Periods and Processes of Oil and Gas Accumulation in the HZ-A Structure Double Paleogene Field, Pearl River Mouth Basin
Abstract
:1. Introduction
2. Geological Setting
3. Samples and Analytical Methods
3.1. Samples
3.2. Analytical Methods
3.2.1. Biomarker Analysis
3.2.2. Carbon Isotope Analysis
3.2.3. Fluid Inclusion Analysis
4. Result
4.1. Characteristics of Biomarker Compounds
4.1.1. Hydrocarbon Source Rock
4.1.2. Crude Oil
4.2. Carbon Isotope Characteristics of Natural Gas
4.3. Hydrocarbon Fluid Inclusions
4.3.1. Petrographic Characteristics of Hydrocarbon Inclusions
4.3.2. Uniform Temperature of Brine Inclusions
5. Discussion
5.1. Oil–Gas Source Comparison
5.2. Hydrocarbon Charging Time and Period
5.3. Key Factors for Oil and Gas Accumulation
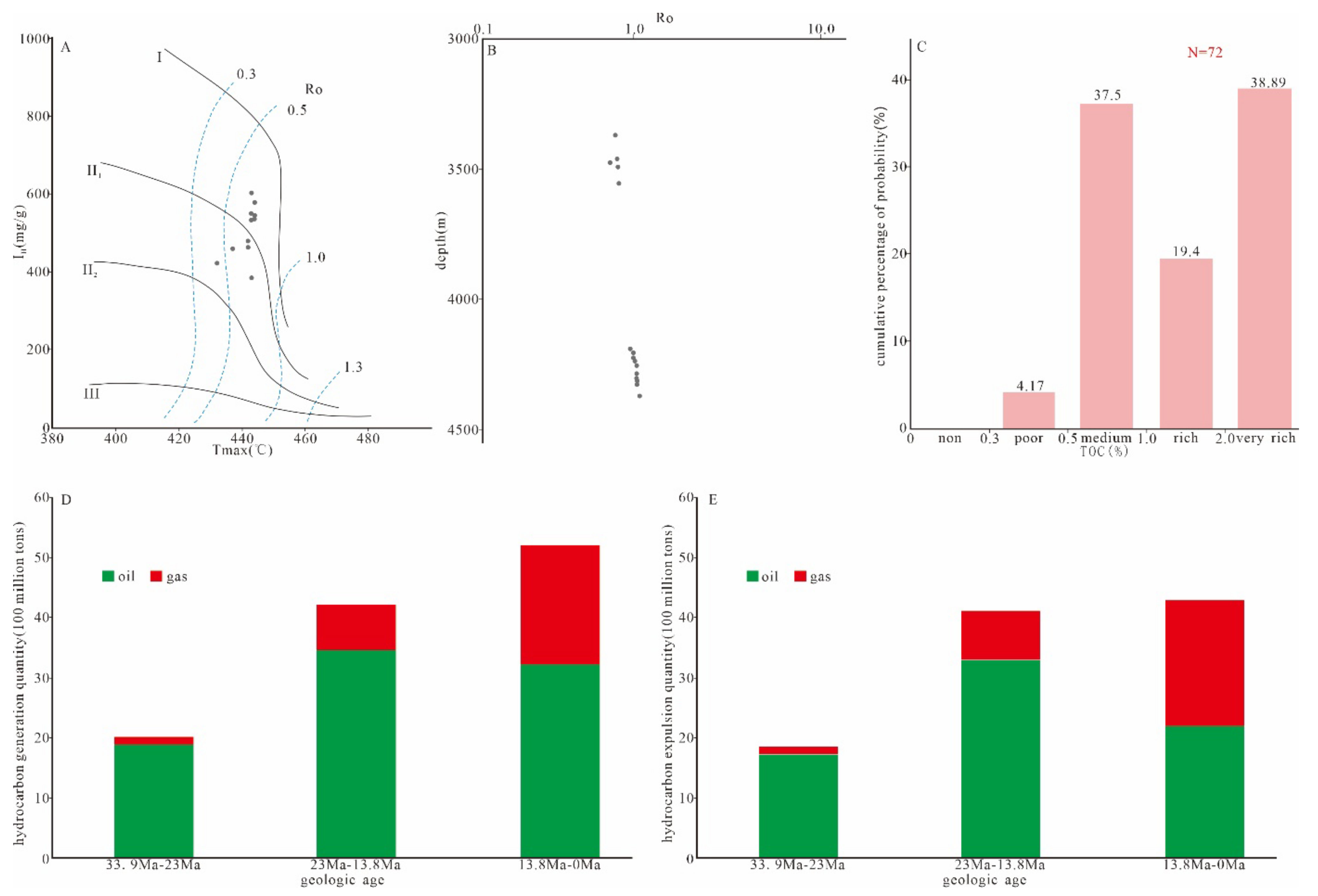
5.3.1. Sufficient Hydrocarbon Supply
5.3.2. High-Quality Reservoirs
5.3.3. Composite Superimposed Caprocks
5.3.4. Multiple Types of Compound Traps
5.3.5. Efficient Transport System
5.4. Oil and Gas Accumulation Process
6. Conclusions
Author Contributions
Funding
Data Availability Statement
Conflicts of Interest
References
- Xie, Y.H. Practices and thoughts of CNOOC offshore oil and gas exploration. China Offshore Oil Gas 2020, 32, 1–13. [Google Scholar]
- Xie, Y.H. New progress and Prospect of oil and gas exploration of China National Offshore Oil Corporation. China Pet. Explor. 2018, 23, 26–35. [Google Scholar]
- Cuong, T.X.; Warren, J.K. Bach ho field, a fractured granitic basement reservoir, Guu Long basin, offshore Se Vietnam: A “Buraied-hill” play. J. Pet. Geol. 2009, 32, 129–156. [Google Scholar] [CrossRef]
- Li, B.; Nhi, N.; Quoc, N.Q.; Dong, H.N.; Le Duy, C.; Weichman, D.; Farag, S.; Phuong, P.T. The natural fracture evaluation in the unconventional tight Oligocene reservoirs: Case studies from Cuu Long basin, southern offshore Vietnam. In Proceedings of the Society of Petroleum Engineers-SPE Asia Pacific Oil and Gas Conference and Exhibition, Jakarta, Indonesia, 20–22 September 2011; pp. 955–965. [Google Scholar]
- Haskell, J.B.; Toelsie, S.; Mohan, A. Optimization of sand control for unconsolidated, shallow, and low-pressure sandstone reservoirs: A Suriname case study. In Proceedings of the Society of Petroleum Engineers-Trinidad and Tobago Energy Resource Conference, Port of Spain, Trinidad, 27–30 June 2010; pp. 953–964. [Google Scholar]
- He, D.F.; Cui, Y.Q.; Zhang, H.Y.; Shan, S.; Xiao, Y.; Zhang, C.; Zhou, C.; Gao, Y. Structural genetic types of paleoburied hill in Jizhong depression, Bohai Bay Basin. Acta Petrol. Sin. 2017, 33, 1338–1355. [Google Scholar]
- Hou, M.; Cao, H.; Li, H.; Chen, A.; Wei, A.; Chen, Y.; Wang, Y.; Zhou, X.; Ye, T. Characteristics and controlling factors of deep buried-hill reservoirs in the BZ19-6 structural belt, Bohai Sea area. Nat. Gas Ind. 2019, 39, 33–44. [Google Scholar] [CrossRef]
- Xu, C.; You, L. North slope transition zone of Song nan-Baodao sag in Qiongdongnan Basin and its control on medium and large gas fields, South China Sea. Pet. Explor. Dev. 2022, 49, 1061–1072. [Google Scholar] [CrossRef]
- Xu, C.; Yu, H.; Wang, J.; Liu, X. Formation condidons and accumulation characteristics of Bozhong 19-6 large condensate gas field in offshore Bohai Bay Basin. Pet. Explor. Dev. 2019, 46, 25–38. [Google Scholar] [CrossRef]
- Qi, J.; Wu, J.; Ma, B.; Quan, Z.; Neng, Y. The structural mode1 and dynamics concerning middle section, Pearl River Mouth Basin in north margin of South China Sea. Earth Sci. Front. 2019, 26, 203–221. [Google Scholar]
- Zhu, M.; Dai, Y.D.; Zhu, J.Z.; Shu, Y.; Lin, H.; Pang, X.; Jiang, H. Geological characteristics and accumulation mechanism of Paleogene reservoir in Huizhou sag, Pearl River Mouth basin. China Offshore Oil Gas 2017, 29, 1–11. [Google Scholar]
- Zhu, J.Z.; Shi, H.S.; Deng, H.W.; Wu, J.Y.; Shu, Y.; Ding, L. Geochemistry of source rocks in Paleogene sequence of Huizhou Depression, Pearl River Mouth Basin. Nat. Gas Geosci. 2007, 18, 709–714. [Google Scholar]
- Tian, L.X.; Liu, J.; Zhang, X.T.; Liu, J.; Dai, Y.D. Discovery and accumulation pattern HZ26-6 large- medium sized pan-buried hill oil and gas field in Pearl River Mouth Basin. China Offshore Oil Gas 2020, 32, 1–11. [Google Scholar]
- Burruss, R.C.; Cercone, K.R.; Harris, P.M. Fluid inclusion petrography and tectonic-burial history of the Al Ali No.2 well; Evidence for the timing of diagenesis and oil migration, northern Oman Foredeep. Geology 1983, 11, 567–570. [Google Scholar] [CrossRef]
- Karlsen, D.A.; Nyland, B.; Flood, B.; Ohm, S.E.; Brekke, T.; Olsen, S.; Backer-Owe, K. Petroleum geochemistry of the Haltenbanken, Norwegian continental shelf. Geol. Soc. Spec. Publ. 1995, 86, 203–256. [Google Scholar] [CrossRef]
- Walderhaug, O. Kinetic modeling of quartz cementation and porosity loss in deeply buried sandstone reservoirs. AAPG Bull. 1996, 80, 731–745. [Google Scholar]
- Liang, H.; Xu, F.; Grice, K.; Xu, G.; Holman, A.; Hopper, P.; Fu, D.; Yu, Q.; Liang, J.; Wang, D. Kinetics of oil generation from brackish-lacustrine source rocks in the southern Bohai Sea, East China. Org. Geochem. 2019, 139, 103945. [Google Scholar] [CrossRef]
- Luo, W.; Cai, J.J.; Wang, Q.H.; Gao, X.; Yan, P. Reservoir condition analysis of a buried granite hill in Huizhou Depression and its petroleum geological significance. Mar. Geol. Quat. Geol. 2019, 39, 126–135. [Google Scholar]
- Yang, R.; Zhao, X.; Liu, H.; Zhao, C.; Li, H.; Pu, X.; Fu, L.; Li, C. Hydrocarbon charging and accumulation in the Permian reservoir of Wangguantun Buried Hill in Huanghua Depression, Bohai Bay Basin, China. J. Pet. Sci. Eng. 2021, 199, 108297. [Google Scholar] [CrossRef]
- Dou, L.; Li, W.; Cheng, D. Hydrocarbon accumulation period and process in Baobab area of Bongor Basin. J. Afr. Earth Sci. 2020, 161, 103673. [Google Scholar] [CrossRef]
- Shi, Z.; Wei, P.; Wang, L.; Xue, L.; Pang, W.; Chen, B.; Ma, L.; Shi, J.; Zhao, Y. Formation of the stratigraphic hydrocarbon accumulations of the Upper Yabus Formation in the Northern Sub-basin of the Melut Basin, South Sudan. J. Afr. Earth Sci. 2021, 177, 104166. [Google Scholar] [CrossRef]


















Disclaimer/Publisher’s Note: The statements, opinions and data contained in all publications are solely those of the individual author(s) and contributor(s) and not of MDPI and/or the editor(s). MDPI and/or the editor(s) disclaim responsibility for any injury to people or property resulting from any ideas, methods, instructions or products referred to in the content. |
© 2023 by the authors. Licensee MDPI, Basel, Switzerland. This article is an open access article distributed under the terms and conditions of the Creative Commons Attribution (CC BY) license (https://creativecommons.org/licenses/by/4.0/).
Share and Cite
Liu, J.; Peng, G.; Xu, L.; Liu, P.; Xiong, W.; Luo, M.; Gao, X.; Liu, X.; Liang, H.; Li, Z. Periods and Processes of Oil and Gas Accumulation in the HZ-A Structure Double Paleogene Field, Pearl River Mouth Basin. Appl. Sci. 2023, 13, 11522. https://doi.org/10.3390/app132011522
Liu J, Peng G, Xu L, Liu P, Xiong W, Luo M, Gao X, Liu X, Liang H, Li Z. Periods and Processes of Oil and Gas Accumulation in the HZ-A Structure Double Paleogene Field, Pearl River Mouth Basin. Applied Sciences. 2023; 13(20):11522. https://doi.org/10.3390/app132011522
Chicago/Turabian StyleLiu, Jun, Guangrong Peng, Leyi Xu, Pei Liu, Wanlin Xiong, Ming Luo, Xiang Gao, Xumin Liu, Haoran Liang, and Zhichao Li. 2023. "Periods and Processes of Oil and Gas Accumulation in the HZ-A Structure Double Paleogene Field, Pearl River Mouth Basin" Applied Sciences 13, no. 20: 11522. https://doi.org/10.3390/app132011522
APA StyleLiu, J., Peng, G., Xu, L., Liu, P., Xiong, W., Luo, M., Gao, X., Liu, X., Liang, H., & Li, Z. (2023). Periods and Processes of Oil and Gas Accumulation in the HZ-A Structure Double Paleogene Field, Pearl River Mouth Basin. Applied Sciences, 13(20), 11522. https://doi.org/10.3390/app132011522
