Next Article in Journal
Utility of Ultrasonic Pulse Velocity for Estimating the Overall Mechanical Behavior of Recycled Aggregate Self-Compacting Concrete
Next Article in Special Issue
Comparing a Fuzzy Hybrid Approach with Invariant MGCFA to Study National Identity
Previous Article in Journal
Three-Dimensional Broadband Electric Field Sensor Based on Integrated Lithium Niobate on Insulator
Previous Article in Special Issue
Realistic Optimal Tolerant Solution of the Quadratic Interval Equation and Determining the Optimal Control Decision on the Example of Plant Fertilization
 
 
Font Type:
Arial Georgia Verdana
Font Size:
Aa Aa Aa
Line Spacing:
Column Width:
Background:
Communication

Straight-Line Path Tracking Control of Agricultural Tractor-Trailer Based on Fuzzy Sliding Mode Control

College of Agricultural Engineering, Jiangsu University, Zhenjiang 212013, China
*
Author to whom correspondence should be addressed.
Appl. Sci. 2023, 13(2), 872; https://doi.org/10.3390/app13020872
Submission received: 30 November 2022 / Revised: 1 January 2023 / Accepted: 4 January 2023 / Published: 8 January 2023
(This article belongs to the Special Issue Applications of Fuzzy Optimization)

Abstract

:
In order to solve the labor shortage problem, unmanned agricultural vehicles have been widely promoted in China. Among these vehicles, unmanned tractor-trailers have garnered the most interest thanks to their flexibility and efficiency. However, trapped by the factors of vehicle parameter uncertainties, unstructured farmland roads, etc., the current unmanned tractor-trailers have shown poor tracking accuracy and longer online times in straight-line path tracking. To overcome the aforementioned issues, a fuzzy sliding mode control (FSMC) approach is proposed in this paper. First, the tractor-trailer path tracking error model was established based on the kinematic model and a reference model. Then, according to the sliding mode control (SMC) theory, the FSMC was designed. Through a Lyapunov theory analysis, the proposed control method can ensure that the articulated angle, the position error, and the heading error all converge to zero. Finally, field tests and Simulink simulations demonstrated the effectiveness and robustness of the suggested control mechanism. According to field experiments, the proposed control method can increase the trailer steady-state tracking accuracy by between 10.5 and 36.8% and the tractor steady-state tracking accuracy by between 11.1 and 50%.

1. Introduction

Currently, thanks to the rapid development of navigation technology, particularly the Bei Dou System (BDS) navigation, unmanned agricultural vehicles have been widely promoted in China, as they can achieve efficiency, high standards, lower costs, etc. [1,2]. It is worth noting that tractor-trailers possess the qualities of flexible combination and heavy loads, which can be utilized in harvesting, plowing, spraying, etc. [3]. However, in contrast to the structured environment, farmland often contains unanticipated disturbances, which significantly increase the challenge in controlling unmanned agricultural vehicles. In addition, unlike the tractor, the tractor-trailer model is a typical high-order underactuated system, i.e., only one control input but multiple output variables. Some traditional control methods hardly address this underactuated problem. Hence, the path-tracking control of agricultural tractor-trailers is still a hot research issue [4,5].
Numerous studies on the path-tracking control of agricultural vehicles have emerged recently, mainly focusing on control based on kinematics, dynamics, and model-free techniques [6,7,8,9,10,11,12,13,14,15,16,17,18]. Research on sophisticated control techniques, including fuzzy control, intelligent control, and sliding mode control (SMC), has also been conducted by relevant academics. A dynamic model of a traction unit and a nonlinear controller were created in [6], but an additional control system was required at the connecting shaft. A pure-pursuit tracking technique for rice transplanters was developed in [7], which employed fuzzy rules to achieve a dynamic adjustment of the forward-looking distance. The path tracking control problem of a boom sprayer in a paddy field was addressed in [10] using a composite terminal sliding mode control based on a disturbance observer. An adaptive proportional–integral–differential control (PID) was presented in [13] to handle the path tracking control of a tractor, and the nonlinear constructor approach was utilized to update the PID parameters in real time. To address the issue of the variable speed tracking control of agricultural vehicles, the linear-chain feedback approach was adopted in [15], and a straight-line path tracking test was conducted. Tractor-trailers are restricted by non-holonomic kinematics, which makes the aforementioned chain model feedback control approach ineffective for controlling a tractor-trailer. Due to measurement error, installation error, tire deformation, the road adhesion coefficient, and other factors, it is difficult to avoid model parameter perturbation and external disturbance during tractor-trailer path tracking. Thus, it remains necessary to develop a method for controlling tractor-trailer path tracking that is reliable. To our knowledge, few papers have paid attention to the path tracking control of agricultural tractor-trailers, and the existing methods all show poor tracking accuracy. Sliding mode control is one of several advanced control theories that has received a lot of interest due to its simplicity of implementation and insensitivity to parameter perturbation and external disturbances. A sliding mode control approach based on fixed high gain was proposed in [18] for tractor-trailers. However, this approach exhibited chattering phenomena, which can easily damage the mechanical structure. To handle the chattering problem, [19,20,21] proposed various approaches to address this problem, including boundary-layer-based methods, high-order sliding modes, adaptive control, and integral sliding modes, but none of these methods have been applied to agricultural tractor-trailers. Fuzzy control has developed rapidly in recent years, and numerous worthwhile studies have been conducted [22,23], which provide an idea of how to optimize control parameters.
For the straight-line path tracking of tractor-trailer vehicles, we developed a sliding mode controller using sliding mode fast-reaching laws and fuzzy rules to address the chattering problem of conventional SMC methods. Fuzzy rules are used to adjust the controller parameters online. Due to the controller, the articulated angle converges to zero at the coupling shaft as the tractor-trailer follows the reference path. Moreover, the traditional sliding mode controller’s chattering issue may be reduced. The remainder of this paper is organized as follows: Section 2 describes the necessary notations and the error model. The specific sliding mode controller is designed in Section 3. The MATLAB/Simulink and experimental outcomes, and discussions are given in Section 4 and Section 5. Section 6 concludes this research.

2. System Model

Considering that tractor-trailers often operate at low speeds in agricultural scenarios, which are significantly impacted by kinematic constraints, the simplified kinematic model depicted in Figure 1 is employed in this research, where an articulated angle is used to connect the tractor and the trailer, the reference path is regarded as the X axis, and P i ( i = 0 , 1 , 2 )   denote the targeted point, the articulated point, and the center point of the trailer axle, respectively. The other parameters can be found in Table 1.
Based on the analysis of the center of the rear axle of the trailer, the kinematic model of the tractor-trailer can be obtained as follows:
{ x ˙ = v cos θ y ˙ = v sin θ φ ˙ = w = v tan δ L 1 φ ˙ = v L 2 sin φ v L 1 L 2 ( L 3 cos φ + L 2 ) tan δ
It should be noted that the model described in (1) is a typical high-order underactuated nonlinear system that is challenging to directly control. To simplify the analysis in this study, a desired straight line was chosen, which can be represented as
α 1 x + α 2 y + α 3 = 0
where α i ( i = 1 , 2 , 3 ) denote the geometric constants of the desired path, and they also satisfy α = α 1 2 + α 2 2 0 .
An error variable and an error transform are presented in this study to address the problem of underactuation. The authors define the new error variable as
ξ = α 1 x + α 2 y + α 3
Taking the derivate of (3), one can obtain
ξ ˙ = v α ( α 1 α cos θ + α 2 α sin θ )
Further, based on the desired straight line, the authors define
cos θ d = α 2 α , sin θ d = α 1 α
Based on (5), Equation (4) can be further formulated as
ξ ˙ = v α sin ( θ θ d )
Defining θ ¯ = θ θ d and combining it with (1) yields
{ ξ ˙ = v α sin θ ¯ θ ¯ ˙ = v L 1 u φ ˙ = v sin φ L 2 v ( L 3 L 1 L 2 cos φ + 1 L 1 ) u
where u = tan δ denotes the control input.
Remark 1. 
The tractor-trailer path tracking error model (7) was derived from the kinematic model and a small angle assumption, which is suitable for low-speed straight-line tracking control. Nevertheless, the error model incorporating path curvature into tracking control is more significant for some curved paths.

3. Sliding Mode Controller Design

The control goal of this study was altered due to the stability issue of the error model (7) at the origin under the tracking error modeling in the preceding section. It has been demonstrated that sliding mode control is an effective and user-friendly method for controlling UAVs [24], unmanned underwater vehicles [25], unmanned vehicles [26], and other domains. Nevertheless, it has not been reported that sliding mode control has been used in agricultural tractor-trailer vehicles. There are generally two major states in sliding mode control: the approaching state and the sliding mode state. When a vehicle exhibits an initial deviation, it might be considered that an acceptable reaching law would be necessary to ensure that the sliding mode variable approaches the designed sliding mode surface. The sliding mode variable will slide along the predetermined path when positioned on the sliding mode manifold. A sliding mode variable will escape the designed sliding mode surface due to unknown factors in an unstructured farmland environment. Hence, the traditional sliding mode controllers contain the discontinuous symbol function term, which is capable of suppressing the disturbance and forcing the sliding mode variables to operate on the designed sliding mode surface, but they can result in controller chattering. Controller chattering may irreversibly damage the mechanical structure of the vehicle, so this phenomenon should be avoided [27,28,29]. In this section, the linear sliding mode surface is built, which guarantees the tracking error, and the articulated angle asymptotically converges to the origin. Second, this part uses the power-reaching law to create a continuous sliding mode controller to lessen the chattering phenomena. In addition, the fuzzy control concept is employed in this research to create the fuzzy rules for the controller’s parameters and realize controller parameter tuning, thereby easing the load of controller parameter tuning.

3.1. Sliding Mode Controller Design

The following linear sliding mode surface is constructed in this study, which can be described as
s = ξ + β 1 θ ¯ + β 2 φ
where β i ( i = 1 , 2 ) > 0 denote the tuned parameters.
Taking the derivate of (8), one can obtain
s ˙ = ξ ˙ + β 1 θ ¯ ˙ + β 2 φ ˙   = v α sin θ ¯ + β 1 v u L 1 β 2 v sin φ L 2 β 2 v ( L 3 L 1 L 2 cos φ + 1 L 1 ) u   = β 2 v sin φ L 2 + v α sin θ ¯ + v ( β 1 L 2 β 2 L 3 + β 2 L 2 L 1 L 2 ) u
The following controller is created utilizing the conventional constant velocity reaching law to make the sliding mode variable converge to the designed sliding mode surface (8):
u = L 1 ( β 2 v sin φ L 2 v α sin θ ¯ L 2 K sign ( s ) ) v ( β 1 L 2 β 2 L 3 + β 2 L 2 )
Further, through the inverse trigonometric function, the front wheel angle is calculated as
δ = arctan ( L 1 ( β 2 v sin φ L 2 v α sin θ ¯ L 2 K sign ( s ) ) v ( β 1 L 2 β 2 L 3 + β 2 L 2 ) )
where K denotes the controller gain.
A Lyapunov function ( V 1 = 1 2 s 2 ) is selected to verify the stability of the closed system, and by taking the derivate of the Lyapunov function one can obtain
V ˙ 1 = s s ˙ = s ( K sign ( s ) ) = K | s | 0
In accordance with the Lyapunov stability theory, the system is stable with the controller designed as (10). However, it is important to note that the chattering is inevitable, as the front wheel steering angle (11) contains discontinuous terms. Additionally, in (10), the approaching stage of the sliding mode variable adopts the constant reaching law, which results in a slow online speed. For the purpose of addressing the abovementioned issues, a sliding mode controller is applied based on the power-reaching law. Fuzzy rules are utilized to implement controller parameter adjustment, ensuring the quick convergence of the system and reducing the chattering. Figure 2 illustrates the proposed FSMC control frame.
Remark 2. 
The main difference between FSMC and SMC is the power-reaching term, which can significantly reduce the chattering problem and improve the disturbance rejection ability. In addition, the fuzzy control can realize the control parameter tuning.

3.2. Fuzzy Sliding Mode Controller Design

3.2.1. Power Reaching Law Based Sliding Mode Controller Design

The following power-reaching law is employed in this research to achieve the fast approach of the sliding mode variable
s ˙ = K 1 s K 2 | s | β sign ( s )
where K 1 , K 2 , β are the designed parameters. It should be noted that Equation (13) can be regarded as the dynamic description of the sliding variable. In view of its non-smooth nature, with the appropriate parameter adjustments, it may perform better than a constant reaching law during the reaching phase in terms of its disturbance rejection ability and reaching speed.
By combining Equations (9) and (13), the sliding mode controller can be designed as
u = L 1 v ( β 1 L 2 β 2 L 3 + β 2 L 2 ) ( β 2 v sin φ L 2 v α sin θ ¯ L 2 K 1 s L 2 K 2 | s | β sign ( s ) )
Similarly, through the inverse trigonometric function, one can obtain
δ = arctan ( L 1 v ( β 1 L 2 β 2 L 3 + β 2 L 2 ) ( β 2 v sin φ L 2 v α sin θ ¯ L 2 K 1 s L 2 K 2 | s | β sign ( s ) ) )
Compared to the front wheel steering angle in (11), the front wheel steering angle in (15) has a continuous characteristic, which significantly reduces the chattering phenomenon. The anti-disturbance performance and reaching speed of the sliding mode variable in the reaching stage may both be significantly improved by utilizing the non-smooth dynamic feature.
A Lyapunov function ( V 2 = 1 2 s 2 ) is selected to verify the stability of the closed system, and taking the derivate of the Lyapunov function, the authors have
V ˙ 2 = s s ˙ = s ( K 1 | s | β sign ( s ) K 2 s ) = K 1 | s | β + 1 K 2 s 2 0
According to Lyapunov’s theory, under controller (14) the closed system is stable. It should be observed that control parameters K 1 and K 2 are contained in the controller (14). When K 1 / K 2 increase, the straight-line tracking accuracy rises as well as the anti-disturbance capability of the vehicle path tracking, but the vehicle’s online speed slows down. Conversely, when K 1 / K 2 decrease, the vehicle’s online speed increases, but at the same time the straight-line tracking accuracy and path tracking anti-disturbance capability both decline. At the moment, controller parameters are often adjusted manually. Setting control criteria is challenging since there is no scientific justification for them. Therefore, in the next subsection, this study uses sliding mode variables and their derivatives to design corresponding fuzzy rules and optimize controller parameters.

3.2.2. Fuzzy Rule Design

The real field operating environment is complicated by uneven terrain and variations in the depth of the mud foot as well as several unknowable factors. This work presents a control frame that combines sliding mode control and fuzzy control in order to better enhance the control effect. Fuzzy control is used to alter the parameters of the non-smooth terms and the function terms in the controller (14), and a tradeoff between disturbance rejection and quick reaching is discovered. The controller parameters may be tuned using the changes in sliding mode variables and their derivatives since the sliding mode variables defined in this work comprise information such as the vehicle position error, heading error, articulated angle, etc. To make parameter adjustments simpler, Equation (14) is further revised as
δ = arctan ( L 1 v ( β 1 L 2 β 2 L 3 + β 2 L 2 ) ( β 2 v sin φ L 2 v α sin θ ¯ L 2 K 1 s L 2 K 20 K 21 | s | β sign ( s ) ) )
where K 20 is the preset initial parameter and K 21 represents the output of the fuzzy controller.
A single-output and double-input fuzzy controller is established in this study, i.e., the sliding variable ( s ) and its derivate ( s ˙ ) are the inputs, and K 21 is the output. The universes of discourse for s , s ˙ and K 21 are arranged as [0; 1] and [1; 40]. The fuzzy rules define NB, NM, NS, ZO, PS, PM, and PB to represent negative large, negative medium, negative small, zero, positive small, median, and superficial, respectively. Z, LE, MS, ML, and LA denote zero, small, medium, medium, and large, respectively. The fuzzy rules are shown in Table 2 and Figure 3. The fuzzy logic controller was designed using the fuzzy logic toolbox in MATLAB 2018b.

4. Simulation Results

Simulations were built to show the effectiveness of the suggested controller. The Euler approach was used to discretize the model and controller in Matlab 2018. The fixed step size was 0.001 s, and the simulation time was set to 20 s. The controller parameters were chosen as β 1 = 4 , β 2 = 1 , K = 4 , K 1 = 3 , and K 20 = 2 . To test the effectiveness of the proposed FSMC, a chain feedback controller (FBC) was compared. The details about the FBC can be found in [8].
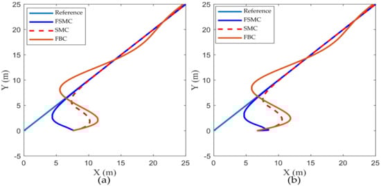
The reference path was set as x y = 0 , and the relevant vehicle parameters were L 1 = 0.5 , L 2 = 1.5 , and L 3 = 0.5 . The vehicle speed was set as 1.5 m/s, and the initial error of the position was 8 m. The heading error and the initial articulated angle were selected as 1 deg and −1 deg, respectively. The path tracking results are shown in Figure 4 and Figure 5. Figure 4 shows the vehicle’s tracking paths when following a predetermined line, and the position error, heading angle error, articulated angle error, and sliding mode variable variation are given in Figure 5.
The online speed of the tractor was greatly increased by using the FSMC suggested in this research as opposed to the traditional SMC and FBC. To guarantee that the trailer was rapidly available online, the articulated angle created fast change throughout the online articulation procedure. The online speed was 20% faster than with the traditional SMC and FBC. Compared with SMC, the reaching time for the sliding mode variable reduced by 50% from the beginning condition. The suggested control strategy increased the tracking accuracy by 20% when the vehicle quickly entered the steady state and went online. Compared to the traditional SMC and FBC, the FSMC proposed in this research performed noticeably better, according to the simulation outcomes.

5. Experimental Results

5.1. Experimental Platform

This study took an STM32 32-bit chip (TI Corporation, Dallas, TX, USA) as a vehicle controller and an electrical steering wheel (Lianshi Co., Ltd., Shanghai, China) as an alternative to the previous manned wheel, together with the angle sensor (Tianhaike Co., Ltd., Beijing, China), to measure the front steering angle. The satellite positioning system (Beidou Xingtong Technology Co., Ltd., Beijing, China) and MTI-300 inertial navigation system (XSENS, Enschede, The Netherlands) also made contributions [29]. Figure 6 portrays the experimental prototype. Two sets of BDS RTK positioning systems were installed in the tractor and trailer, respectively, which could record the position and heading information. In addition, a PC was used as the navigation controller, which was designed based on the Qt environment [30].

5.2. Field Tests

The field experiment research was conducted on Chongming Island (Shanghai, China) in November with a tractor serving as the field test platform after the relevant intelligent modification, and the field was a dry rice straw field. The test vehicle was manually driven to the vicinity of the reference path, and the upper navigation computer was started. After that, the upper navigation computer sent the deviation information to the control system at a frequency of 10 HZ, according to the specified message format. According to the throttle calibration, the operating speed was set at 0.85 m/s. The upper navigation computer recorded the deviation data during the experiment at a frequency of 1 HZ, and they were saved in the industrial control computer as a TXT file. Three confirmatory tests were conducted, and the field results are shown in Figure 7 and Figure 8 and Table 3 and Table 4.
The tractor could be brought online at a distance of 10–20 m thanks to the FSMC, whose maximum steady-state absolute error was between 0.39 and 0.53 m. However, for SMC, the maximum steady-state absolute inaccuracy of the tractor was between 0.38 and 0.75 m, and it also overshot during the process of getting online because it was constructed based on the constant speed-reaching law. It also led to the overshoot for the trailer and the main reason was the chattering problem. The FSMC could keep the absolute value of the lateral error within 0.09–0.17 m. The experimental results show that, compared with the traditional SMC, the steady-state tracking accuracy of the trailer improved by about 10.5–36.8% and the steady-state tracking accuracy of the trailer improved by about 11.1–50%.

6. Conclusions

In order to achieve straight-line path tracking control with high robustness for an unmanned tractor-trailer, a fuzzy sliding mode controller was developed in this study. The FSMC was created using the power-reaching law, which solved the chattering issue of the traditional SMC. The Lyapunov stability theory was used to analyze the system’s stability. Combining with the fuzzy controller, the controller parameters were adjusted, which improved the online speed and the steady-state tracking accuracy of the vehicle path tracking. A real experimental platform was used to validate the effectiveness of the suggested control approach. According to experimental results, the suggested control technique may increase the trailer’s steady-state tracking accuracy by about 10.5–36.8% and the tractor’s steady-state tracking accuracy by about 11.1–50% when compared to the traditional SMC.

Author Contributions

Conceptualization, W.H. and X.J.; methodology, W.H. and X.J.; software, X.J. and Y.W.; validation, X.W.; formal analysis, Y.W. and X.J.; investigation, Y.W. and X.J.; resources, X.W.; data curation, Y.W. and X.J.; writing—original draft preparation, W.H.; writing—review and editing, W.H.; visualization, A.W. and Y.W.; supervision, X.W.; project administration, X.W. All authors have read and agreed to the published version of the manuscript.

Funding

This research was funded by the National Key Research and Development Program (grant Nos. 2019YFB1312302), the Jiangsu Agricultural Science and Technology Innovation Fund (grant Nos. CX(22)2040), and the Key Research and Development Program of Jiangsu Province (grant Nos. BE2021313).

Institutional Review Board Statement

Not applicable.

Informed Consent Statement

Not applicable.

Data Availability Statement

All research data supporting this study are included in the manuscript.

Conflicts of Interest

The authors declare no conflict of interest.

References

  1. Li, D.L.; Li, Z. System analysis and development prospect of unmanned farming. Trans. Chin. Soc. Agric. Mach. 2020, 51, 1–12. (In Chinese) [Google Scholar]
  2. Li, S.; Xu, H.; Ji, Y.; Cao, R.; Zhang, M.; Li, H. Development of a following agricultural machinery automatic navigation system. Comput. Electron. Agric. 2019, 158, 335–344. [Google Scholar] [CrossRef]
  3. Shojaei, K. Coordinated saturated output-feedback control of an autonomous tractor-trailer and a combine harvester in crop-harvesting operation. IEEE Trans. Veh. Technol. 2021, 71, 1224–1236. [Google Scholar] [CrossRef]
  4. Murillo, M.; Sánchez, G.; Deniz, N.; Genzelis, L. Improving path-tracking performance of an articulated tractor-trailer system using a non-linear kinematic model. Comput. Electron. Agric. 2022, 196, 106826. [Google Scholar] [CrossRef]
  5. Alipour, K.; Robat, A.B.; Tarvirdizadeh, B. Dynamics modeling and sliding mode control of tractor-trailer wheeled mobile robots subject to wheels slip. Mech. Mach. Theory. 2019, 138, 16–37. [Google Scholar] [CrossRef]
  6. Wang, H.; Wang, G.M.; Luo, X.W.; Zhang, Z.G.; Gao, Y.; He, J.; Yue, B.B. Path tracking control method of agricultural machine navigation based on aiming pursuit model. Trans. Chin. Soc. Agric. Eng. 2019, 35, 11–19. (In Chinese) [Google Scholar]
  7. Zhang, Y.; Li, Y.M.; Liu, X.P.; Tao, J.F.; Liu, C.L.; Li, R.C. Fuzzy adaptive control method for autonomous rice seeder. Trans. Chin. Soc. Agric. Mach. 2018, 49, 30–37. (In Chinese) [Google Scholar]
  8. Tang, X.T.; Tao, J.F.; Li, Z.T.; Li, Y.M.; Liu, C.L. Fuzzy control optimization method for stability of path tracking system of automatic transplanter. Trans. Chin. Soc. Agric. Mach. 2018, 49, 29–34. (In Chinese) [Google Scholar]
  9. Agricultural machine path tracking method based on fuzzy adaptive pure pursuit model. Trans. Chin. Soc. Agric. Mach. 2018, 49, 29–34. (In Chinese)
  10. Lin, H.Z.; Li, Y.M.; Yuan, Z.H.; Wu, T.; Liu, C.L. Sliding mode anti-interference path tracking method for autonomous operation of paddy field plant protection machine. Trans. Chin. Soc. Agric. Mach. 2021, 59, 383–388. (In Chinese) [Google Scholar]
  11. Zhou, J.J.; Zhang, M.; Wang, M.H.; Liu, G.; Ji, C.F.; Zhang, Z.G. Path tracking for agricultural vehicle based on fuzzy control. Trans. Chin. Soc. Agric. Mach. 2009, 40, 151–156. (In Chinese) [Google Scholar]
  12. Jing, Y.P.; Liu, G.; Jin, Z.K. Adaptive guidance control method with sideslip estimation for land leveler pulling by tractor. Trans. Chin. Soc. Agric. Mach. 2020, 51, 26–33. (In Chinese) [Google Scholar]
  13. Yin, X.; Wang, Y.X.; Chen, Y.L.; Du, J. Development of autonomous navigation controller for agricultural vehicles. Int. J. Agric. Biol. Eng. 2020, 13, 70–76. [Google Scholar] [CrossRef]
  14. Li, T.C.; Hu, J.T.; Gao, L.; Liu, X.G.; Bai, X.P. Agricultural machine path tracking method irrelevant to travel speeds. Trans. Chin. Soc. Agric. Mach. 2014, 45, 59–65. (In Chinese) [Google Scholar]
  15. Zhang, H.Q.; Wang, G.D.; Lv, Y.F.; Qin, C.L.; Liu, L. Agricultural machinery automatic navigation control system based on improved pure tracking model. Nongye Jixie Xuebao/Trans. Chin. Soc. Agric. Mach. 2020, 51. (In Chinese) [Google Scholar]
  16. Ding, Y.C.; He, Z.B.; Xia, Z.Z.; Peng, J.Y.; Wu, T.H. Design of navigation immune controller of small crawler-type rape seeder. Trans. Chin. Soc. Agric. Eng. 2019, 35, 12–20. (In Chinese) [Google Scholar]
  17. Zhao, X.; Yang, Y.; Zhang, W.M.; Zeng, J. Sliding mode control algorithm for path tracking of articulated dump truck. Trans. Chin. Soc. Agric. Eng. 2015, 31, 198–203. (In Chinese) [Google Scholar]
  18. Ding, C.; Ding, S.H.; Wei, X.H.; Mei, K.Q. Composite SOSM controller for path tracking control of agricultural tractors subject to wheel slip. ISA Trans. 2022, 130, 389–398. [Google Scholar] [CrossRef]
  19. Utkin, V.I.; Poznyak, A.S. Adaptive sliding mode control with application to super-twist algorithm: Equivalent control method. Automatica 2013, 49, 39–47. [Google Scholar] [CrossRef]
  20. Ji, X.; Wei, X.H.; Wang, A.Z.; Song, Q. A novel composite adaptive terminal sliding mode controller for farm vehicles lateral path tracking control. Nonlinear Dyn. 2022, 110, 2415–2428. [Google Scholar] [CrossRef]
  21. Sun, H.; Li, S.; Sun, C. Finite time integral sliding mode control of hypersonic vehicles. Nonlinear Dyn. 2013, 73, 229–244. [Google Scholar] [CrossRef]
  22. Kavikumar, R.; Kwon, O.M.; Lee, S.H.; Sakthivel, R. Input-output finite-time IT2 fuzzy dynamic sliding mode control for fractional-order nonlinear systems. Nonlinear Dyn. 2022, 108, 3745–3760. [Google Scholar] [CrossRef]
  23. Ji, W.; Qiu, J.; Lam, H.K. Fuzzy-Affine-Model-Based Sliding-Mode Control for Discrete-Time Nonlinear 2-D Systems via Output Feedback. IEEE Trans. Cybern. 2021. [Google Scholar] [CrossRef] [PubMed]
  24. Zheng, E.H.; Xiong, J.J.; Luo, J.L. Second order sliding mode control for a quadrotor UAV. ISA Trans. 2014, 53, 1350–1356. [Google Scholar] [CrossRef] [PubMed]
  25. Yan, Z.; Wang, M.; Xu, J. Robust adaptive sliding mode control of underactuated autonomous underwater vehicles with uncertain dynamics. Ocean Eng. 2019, 173, 802–809. [Google Scholar] [CrossRef]
  26. Zhang, L.; Ding, H.; Shi, J.; Huang, Y.; Chen, H.; Guo, K.; Li, Q. An adaptive backstepping sliding mode controller to improve vehicle maneuverability and stability via torque vectoring control. IEEE Trans. Veh. Technol. 2020, 69, 2598–2612. [Google Scholar] [CrossRef]
  27. Levant, A.; Yu, X. Sliding-mode-based differentiation and filtering. IEEE Trans. Autom. Control 2018, 63, 3061–3067. [Google Scholar] [CrossRef]
  28. Levant, A. Higher-order sliding modes, differentiation and output-feedback control. Int. J. Control 2003, 76, 924–941. [Google Scholar] [CrossRef]
  29. Zhang, S.C.; Wei, X.H.; Lu, Z.M.; Ji, X. Design and verification of electric steering system for wheeled farm machinery. J. Agric. Mech. 2023, 45, 233–238. (In Chinese) [Google Scholar]
  30. Cui, B.B.; Wei, X.H.; Wu, S.H.; Xiao, J.M.; Chen, J.X.; Liao, W.J. Development of agricultural machinery self-driving software system based on dynamic path research. J. Agric. Mech. 2022, 44, 228–232. (In Chinese) [Google Scholar]
Figure 1. Schematic of tractor-trailer path tracking.
Figure 1. Schematic of tractor-trailer path tracking.
Applsci 13 00872 g001
Figure 2. Schematic of the proposed path tracking controller.
Figure 2. Schematic of the proposed path tracking controller.
Applsci 13 00872 g002
Figure 3. Membership functions: (a) s and s ˙ ; K 21 (b).
Figure 3. Membership functions: (a) s and s ˙ ; K 21 (b).
Applsci 13 00872 g003
Figure 4. The path tracking trajectories of the tractor-trailer: (a) the trajectory of the tractor; (b) the trajectory of the trailer.
Figure 4. The path tracking trajectories of the tractor-trailer: (a) the trajectory of the tractor; (b) the trajectory of the trailer.
Applsci 13 00872 g004
Figure 5. The vehicle states of the tractor-trailer: (a) the position error; (b) the heading error; (c) the articulated angle; (d) the sliding variable.
Figure 5. The vehicle states of the tractor-trailer: (a) the position error; (b) the heading error; (c) the articulated angle; (d) the sliding variable.
Applsci 13 00872 g005
Figure 6. The experimental platform.
Figure 6. The experimental platform.
Applsci 13 00872 g006
Figure 7. The driving trajectories of the tractor-trailer: (a) FSMC; (b) SMC.
Figure 7. The driving trajectories of the tractor-trailer: (a) FSMC; (b) SMC.
Applsci 13 00872 g007
Figure 8. The lateral errors of the tractor and trailer in three tests: (a) Test 1; (b) Test 1; (c) Test 3.
Figure 8. The lateral errors of the tractor and trailer in three tests: (a) Test 1; (b) Test 1; (c) Test 3.
Applsci 13 00872 g008
Table 1. The parameters in the tractor-trailer’s kinematic model.
Table 1. The parameters in the tractor-trailer’s kinematic model.
ParametersDescription
( x , y , θ ) Position at the center of the rear axle of the trailer
v Velocity of tractor-trailer
w Angular velocity of trailer
φ Articulated angle
L i ( i = 1 , 2 , 3 ) Vehicle lengths
δ The front wheel steering angle
Table 2. The fuzzy control rules.
Table 2. The fuzzy control rules.
s ˙ K 21
NBNMNSZOPSPMPB
NBLAMLMLMSMLMLLA
NMMLMLMSZMSMLML
NSMSMSLEZLEMSMS
ZOLAMLLEZLEMSLA
PSMSMSLEZLEMSMS
PMMLMLMSZMSMLML
PBLAMLMLMSMLMLLA
Table 3. Statistics of tractor path tracking error after going online.
Table 3. Statistics of tractor path tracking error after going online.
ControllerTractor’s Lateral Error (m)
MaxMinAve
SMC0.73−0.350.08
0.38−1.480.18
0.74−0.90.18
FSMC0.39−0.170.04
0.42−0.60.11
0.53−0.290.16
Table 4. Statistics of trailer path tracking error after going online.
Table 4. Statistics of trailer path tracking error after going online.
ControllerTrailer’s Lateral Error (m)
MaxMinAve
SMC0.75−0.460.14
0.44−1.510.19
0.75−0.450.19
FSMC0.35−0.230.09
0.45−1.350.12
0.6−0.290.17
Disclaimer/Publisher’s Note: The statements, opinions and data contained in all publications are solely those of the individual author(s) and contributor(s) and not of MDPI and/or the editor(s). MDPI and/or the editor(s) disclaim responsibility for any injury to people or property resulting from any ideas, methods, instructions or products referred to in the content.

Share and Cite

MDPI and ACS Style

Huang, W.; Ji, X.; Wang, A.; Wang, Y.; Wei, X. Straight-Line Path Tracking Control of Agricultural Tractor-Trailer Based on Fuzzy Sliding Mode Control. Appl. Sci. 2023, 13, 872. https://doi.org/10.3390/app13020872

AMA Style

Huang W, Ji X, Wang A, Wang Y, Wei X. Straight-Line Path Tracking Control of Agricultural Tractor-Trailer Based on Fuzzy Sliding Mode Control. Applied Sciences. 2023; 13(2):872. https://doi.org/10.3390/app13020872

Chicago/Turabian Style

Huang, Wenyue, Xin Ji, Anzhe Wang, Yefei Wang, and Xinhua Wei. 2023. "Straight-Line Path Tracking Control of Agricultural Tractor-Trailer Based on Fuzzy Sliding Mode Control" Applied Sciences 13, no. 2: 872. https://doi.org/10.3390/app13020872

APA Style

Huang, W., Ji, X., Wang, A., Wang, Y., & Wei, X. (2023). Straight-Line Path Tracking Control of Agricultural Tractor-Trailer Based on Fuzzy Sliding Mode Control. Applied Sciences, 13(2), 872. https://doi.org/10.3390/app13020872

Note that from the first issue of 2016, this journal uses article numbers instead of page numbers. See further details here.

Article Metrics

Back to TopTop