Comparative Study of the Seismic Response Characteristics of Three Special Soils
Abstract
:1. Introduction
2. Materials and Methods
2.1. Establishment of a Uniform Single-Soil-Layer Profile
2.2. Establishment of the Soil Profile at the Actual Sites
3. Selecting the Input Ground Motion
4. Determination of the Calculation Method
5. Calculation Results and Analysis
5.1. Analysis of the Calculation Results of a Uniform Single-Soil-Layer Profile
5.2. Analysis of the Calculation Results of the Actual Soil Profiles
6. Conclusions
Author Contributions
Funding
Institutional Review Board Statement
Informed Consent Statement
Data Availability Statement
Conflicts of Interest
References
- Dingyi, X. Soil Dynamics; Higher Education Press: Beijing, China, 2011. [Google Scholar]
- Jingshan, B.; Xiuling, L.; Hongshuai, L. Effects of soil layer construction on peak accelerations of ground motions. Earthq. Eng. Eng. Vib. 2003, 3, 35–40. [Google Scholar]
- Jingshan, B.; Xiuling, L.; Dedong, L.; Hongshuai, L. Effects of soil layer construction on platform value of response spectra. Earthq. Eng. Eng. Vib. 2003, 4, 29–33. [Google Scholar]
- Jingshan, B.; Xiuling, L.; Dedong, L.; Hongshuai, L. Effects of soil layer construction on characteristic periods of response spectra. Earthq. Eng. Eng. Vib. 2003, 5, 42–45. [Google Scholar]
- Jingyan, L. Study on Dynamic Charactistis and Seismic Ground Motion Effect of Soft Soil. Ph.D. Thesis, Institute of Engineering Mechanics, China Earthquake Administration, Harbin, China, 2016. [Google Scholar]
- Miao, Y.H.; Sheng, R.Y.; Yin, J.; Zhou, F.B.; Lu, J.F. Dynamic characteristics of saturated soft clays under cyclic loading in drained condition. KSCE J. Civ. Eng. 2020, 24, 443–450. [Google Scholar] [CrossRef]
- Shuai, L.; Zhihua, G.; Bo, H.; Song, Y.; Yongfeng, Z.; Xiaoling, Y.; Juehao, H. Experimental study on dynamic characteristics of soft soil in Pearl River Delta under cyclic confining pressure. Acta Sci. Nat. Univ. Sunyatseni 2023, 62, 131–138. [Google Scholar]
- Linwei, M. The Study on Characteristic of Ground Motion in Site of Loess Valley. Master’s Thesis, Lanzhou Earthquake Research Institute of China Earthquake Administration, Lanzhou, China, 2016. [Google Scholar]
- Lanmin, W.; Xiaowu, P.; Zhijian, W.; Junjie, S.; Ping, W.; Shaofeng, C.; Shunhua, X.; Jin, D. The shaking table test of the instability sliding of loess slope under the coupling effects of earthquake and rainfall. Chin. J. Rock Mech. Eng. 2017, 36 (Suppl. S2), 3873–3883. [Google Scholar]
- Wei, L. Study on Seismic Ground Motion Effect of Unsaturated Loess Site in Ningnan Hilly Area. Master’s Thesis, Lanzhou Earthquake Research Institute of China Earthquake Administration, Lanzhou, China, 2019. [Google Scholar]
- Lai, W.; Yuxia, L.; Zhenghua, Z.; Qian, W.; Bo, Y.; Hongmin, T.; Tonglint, L. Dynamic characteristics of unsaturated loess and their influences on ground vibration parameters of sites. Chin. J. Geotech. Eng. 2019, 41 (Suppl. S2), 145–148. [Google Scholar]
- Shuai, L.; Jiading, W.; Chenglin, L.; Yubo, S. Dynamic characteristics and microstructure of loess under cyclic loading. J. Arid. Land Resour. Environ. 2021, 35, 142–149. [Google Scholar]
- Liao, Y.; Qin, G. Research on the Composition and Structure of Red Clay in Guiyang Area and Analysis of the Essence of the Special Characteristics of Red Clay. Guizhou Sci. 1989, 2, 39–51. [Google Scholar]
- Qin, G.; Liao, Y. Analysis of the “reverse profile” characteristics and formation conditions of red clay. Guizhou Geol. 1994, 1, 89–93. [Google Scholar]
- Fang, W. Research on Stability Analysis Method of Cutting Slope of Residual Red Clay. Ph.D. Thesis, Central South University, Changsha, China, 2011. [Google Scholar]
- Liu, Z. Research on the Stability of the High Fill Slope at the North of the KM New Airport’s West Runway. Master’s Thesis, Chengdu University of Technology, Chengdu, China, 2013. [Google Scholar]
- Hu, Y.X.; Sun, P.S.; Zhang, Z.Y.; Tian, Q.W. Effects of Site Conditions on Earthquake Damage and Ground Motion. Earthq. Eng. Eng. Vib. 1980, 1, 34–41. [Google Scholar] [CrossRef]
- Zhang, J.Y.; Zhang, Y.D.; Xu, G.D.; Wang, Q. Analysis and engineering application of soft soil seismic settlement discrimination methods. World Earthq. Eng. 2012, 28, 53–59. [Google Scholar]
- Qiao, F. Study on Dynamic Characteristics of Three Kinds of Special Soils. Ph.D. Thesis, Institute of Engineering Mechanics, China Earthquake Administration, Harbin, China, 2020. [Google Scholar]
- Liao, Z. Seismic District Planning: Theory and Practice; Beijing Publishing House: Beijing, China, 1989. [Google Scholar]
- Liao, Z.; Li, X. Equivalent Linearization Method for Seismic Response of Surface Soil. In Seismic District Planning (Theory and Practice); Seismological Press: Beijing, China, 1989; pp. 141–153. [Google Scholar]
- Li, X. One-dimensional soil layer seismic response linearization calculation program. In Seismic District Planning (Theory and Practice); Seismological Press: Beijing, China, 1989; pp. 265–350. [Google Scholar]
- Idriss, I.M.; Sun, J.I. User’s Manual for SHAKE91—A Computer Program for Conducting Equivalent Linear Seismic Response Analyses of Horizontally Layered Soil Deposits Center for Geotechnical Modeling; Department of Civil and Environmental Engineering, University of California: Davis, CA, USA, 1992. [Google Scholar]
- Qi, W. Study on the Comparison of Soil Layers Seismic Response Analysis Methods. Master’s Thesis, Institute of Engineering Mechanics, China Earthquake Administration, Harbin, China, 2004. [Google Scholar]
- Hashash, Y.M.A. Deepsoil V3.7 User Manual and Tutorial; University of Illinois at Urbana-Champaign: Champaign, IL, USA, 2009. [Google Scholar]
- Yuan, X.; Li, R.; Sun, R. A new generation method for earthquake response analysis of soil layers. China Civ. Eng. J. 2016, 49, 95–105+122. [Google Scholar]










| Soft Soil | Loess | Laterite | |
|---|---|---|---|
| H (m) | 10 | 10 | 10 |
| Vs (m/s) | 125 | 270 | 280 |
| ρ (g/cm3) | 1.77 | 1.83 | 1.74 |
| Parameter | Shear Strain (×10−4) | ||||||||
|---|---|---|---|---|---|---|---|---|---|
| 0.05 | 0.1 | 0.5 | 1 | 5 | 10 | 50 | 100 | ||
| Soft Soil | G/Gmax | 0.9915 | 0.9995 | 0.9491 | 0.8967 | 0.7037 | 0.5899 | 0.2543 | 0.0791 |
| λ | 0.0324 | 0.0468 | 0.0810 | 0.0961 | 0.1320 | 0.1478 | 0.1854 | 0.2019 | |
| Loess | G/Gmax | 0.9982 | 0.9781 | 0.8813 | 0.8180 | 0.6208 | 0.5143 | 0.2168 | 0.0670 |
| λ | 0.0071 | 0.0255 | 0.0677 | 0.0857 | 0.1268 | 0.1443 | 0.1843 | 0.2013 | |
| Laterite | G/Gmax | 0.9986 | 0.9855 | 0.8989 | 0.8374 | 0.6383 | 0.5283 | 0.2167 | 0.0582 |
| λ | 0.0053 | 0.0088 | 0.0249 | 0.0352 | 0.0671 | 0.0842 | 0.1319 | 0.1558 | |
| Mudstone | G/Gmax | 1.0000 | 1.0000 | 1.0000 | 1.0000 | 1.0000 | 1.0000 | 1.0000 | 1.0000 |
| λ | 0.0040 | 0.0080 | 0.0100 | 0.0510 | 0.0210 | 0.0300 | 0.0360 | 0.0460 | |
| Number | Soil | Buried Depth (m) | Shear Wave Velocity (m/s) | Density (g/cm3) |
|---|---|---|---|---|
| T1 | Silty Clay | 3.9 | 134.0 | 1.81 |
| T2 | Clay | 16.8 | 139.0 | 1.74 |
| T3 | Clay | 22.3 | 204.0 | 1.99 |
| T4 | Silt | 32.4 | 293.0 | 2.08 |
| T5 | Clay | 36.7 | 285.0 | 1.99 |
| T6 | Silt | 49.0 | 373.0 | 2.09 |
| T7 | Clay | 53.4 | 365.0 | 1.98 |
| T8 | Sand-Silt | 63.3 | 492.0 | 2.07 |
| T9 | Clay | 69.5 | 442.0 | 1.98 |
| Bedrock | Sand-Silt | 72.1 | 526.0 | 2.07 |
| Number | Soil | Buried Depth (m) | Shear Wave Velocity (m/s) | Density (g/cm3) |
|---|---|---|---|---|
| H1 | Loess | 22 | 270 | 1.83 |
| H2 | Gravel Soil | 40 | 459 | 2.02 |
| Bedrock | Mudstone | 800 | 2.40 |
| Number | Soil | Buried Depth (m) | Shear Wave Velocity (m/s) | Density (g/cm3) |
|---|---|---|---|---|
| H1 | Fill Soil | 3.2 | 255 | 1.8 |
| H2 | Laterite | 18 | 329 | 1.75 |
| Bedrock | Limestone | 645 | 2.40 |
| Soil Number | Parameter | Shear Strain (×10−4) | |||||||
|---|---|---|---|---|---|---|---|---|---|
| 0.05 | 0.1 | 0.5 | 1 | 5 | 10 | 50 | 100 | ||
| T1 | G/Gmax | 0.9963 | 0.9926 | 0.9639 | 0.9303 | 0.7275 | 0.5717 | 0.2107 | 0.1178 |
| λ | 0.0226 | 0.0313 | 0.0544 | 0.0685 | 0.1104 | 0.1293 | 0.1602 | 0.1665 | |
| T2 | G/Gmax | 0.9966 | 0.9933 | 0.9674 | 0.9368 | 0.7477 | 0.5971 | 0.2286 | 0.1291 |
| λ | 0.0436 | 0.0534 | 0.0848 | 0.1028 | 0.1541 | 0.1767 | 0.2136 | 0.2214 | |
| T3 | G/Gmax | 0.9955 | 0.9911 | 0.9569 | 0.9174 | 0.6896 | 0.5263 | 0.1818 | 0.1000 |
| λ | 0.0273 | 0.0351 | 0.0623 | 0.0790 | 0.1281 | 0.1495 | 0.1825 | 0.1890 | |
| T4 | G/Gmax | 0.9968 | 0.9936 | 0.9688 | 0.9394 | 0.7562 | 0.6079 | 0.2367 | 0.1342 |
| λ | 0.0436 | 0.0534 | 0.0848 | 0.1028 | 0.1541 | 0.1767 | 0.2136 | 0.2214 | |
| T5 | G/Gmax | 0.9969 | 0.9937 | 0.9695 | 0.9407 | 0.7604 | 0.6135 | 0.2409 | 0.1370 |
| λ | 0.0258 | 0.0323 | 0.0543 | 0.0674 | 0.1063 | 0.1243 | 0.1550 | 0.1616 | |
| T6 | G/Gmax | 0.9960 | 0.9920 | 0.9611 | 0.9251 | 0.7118 | 0.5526 | 0.1981 | 0.1099 |
| λ | 0.0194 | 0.0253 | 0.0464 | 0.0597 | 0.1002 | 0.1187 | 0.1486 | 0.1547 | |
| T7 | G/Gmax | 0.9982 | 0.9965 | 0.9826 | 0.9658 | 0.8495 | 0.7383 | 0.3607 | 0.2201 |
| λ | 0.0265 | 0.0332 | 0.0560 | 0.0699 | 0.1135 | 0.1360 | 0.1822 | 0.1944 | |
| T8 | G/Gmax | 0.9962 | 0.9924 | 0.9633 | 0.9293 | 0.7243 | 0.5678 | 0.2081 | 0.1161 |
| λ | 0.0156 | 0.0265 | 0.0475 | 0.0606 | 0.1001 | 0.1182 | 0.1479 | 0.1540 | |
| T9 | G/Gmax | 0.9966 | 0.9932 | 0.9670 | 0.9061 | 0.7256 | 0.5344 | 0.2266 | 0.1278 |
| λ | 0.0246 | 0.0314 | 0.0550 | 0.0674 | 0.1131 | 0.1334 | 0.1676 | 0.1748 | |
| Bedrock | G/Gmax | 0.9961 | 0.9923 | 0.9628 | 0.9282 | 0.6813 | 0.5085 | 0.2055 | 0.1145 |
| λ | 0.0187 | 0.0247 | 0.0470 | 0.0613 | 0.1064 | 0.1276 | 0.1628 | 0.1750 | |
| Soil Number | Parameter | Shear Strain (×10−4) | |||||||
|---|---|---|---|---|---|---|---|---|---|
| 0.05 | 0.1 | 0.5 | 1 | 5 | 10 | 50 | 100 | ||
| H1 | G/Gmax | 0.9850 | 0.9750 | 0.8580 | 0.7540 | 0.4170 | 0.2850 | 0.0950 | 0.0360 |
| λ | 0.0050 | 0.0090 | 0.0260 | 0.0400 | 0.0950 | 0.1170 | 0.1480 | 0.1590 | |
| H2 | G/Gmax | 0.9900 | 0.9700 | 0.9000 | 0.8500 | 0.7000 | 0.5500 | 0.3200 | 0.2000 |
| λ | 0.0040 | 0.0060 | 0.0190 | 0.0300 | 0.0750 | 0.0950 | 0.1100 | 0.1200 | |
| Bedrock | G/Gmax | 1.0000 | 1.0000 | 1.0000 | 1.0000 | 1.0000 | 1.0000 | 1.0000 | 1.0000 |
| λ | 0.0040 | 0.0080 | 0.0100 | 0.0510 | 0.0210 | 0.0300 | 0.0360 | 0.0460 | |
| Soil Number | Parameter | Shear Strain (×10−4) | |||||||
|---|---|---|---|---|---|---|---|---|---|
| 0.05 | 0.1 | 0.5 | 1 | 5 | 10 | 50 | 100 | ||
| L1 | G/Gmax | 0.9600 | 0.9500 | 0.8000 | 0.7000 | 0.3000 | 0.2000 | 0.1500 | 0.1000 |
| λ | 0.0250 | 0.0280 | 0.0300 | 0.0350 | 0.0800 | 0.1000 | 0.1100 | 0.1200 | |
| L2 | G/Gmax | 0.9931 | 0.9862 | 0.9352 | 0.8790 | 0.6005 | 0.4336 | 0.1362 | 0.0735 |
| λ | 0.0119 | 0.0163 | 0.0334 | 0.0449 | 0.0802 | 0.0952 | 0.1172 | 0.1213 | |
| Bedrock | G/Gmax | 1.0000 | 1.0000 | 1.0000 | 1.0000 | 1.0000 | 1.0000 | 1.0000 | 1.0000 |
| λ | 0.0500 | 0.0500 | 0.0500 | 0.0500 | 0.0500 | 0.0500 | 0.0500 | 0.0500 | |
| One | Two | Three | Four | Five | Six | Seven | |
|---|---|---|---|---|---|---|---|
| Soft Soil | 110 | 115 | 120 | 125 | 130 | 135 | 140 |
| Loess | 180 | 210 | 240 | 270 | 300 | 330 | 360 |
| Laterite | 220 | 240 | 260 | 280 | 300 | 320 | 340 |
| Parameter | Shear Strain (×10−4) | ||||||||
|---|---|---|---|---|---|---|---|---|---|
| 0.05 | 0.1 | 0.5 | 1 | 5 | 10 | 50 | 100 | ||
| Measured Value | G/Gmax | 0.9963 | 0.9926 | 0.9639 | 0.9303 | 0.7275 | 0.5717 | 0.2107 | 0.1178 |
| λ | 0.0226 | 0.0313 | 0.0544 | 0.0685 | 0.1104 | 0.1293 | 0.1602 | 0.1665 | |
| Maximum Value | G/Gmax | 0.9972 | 0.9945 | 0.9729 | 0.9472 | 0.7821 | 0.6422 | 0.2642 | 0.1522 |
| λ | 0.0446 | 0.0543 | 0.0855 | 0.1040 | 0.1552 | 0.1788 | 0.2198 | 0.2288 | |
| Average Value | G/Gmax | 0.9953 | 0.9906 | 0.9548 | 0.9139 | 0.6853 | 0.5253 | 0.1856 | 0.1028 |
| λ | 0.0342 | 0.0426 | 0.0707 | 0.0873 | 0.1336 | 0.1531 | 0.1836 | 0.1900 | |
| Minimum Value | G/Gmax | 0.9919 | 0.9839 | 0.9243 | 0.8592 | 0.5497 | 0.3790 | 0.1088 | 0.0508 |
| λ | 0.0205 | 0.0267 | 0.0489 | 0.0630 | 0.1068 | 0.1240 | 0.1512 | 0.1568 | |
| Parameter | Shear Strain (×10−4) | ||||||||
|---|---|---|---|---|---|---|---|---|---|
| 0.05 | 0.1 | 0.5 | 1 | 5 | 10 | 50 | 100 | ||
| Measured Value | G/Gmax | 0.9966 | 0.9933 | 0.9674 | 0.9368 | 0.7477 | 0.5971 | 0.2286 | 0.1291 |
| λ | 0.0436 | 0.0534 | 0.0848 | 0.1028 | 0.1541 | 0.1767 | 0.2136 | 0.2214 | |
| Maximum Value | G/Gmax | 0.9978 | 0.9956 | 0.9787 | 0.9583 | 0.8229 | 0.7010 | 0.3251 | 0.1955 |
| λ | 0.0658 | 0.0742 | 0.0996 | 0.1136 | 0.1672 | 0.1868 | 0.2245 | 0.2330 | |
| Average Value | G/Gmax | 0.9959 | 0.9919 | 0.9611 | 0.9257 | 0.7218 | 0.5704 | 0.2192 | 0.1227 |
| λ | 0.0368 | 0.0453 | 0.0734 | 0.0901 | 0.1358 | 0.1562 | 0.1879 | 0.1957 | |
| Minimum Value | G/Gmax | 0.9878 | 0.9758 | 0.8897 | 0.8013 | 0.4455 | 0.2874 | 0.0747 | 0.0388 |
| λ | 0.0151 | 0.0201 | 0.0385 | 0.0506 | 0.0904 | 0.1108 | 0.1490 | 0.1572 | |
| Parameter | Shear Strain (×10−4) | ||||||||
|---|---|---|---|---|---|---|---|---|---|
| 0.05 | 0.1 | 0.5 | 1 | 5 | 10 | 50 | 100 | ||
| Measured Value | G/Gmax | 0.9850 | 0.9750 | 0.8580 | 0.7540 | 0.4170 | 0.2850 | 0.0950 | 0.0360 |
| λ | 0.0050 | 0.0090 | 0.0260 | 0.0400 | 0.0950 | 0.1170 | 0.1480 | 0.1590 | |
| Maximum Value | G/Gmax | 0.9986 | 0.9967 | 0.9804 | 0.9611 | 0.8360 | 0.7179 | 0.3372 | 0.2030 |
| λ | 0.0253 | 0.0283 | 0.0707 | 0.0991 | 0.1780 | 0.2069 | 0.2377 | 0.2422 | |
| Average Value | G/Gmax | 0.9886 | 0.9806 | 0.9170 | 0.8593 | 0.6123 | 0.4764 | 0.1919 | 0.1099 |
| λ | 0.0081 | 0.0132 | 0.0425 | 0.0667 | 0.1351 | 0.1575 | 0.1840 | 0.1892 | |
| Minimum Value | G/Gmax | 0.9643 | 0.9316 | 0.7707 | 0.6500 | 0.3069 | 0.2003 | 0.0616 | 0.0355 |
| λ | 0.0041 | 0.0081 | 0.0253 | 0.0350 | 0.0809 | 0.1022 | 0.1108 | 0.1201 | |
| Parameter | Shear Strain (×10−4) | ||||||||
|---|---|---|---|---|---|---|---|---|---|
| 0.05 | 0.1 | 0.5 | 1 | 5 | 10 | 50 | 100 | ||
| Measured Value | G/Gmax | 0.9931 | 0.9862 | 0.9352 | 0.8790 | 0.6005 | 0.4336 | 0.1362 | 0.0735 |
| λ | 0.0119 | 0.0163 | 0.0334 | 0.0449 | 0.0802 | 0.0952 | 0.1172 | 0.1213 | |
| Maximum Value | G/Gmax | 0.9990 | 0.9980 | 0.9890 | 0.9770 | 0.8960 | 0.8120 | 0.4630 | 0.3010 |
| λ | 0.0252 | 0.0349 | 0.0718 | 0.0936 | 0.1596 | 0.1855 | 0.2350 | 0.2540 | |
| Average Value | G/Gmax | 0.9934 | 0.9865 | 0.9372 | 0.8844 | 0.6354 | 0.4878 | 0.1863 | 0.1083 |
| λ | 0.0117 | 0.0150 | 0.0297 | 0.0411 | 0.0827 | 0.1046 | 0.1453 | 0.1555 | |
| Minimum Value | G/Gmax | 0.9800 | 0.9600 | 0.8250 | 0.7100 | 0.3200 | 0.2000 | 0.0493 | 0.0250 |
| λ | 0.0002 | 0.0005 | 0.0028 | 0.0058 | 0.0267 | 0.0457 | 0.0740 | 0.0754 | |
| Parameter | Shear Strain (×10−4) | ||||||||
|---|---|---|---|---|---|---|---|---|---|
| 0.05 | 0.1 | 0.5 | 1 | 5 | 10 | 50 | 100 | ||
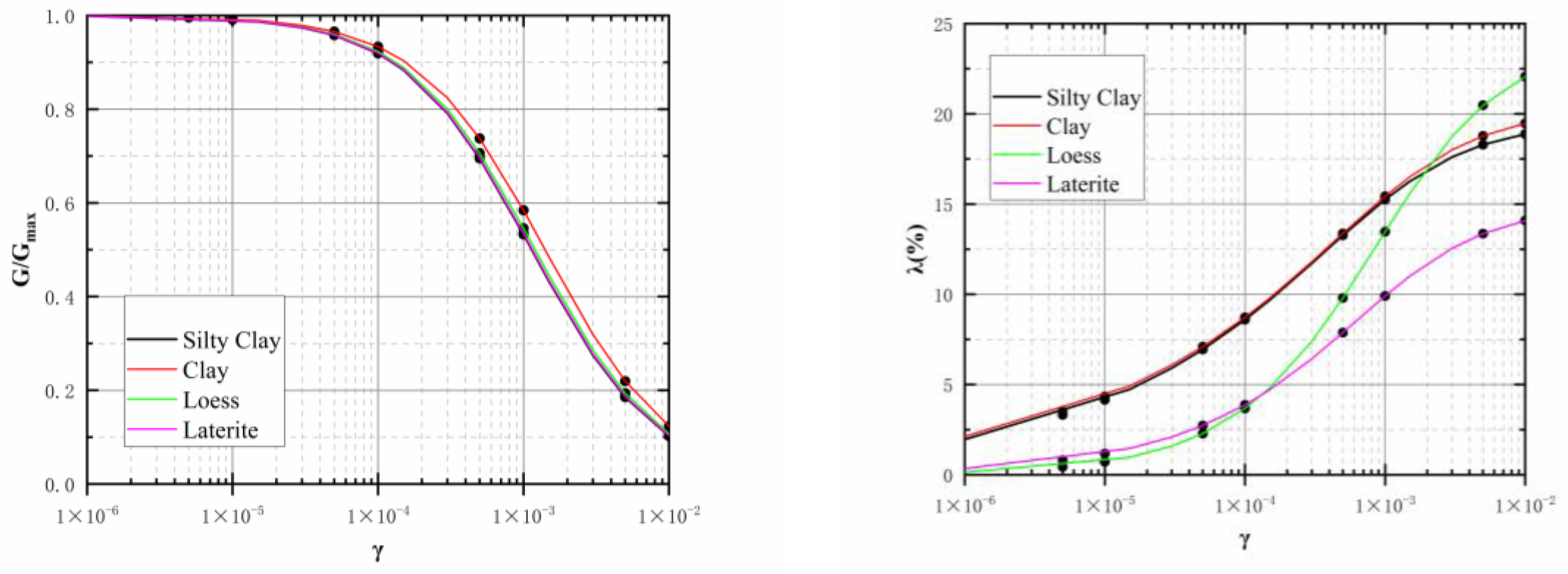
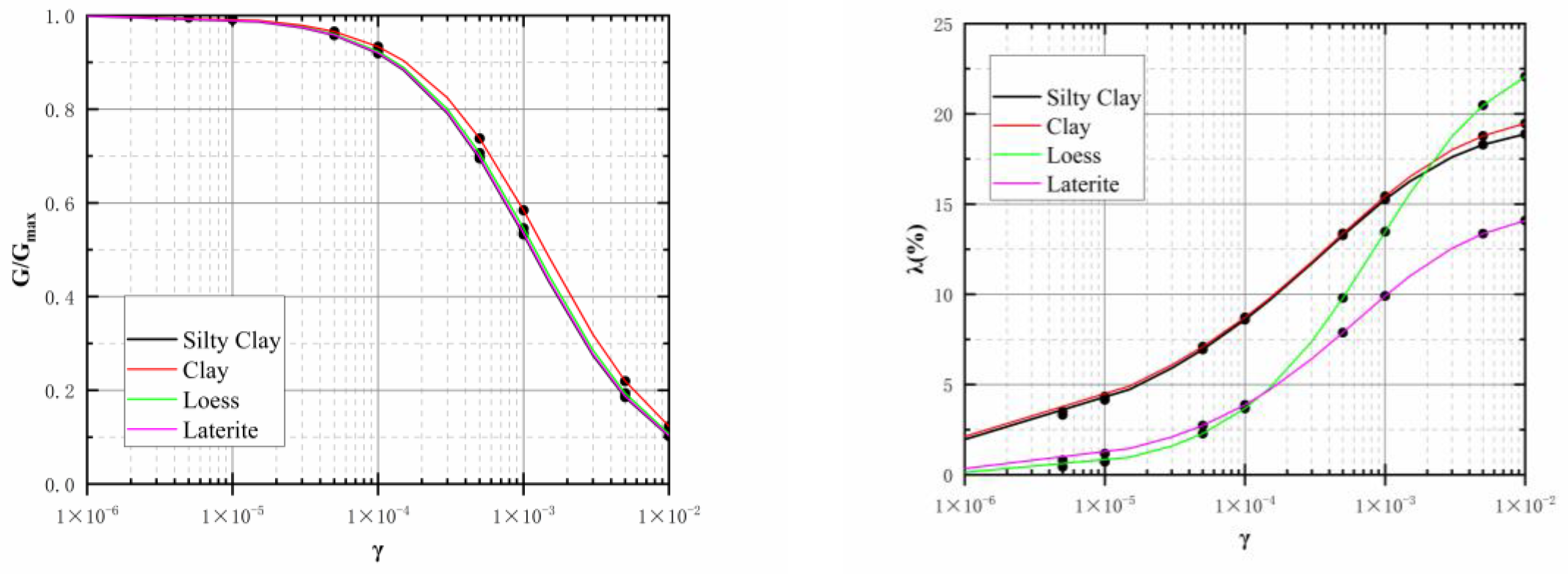
| Silty Clay | G/Gmax | 0.9953 | 0.9906 | 0.9548 | 0.9139 | 0.6853 | 0.5253 | 0.1856 | 0.1028 |
| λ | 0.0342 | 0.0426 | 0.0707 | 0.0873 | 0.1336 | 0.1531 | 0.1836 | 0.1900 | |
| Clay | G/Gmax | 0.9959 | 0.9919 | 0.9611 | 0.9257 | 0.7218 | 0.5704 | 0.2192 | 0.1227 |
| λ | 0.0368 | 0.0453 | 0.0734 | 0.0901 | 0.1358 | 0.1562 | 0.1879 | 0.1957 | |
| Loess | G/Gmax | 0.9886 | 0.9806 | 0.9170 | 0.8593 | 0.6123 | 0.4764 | 0.1919 | 0.1099 |
| λ | 0.0081 | 0.0132 | 0.0425 | 0.0667 | 0.1351 | 0.1575 | 0.1840 | 0.1892 | |
| Laterite | G/Gmax | 0.9934 | 0.9865 | 0.9372 | 0.8844 | 0.6354 | 0.4878 | 0.1863 | 0.1083 |
| λ | 0.0117 | 0.0150 | 0.0297 | 0.0411 | 0.0827 | 0.1046 | 0.1453 | 0.1555 | |
Disclaimer/Publisher’s Note: The statements, opinions and data contained in all publications are solely those of the individual author(s) and contributor(s) and not of MDPI and/or the editor(s). MDPI and/or the editor(s) disclaim responsibility for any injury to people or property resulting from any ideas, methods, instructions or products referred to in the content. |
© 2023 by the authors. Licensee MDPI, Basel, Switzerland. This article is an open access article distributed under the terms and conditions of the Creative Commons Attribution (CC BY) license (https://creativecommons.org/licenses/by/4.0/).
Share and Cite
Qiao, F.; Bo, J.; Chang, C.; Wang, L.; Shen, C. Comparative Study of the Seismic Response Characteristics of Three Special Soils. Appl. Sci. 2023, 13, 11375. https://doi.org/10.3390/app132011375
Qiao F, Bo J, Chang C, Wang L, Shen C. Comparative Study of the Seismic Response Characteristics of Three Special Soils. Applied Sciences. 2023; 13(20):11375. https://doi.org/10.3390/app132011375
Chicago/Turabian StyleQiao, Feng, Jingshan Bo, Chaoyu Chang, Liang Wang, and Chao Shen. 2023. "Comparative Study of the Seismic Response Characteristics of Three Special Soils" Applied Sciences 13, no. 20: 11375. https://doi.org/10.3390/app132011375
APA StyleQiao, F., Bo, J., Chang, C., Wang, L., & Shen, C. (2023). Comparative Study of the Seismic Response Characteristics of Three Special Soils. Applied Sciences, 13(20), 11375. https://doi.org/10.3390/app132011375

