reinforced concrete (RC) beams. Notably, the maximum error observed is only 10.08% at the cracking load and 18.39% at the height of crack patterns when comparing the FEA with EXP results for beam S1-4.
  • The 20 mm mesh size is appropriate for analyzing the RC beams’s load characteristics and cracking behavior.
  • An investigation of total energy and the ratio of kinetic energy to internal energy shows that the ABAQUS/explicit solver without mass scaling, utilizing a time step of one second, is an effective method for simulating RC beams under quasi-static four-point bending.
  • The parametric study conducted in this research highlighted the importance of carefully selecting an optimal combination of rebar diameter, number, and spacing while keeping the cross-sectional area of the rebars constant to achieve the desired load-carrying capacity in a reinforced concrete beam. This optimization process should also consider critical factors such as durability and cost.
  • The parametric study further indicated that reducing the rebar diameter resulted in a corresponding decrease in spacing, leading to a smaller mean crack width observed in the RC beam. These results underscore the importance of a comprehensive approach to optimize the design of reinforced concrete beams for improved performance and longevity.
This study provides deep insights into predicting the nonlinear response of RC beams concerning their load characteristics and crack development. Based on the results, effective methods can be proposed for repairing and strengthening beams, enhancing their load-carrying capacity, and limiting crack propagation. Although the CDP model performs effectively for isotropic materials, additional research is needed to account for voids and defects in concrete. This will contribute to improving the accuracy of both the simulation model and experimental outcomes.

Author Contributions

Supervision, S.-K.K.; methodology, X.-B.L.; software, X.-B.L.; validation, W.K. and X.-B.L.; writing—review and editing, S.-K.K., W.K. and X.-B.L.; funding acquisition, S.-K.K. All authors have read and agreed to the published version of the manuscript.

Funding

This research was funded by a National Research Foundation of Korea (NRF) grant funded by the Korean government (MIST) (No. 2021R1C1C1013130).

Institutional Review Board Statement

Not applicable.

Informed Consent Statement

Not applicable.

Data Availability Statement

The data presented in this study are available in the article.

Acknowledgments

This work was supported by a National Research Foundation of Korea (NRF) grant funded by the Korean government (MIST) (No. 2021R1C1C1013130).

Conflicts of Interest

The authors declare no conflict of interest.

References

  1. Faron, A.; Rombach, G.A. Simulation of Crack Growth in Reinforced Concrete Beams Using Extended Finite Element Method. Eng. Fail. Anal. 2020, 116, 104698. [Google Scholar] [CrossRef]
  2. Javanmardi, M.R.; Maheri, M.R. Extended Finite Element Method and Anisotropic Damage Plasticity for Modelling Crack Propagation in Concrete. Finite Elem. Anal. Des. 2019, 165, 1–20. [Google Scholar] [CrossRef]
  3. Li, H.; Li, L.; Fan, J.; Yue, Z. Verification of a Cohesive Model-Based Extended Finite Element Method for Ductile Crack Propagation. Fatigue Fract. Eng. Mater. Struct. 2021, 44, 762–775. [Google Scholar] [CrossRef]
  4. Bažant, Z.P.; Oh, B.H. Crack Band Theory for Fracture of Concrete. Matér. Constr. 1983, 16, 155–177. [Google Scholar] [CrossRef]
  5. Cervenka, V. Inelastic Analysis of Reinforced Concrete Panels. Theory Publ. Int. Assoc. Bridg. Struc. Eng. 1971, 31, 31–45. [Google Scholar]
  6. Rashid, Y.R. Ultimate Strength Analysis of Prestressed Concrete Pressure Vessels. Nucl. Eng. Des. 1968, 7, 334–344. [Google Scholar] [CrossRef]
  7. Cervenka, V.; Rimkus, A.; Gribniak, V.; Cervenka, J. Simulation of the Crack Width in Reinforced Concrete Beams Based on Concrete Fracture. Theor. Appl. Fract. Mech. 2022, 121, 103428. [Google Scholar] [CrossRef]
  8. Lee, J.; Fenves, G.L. Plastic-Damage Model for Cyclic Loading of Concrete Structures. J. Eng. Mech. 1998, 124, 892–900. [Google Scholar] [CrossRef]
  9. Rai, P. Nonlinear Finite Element Analysis of RC Deep Beam Using CDP Model. Adv. Technol. Innov. 2020, 6, 1. [Google Scholar] [CrossRef]
  10. Luu, X.-B.; Kim, S.-K. Finite Element Modeling of Interface Behavior between Normal Concrete and Ultra-High Performance Fiber-Reinforced Concrete. Buildings 2023, 13, 950. [Google Scholar] [CrossRef]
  11. Shen, J.; Gao, X.; Li, B.; Du, K.; Jin, R.; Chen, W.; Xu, Y. Damage Evolution of RC Beams Under Simultaneous Reinforcement Corrosion and Sustained Load. Materials 2019, 12, 627. [Google Scholar] [CrossRef] [PubMed]
  12. Zhu, Y.; Zhang, Y.; Li, X.; Chen, G. Finite Element Model to Predict Structural Response of Predamaged RC Beams Reinforced by Toughness-Improved UHPC under Unloading Status. Eng. Struct. 2021, 235, 112019. [Google Scholar] [CrossRef]
  13. Lee, S.-H.; Abolmaali, A.; Shin, K.-J.; Lee, H.-D. ABAQUS Modeling for Post-Tensioned Reinforced Concrete Beams. J. Build. Eng. 2020, 30, 101273. [Google Scholar] [CrossRef]
  14. Naas, A.; El-Hashimy, H.; El-Kashif, K. Comparative Analytical Study on Crack Width of Reinforced Concrete Structures. Civ. Eng. J. 2021, 7, 1203–1221. [Google Scholar] [CrossRef]
  15. Mathern, A.; Yang, J. A Practical Finite Element Modeling Strategy to Capture Cracking and Crushing Behavior of Reinforced Concrete Structures. Materials 2021, 14, 506. [Google Scholar] [CrossRef]
  16. Gribniak, V.; Pérez Caldentey, A.; Kaklauskas, G.; Rimkus, A.; Sokolov, A. Effect of Arrangement of Tensile Reinforcement on Flexural Stiffness and Cracking. Eng. Struct. 2016, 124, 418–428. [Google Scholar] [CrossRef]
  17. Hibbitt, K.; Karlsson, B.I. ABAQUS: User’s Manual; Hibbitt, Karlsson & Sorensen: Providence, RI, USA, 2013. [Google Scholar]
  18. Johnson, S. Comparison of Nonlinear Finite Element Modeling Tools for Structural Concrete. In CEE561 Project; University of Illinois: Urbana, IL, USA, 2006. [Google Scholar]
  19. Krätzig, W.B.; Pölling, R. An Elasto-Plastic Damage Model for Reinforced Concrete with Minimum Number of Material Parameters. Comput. Struct. 2004, 82, 1201–1215. [Google Scholar] [CrossRef]
  20. Alfarah, B.; López-Almansa, F.; Oller, S. New Methodology for Calculating Damage Variables Evolution in Plastic Damage Model for RC Structures. Eng. Struct. 2017, 132, 70–86. [Google Scholar] [CrossRef]
  21. Hordijk, D.A. Tensile and Tensile Fatigue Behaviour of Concrete; Experiments, Modelling and Analyses. Heron 1992, 37, 79. [Google Scholar]
  22. Walraven, J. Model Code 2010-First Complete Draft-Volume 2: Model Code; Fib Fédération Internationale du Béton: Lausanne, Switzerland, 2010; Volume 56, ISBN 2883940967. [Google Scholar]
  23. Kunnath, S.K.; Heo, Y.; Mohle, J.F. Nonlinear Uniaxial Material Model for Reinforcing Steel Bars. J. Struct. Eng. 2009, 135, 335–343. [Google Scholar] [CrossRef]
  24. EN 1993-1-8; Eurocode 3: Design of Steel Structures-Part 1-8: Design of Joints. CEN: Brussels, Belgium, 2005.
  25. Chen, J.H.; Xu, W.F.; Xie, R.Z.; Zhang, F.J.; Hu, W.J.; Huang, X.C.; Chen, G. Sample Size Effect on the Dynamic Torsional Behaviour of the 2A12 Aluminium Alloy. Theor. Appl. Mech. Lett. 2017, 7, 317–324. [Google Scholar] [CrossRef]
  26. Jumaa, G.B.; Yousif, A.R. Numerical Modeling of Size Effect in Shear Strength of FRP-Reinforced Concrete Beams. Structures 2019, 20, 237–254. [Google Scholar] [CrossRef]
  27. Hendriks, M.A.N.; Roosen, M. Guidelines for Nonlinear Finite Element Analysis of Concrete Structures; Rijkswaterstaat Technisch Document (RTD); RTD 1016-12020; Rijkswaterstaat Center Infrastructure: Utrecht, The Netherlands, 2020. [Google Scholar]
  28. Rimkus, A.; Cervenka, V.; Gribniak, V.; Cervenka, J. Uncertainty of the Smeared Crack Model Applied to RC Beams. Eng. Fract. Mech. 2020, 233, 107088. [Google Scholar] [CrossRef]
  29. Karpenko, O.; Oterkus, S.; Oterkus, E. Influence of Different Types of Small-Size Defects on Propagation of Macro-Cracks in Brittle Materials. J. Peridynamics Nonlocal Model. 2020, 2, 289–316. [Google Scholar] [CrossRef]
  30. ACI 318-19; Building Code Requirements for Structural Concrete and Commentary. American Concrete Institute Farmington: Hills, MI, USA, 2019.
Figure 1. Geometry and steel bars of the RC beams: (a) dimension of the beams S1-2 and S1-4; (b) section A-A of beam S1-2; (c) section A-A of beam S1-4 (unit: mm).
Figure 1. Geometry and steel bars of the RC beams: (a) dimension of the beams S1-2 and S1-4; (b) section A-A of beam S1-2; (c) section A-A of beam S1-4 (unit: mm).
Applsci 13 11798 g001
Figure 2. Detailed simulation of RC beams.
Figure 2. Detailed simulation of RC beams.
Applsci 13 11798 g002
Figure 3. Concrete response to uniaxial loading: (a) compression; (b) tension.
Figure 3. Concrete response to uniaxial loading: (a) compression; (b) tension.
Applsci 13 11798 g003
Figure 4. The compressive and tensile behavior of concrete: (a) compressive stress-crushing strain; (b) compressive damage variable-crushing strain; (c) tensile stress-cracking strain curve; (d) tensile damage variable-cracking strain curve.
Figure 4. The compressive and tensile behavior of concrete: (a) compressive stress-crushing strain; (b) compressive damage variable-crushing strain; (c) tensile stress-cracking strain curve; (d) tensile damage variable-cracking strain curve.
Applsci 13 11798 g004
Figure 5. The stress–strain curve of the reinforcements.
Figure 5. The stress–strain curve of the reinforcements.
Applsci 13 11798 g005
Figure 6. Equivalent length (heq) based on element dimensions and crack direction.
Figure 6. Equivalent length (heq) based on element dimensions and crack direction.
Applsci 13 11798 g006
Figure 7. Comparing crack patterns under service load conditions of (a) experimental result [16], (b) 50 × 50 mm mesh size, (c) 30 × 30 mm mesh size, (d) 20 × 20 mm mesh size, and (e) 10 × 10 mm mesh size.
Figure 7. Comparing crack patterns under service load conditions of (a) experimental result [16], (b) 50 × 50 mm mesh size, (c) 30 × 30 mm mesh size, (d) 20 × 20 mm mesh size, and (e) 10 × 10 mm mesh size.
Applsci 13 11798 g007
Figure 8. Mesh convergence in the ultimate load of different mesh sizes in simulation.
Figure 8. Mesh convergence in the ultimate load of different mesh sizes in simulation.
Applsci 13 11798 g008
Figure 9. Comparison of different types of energy in the simulation by using the ABAQUS/Explicit: (a) beam S1-2; (b) beam S1-4. Note: ALLWK denotes the external work, ALLIE denotes internal energy, ALLKE denotes kinetic energy, and ETOTAL is the total energy of the model.
Figure 9. Comparison of different types of energy in the simulation by using the ABAQUS/Explicit: (a) beam S1-2; (b) beam S1-4. Note: ALLWK denotes the external work, ALLIE denotes internal energy, ALLKE denotes kinetic energy, and ETOTAL is the total energy of the model.
Applsci 13 11798 g009
Figure 10. Comparing the load–displacement curves between FEA results and experimental findings [28] for the beam S1-2.
Figure 10. Comparing the load–displacement curves between FEA results and experimental findings [28] for the beam S1-2.
Applsci 13 11798 g010
Figure 11. Comparing the load–displacement curves between FEA results and experimental findings [28] for the beam S1-4.
Figure 11. Comparing the load–displacement curves between FEA results and experimental findings [28] for the beam S1-4.
Applsci 13 11798 g011
Figure 12. Comparison of crack patterns in simulated and experimental results of the beam S1-2.
Figure 12. Comparison of crack patterns in simulated and experimental results of the beam S1-2.
Applsci 13 11798 g012
Figure 13. Comparison of crack patterns in simulated and experimental results of the beam S1-4.
Figure 13. Comparison of crack patterns in simulated and experimental results of the beam S1-4.
Applsci 13 11798 g013
Figure 14. Comparison of the result of parametric beams at service load: (a) crack patterns; (b) mean crack width, height, distance.
Figure 14. Comparison of the result of parametric beams at service load: (a) crack patterns; (b) mean crack width, height, distance.
Applsci 13 11798 g014
Table 1. Mix proportions.
Table 1. Mix proportions.
MaterialWeight (kg)
Sand 0/4 mm905 ± 2%
Crushed aggregate 5/8 mm388 ± 1%
Crushed aggregate 11/16 mm548 ± 1%
Cement CEM I 42.5 N400 ± 0.5%
Water124 ± 5%
Concrete plasticizer Muraplast FK 63.302 ± 2%
Table 2. Parameters of CDP model for NSC and UHPS materials.
Table 2. Parameters of CDP model for NSC and UHPS materials.
Concreteψεσb0c0KcViscosity
NC30 [18]0.1 [18]1.16 [18]0.6667 [18]0.0001 [18]
Table 3. Comparing simulation and experiment results for ultimate load and displacement at different mesh sizes.
Table 3. Comparing simulation and experiment results for ultimate load and displacement at different mesh sizes.
MethodMesh SizeTotal ElementTimePuPu Error u u Error
(mm) (hours)(KN)(%)(mm)(%)
FEA10294,22416.313215.0784.97%18.7747.67%
2053,1441.805228.6731.04%19.2385.39%
3028,6040.899256.29313.24%19.3834.67%
5021,0800.919167263.04616.23%17.36814.58%
EXP [28] 226.32 20.333
Note: Pu and u are the ultimate load and corresponding displacement at the midspan of the RC beam, respectively.
Table 4. Comparing FEA and experimental results: analyzing loads and displacements of the beam S1-2.
Table 4. Comparing FEA and experimental results: analyzing loads and displacements of the beam S1-2.
Beam FEAEXPError (%)
S1-2Cracking load (KN)66.2360.938.70%
Crack displacement (mm)1.9991.933.58%
Ultimate load (KN)228.673226.321.04%
Ultimate displacement (mm)19.237720.3335.39%
S1-4Cracking load (KN)43.139.15410.08%
Crack displacement (mm)1.2791.4219.99%
Ultimate load (KN)221.96205.77.90%
Ultimate displacement (mm)20.4220.711.40%
Table 5. Calculating the crack width from plastic strain, tensile stress, and tension damage variable.
Table 5. Calculating the crack width from plastic strain, tensile stress, and tension damage variable.
Crack IDεtpldtσt (MPa)εtckw (mm)
10.0097890.9521.0710.0106670.16
20.0051120.9521.0710.006120.09
30.0043510.7610.9690.0044780.07
40.0037740.9361.0710.0044240.07
50.0097960.9521.0710.0106670.16
Note: ε t p l , dt, σt denote the plastic strain, tension damage variable, and stress of the crack element at the service load extracted from the ODB file in the ABAQUS program. ε t c k is the cracking strain, which was calculated from Equation (13). w is the width of the crack was calculated based on Equation (9).
Table 6. Comparison of crack width between the EXP and FE model of the beam S1-2.
Table 6. Comparison of crack width between the EXP and FE model of the beam S1-2.
Crack PositionEXPFEA
whswhs
(mm)(mm)(mm)(mm)(mm)(mm)
10.142170 0.160190
20.100170 0.090140
30.10075 0.070110
40.100180 0.07060
50.090190 0.160190
Mean value (mm)0.10615797.880.110138110
Mean Error 3.38%12.10%11.87%
Table 7. Comparison of crack width between EXP and the FE model of the beam S1-4.
Table 7. Comparison of crack width between EXP and the FE model of the beam S1-4.
Crack PositionEXPFEA
whswhs
(mm)(mm)(mm)(mm)(mm)(mm)
10.140190 0.146190
20.100150 0.05170
30.100150 0.121180
40.070190 0.05490
50.060190 0.114180
Mean value (mm)0.09417489.950.09714299
Mean Error 3.40%18.39%10.28%
Table 8. Design of diameter and spacing of reinforcements for parametric beams.
Table 8. Design of diameter and spacing of reinforcements for parametric beams.
Beam IDNumber of RebarsRebar Cross-Section Area (mm2)ΔCenter-Center Space (mm)
REF beam5d14769.690.00%56.5
B127d12791.682.86%37.66
B164d16804.244.49%75.33
B183d18763.400.82%113
Note: Δ represents the error in the cross-sectional area of the reinforcing bars for beams B12, B16, and B18 in comparison to the REF beam.
Table 9. Cracking, ultimate load, and displacement comparison of the reference and parametric beams.
Table 9. Cracking, ultimate load, and displacement comparison of the reference and parametric beams.
Beam IDPuPu Erroruu ErrorPcrPcr Errorucrucr Error
(KN) (mm) (KN) (mm)
REF228.670.00%19.240.00%66.210.00%1.890.00%
B12214.19−6.33%15.69−18.43%68.473.41%2.005.91%
B16190.10−16.87%14.60−24.12%51.46−22.28%1.39−26.24%
B18202.21−11.57%15.05−21.75%65.30−1.37%1.890.11%
Note: Pu, u, Pcr, and ucr represent ultimate load, corresponding deflection at ultimate load, cracking load, and corresponding deflection at cracking load, respectively.
Table 10. Parametric beam crack behavior under varying reinforcement parameters at service load.
Table 10. Parametric beam crack behavior under varying reinforcement parameters at service load.
ValueB12 (7d12)REF (5d14)B16 (4d16)B18 (3d18)
Mean crack width (μm)80.8586.1587.9690.45
Minimum crack width (μm)24301824
Maximum crack width (μm)160160144176
Mean crack height (mm)85.71133.50107.14106.43
Mean crack distance (mm)65.0088.8976.9271.43
Disclaimer/Publisher’s Note: The statements, opinions and data contained in all publications are solely those of the individual author(s) and contributor(s) and not of MDPI and/or the editor(s). MDPI and/or the editor(s) disclaim responsibility for any injury to people or property resulting from any ideas, methods, instructions or products referred to in the content.

Share and Cite

MDPI and ACS Style

Luu, X.-B.; Kim, S.-K.; Kim, W. Investigation of Load–Displacement Characteristics and Crack Behavior of RC Beam Based on Nonlinear Finite Element Analysis Using Concrete Damage Plasticity. Appl. Sci. 2023, 13, 11798. https://doi.org/10.3390/app132111798

AMA Style

Luu X-B, Kim S-K, Kim W. Investigation of Load–Displacement Characteristics and Crack Behavior of RC Beam Based on Nonlinear Finite Element Analysis Using Concrete Damage Plasticity. Applied Sciences. 2023; 13(21):11798. https://doi.org/10.3390/app132111798

Chicago/Turabian Style

Luu, Xuan-Bach, Seong-Kyum Kim, and Woosuk Kim. 2023. "Investigation of Load–Displacement Characteristics and Crack Behavior of RC Beam Based on Nonlinear Finite Element Analysis Using Concrete Damage Plasticity" Applied Sciences 13, no. 21: 11798. https://doi.org/10.3390/app132111798

APA Style

Luu, X.-B., Kim, S.-K., & Kim, W. (2023). Investigation of Load–Displacement Characteristics and Crack Behavior of RC Beam Based on Nonlinear Finite Element Analysis Using Concrete Damage Plasticity. Applied Sciences, 13(21), 11798. https://doi.org/10.3390/app132111798

Note that from the first issue of 2016, this journal uses article numbers instead of page numbers. See further details here.

Article Metrics

Back to TopTop