Stress Intensity Factors for Pressurized Pipes with an Internal Crack: The Prediction Model Based on an Artificial Neural Network
Abstract
:1. Introduction
2. Research Method
2.1. Stress Intensity Factor from API 579-1/ASME FFS-1
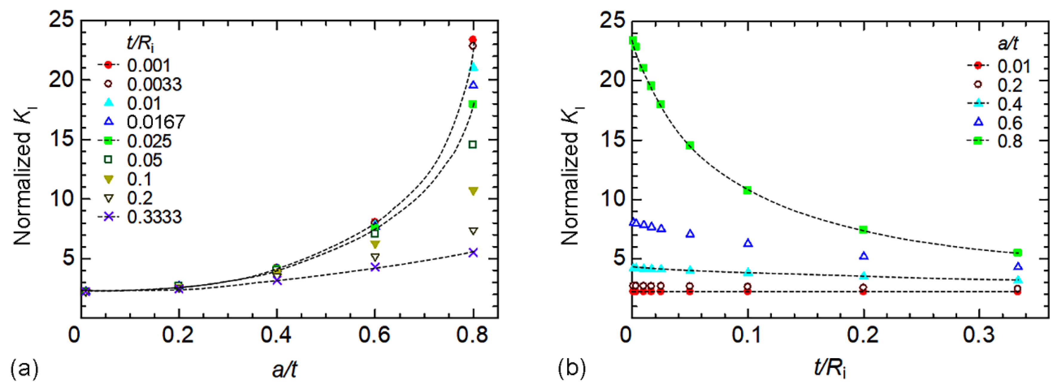
2.2. FEA of Stress Intensity Factor
2.3. ANN Model for the Prediction of Stress Intensity Factor
3. Results and Discussion
3.1. Influence of Number of Neurons in Sub-Layer on the Performance of ANN Model
3.2. Influence of Validation Data on the Performance of ANN Model
3.3. Comparison between the Normalized KI from API 579-1/ASME FFS-1 and ANN Model
3.4. Application of ANN Model for the Estimation of Critical Crack Size of a Pipe
3.5. Discussion
4. Conclusions
- Among the ANN models with 6 to 12 neurons in a sub-layer, the model with 8 neurons exhibited the lowest mean squared error (MSE) and the smallest maximum difference in validation data. Therefore, the suitable number of neurons for the present ANN model was determined to be eight in the sub-layer.
- The ANN model that selected nonlinear validation data demonstrated a lower MSE and a smaller maximum difference in testing data compared to uniformly selecting validation data among the training data. This observation suggested that choosing nonlinear validation data improved the performance of the ANN model.
- Regarding the performance of the ANN model:
- The ANN model successfully predicted normalized KI values, with differences from FEA results lower than 2.2%. Thus, the applicability of the ANN model for predicting KI in pressurized pipes with infinitely long internal surface cracks in the longitudinal direction was confirmed. On the other hand, the bilinear interpolation (BiLerp) of API 579-1/ASME FFS-1 failed to accurately predict normalized KI values, resulting in differences up to 4.3% within the linear zone and up to 24% within the nonlinearity zone.
- The ANN model also effectively predicted the critical crack size (aC), showing a difference of 0.59% higher than the aC obtained from FEA. Conversely, the BiLerp of API 579-1/ASME FFS-1 inaccurately predicted aC, being 4.13% lower than the aC obtained from FEA. This reaffirmed the applicability of the present ANN model for predicting both normalized KI and aC in pressurized pipes with infinitely long internal surface cracks in the longitudinal direction.
Author Contributions
Funding
Institutional Review Board Statement
Informed Consent Statement
Data Availability Statement
Acknowledgments
Conflicts of Interest
References
- Li, Z.; Jiang, X.; Hopman, H. Surface crack growth in offshore metallic pipes under cyclic loads: A literature review. J. Mar. Sci. Eng. 2020, 8, 339. [Google Scholar] [CrossRef]
- Hashim, A.S.; Grămescu, B.; Niţu, C. Pipe cracks detection methods—A review. Int. J. Mechatron. Appl. Mech. 2018, 2018, 114–119. [Google Scholar]
- API 579-1/ASME FFS-1: Fitness-For-Service; API Publishing Services: Washington, DC, USA, 2016.
- Anderson, T.L. Fracture Mechanics: Fundamental and Applications, 2nd ed.; CRC Press: New York, NY, USA, 1994. [Google Scholar]
- Newman, J.C.; Raju, I.S. Stress-intensity factors for internal surface cracks in cylindrical pressure vessels. J. Press. Vessel. Technol. Trans. ASME 1980, 102, 342–346. [Google Scholar] [CrossRef]
- Kirkhope, K.J.; Bell, R.; Kirkhope, J. Stress intensity factors for single and multiple semi-elliptical surface cracks in pressurized thick-walled cylinders. Int. J. Press. Vessel. Pip. 1991, 47, 247–257. [Google Scholar] [CrossRef]
- Rahman, S.; Gao, M.; Krishnamurthy, R. API 579 G-factors for K calculations and improvements for assessment of crack-like flaws in pipelines. In Proceedings of the 13th International Conference on Fracture 2013, ICF 2013, Beijing, China, 16–21 June 2013; pp. 3766–3775. [Google Scholar]
- Garg, A.; Aggarwal, P.; Aggarwal, Y.; Belarbi, M.O.; Chalak, H.D.; Tounsi, A.; Gulia, R. Machine learning models for predicting the compressive strength of concrete containing nano silica. Comput. Concr. 2022, 30, 33–42. [Google Scholar]
- Garg, A.; Belarbi, M.O.; Tounsi, A.; Li, L.; Singh, A.; Mukhopadhyay, T. Predicting elemental stiffness matrix of FG nanoplates using Gaussian process regression based surrogate model in framework of layerwise model. Eng. Anal. Bound. Elem. 2022, 143, 779–795. [Google Scholar] [CrossRef]
- Vo, N.D.; Oh, D.H.; Hong, S.H.; Oh, M.; Lee, C.H. Combined approach using mathematical modelling and artificial neural network for chemical industries: Steam methane reformer. Appl. Energy 2019, 255, 113809. [Google Scholar] [CrossRef]
- Klyuev, R.V.; Morgoev, I.D.; Morgoeva, A.D.; Gavrina, O.A.; Martyushev, N.V.; Efremenkov, E.A.; Mengxu, Q. Methods of forecasting electric energy consumption: A literature review. Energies 2022, 15, 8919. [Google Scholar] [CrossRef]
- Fam, M.L.; Tay, Z.Y.; Konovessis, D. An artificial neural network for fuel efficiency analysis for cargo vessel operation. Ocean Eng. 2022, 264, 112437. [Google Scholar] [CrossRef]
- Nasiri, S.; Khosravani, M.R.; Weinberg, K. Fracture mechanics and mechanical fault detection by artificial intelligence methods: A review. Eng. Fail. Anal. 2017, 81, 270–293. [Google Scholar] [CrossRef]
- Ren, W.; Shuai, J. The application of artificial intelligence in fracture mechanics—Crack indentification, diagnosos and prediction. Mech. Eng. 2023, 45, 1–9. [Google Scholar]
- Haykin, S. Neural Networks: A Comprehensive Foundation; Prentice-Hall, Inc.: Hoboken, NJ, USA, 2007. [Google Scholar]
- Wiangkham, A.; Ariyarit, A.; Aengchuan, P. Prediction of the mixed mode I/II fracture toughness of PMMA by an artificial intelligence approach. Theor. Appl. Fract. Mech. 2021, 112, 102910. [Google Scholar] [CrossRef]
- Hamdia, K.M.; Lahmer, T.; Nguyen-Thoi, T.; Rabczuk, T. Predicting the fracture toughness of PNCs: A stochastic approach based on ANN and ANFIS. Comput. Mater. Sci. 2015, 102, 304–313. [Google Scholar] [CrossRef]
- Guha Roy, D.; Singh, T.N.; Kodikara, J. Predicting mode-I fracture toughness of rocks using soft computing and multiple regression. Meas. J. Int. Meas. Confed. 2018, 126, 231–241. [Google Scholar] [CrossRef]
- Liu, G.; Jia, L.; Kong, B.; Guan, K.; Zhang, H. Artificial neural network application to study quantitative relationship between silicide and fracture toughness of Nb-Si alloys. Mater. Des. 2017, 129, 210–218. [Google Scholar] [CrossRef]
- Muñoz-Abella, B.; Rubio, L.; Rubio, P. Stress intensity factor estimation for unbalanced rotating cracked shafts by artificial neural networks. Fatigue Fract. Eng. Mater. Struct. 2015, 38, 352–367. [Google Scholar] [CrossRef]
- Wu, Z.; Hu, S.; Zhou, F. Prediction of stress intensity factors in pavement cracking with neural networks based on semi-analytical FEA. Expert Syst. Appl. 2014, 41, 1021–1030. [Google Scholar] [CrossRef]
- Li, X.; Li, X.; Chen, B. Prediction model of stress intensity factor of circumferential through crack in elbow based on neural network. Comput. Intell. Neurosci. 2022, 2022, 8395505. [Google Scholar] [CrossRef] [PubMed]
- ABAQUS User’s Manual; ABAQUS Inc.: Palo Alto, CA, USA, 2016.
- MATLAB: Neural Network Toolbox 7 User’s Guide; The MathWorks, Inc.: Portola Valley, CA, USA, 2010.
- API 5L: Specification for Line Pipe; API Publishing Services: Washington, DC, USA, 2004.
- Davis, J.R. Metals Handbook, 2nd ed.; ASM International: Materials Park, OH, USA, 1998. [Google Scholar]
- Seenuan, P.; Kasivitamnuay, J.; Noraphaiphipaksa, N.; Kanchanomai, C. Interpolation method for the calculation of API-579-1/ASME FFS-1 stress intensity factor for a longitudinal internal surface crack in pipeline under internal pressure. Eng. J. Chiang Mai Univ. 2022, 29, 110–126. [Google Scholar]









| Number of Neurons | MSE | Maximum Difference (%) | ||
|---|---|---|---|---|
| Training Data | Validation Data | Training Data | Validation Data | |
| 6 | 0.00034 | 0.10270 | 0.77 | 5.81 |
| 7 | 0.00037 | 0.07500 | 0.58 | 5.07 |
| 8 | 0.00002 | 0.00510 | 0.53 | 2.04 |
| 9 | 0.00013 | 0.01580 | 0.25 | 6.70 |
| 10 | 0.00024 | 0.01810 | 0.35 | 9.14 |
| 11 | 0.00036 | 0.02780 | 0.46 | 11.65 |
| 12 | 0.00021 | 0.05700 | 0.32 | 13.40 |
| ANN Model | MSE | Maximum Difference (%) | ||||
|---|---|---|---|---|---|---|
| Training Data | Validation Data | Testing Data | Training Data | Validation Data | Testing Data | |
| A | 0.00002 | 0.00510 | 0.00513 | 0.53 | 2.04 | 3.97 |
| B | 0.00022 | 0.01040 | 0.00309 | 0.40 | 2.44 | 2.16 |
| Zone | Testing Data | Normalized KI | Difference (%) | ||||
|---|---|---|---|---|---|---|---|
| t/Ri | a/t | FEA | ANN | Lerp | ANN vs. FEA | Lerp vs. FEA | |
| linearity zone | 0.002 | 0.4 | 4.2120 | 4.2022 | 4.2052 | −0.23 | −0.16 |
| 0.15 | 0.4 | 3.6844 | 3.7103 | 3.6821 | 0.70 | −0.06 | |
| 0.25 | 0.4 | 3.3961 | 3.3419 | 3.3976 | −1.60 | 0.04 | |
| nonlinearity zone | 0.002 | 0.6 | 8.0180 | 8.0103 | 8.0101 | −0.10 | −0.10 |
| 0.006 | 0.6 | 7.9288 | 7.9085 | 7.9087 | −0.26 | −0.25 | |
| 0.006 | 0.8 | 22.1026 | 22.0536 | 22.1218 | −0.22 | 0.09 | |
| 0.012 | 0.6 | 7.7972 | 7.7747 | 7.7838 | −0.29 | −0.17 | |
| 0.02 | 0.6 | 7.6293 | 7.6160 | 7.6130 | −0.17 | −0.21 | |
| 0.02 | 0.8 | 18.9014 | 18.8772 | 18.9039 | −0.13 | 0.01 | |
| 0.04 | 0.8 | 15.7327 | 15.7047 | 15.9116 | −0.18 | 1.14 | |
| Zone | Testing Data | Normalized KI | Difference (%) | ||||
|---|---|---|---|---|---|---|---|
| t/Ri | a/t | FEA | ANN | BiLerp | ANN vs. FEA | BiLerp vs. FEA | |
| linearity zone | 0.002 | 0.1 | 2.3657 | 2.4114 | 2.4676 | 1.93 | 4.31 |
| 0.02 | 0.1 | 2.3717 | 2.4074 | 2.4578 | 1.51 | 3.63 | |
| 0.25 | 0.1 | 2.2993 | 2.3358 | 2.3715 | 1.59 | 3.14 | |
| nonlinearity zone | 0.002 | 0.5 | 5.6197 | 5.5627 | 6.1076 | 0.59 | 8.68 |
| 0.002 | 0.7 | 12.5583 | 12.6429 | 15.5746 | 0.67 | 24.02 | |
| 0.012 | 0.5 | 5.5399 | 5.5885 | 5.9715 | 0.88 | 7.79 | |
| 0.012 | 0.7 | 11.9121 | 11.7481 | 14.1883 | −1.38 | 19.11 | |
| 0.02 | 0.5 | 5.4693 | 5.5277 | 5.8699 | 1.07 | 7.33 | |
| 0.04 | 0.7 | 10.3687 | 10.1446 | 11.5745 | −2.16 | 11.63 | |
| 0.075 | 0.5 | 5.0328 | 5.0686 | 5.2976 | 0.71 | 5.26 | |
Disclaimer/Publisher’s Note: The statements, opinions and data contained in all publications are solely those of the individual author(s) and contributor(s) and not of MDPI and/or the editor(s). MDPI and/or the editor(s) disclaim responsibility for any injury to people or property resulting from any ideas, methods, instructions or products referred to in the content. |
© 2023 by the authors. Licensee MDPI, Basel, Switzerland. This article is an open access article distributed under the terms and conditions of the Creative Commons Attribution (CC BY) license (https://creativecommons.org/licenses/by/4.0/).
Share and Cite
Seenuan, P.; Noraphaiphipaksa, N.; Kanchanomai, C. Stress Intensity Factors for Pressurized Pipes with an Internal Crack: The Prediction Model Based on an Artificial Neural Network. Appl. Sci. 2023, 13, 11446. https://doi.org/10.3390/app132011446
Seenuan P, Noraphaiphipaksa N, Kanchanomai C. Stress Intensity Factors for Pressurized Pipes with an Internal Crack: The Prediction Model Based on an Artificial Neural Network. Applied Sciences. 2023; 13(20):11446. https://doi.org/10.3390/app132011446
Chicago/Turabian StyleSeenuan, Patchanida, Nitikorn Noraphaiphipaksa, and Chaosuan Kanchanomai. 2023. "Stress Intensity Factors for Pressurized Pipes with an Internal Crack: The Prediction Model Based on an Artificial Neural Network" Applied Sciences 13, no. 20: 11446. https://doi.org/10.3390/app132011446
APA StyleSeenuan, P., Noraphaiphipaksa, N., & Kanchanomai, C. (2023). Stress Intensity Factors for Pressurized Pipes with an Internal Crack: The Prediction Model Based on an Artificial Neural Network. Applied Sciences, 13(20), 11446. https://doi.org/10.3390/app132011446

