Next Article in Journal
Sound-to-Imagination: An Exploratory Study on Cross-Modal Translation Using Diverse Audiovisual Data
Previous Article in Journal
Evaluation of Removable Partial Denture Metal Frameworks Produced by Digital Methods—A Systematic Review
 
 
Font Type:
Arial Georgia Verdana
Font Size:
Aa Aa Aa
Line Spacing:
Column Width:
Background:
Article

Analysis and Optimization of Bending Vibration Modes of a Trilaminar Bending Ring Transducer with Unequal Diameters

1
State Key Laboratory of Acoustics, Institute of Acoustics, Chinese Academy of Sciences, Beijing 100190, China
2
University of Chinese Academy of Sciences, Beijing 100049, China
3
Beijing Deep Sea Drilling Measurement Engineering Technology Research Center, Beijing 100190, China
*
Author to whom correspondence should be addressed.
Appl. Sci. 2023, 13(19), 10832; https://doi.org/10.3390/app131910832
Submission received: 5 September 2023 / Revised: 26 September 2023 / Accepted: 27 September 2023 / Published: 29 September 2023
(This article belongs to the Section Acoustics and Vibrations)

Abstract

:
In this study, we propose a fast calculation method that utilizes Kirchhoff’s hypotheses and electroelasticity theory to derive the resonant frequency, antiresonant frequency, and effective electromechanical coupling coefficient of a trilaminar bending ring transducer with unequal diameters. The accuracy of the theoretical method is validated through finite element analysis (FEM) and experimental tests. Furthermore, we perform optimization of the effective electromechanical coupling coefficient of the first-order bending vibration of the trilaminar bending ring transducer. Our optimization results indicate that, under the free inner and fixed outer boundary conditions, the effective electromechanical coupling coefficient initially increases to a maximum value and then rapidly decreases as r1/r2 increases. This behavior can be attributed to the out-of-phase vibrations and the in-phase electric field excitation on both sides of the bending ring vibration nodal circle. Finally, we present the optimized size configuration required to achieve the maximum effective electromechanical coupling coefficient. This study provides theoretical guidance for the design and optimization of trilaminar bending ring transducers with unequal diameters and has the potential to significantly advance the field of crosswell seismic source technology.

1. Introduction

Crosswell seismic survey is a powerful method used in geophysics to obtain high-resolution geological profiles. It involves placing a seismic source in one well to generate seismic waves, while a geophone is placed in another well to capture the waves as they pass through the subsurface strata and reach the second well. By analyzing the recorded seismic data and performing inversion techniques, a detailed crosswell geological profile can be obtained [1]. Compared to traditional surface seismic surveys, crosswell seismic surveys offer significantly higher resolution, typically ranging from 10 to 100 times greater. This technique has found widespread applications in various geophysical fields, including subsurface reservoir monitoring [2,3,4], CO2 capture and sequestration [5,6], and geothermal reservoir exploration and evaluation [7]. To effectively conduct crosswell seismic surveys, it is necessary to use an acoustic source capable of transmitting low-frequency and high-power signals in a compact size [8,9,10].
Currently, the acoustic source used in crosswell seismic surveys often consists of multiple piezoelectric circular tubes connected to form an elongated cylindrical liquid cavity with open ends. The radial vibrations of the piezoelectric circular tubes are utilized to drive the vibration of the liquid cavity, enabling low-frequency emission [8], as shown in Figure 1a. However, this approach presents several challenges. Firstly, the acoustic source’s reliance on the vibration of the elongated liquid cavity results in an excessively long axial size, occupying valuable space within the well. This limitation hampers the practical implementation of crosswell seismic surveys. Secondly, the current method only utilizes the radial vibrations of the circular tubes to drive the liquid cavity’s vibrations. As a consequence, the sound power generated by the acoustic source within the well is insufficient, and the distance the seismic waves can penetrate through the strata between wells is limited. These limitations fall short of meeting the requirements of practical applications. To address these issues, innovative advancements are needed in the design and functionality of the crosswell seismic acoustic source. Such improvements should aim to reduce the axial size of the source while simultaneously increasing its sound power output. By doing so, the distance the seismic waves can effectively propagate between wells will be extended, resulting in enhanced performance that aligns with practical demands.
To address these challenges, an innovative approach is proposed in this study, as shown in Figure 1b. Firstly, a rigid cover plate is introduced at one end of the piezoelectric circular tube. This modification changes the previous boundary condition, which had both ends of the liquid cavity open, into a new boundary condition with one end open and one end closed. By simulating a boundary condition where one end is rigid and the other end is free, the resonant frequency in the axial direction of the liquid cavity in the piezoelectric tube is effectively reduced [11]. This solution overcomes the limitation of relying solely on the excessive length of the axial dimension to achieve a lower resonant frequency in the acoustic source within the well. Additionally, a trilaminar bending ring with a central hole is incorporated at the other end of the piezoelectric circular tube. This design enables the utilization of both the bending vibrations of the trilaminar bending ring and the radial vibrations of the piezoelectric circular tube to simultaneously drive the vibration of the liquid cavity. This combination of vibration modes enhances the overall vibration response of the liquid cavity, resulting in improved performance of the acoustic source. By implementing these modifications, the proposed approach aims to optimize the design of the crosswell seismic acoustic source. It effectively addresses the issues of excessive axial size and limited sound power, ultimately improving the penetration distance of the seismic waves through the subsurface strata between wells.
In practical applications, the outer diameter of the metal substrate is often larger than the outer diameter of the piezoelectric ceramic. This size difference allows for easy mounting of the trilaminar bending ring onto the liquid cavity. The resonance frequency of the bending ring transducer plays a crucial role in driving the vibration of the liquid cavity within the piezoelectric circular tube. When the resonance frequency of the bending ring transducer is closer to the resonance frequency of the liquid cavity, it results in a stronger amplification effect of the radiation sound field [12]. While several studies have investigated bending disc or ring transducers [13,14,15,16,17,18,19,20,21,22,23,24,25,26], most of them focused on deriving the resonant frequency and antiresonant frequency of disc or ring transducers with equal diameters. Consequently, when calculating the resonant frequencies of trilaminar bending ring transducers with unequal diameters, there can be a significant margin of error. Furthermore, previous studies have paid limited attention to the effective electromechanical coupling coefficient of the transducer. However, the effective electromechanical coupling coefficient of the bending ring transducer is closely linked to the amplification effect of the radiation sound field. Optimizing this coefficient is of great importance for the design of the crosswell seismic acoustic source. Therefore, the existing studies have certain limitations. They fail to accurately calculate the resonant frequency of trilaminar bending ring transducers with unequal diameters and do not optimize the effective electromechanical coupling coefficient of this specific model. In this research, we have addressed these limitations and conducted further investigations. These advancements constitute one of the innovative contributions of this study.
The aim of this study is to derive an analytical expression for the resonant frequency, antiresonant frequency, and effective electromechanical coupling coefficient of a trilaminar bending ring transducer with unequal diameters. The derivation is based on Kirchhoff’s hypotheses and classical electroelasticity theory, while the accuracy of the theoretical derivations is validated through finite element simulation (FEM) and experiment tests. Additionally, this paper optimizes the effective electromechanical coupling coefficients of the first-order bending vibration for the trilaminar bending ring transducer with unequal diameters by adjusting the thickness ratio and radius ratio between the metal substrate and the piezoelectric ceramic under different boundary conditions. Specifically, the study focuses on the variations of the effective electromechanical coupling coefficient with changes in the radius ratio (r1/r2) under the free inner and fixed outer boundary conditions. Notably, the study presents the theoretical derivations and optimization process and provides a physical explanation for the observed variations.

2. Model Description and Theoretical Analysis

The structure of the trilaminar bending ring with unequal diameters studied in this article is shown in Figure 2. The structure consists of three layers: the middle layer is the metal substrate ring, and the top and bottom layers are the piezoelectric ceramic rings. The inner diameters of the metal substrate and piezoelectric rings are equal, and the outer diameter of the metal ring is larger than the outer diameter of the piezoelectric ring for engineering assembly convenience. Both piezoelectric ceramic rings are polarized in the thickness direction (as indicated by the arrows in Figure 2a) and exhibit isotropic behavior in the transverse direction. The top and bottom surfaces of the piezoelectric ceramic ring are covered by electrodes. The piezoelectric ceramic rings are electrically connected in parallel, as shown in Figure 2a.
A cylindrical coordinate system ( r , θ , z ) is established to facilitate the following discussion. Note that the r-axis is in the direction of 1, the θ -axis is in the direction of 2, and the z-axis is in the direction of 3. Take the r θ -plane as the middle plane of the ring, and the z-axis is perpendicular to the middle plane. The inner radius, outer radius, thickness of the piezoelectric ceramic and the metal substrate, as well as the total thickness of the trilaminar bending ring, are denoted by r 0 , r 1 , h p , r 2 , h m , and h , respectively. As shown in Figure 2a, the trilaminar bending ring with unequal diameters consists of two parts. This first part is an equal-diameter trilaminar composite ring composed of a piezoelectric ceramic and metal substrate, and the second part is a metal substrate ring.
Assuming that the small deflection problem of the thin plate is discussed, that is, the outer diameter of the trilaminar bending ring is much larger than its thickness, and the deflection of the trilaminar bending ring is much smaller than its thickness. Therefore, Kirchhoff’s hypotheses can be used to analyze the bending vibration characteristics of the trilaminar bending ring. Kirchhoff’s hypotheses include the following three: The first hypothesis is the straight line perpendicular to the midplane before the deformation of the thin plate, which is still a straight line and perpendicular to the midplane of the thin plate after the deformation, so the strain component S r z = S θ z = S z = 0 . The second hypothesis is on any line perpendicular to the thin plate, the displacement in the z direction of the thin plate is equal, so the deflection w = w ( r , θ ) . The third hypothesis is that the points inside the midplane of the thin plate have no displacement parallel to the midplane, so the displacement of each point inside the midplane of the thin plate is in the r and θ directions u = v = 0 .
Furthermore, assuming that the problem under discussion is axisymmetric, that is, considering that the force on the thin plate is symmetric to the z-axis and the bending of the thin plate is symmetric to the z-axis, we can correlate u = u ( r ) , v = 0 , w = w ( r ) .
In the composite layer segment, the piezoelectric Equations of the piezoelectric ceramic [27] are
T 1 = 1 s 11 D ( 1 σ 2 ) S 1 + σ s 11 D ( 1 σ 2 ) S 1 1 s 11 D ( 1 σ 2 ) D 3 T 2 = σ s 11 D ( 1 σ 2 ) S 1 + 1 s 11 D ( 1 σ 2 ) S 1 1 s 11 D ( 1 σ 2 ) D 3 E 3 = g 31 s 11 D ( 1 σ ) S 1 g 31 s 11 D ( 1 σ ) S 2 + β ¯ 33 ,
where σ = s 11 D / s 12 D denotes Poisson’s ratio of piezoelectric materials at a constant electrical displacement, s 11 D and s 12 D denote the compliance coefficients of piezoelectric materials, β ¯ 33 = β 33 T / ( 1 k p 2 ) , β 33 T denotes the dielectric impermeability at a constant stress field, k p denotes the plane electromechanical coupling coefficient, E 3 denotes the electric field component, D 3 denotes the electric displacement component, T 1 and T 2 denote the stress components of the composite layer, S 1 and S 2 denote the strain components, and g 31 denotes the piezoelectric coefficient.
In the metal substrate segment, the strain and stress Equations [27] for the metal substrate are
T 1 = E m 1 σ m 2 ( S 1 + σ m S 2 ) T 2 = E m 1 σ m 2 ( σ m S 1 + S 2 ) ,
where T 1 and T 2 are the stress components of the metal substrate, E m is Young’s modulus of the metal substrate, and σ m is Poisson’s ratio of the metal substrate.
Considering Kirchhoff’s hypotheses and axisymmetric problem hypotheses, the strain components can be reduced to the following form:
S 1 = z 2 w r 2 S 2 = z 1 r w r ,
For the composite layer segment, the bending moment per unit width can be expressed as
M r = h m 2 h m 2 T 1 z d z + h m 2 h 2 T 1 z d z + h 2 h m 2 T 1 z d z M θ = h m 2 h m 2 T 2 z d z + h m 2 h 2 T 2 z d z + h 2 h m 2 T 2 z d z ,
where M r and M θ are the bending moments in the r direction and z direction respectively.
Substitution of Equations (1) and (3) into Equation (4) leads to
M r = E m h m 3 12 ( 1 σ m 2 ) 2 w r 2 + σ m 1 r w r h 3 h m 3 12 s 11 D ( 1 σ 2 ) 2 w r 2 + σ r w r g 31 ( h 2 h m 2 ) 4 s 11 D ( 1 σ ) D 3 M θ = E m h m 3 12 ( 1 σ m 2 ) σ m 2 w r 2 + 1 r w r h 3 h m 3 12 s 11 D ( 1 σ 2 ) σ 2 w r 2 + 1 r w r g 31 ( h 2 h m 2 ) 4 s 11 D ( 1 σ ) D 3 ,
For the metal substrate segment, the bending moment per unit width is
M r = h m 2 h m 2 T 1 z d z M θ = h m 2 h m 2 T 2 z d z ,
Insertion of Equations (2) and (3) into Equation (6) leads to
M r = E m h m 3 12 ( 1 σ m 2 ) 2 w r 2 + σ m 1 r w r M θ = E m h m 3 12 ( 1 σ m 2 ) σ m 2 w r 2 + 1 r w r ,
For a thin plate, its moment of inertia can be ignored. Therefore, the moment balance Equation can be used instead of the rotation Equation, in which case the moment balance Equation is
M r r + M r M θ r = Q r ,
where Q r is the transverse-shear force in the r direction.
Substituting Equations (5) and (7) into Equation (8), the transverse-shear Q r per unit width of the composite layer segment and the transverse-shear Q r per unit width of the metal substrate segment can be expressed, respectively, as
Q r = E m h m 3 12 ( 1 σ m 2 ) r 2 w r 2 + 1 r w r h 3 h m 3 12 s 11 D ( 1 σ 2 ) r 2 w r 2 + 1 r w r g 31 ( h 2 h m 2 ) 4 s 11 D ( 1 σ ) D 3 r ,
Q r = E m h m 3 12 ( 1 σ m 2 ) r 2 w r 2 + 1 r w r ,
Integrating the third Equation of Equation (1) over the interval [ h m / 2 , h / 2 ] for z, we arrive at
D 3 = 2 V β 33 ¯ ( h h m ) g 31 ( h + h m ) 4 β 33 ¯ s 11 D ( 1 σ ) 2 w r 2 + 1 r w r ,
According to the knowledge of elastic mechanics, when the trilaminar bending ring is not subjected, the motion Equation of the composite layer segment along the z-axis can be written as
Q r r + Q r r = ρ h 2 w t 2 ,
Substituting Equation (11) into Equation (9) and then into the motion Equation (12), the motion Equation of the composite layer segment expressed in terms of deflection w can be obtained:
4 w k 1 4 w = 0 ,
where 4 = 2 r 2 + 1 r r 2 , k 1 4 = ρ h D c ω 2 , ρ denotes the density of the piezoelectric materials, in which
D c = E m h m 3 12 ( 1 σ m 2 ) + h 3 h m 3 12 s 11 D ( 1 σ 2 ) g 31 2 ( h 2 h m 2 ) ( h h m ) 16 ( s 11 D ) 2 ( 1 σ ) 2 β 33 ¯ ,
Similarly, the motion Equation of the metal substrate segment can be expressed as
4 w k 2 4 w = 0 ,
where 4 = 2 r 2 + 1 r r 2 , k 2 4 = ρ m h m D m ω 2 , ρ m denotes the density of the metal substrate, where
D m = E m h m 3 12 ( 1 σ m 2 ) ,
The general solutions of Equations (13) and (15) can be respectively expressed as follows:
w 1 = A 1 J 0 ( k r ) + B 1 Y 0 ( k r ) + C 1 I 0 ( k r ) + D 1 K 0 ( k r ) ,
w 2 = A 2 J 0 ( k r ) + B 2 Y 0 ( k r ) + C 2 I 0 ( k r ) + D 2 K 0 ( k r ) ,
where J 0 and Y 0 are the Bessel functions of the first and second kinds of order zero, respectively, and I 0 and K 0 are the modified Bessel functions of the first and second kinds of order zero, respectively.
For the free inner and fixed outer of the trilaminar bending ring with unequal diameters, the mechanical boundary conditions are
M r | r = r 0 = 0 ,   Q r | r = r 0 = 0 ,   w 2 | r = r 2 = 0 ,   w 2 r | r = r 2 = 0 ,
For the fixed inner and free outer of the trilaminar bending ring with unequal diameters, the mechanical boundary conditions are
w 1 | r = r 0 = 0 ,   w 1 r | r = r 0 = 0 ,   M r | r = r 2 = 0 ,   Q r | r = r 2 = 0 ,
For the free inner and free outer of the trilaminar bending ring with unequal diameters, the mechanical boundary conditions are
M r | r = r 0 = 0 ,   Q r | r = r 0 = 0 ,   M r | r = r 2 = 0 ,   Q r | r = r 2 = 0 ,
For the free inner and supportive outer of the trilaminar bending ring with unequal diameters, the mechanical boundary conditions are:
M r | r = r 0 = 0 ,   Q r | r = r 0 = 0 ,   w 2 | r = r 2 = 0 ,   M r | r = r 2 = 0 ,
Then, according to the deflection, angle, bending moment, and transverse-shear force at the intersection of the composite layer and the metal substrate, the connection conditions at r = r 1 are
w 1 | r = r 1 = w 2 | r = r 1 ,   w 1 r | r = r 1 = w 2 r | r = r 1 ,   M r | r = r 1 = M r | r = r 1 ,   Q r | r = r 1 = Q r | r = r 1 ,
The eight coefficients of the general solution (17) and the general solution (18) can be obtained using the boundary and connection conditions. To this end, by substituting the general solution (17) and the general solution (18) into the boundary conditions (19)–(22) and the connection conditions (23), the system of linear Equation (24) can be obtained, and I11I88 under different boundary conditions are given in Appendix A and Appendix B.
I 11 I 12 I 13 I 14 I 21 I 22 I 23 I 24 I 31 I 32 I 33 I 34 I 41 I 42 I 43 I 44 0 0 0 0 0 0 0 0 I 35 I 36 I 37 I 38 I 45 I 46 I 47 I 48 I 51 I 52 I 53 I 54 I 61 I 62 I 63 I 64 0 0 0 0 0 0 0 0 I 55 I 56 I 57 I 58 I 65 I 66 I 67 I 68 I 75 I 76 I 77 I 78 I 85 I 86 I 87 I 88 A 1 B 1 C 1 D 1 A 2 B 2 C 3 D 4 = g 31 ( h + h m ) V / ( 2 s 11 D ( 1 σ ) β 33 ¯ ) 0 0 0 g 31 ( h + h m ) V / ( 2 s 11 D ( 1 σ ) β 33 ¯ ) 0 0 0 ,
Complicated operations are required to solve the system of Equation (24). However, as long as the material and dimensions of the trilaminar bending ring with unequal diameters are given, the numerical solution can be obtained. When the electric end short circuits (V) = 0, the coefficient determinant (det([I])) = 0 of the system of Equation (24) is the resonant frequency Equation of the trilaminar bending ring with unequal diameters, and the free vibration frequency (f = fr) is the resonant frequency.
When the electric end is open (Q = 0), the free vibration frequency (f = fa) of the trilaminar bending ring is called the antiresonant frequency.
Integrating the potential shift (D3) over the piezoelectric ceramic area yields the following:
Q = 2 a 0 a 1 2 π r D 3 d r = 4 π V ( a 1 2 a 0 2 ) ( h h m ) β 33 ¯ g 31 ( h + h m ) π β 33 ¯ s 11 D ( 1 σ ) a 0 a 1 2 w r 2 + 1 r w r r d r ,
The system of Equation (24) becomes the system of Equation (26). I 11 I 88 under different boundary conditions is given in Appendix A and Appendix B, so that the coefficients of the changed system of Equation (26) determinant det([I′]) = 0, and the solution f = fa is the antiresonant frequency of the trilaminar bending ring with unequal diameters.
I 11 I 12 I 13 I 14 I 21 I 22 I 23 I 24 I 31 I 32 I 33 I 34 I 41 I 42 I 43 I 44 0 0 0 0 0 0 0 0 I 35 I 36 I 37 I 38 I 45 I 46 I 47 I 48 I 51 I 52 I 53 I 54 I 61 I 62 I 63 I 64 0 0 0 0 0 0 0 0 I 55 I 56 I 57 I 58 I 65 I 66 I 67 I 68 I 75 I 76 I 77 I 78 I 85 I 86 I 87 I 88 A 1 B 1 C 1 D 1 A 2 B 2 C 2 D 2 = 0 0 0 0 0 0 0 0 ,
The effective electromechanical coupling coefficient (keff) is a physical quantity measuring the degree of mutual coupling of energy in the energy conversion process of the transducer, from which many important characteristics of the transducer can be obtained, such as the electric limit power, acoustic limit power, and the best quality factor. Therefore, it is a comprehensive index to evaluate the transducer.
Assuming that the electrical losses in bending vibration of the trilaminar bending ring with unequal diameters are small, the effective electromechanical coupling coefficient can be estimated using the following Equation according to the IEEE standard definition [27].
k e f f = f a 2 f r 2 f a 2 ,
Substituting the resonant frequency (fr) and the antiresonant frequency (fa) of the bending vibration of the trilaminar bending ring with unequal diameters obtained above into Equation (27), the effective electromechanical coupling coefficient of the bending vibration of the trilaminar bending ring with unequal diameters can be obtained.

3. Validation of the Theory

In this part, finite element simulation and experimental tests are utilized to verify the correctness of the theoretical derivations in the second part, respectively.

3.1. Validation of the Theory through Finite Element Method

The accuracy of the theoretical derivation can be verified through the finite element method. In this case, we utilized the “Piezoelectric, Solid” Module of the finite element software COMSOL 6.0 to construct a two-dimensional axisymmetric model of a trilaminar bending ring with unequal diameters, as illustrated in Figure 3. The model consists of 804 solid elements and 928 nodes. The element type is quadrilateral. The piezoelectric ceramic ring and the metal substrate ring are hard connected. Furthermore, in this setup, no voltage excitation is applied to the piezoelectric ceramic ring. The model incorporates PZT-4 ceramic material for the ceramic component and aluminum alloy 6061 material for the metal substrate. The material parameters for PZT-4 are referenced from ref. [28], while the material parameters for aluminum alloy 6061 can be found in Table 1. The structural dimensions of the model are presented in Table 2.
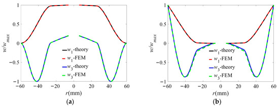
Sequentially, various boundary conditions, including free inner and fixed outer, fixed inner and free outer, free inner and free outer, and free inner and supportive outer, are applied to the model. Subsequently, eigenfrequency analysis is conducted to determine the resonant frequencies and antiresonant frequencies of the first-order and third-order bending vibrations under different boundary conditions. Additionally, displacement distribution curves for the first-order and third-order bending vibrations of the model are extracted. Similarly, the resonant frequencies, antiresonant frequencies, and displacement distribution curves of the model are calculated using the theoretical formulas in the second part.
Table 3 presents a comparison between the finite element results and theoretical calculation results for the resonant frequencies and antiresonant frequencies. In Table 3, fr1 and fr3 denote the first-order and third-order resonant frequencies, and fa1 and fa3 denote the first-order and third-order antiresonant frequencies, respectively. The data shows that the discrepancy between the two sets of results is minimal, providing confirmation of the accuracy of the proposed theory. Notably, the errors in the third-order resonant frequencies are larger than those of the first-order resonant frequencies. This variation can be attributed to the relatively shorter wavelength at higher frequencies, resulting in a more pronounced error stemming from Kirchhoff’s hypotheses. Furthermore, Figure 4 illustrates a comparison of the displacement distribution curves between the finite element results and the theoretical calculation results. It provides visual evidence of a strong agreement between the two sets of results. The high agreement between the finite element simulation results and the theoretical calculation results verifies the correctness of the proposed theoretical derivation.

3.2. Validation of the Theory through Experimental Test

To verify the accuracy of the theoretical derivation, an experimental test was conducted on a trilaminar bending ring with unequal diameters prototype, as shown in Figure 5. The prototype consisted of a PZT-4 ceramic material and an aluminum alloy 6061 metal substrate. The structural dimensions of the prototype can be found in Table 4.
The prototype was placed on soft foam to simulate the free inner and free outer boundary conditions, and its conductance curve was tested by using the impedance analyzer (Agilent 4294A). Simultaneously, a corresponding two-dimensional axisymmetric finite element model was developed using the “Piezoelectric, Solid” Module of the finite element software COMSOL. Figure 6 illustrates the configuration of the model, which encompasses 596 quadrilateral solid elements and 783 nodes. The polarization direction of both piezoelectric ceramic rings is parallel to the thickness direction (as indicated by the arrows in Figure 6). The bottom surface of the upper piezoelectric ceramic ring and the top surface of the lower piezoelectric ceramic ring are grounded (represented by the blue line in Figure 6). A simple harmonic alternating voltage of 1V is applied to the top surface of the upper piezoelectric ceramic ring and the bottom surface of the lower piezoelectric ceramic ring (represented by the red line in Figure 6). A hard connection exists between the ceramic and metal substrate. Importantly, no specific boundary conditions are imposed on the inner and outer circumferential surfaces of the model to simulate the free boundary (depicted by the green line in Figure 6). Subsequently, a harmonic response analysis is conducted on the model to obtain the simulated conductance curve.
Figure 7 shows the comparison between the test results and the finite element simulation results. It is evident that the test result of the conductance curve is in good agreement with the simulation result. The frequencies corresponding to the two peaks of the conductance curve represent the first-order and third-order bending resonant frequencies of the prototype, respectively. Further comparison of the resonant frequencies is shown in Table 5, which includes the theoretical calculation results, finite element simulation results, and experimental test results. In Table 5, fr1 and fr3 denote the first-order and third-order resonant frequencies, error 1 denotes the error between theoretical calculation and finite element simulation, and error 2 denotes the error between theoretical calculation and experimental test, respectively. The errors between these results are very small, providing further validation of the accuracy of the theoretical derivation.

4. Optimization of Effective Electromechanical Coupling Coefficients

The effective electromechanical coupling coefficient is a crucial factor in evaluating the electromechanical conversion capability of a transducer. Generally, a larger effective electromechanical coupling coefficient indicates a higher conversion capability. Particularly, when used as the driving source for the vibration of the liquid cavity in the piezoelectric circular tube, the effective electromechanical coupling coefficient of the bending ring transducer is closely related to the amplification effect of the radiated sound field.
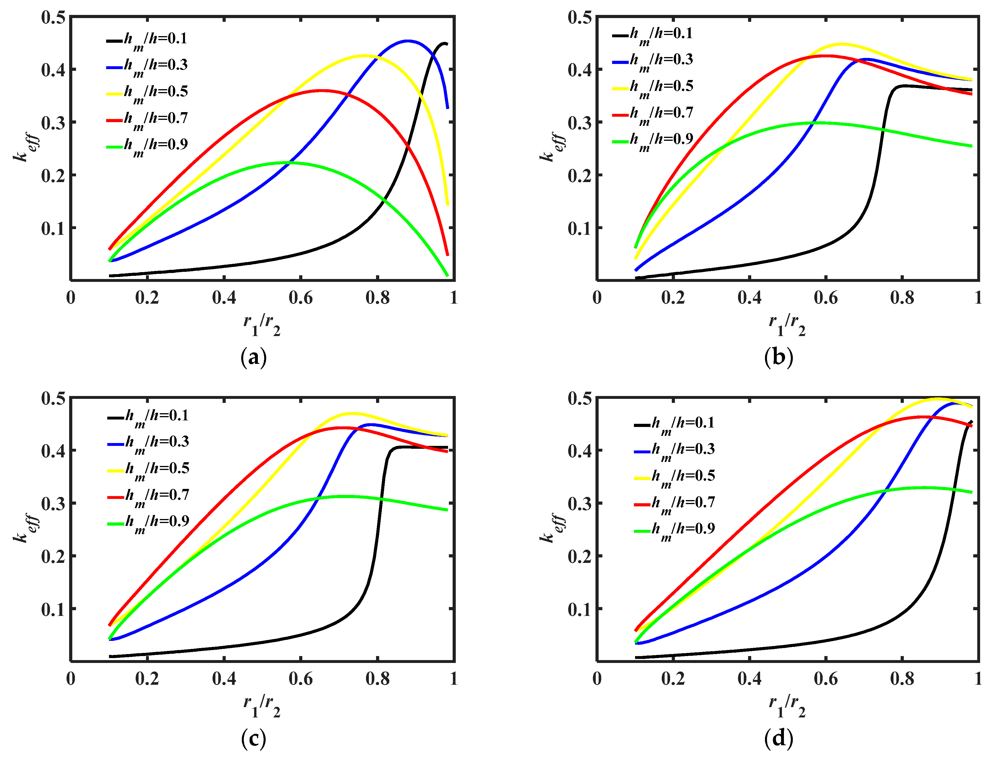
In the development of bending ring transducers, typically, only the first-order bending vibration modes of the transducers are of concern. Therefore, this section aims to optimize the effective electromechanical coupling coefficients (keff) of the first-order bending vibration modes of the trilaminar bending ring with unequal diameters under different boundary conditions. The variation law of the keff for the radius ratio is analyzed, with particular emphasis on the case of free inner and fixed outer boundary conditions, and the physical mechanism contributing to this variation is investigated.
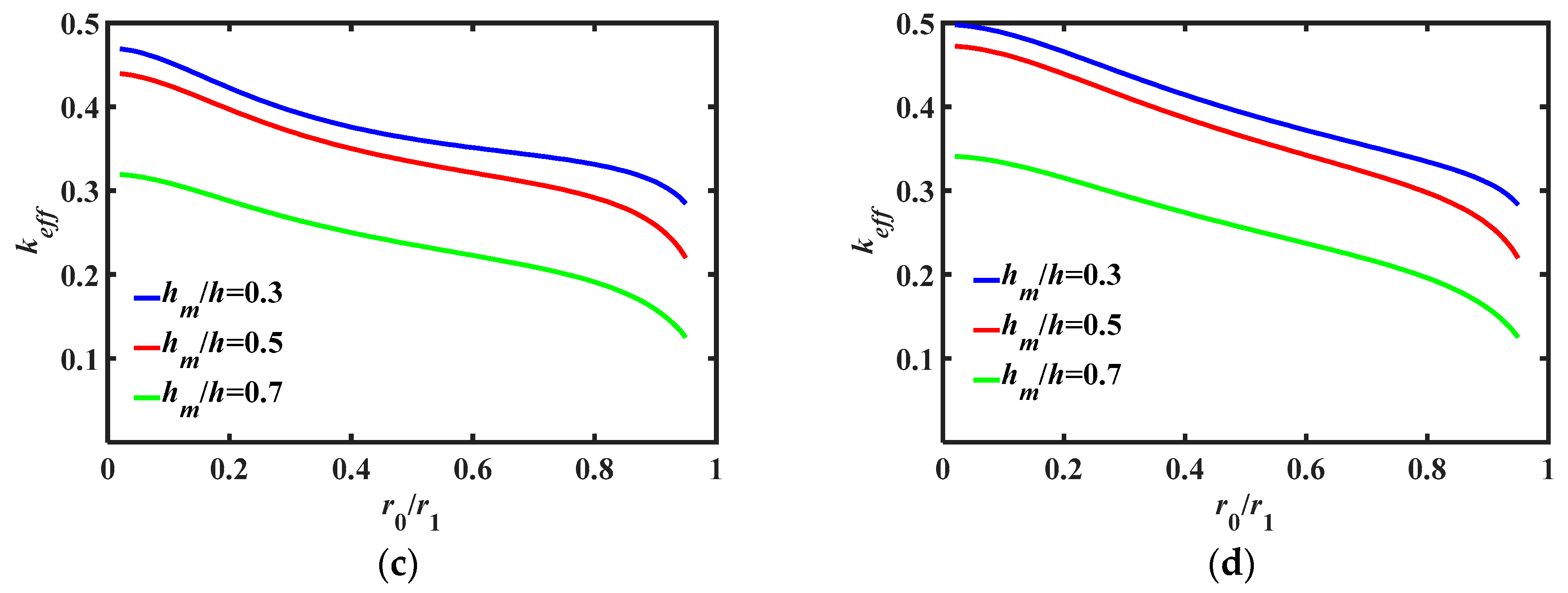
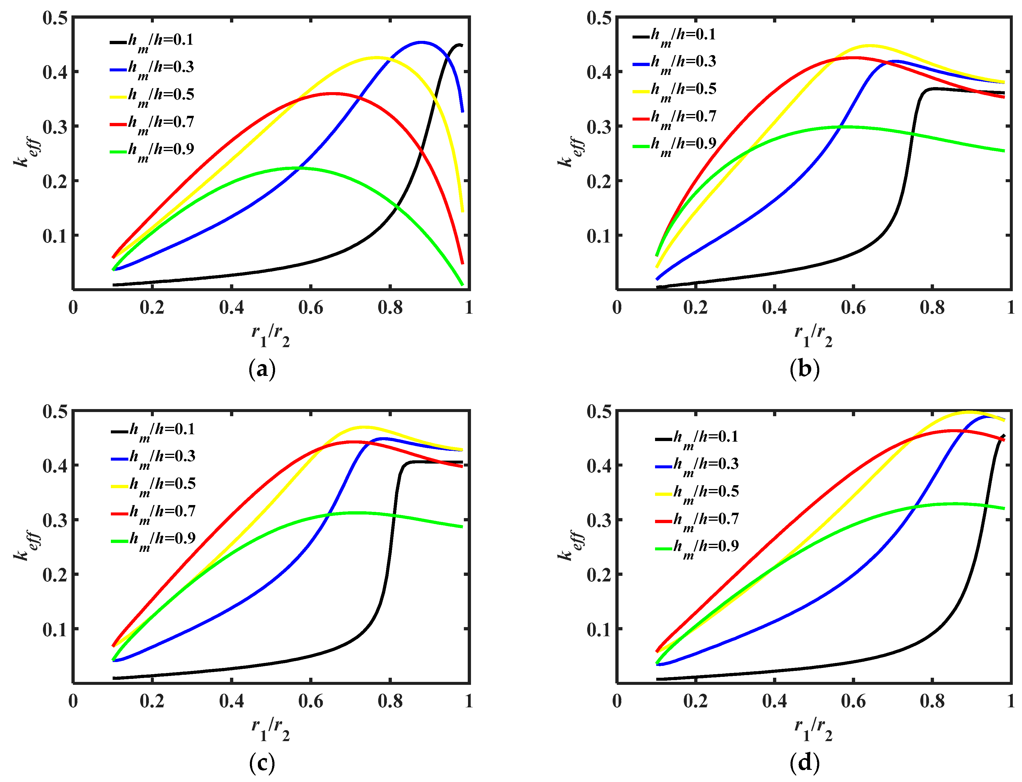
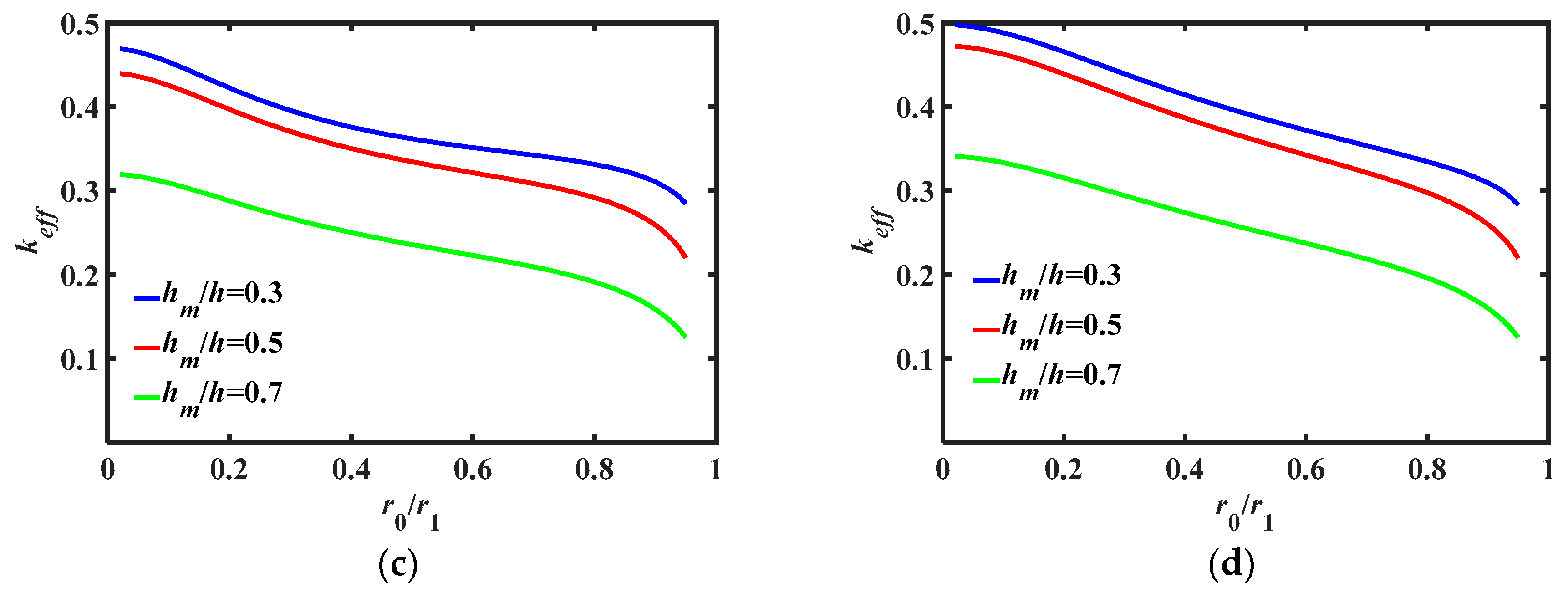
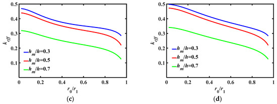
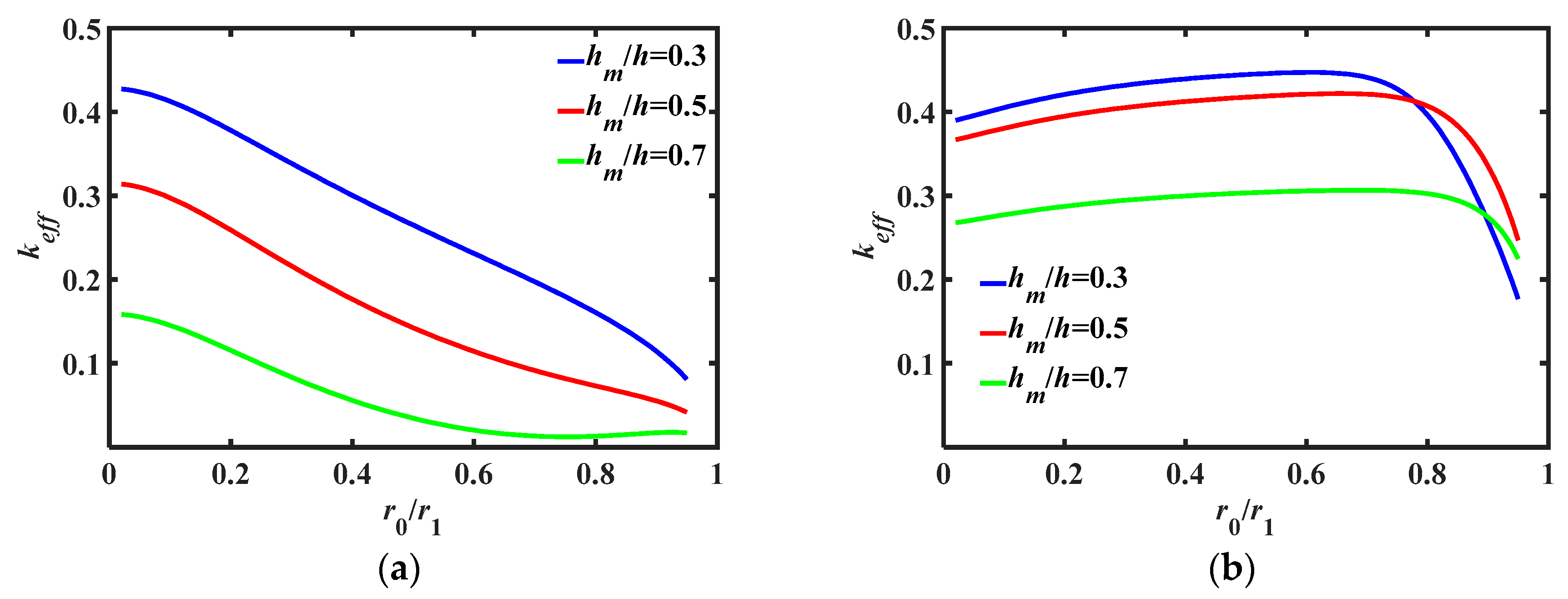
To maintain the overall size of the crosswell seismic acoustic source and facilitate the assembly of the trilaminar bending ring with unequal diameters onto a piezoelectric tube, the total diameter (or diameter of the metal substrate) of the trilaminar bending ring with unequal diameters is kept constant. With the outer radius of the trilaminar bending ring with unequal diameters of 60 mm, the outer radius of the ceramic 50 mm, and the total thickness of 7.5 mm remaining unchanged, the effective electromechanical coupling coefficient (keff) of the first-order bending vibration versus thickness ratio (hm/h) and radius ratio (r0/r1) under different boundary conditions are calculated, and the results are shown in Figure 8.
The results shown in Figure 8a,c,d demonstrate that the value of keff grows along with the decrease in the inner radius r0 under the free inner and fixed outer, the free inner and free outer, and the free inner and supportive outer boundary conditions. Figure 8b shows that under the fixed inner and free outer boundary condition, with the increase in inner radius (r0), keff reaches its peak slowly, then rapidly decreases, and the peak appears at different locations for different thickness ratios.
With the outer radius of 60 mm, inner radius of 5 mm, and a total thickness of 7.5 mm of the trilaminar bending ring with unequal diameters unchanged, the effective electromechanical coupling coefficient (keff) of the first-order bending vibration versus thickness ratio (hm/h) and radius ratio (r1/r2) under different boundary conditions are calculated to get the optimal thickness ratio and outer radius ratio, and the results are shown in Figure 8.
Figure 9 shows that the changing trend of keff with the outer radius ratio (r1/r2) is different, and the maximum value appears in different positions under different boundary conditions. As the outer radius ratio (r1/r2) increases, the keff under different boundary conditions first increases to the maximum value and then decreases at different speeds. The fixed inner and free outer boundary first appear as the maximum, the free inner and free outer boundary is second, the free inner and supportive outer boundary is next, and the free inner and fixed outer boundary finally appear as the maximum. Further analysis shows that under the free inner and fixed outer boundary, when the thickness ratio (hm/h) = 0.3 and the outer radius ratio (r1/r2) = 0.88, keff reaches a maximum value of 0.45. Under the fixed inner and free outer boundary, when the thickness ratio (hm/h) = 0.5 and the outer radius ratio (r1/r2) = 0.65, keff reaches a maximum value of 0.45. Under the free inner and free outer boundary, when the thickness ratio (hm/h) = 0.5 and the outer radius ratio (r1/r2) = 0.74, keff reaches a maximum value of 0.47. Under the free inner and supportive outer boundary, when the thickness ratio (hm/h) = 0.5 and the outer radius ratio (r1/r2) = 0.89, keff reaches a maximum value of 0.50.
In particular, when used as a driving source for the vibration of the liquid cavity in the piezoelectric circular tube, the outer boundary of the trilaminar bending ring transducer with unequal diameters is clamped on one end of the piezoelectric circular tube and its boundary condition is approximated as free inner and fixed outer. As shown in Figure 9a, the keff decreases monotonically with the increase in r0/r1, which is possibly due to the reduction in the piezoelectric ceramic. Therefore, to maximize keff, a smaller inner radius for the trilaminar bending ring transducer with unequal diameters should be considered. As shown in Figure 9a, with the increase in r1/r2, the keff initially increases to the maximum value and then rapidly decreases. This is because the first-order bending vibration has a nodal circle. When the outer radius of the piezoelectric ceramic does not cross the nodal circle, both the piezoelectric ceramic vibration and electric field excitation are in phase, resulting in an increase in keff as the outer radius of the piezoelectric ceramic increases. However, when the outer radius of the piezoelectric ceramic crosses the nodal circle, the piezoelectric ceramic vibration on both sides of the nodal circle is out of phase, while the electric field excitation is in phase. Consequently, the excitation of the piezoelectric ceramic is partially suppressed, and keff subsequently decreases. Hence, it is preferable to avoid the outer radius of the piezoelectric ceramic from crossing the vibration nodal circle as much as possible to maximize keff.

5. Conclusions

In this study, a rapid calculation method based on Kirchhoff’s hypotheses and classical electroelasticity theory was proposed. This method allows for the swift computation of the resonant frequency, antiresonant frequency, and effective electromechanical coupling coefficient of the trilaminar bending ring with unequal diameters under different boundary conditions. Remarkably, this approach can save significant time compared to using the finite element method.
Moreover, the study optimizes the effective electromechanical coupling coefficients (keff) of the first-order bending vibration of the trilaminar bending ring transducer with unequal diameters under different boundary conditions by adjusting the thickness ratio and radius ratio between the metal substrate and the piezoelectric ceramic. Specifically, under the free inner and fixed outer boundary condition, keff initially increases to a maximum value and then rapidly decreases as the radius ratio (r1/r2) increases. This behavior can be attributed to the presence of a nodal circle in the first-order bending vibration of the trilaminar bending ring with unequal diameters. The vibration of the piezoelectric ceramic on both sides of the nodal circle is out of phase, whereas the electric field excitation is in phase, leading to partial suppression of the piezoelectric ceramic’s vibration. This outcome distinguishes it from the trilaminar bending ring with equal diameters [13]. This finding is crucial for unveiling the bending vibration mechanism of the trilaminar bending ring with unequal diameters.
Additionally, the study found that the maximum effective electromechanical coupling coefficient of the trilaminar bending ring with unequal diameters is obtained around a thickness ratio (hm/h) of 0.3 and an outer radius ratio (r1/r2) of 0.9 under the free inner and fixed outer boundary condition. This result is crucial for the design of the crosswell seismic acoustic source and could contribute to improving their acoustic radiation performance.
In summary, this study establishes a solid theoretical foundation for the design and optimization of trilaminar bending ring transducers with unequal diameters. By providing a comprehensive understanding of the resonant frequency, antiresonant frequency, and effective electromechanical coupling coefficient, our research offers valuable insights into improving the performance and efficiency of the transducers for actuating the crosswell seismic source. The findings have practical implications for enhancing the accuracy and resolution of crosswell seismic surveys, thereby facilitating more precise subsurface imaging and exploration. Ultimately, this study paves the way for advancements in the field of crosswell seismic acoustic source technologies.

Author Contributions

Conceptualization, C.Z.; methodology, C.Z.; software, C.Z.; validation, C.Z. and Y.Z.; formal analysis, C.Z.; investigation, C.Z. and Y.Z.; resources, Y.D. and Y.Z.; data curation, C.Z.; writing—original draft preparation, C.Z.; writing—review and editing, C.Z., Y.Z. and X.Z.; visualization, J.Z.; supervision, X.Z.; project administration, Y.D. and Y.Z.; funding acquisition, Y.D. and Y.Z. All authors have read and agreed to the published version of the manuscript.

Funding

This research was funded by the National Natural Science Foundation of China (Grant Nos. 52227901, 12274432, and 42127807).

Institutional Review Board Statement

Not applicable.

Informed Consent Statement

Not applicable.

Data Availability Statement

Not applicable.

Conflicts of Interest

The authors declare no conflict of interest.

Appendix A

I 11 I 24 , I 75 I 88 in det([I]) and I 11 I 24 , I 75 I 88 in det([I′]) are mechanical boundary conditions.
For the free inner and fixed outer, I 11 I 24 , I 75 I 88 , I 11 I 24 and I 75 I 88 are
I 11 = E m h m 3 12 ( 1 σ m 2 ) ( 1 σ m ) r 0 k 1 J 1 ( k 1 r 0 ) k 1 2 J 0 ( k 1 r 0 ) h 3 h m 3 12 s 11 D ( 1 σ 2 ) ( 1 σ ) r 0 k 1 J 1 ( k 1 r 0 ) k 1 2 J 0 ( k 1 r 0 ) g 31 2 ( h 2 h m 2 ) ( h h m ) 16 ( s 11 D ) 2 ( 1 σ ) 2 β 33 ¯ k 1 2 J 0 ( k 1 r 0 ) ,
I 12 = E m h m 3 12 ( 1 σ m 2 ) ( 1 σ m ) r 0 k 1 Y 1 ( k 1 r 0 ) k 1 2 Y 0 ( k 1 r 0 ) h 3 h m 3 12 s 11 D ( 1 σ 2 ) ( 1 σ ) r 0 k 1 Y 1 ( k 1 r 0 ) k 1 2 Y 0 ( k 1 r 0 ) g 31 2 ( h 2 h m 2 ) ( h h m ) 16 ( s 11 D ) 2 ( 1 σ ) 2 β 33 ¯ k 1 2 Y 0 ( k 1 r 0 ) ,
I 13 = E m h m 3 12 ( 1 σ m 2 ) ( σ m 1 ) r 0 k 1 I 1 ( k 1 r 0 ) + k 1 2 I 0 ( k 1 r 0 ) h 3 h m 3 12 s 11 D ( 1 σ 2 ) ( σ 1 ) r 0 k 1 I 1 ( k 1 r 0 ) + k 1 2 I 0 ( k 1 r 0 ) + g 31 2 ( h 2 h m 2 ) ( h h m ) 16 ( s 11 D ) 2 ( 1 σ ) 2 β 33 ¯ k 1 2 I 0 ( k 1 r 0 )
I 14 = E m h m 3 12 ( 1 σ m 2 ) ( 1 σ m ) r 0 k 1 K 1 ( k 1 r 0 ) + k 1 2 K 0 ( k 1 r 0 ) h 3 h m 3 12 s 11 D ( 1 σ 2 ) ( 1 σ ) r 0 k 1 K 1 ( k 1 r 0 ) + k 1 2 K 0 ( k 1 r 0 ) + g 31 2 ( h 2 h m 2 ) ( h h m ) 16 ( s 11 D ) 2 ( 1 σ ) 2 β 33 ¯ k 1 2 K 0 ( k 1 r 0 )
I 21 = I 21 = D c k 1 3 J 1 ( k 1 r 0 )
I 22 = I 22 = D c k 1 3 Y 1 ( k 1 r 0 )
I 23 = I 23 = D c k 1 3 I 1 ( k 1 r 0 )
I 24 = I 24 = D c k 1 3 K 1 ( k 1 r 0 )
I 75 = I 75 = J 0 ( k 2 r 2 )
I 76 = I 76 = Y 0 ( k 2 r 2 )
I 77 = I 77 = I 0 ( k 2 r 2 )
I 78 = I 78 = K 0 ( k 2 r 2 )
I 85 = I 85 = k 2 J 0 ( k 2 r 2 )
I 86 = I 86 = k 2 Y 0 ( k 2 r 2 )
I 87 = I 87 = k 2 I 0 ( k 2 r 2 )
I 88 = I 88 = k 2 K 0 ( k 2 r 2 )
I 11 = I 11 = + g 31 2 ( h 2 h m 2 ) ( h h m ) 8 ( s 11 D ) 2 ( 1 σ ) 2 β 33 ¯ ( r 1 2 r 0 2 ) k 1 r 1 J 1 ( k 1 r 1 ) r 0 J 1 ( k 1 r 0 )
I 12 = I 12 + g 31 2 ( h 2 h m 2 ) ( h h m ) 8 ( s 11 D ) 2 ( 1 σ ) 2 β 33 ¯ ( r 1 2 r 0 2 ) k 1 r 1 Y 1 ( k 1 r 1 ) a 0 Y 1 ( k 1 r 0 )
I 13 = I 13 g 31 2 ( h 2 h m 2 ) ( h h m ) 8 ( s 11 D ) 2 ( 1 σ ) 2 β 33 ¯ ( r 1 2 r 0 2 ) k 1 r 1 I 1 ( k 1 r 1 ) a 0 I 1 ( k 1 r 0 )
I 14 = I 14 g 31 2 ( h 2 h m 2 ) ( h h m ) 8 ( s 11 D ) 2 ( 1 σ ) 2 β 33 ¯ ( r 1 2 r 0 2 ) k 1 r 1 K 1 ( k 1 r 1 ) + r 0 K 1 ( k 1 r 0 )
For the fixed inner and free outer, I 11 I 24 , I 75 I 88 , I 11 I 24 and I 75 I 88 are
I 11 = I 11 = J 0 ( k 1 r 0 )
I 12 = I 12 = Y 0 ( k 1 r 0 )
I 13 = I 13 = I 0 ( k 1 r 0 )
I 14 = I 14 = K 0 ( k 1 r 0 )
I 21 = I 21 = k 1 J 0 ( k 1 r 0 )
I 22 = I 22 = k 1 Y 0 ( k 1 r 0 )
I 23 = I 23 = k 1 I 0 ( k 1 r 0 )
I 24 = I 24 = k 1 K 0 ( k 1 r 0 )
I 75 = I 75 = D m ( 1 σ m ) r 2 k 2 J 1 ( k 2 r 2 ) k 2 2 J 0 ( k 2 r 2 )
I 76 = I 76 = D m ( 1 σ m ) r 2 k 2 Y 1 ( k 2 r 2 ) k 2 2 Y 0 ( k 2 r 2 )
I 77 = I 77 = D m ( σ m 1 ) r 2 k 2 I 1 ( k 2 r 2 ) + k 2 2 I 0 ( k 2 r 2 )
I 78 = I 78 = D m ( 1 σ m ) r 0 k 2 K 1 ( k 2 r 2 ) + k 2 2 K 0 ( k 2 r 2 )
I 85 = I 85 = D m k 2 3 J 1 ( k 2 r 2 )
I 86 = I 86 = D m k 2 3 Y 1 ( k 2 r 2 )
I 87 = I 87 = D m k 2 3 I 1 ( k 2 r 2 )
I 88 = I 88 = D m k 2 3 K 1 ( k 2 r 2 )
For the free inner and free outer, I 11 I 24 , I 75 I 88 , I 11 I 24 and I 75 I 88 are
I 11 = E m h m 3 12 ( 1 σ m 2 ) ( 1 σ m ) r 0 k 1 J 1 ( k 1 r 0 ) k 1 2 J 0 ( k 1 r 0 ) h 3 h m 3 12 s 11 D ( 1 σ 2 ) ( 1 σ ) r 0 k 1 J 1 ( k 1 r 0 ) k 1 2 J 0 ( k 1 r 0 ) g 31 2 ( h 2 h m 2 ) ( h h m ) 16 ( s 11 D ) 2 ( 1 σ ) 2 β 33 ¯ k 1 2 J 0 ( k 1 r 0 )
I 12 = E m h m 3 12 ( 1 σ m 2 ) ( 1 σ m ) r 0 k 1 Y 1 ( k 1 r 0 ) k 1 2 Y 0 ( k 1 r 0 ) h 3 h m 3 12 s 11 D ( 1 σ 2 ) ( 1 σ ) r 0 k 1 Y 1 ( k 1 r 0 ) k 1 2 Y 0 ( k 1 r 0 ) g 31 2 ( h 2 h m 2 ) ( h h m ) 16 ( s 11 D ) 2 ( 1 σ ) 2 β 33 ¯ k 1 2 Y 0 ( k 1 r 0 )
I 13 = E m h m 3 12 ( 1 σ m 2 ) ( σ m 1 ) r 0 k 1 I 1 ( k 1 r 0 ) + k 1 2 I 0 ( k 1 r 0 ) h 3 h m 3 12 s 11 D ( 1 σ 2 ) ( σ 1 ) r 0 k 1 I 1 ( k 1 r 0 ) + k 1 2 I 0 ( k 1 r 0 ) + g 31 2 ( h 2 h m 2 ) ( h h m ) 16 ( s 11 D ) 2 ( 1 σ ) 2 β 33 ¯ k 1 2 I 0 ( k 1 r 0 )
I 14 = E m h m 3 12 ( 1 σ m 2 ) ( 1 σ m ) r 0 k 1 K 1 ( k 1 r 0 ) + k 1 2 K 0 ( k 1 r 0 ) h 3 h m 3 12 s 11 D ( 1 σ 2 ) ( 1 σ ) r 0 k 1 K 1 ( k 1 r 0 ) + k 1 2 K 0 ( k 1 r 0 ) + g 31 2 ( h 2 h m 2 ) ( h h m ) 16 ( s 11 D ) 2 ( 1 σ ) 2 β 33 ¯ k 1 2 K 0 ( k 1 r 0 )
I 21 = I 21 = D c k 1 3 J 1 ( k 1 r 0 )
I 22 = I 22 = D c k 1 3 Y 1 ( k 1 r 0 )
I 23 = I 23 = D c k 1 3 I 1 ( k 1 r 0 )
I 24 = I 24 = D c k 1 3 K 1 ( k 1 r 0 )
I 75 = I 75 = D m ( 1 σ m ) r 2 k 2 J 1 ( k 2 r 2 ) k 2 2 J 0 ( k 2 r 2 )
I 76 = I 76 = D m ( 1 σ m ) r 2 k 2 Y 1 ( k 2 r 2 ) k 2 2 Y 0 ( k 2 r 2 )
I 77 = I 77 = D m ( σ m 1 ) r 2 k 2 I 1 ( k 2 r 2 ) + k 2 2 I 0 ( k 2 r 2 )
I 78 = I 78 = D m ( 1 σ m ) r 0 k 2 K 1 ( k 2 r 2 ) + k 2 2 K 0 ( k 2 r 2 )
I 85 = I 85 = D m k 2 3 J 1 ( k 2 r 2 )
I 86 = I 86 = D m k 2 3 Y 1 ( k 2 r 2 )
I 87 = I 87 = D m k 2 3 I 1 ( k 2 r 2 )
I 88 = I 88 = D m k 2 3 K 1 ( k 2 r 2 )
I 11 = I 11 = + g 31 2 ( h 2 h m 2 ) ( h h m ) 8 ( s 11 D ) 2 ( 1 σ ) 2 β 33 ¯ ( r 1 2 r 0 2 ) k 1 r 1 J 1 ( k 1 r 1 ) r 0 J 1 ( k 1 r 0 )
I 12 = I 12 + g 31 2 ( h 2 h m 2 ) ( h h m ) 8 ( s 11 D ) 2 ( 1 σ ) 2 β 33 ¯ ( r 1 2 r 0 2 ) k 1 r 1 Y 1 ( k 1 r 1 ) a 0 Y 1 ( k 1 r 0 )
I 13 = I 13 g 31 2 ( h 2 h m 2 ) ( h h m ) 8 ( s 11 D ) 2 ( 1 σ ) 2 β 33 ¯ ( r 1 2 r 0 2 ) k 1 r 1 I 1 ( k 1 r 1 ) a 0 I 1 ( k 1 r 0 )
I 14 = I 14 g 31 2 ( h 2 h m 2 ) ( h h m ) 8 ( s 11 D ) 2 ( 1 σ ) 2 β 33 ¯ ( r 1 2 r 0 2 ) k 1 r 1 K 1 ( k 1 r 1 ) + r 0 K 1 ( k 1 r 0 )
For the free inner and supportive outer, I 11 I 24 , I 75 I 88 , I 11 I 24 and I 75 I 88 are
I 11 = E m h m 3 12 ( 1 σ m 2 ) ( 1 σ m ) r 0 k 1 J 1 ( k 1 r 0 ) k 1 2 J 0 ( k 1 r 0 ) h 3 h m 3 12 s 11 D ( 1 σ 2 ) ( 1 σ ) r 0 k 1 J 1 ( k 1 r 0 ) k 1 2 J 0 ( k 1 r 0 ) g 31 2 ( h 2 h m 2 ) ( h h m ) 16 ( s 11 D ) 2 ( 1 σ ) 2 β 33 ¯ k 1 2 J 0 ( k 1 r 0 )
I 12 = E m h m 3 12 ( 1 σ m 2 ) ( 1 σ m ) r 0 k 1 Y 1 ( k 1 r 0 ) k 1 2 Y 0 ( k 1 r 0 ) h 3 h m 3 12 s 11 D ( 1 σ 2 ) ( 1 σ ) r 0 k 1 Y 1 ( k 1 r 0 ) k 1 2 Y 0 ( k 1 r 0 ) g 31 2 ( h 2 h m 2 ) ( h h m ) 16 ( s 11 D ) 2 ( 1 σ ) 2 β 33 ¯ k 1 2 Y 0 ( k 1 r 0 )
I 13 = E m h m 3 12 ( 1 σ m 2 ) ( σ m 1 ) r 0 k 1 I 1 ( k 1 r 0 ) + k 1 2 I 0 ( k 1 r 0 ) h 3 h m 3 12 s 11 D ( 1 σ 2 ) ( σ 1 ) r 0 k 1 I 1 ( k 1 r 0 ) + k 1 2 I 0 ( k 1 r 0 ) + g 31 2 ( h 2 h m 2 ) ( h h m ) 16 ( s 11 D ) 2 ( 1 σ ) 2 β 33 ¯ k 1 2 I 0 ( k 1 r 0 )
I 14 = E m h m 3 12 ( 1 σ m 2 ) ( 1 σ m ) r 0 k 1 K 1 ( k 1 r 0 ) + k 1 2 K 0 ( k 1 r 0 ) h 3 h m 3 12 s 11 D ( 1 σ 2 ) ( 1 σ ) r 0 k 1 K 1 ( k 1 r 0 ) + k 1 2 K 0 ( k 1 r 0 ) + g 31 2 ( h 2 h m 2 ) ( h h m ) 16 ( s 11 D ) 2 ( 1 σ ) 2 β 33 ¯ k 1 2 K 0 ( k 1 r 0 )
I 21 = I 21 = D c k 1 3 J 1 ( k 1 r 0 )
I 22 = I 22 = D c k 1 3 Y 1 ( k 1 r 0 )
I 23 = I 23 = D c k 1 3 I 1 ( k 1 r 0 )
I 24 = I 24 = D c k 1 3 K 1 ( k 1 r 0 )
I 75 = I 75 = J 0 ( k 2 r 2 )
I 76 = I 76 = Y 0 ( k 2 r 2 )
I 77 = I 77 = I 0 ( k 2 r 2 )
I 78 = I 78 = K 0 ( k 2 r 2 )
I 85 = I 85 = D m ( 1 σ m ) r 2 k 2 J 1 ( k 2 r 2 ) k 2 2 J 0 ( k 2 r 2 )
I 86 = I 86 = D m ( 1 σ m ) r 2 k 2 Y 1 ( k 2 r 2 ) k 2 2 Y 0 ( k 2 r 2 )
I 87 = I 87 = D m ( σ m 1 ) r 2 k 2 I 1 ( k 2 r 2 ) + k 2 2 I 0 ( k 2 r 2 )
I 88 = I 88 = D m ( 1 σ m ) r 0 k 2 K 1 ( k 2 r 2 ) + k 2 2 K 0 ( k 2 r 2 )
I 11 = I 11 = + g 31 2 ( h 2 h m 2 ) ( h h m ) 8 ( s 11 D ) 2 ( 1 σ ) 2 β 33 ¯ ( r 1 2 r 0 2 ) k 1 r 1 J 1 ( k 1 r 1 ) r 0 J 1 ( k 1 r 0 )
I 12 = I 12 + g 31 2 ( h 2 h m 2 ) ( h h m ) 8 ( s 11 D ) 2 ( 1 σ ) 2 β 33 ¯ ( r 1 2 r 0 2 ) k 1 r 1 Y 1 ( k 1 r 1 ) a 0 Y 1 ( k 1 r 0 )
I 13 = I 13 g 31 2 ( h 2 h m 2 ) ( h h m ) 8 ( s 11 D ) 2 ( 1 σ ) 2 β 33 ¯ ( r 1 2 r 0 2 ) k 1 r 1 I 1 ( k 1 r 1 ) a 0 I 1 ( k 1 r 0 )
I 14 = I 14 g 31 2 ( h 2 h m 2 ) ( h h m ) 8 ( s 11 D ) 2 ( 1 σ ) 2 β 33 ¯ ( r 1 2 r 0 2 ) k 1 r 1 K 1 ( k 1 r 1 ) + r 0 K 1 ( k 1 r 0 )

Appendix B

For connection conditions, I 31 I 68 and I 31 I 68 are
I 31 = I 31 = J 0 ( k 1 r 1 )
I 32 = I 32 = Y 0 ( k 1 r 1 )
I 33 = I 33 = I 0 ( k 1 r 1 )
I 34 = I 34 = K 0 ( k 1 r 1 )
I 35 = I 35 = J 0 ( k 2 r 1 )
I 36 = I 36 = Y 0 ( k 2 r 1 )
I 37 = I 37 = I 0 ( k 2 r 1 )
I 38 = I 38 = K 0 ( k 2 r 1 )
I 41 = I 41 = k 1 J 0 ( k 1 r 1 )
I 42 = I 42 = k 1 Y 0 ( k 1 r 1 )
I 43 = I 43 = k 1 I 0 ( k 1 r 1 )
I 44 = I 44 = k 1 K 0 ( k 1 r 1 )
I 45 = I 45 = k 2 J 0 ( k 2 r 1 )
I 46 = I 46 = k 2 Y 0 ( k 2 r 1 )
I 47 = I 47 = k 2 I 0 ( k 2 r 1 )
I 48 = I 48 = k 2 K 0 ( k 2 r 1 )
I 51 = E m h m 3 12 ( 1 σ m 2 ) ( 1 σ m ) r 1 k 1 J 1 ( k 1 r 1 ) k 1 2 J 0 ( k 1 r 1 ) h 3 h m 3 12 s 11 D ( 1 σ 2 ) ( 1 σ ) r 0 k 1 J 1 ( k 1 r 1 ) k 1 2 J 0 ( k 1 r 1 ) g 31 2 ( h 2 h m 2 ) ( h h m ) 16 ( s 11 D ) 2 ( 1 σ ) 2 β 33 ¯ k 1 2 J 0 ( k 1 r 1 )
I 52 = E m h m 3 12 ( 1 σ m 2 ) ( 1 σ m ) r 1 k 1 Y 1 ( k 1 r 1 ) k 1 2 Y 0 ( k 1 r 1 ) h 3 h m 3 12 s 11 D ( 1 σ 2 ) ( 1 σ ) r 0 k 1 Y 1 ( k 1 r 1 ) k 1 2 Y 0 ( k 1 a 1 ) g 31 2 ( h 2 h m 2 ) ( h h m ) 16 ( s 11 D ) 2 ( 1 σ ) 2 β 33 ¯ k 1 2 Y 0 ( k 1 r 1 )
I 53 = E m h m 3 12 ( 1 σ m 2 ) ( σ m 1 ) r 1 k 1 I 1 ( k 1 r 1 ) + k 1 2 I 0 ( k 1 r 1 ) h 3 h m 3 12 s 11 D ( 1 σ 2 ) ( σ 1 ) r 0 k 1 I 1 ( k 1 r 1 ) + k 1 2 I 0 ( k 1 r 1 ) + g 31 2 ( h 2 h m 2 ) ( h h m ) 16 ( s 11 D ) 2 ( 1 σ ) 2 β 33 ¯ k 1 2 I 0 ( k 1 r 1 )
I 54 = E m h m 3 12 ( 1 σ m 2 ) ( 1 σ m ) r 1 k 1 K 1 ( k 1 r 1 ) + k 1 2 K 0 ( k 1 r 1 ) h 3 h m 3 12 s 11 D ( 1 σ 2 ) ( 1 σ ) r 0 k 1 K 1 ( k 1 r 1 ) + k 1 2 K 0 ( k 1 r 1 ) + g 31 2 ( h 2 h m 2 ) ( h h m ) 16 ( s 11 D ) 2 ( 1 σ ) 2 β 33 ¯ k 1 2 K 0 ( k 1 r 1 )
I 55 = I 55 = D m ( 1 σ m ) r 1 k 2 J 1 ( k 2 r 1 ) k 2 2 J 0 ( k 2 r 1 )
I 56 = I 56 = D m ( 1 σ m ) r 1 k 2 Y 1 ( k 2 r 1 ) k 2 2 Y 0 ( k 2 r 1 )
I 57 = I 57 = D m ( σ m 1 ) r 1 k 2 I 1 ( k 2 r 1 ) + k 2 2 I 0 ( k 2 r 1 )
I 58 = I 58 = D m ( 1 σ m ) r 1 k 2 I 1 ( k 2 r 1 ) + k 2 2 I 0 ( k 2 r 1 )
I 61 = I 61 = D c k 1 3 J 1 ( k 1 r 1 )
I 62 = I 62 = D c k 1 3 Y 1 ( k 1 r 1 )
I 63 = I 63 = D c k 1 3 I 1 ( k 1 r 1 )
I 64 = I 64 = D c k 1 3 K 1 ( k 1 r 1 )
I 65 = I 65 = D m k 2 3 J 1 ( k 2 r 1 )
I 66 = I 66 = D m k 2 3 Y 1 ( k 2 r 1 )
I 67 = I 67 = D m k 2 3 I 1 ( k 2 r 1 )
I 68 = I 68 = D m k 2 3 K 1 ( k 2 r 1 )
I 51 = I 51 + g 31 2 ( h 2 h m 2 ) ( h h m ) 8 ( s 11 D ) 2 ( 1 σ ) 2 β 33 ¯ ( r 1 2 r 0 2 ) k 1 r 1 J 1 ( k 1 r 1 ) r 0 J 1 ( k 1 r 0 )
I 52 = I 52 + g 31 2 ( h 2 h m 2 ) ( h h m ) 8 ( s 11 D ) 2 ( 1 σ ) 2 β 33 ¯ ( r 1 2 r 0 2 ) k 1 r 1 Y 1 ( k 1 r 1 ) r 0 Y 1 ( k 1 r 0 )
I 53 = I 53 g 31 2 ( h 2 h m 2 ) ( h h m ) 8 ( s 11 D ) 2 ( 1 σ ) 2 β 33 ¯ ( r 1 2 r 0 2 ) k 1 r 1 I 1 ( k 1 r 1 ) r 0 I 1 ( k 1 r 0 )
I 54 = I 54 g 31 2 ( h 2 h m 2 ) ( h h m ) 8 ( s 11 D ) 2 ( 1 σ ) 2 β 33 ¯ ( r 1 2 r 0 2 ) k 1 r 1 K 1 ( k 1 r 1 ) + r 0 K 1 ( k 1 r 0 )

References

  1. Leiceaga, G.G.; Marion, B.; O’Sullivan, K.M.; Bunge, G.; Nielsen, J.T.; Fryer, A. Crosswell seismic applications for improved reservoir understanding. Lead. Edge 2015, 34, 422–428. [Google Scholar] [CrossRef]
  2. Yu, G.; Marion, B.; Bryans, B.; Carrillo, P.; Guo, W.K.; Pang, Y.M.; Kong, F.Z. Crosswell seismic imaging for deep gas reservoir characterization. Geophysics 2008, 73, B117–B126. [Google Scholar] [CrossRef]
  3. Maharramov, M.; Biondi, B.L.; Meadows, M.A. Time-lapse inverse theory with applications. Geophysics 2016, 81, R485–R501. [Google Scholar] [CrossRef]
  4. Li, G.; Cai, H.Z.; Li, C.F. Alternating joint inversion of controlled-source electromagnetic and seismic data using the joint total variation constraint. IEEE Trans. Geosci. Remote Sens. 2019, 57, 5914–5922. [Google Scholar] [CrossRef]
  5. Spetzler, J.; Xue, Z.Q.; Saito, H.; Nishizawa, O. Case story: Time-lapse seismic crosswell monitoring of CO2 injected in an onshore sandstone aquifer. Geophys. J. Int. 2008, 172, 214–225. [Google Scholar] [CrossRef]
  6. Grana, D.; Liu, M.L.; Ayani, M. Prediction of CO2 saturation spatial distribution using geostatistical inversion of time-lapse geophysical data. IEEE Trans. Geosci. Remote Sens. 2020, 59, 3846–3856. [Google Scholar] [CrossRef]
  7. Fehler, M.; Pearson, C. Cross-hole seismic surveys: Applications for studying subsurface fracture systems at a hot dry rock geothermal site. Geophysics 1984, 49, 37–45. [Google Scholar] [CrossRef]
  8. Harris, M.J.; Marion, B.P.; Canny, D. Dual Mode Multiple-Element Resonant Cavity Piezoceramic Borehole Energy Source. U.S. Patent 6,135,234A, 24 October 2000. [Google Scholar]
  9. Shirley, D.J.; Owen, T.E. Cylindrical Bender-Type Vibration Transducer. U.S. Patent S4,525,645, 25 June 1985. [Google Scholar]
  10. Minto, J.; Marion, B.P. Distributed Clamps for a Downhole Seismic Source. U.S. Patent 20140151036A1, 5 June 2014. [Google Scholar]
  11. Sang, Y.J.; Lan, Y.; Ding, Y.W. Resonance frequency study of an elastic-walled liquid cavity of a Helmholtz underwater acoustic transducer. Acta Physica. Sinica. 2016, 65, 186–193. (In Chinese) [Google Scholar]
  12. Sang, Y.J.; Lan, Y.; Liu, M.Y. Dual-Helmholtz resonator transducer driven by flexural disc. Acta Acustica. 2019, 44, 1068–1073. (In Chinese) [Google Scholar]
  13. Lee, P.C.Y.; Huang, R.; Li, X.P.; Shih, W.H. Vibrations and static responses of asymmetric bimorph disks of piezoelectric ceramics. IEEE Trans. Ultrason. Ferroelectr. Freq. Control 2000, 47, 706–715. [Google Scholar] [CrossRef]
  14. Chang, S.H.; Lin, J.F. Analysis and optimization of trimorph ring transducers. J. Sound Vib. 2003, 263, 831–851. [Google Scholar] [CrossRef]
  15. Ha, S.K.; Kim, Y.H. Impedance and admittance matrices of symmetric piezoelectric annular bimorphs and their applications. J. Acoust. Soc. Am. 2000, 108, 2125–2133. [Google Scholar] [CrossRef] [PubMed]
  16. Zhou, Z.H.; Wong, K.W.; Xu, X.S.; Leung, A.Y.T. Natural vibration of circular and annular thin plates by Hamiltonian approach. J. Sound Vib. 2011, 330, 1005–1017. [Google Scholar] [CrossRef]
  17. Huang, C.H. Free vibration analysis of the piezoceramic bimorph with theoretical and experimental investigation. IEEE Trans. Ultrason. Ferroelectr. Freq. Control 2005, 52, 1393–1403. [Google Scholar] [CrossRef]
  18. Wu, N.; Wang, Q.; Quek, S.T. Free vibration analysis of piezoelectric coupled circular plate with open circuit. J. Sound Vib. 2009, 329, 1126–1136. [Google Scholar] [CrossRef]
  19. Bashmal, S.; Bhat, R.; Rakheja, S. In-plane free vibration of circular annular disks. J. Sound Vib. 2009, 322, 216–226. [Google Scholar] [CrossRef]
  20. Huang, Y.H.; Ma, C.C.; Li, Z.Z. Investigations on vibration characteristics of two-layered piezoceramic disks. Int. J. Solids Struct. 2014, 51, 227–251. [Google Scholar] [CrossRef]
  21. Huang, Y.H.; Lin, Y.C.; Huang, C.H.; Li, C.C.; Ma, C.C. Theoretical analysis by Mindlin theory and experimental measurements of the piezoceramic circular bimorphs in resonance. Int. J. Mech. Sci. 2022, 215, 106926. [Google Scholar] [CrossRef]
  22. Heyliger, P.R.; Ramirez, G. Free vibration of laminated circular piezoelectric plates and discs. J. Sound Vib. 2000, 229, 935–956. [Google Scholar] [CrossRef]
  23. Irie, T.; Yamada, G.; Muramoto, Y. Natural frequencies of in-plane vibration of annular plates. J. Sound Vib. 1984, 97, 171–175. [Google Scholar] [CrossRef]
  24. Chen, H.; Wu, R.X.; Xie, L.T.; Du, J.K.; Yi, L.J.; Huang, B.; Zhang, A.B.; Wang, J. High-frequency vibrations of circular and annular plates with the Mindlin plate theory. Arch. Appl. Mech. 2020, 90, 1025–1038. [Google Scholar] [CrossRef]
  25. Huang, C.H.; Li, C.C.; Wu, Y.C.; Ma, C.C. Theoretical analysis of transverse and planar vibrations for the piezoceramic disk based on Mindlin plate theory. Thin Walled Struct. 2021, 97, 568–587. [Google Scholar] [CrossRef]
  26. Arshid, E.; Khorshidvand, A.R. Free vibration analysis of saturated porous FG circular plates integrated with piezoelectric actuators via differential quadrature method. Appl. Math. Model. 2018, 125, 220–233. [Google Scholar] [CrossRef]
  27. Luan, G.D.; Zhang, J.D.; Wang, R.Q. Piezoelectric Transducers and Arrays; Peking University Press: Beijing, China, 2005; p. 174. (In Chinese) [Google Scholar]
  28. Meeker, T.R. Publication and Proposed Revision of ANSU/IEEE Standard 176-1987 “ANSU/IEEE Standard on Piezoelectricity”. IEEE Trans. Ultrason. Ferroelectr. Freq. Control 1996, 43, 717–772. [Google Scholar]
Figure 1. Schematic diagram of crosswell acoustic seismic source. (a) the traditional structure; (b) the new structure.
Figure 1. Schematic diagram of crosswell acoustic seismic source. (a) the traditional structure; (b) the new structure.
Applsci 13 10832 g001
Figure 2. Configuration of the trilaminar bending ring with unequal diameters. (a) the cross-sectional view; (b) the top view.
Figure 2. Configuration of the trilaminar bending ring with unequal diameters. (a) the cross-sectional view; (b) the top view.
Applsci 13 10832 g002
Figure 3. Finite element model of a trilaminar bending ring with unequal diameters.
Figure 3. Finite element model of a trilaminar bending ring with unequal diameters.
Applsci 13 10832 g003
Figure 4. Deflection w distributions for the first-order and the third-order bending modes under different boundary conditions. (a) the free inner and fixed outer; (b) the fixed inner and free outer; (c) the free inner and free outer; (d) the free inner and supportive outer.
Figure 4. Deflection w distributions for the first-order and the third-order bending modes under different boundary conditions. (a) the free inner and fixed outer; (b) the fixed inner and free outer; (c) the free inner and free outer; (d) the free inner and supportive outer.
Applsci 13 10832 g004aApplsci 13 10832 g004b
Figure 5. Photograph of trilaminar bending ring with unequal diameters prototype. (a) the prototype; (b) the test settings.
Figure 5. Photograph of trilaminar bending ring with unequal diameters prototype. (a) the prototype; (b) the test settings.
Applsci 13 10832 g005
Figure 6. Finite element model corresponding to the prototype.
Figure 6. Finite element model corresponding to the prototype.
Applsci 13 10832 g006
Figure 7. Comparison of simulation (solid black line) and test (dashed black line) conductance results of the prototype.
Figure 7. Comparison of simulation (solid black line) and test (dashed black line) conductance results of the prototype.
Applsci 13 10832 g007
Figure 8. The keff of first-order bending resonance versus thickness ratio (hm/h) and radius ratio (r0/r1) under different boundary conditions. (a) the free inner and fixed outer; (b) the fixed inner and free outer; (c) the free inner and free outer; (d) the free inner and supportive outer.
Figure 8. The keff of first-order bending resonance versus thickness ratio (hm/h) and radius ratio (r0/r1) under different boundary conditions. (a) the free inner and fixed outer; (b) the fixed inner and free outer; (c) the free inner and free outer; (d) the free inner and supportive outer.
Applsci 13 10832 g008aApplsci 13 10832 g008b
Figure 9. The keff of first-order bending resonance versus thickness ratio (hm/h) and radius ratio (r1/r2) under different boundary conditions. (a) the free inner and fixed outer; (b) the fixed inner and free outer; (c) the free inner and free outer; (d) the free inner and supportive outer.
Figure 9. The keff of first-order bending resonance versus thickness ratio (hm/h) and radius ratio (r1/r2) under different boundary conditions. (a) the free inner and fixed outer; (b) the fixed inner and free outer; (c) the free inner and free outer; (d) the free inner and supportive outer.
Applsci 13 10832 g009
Table 1. The material parameters for aluminum alloy 6061.
Table 1. The material parameters for aluminum alloy 6061.
Material for the Metal SubstrateYoung’s Modulus (Gpa)Density (kg/m3)Poisson’s Ratio
Aluminum alloy 606168.928000.33
Table 2. The structural dimensions of the finite element model.
Table 2. The structural dimensions of the finite element model.
Structural Dimensional ParameterValue (mm)
r06
r126
r260
hm1.5
hp3
Table 3. Resonant frequencies and antiresonant frequencies of the first-order and the third-order bending vibration under different boundary conditions.
Table 3. Resonant frequencies and antiresonant frequencies of the first-order and the third-order bending vibration under different boundary conditions.
Boundary ConditionFree Inner and
Fixed Outer
Fixed Inner and
Free Outer
Free Inner and
Free Outer
Free Inner and
Supportive Outer
Resonant/Antiresonant frequencyfr1fa1fr3fa3fr1fa1fr3fa3fr1fa1fr3fa3fr1fa1fr3fa3
Theoretical calculation value (Hz)643645687069411005101061136249112611306549661633733847034739
FEM simulation value (Hz)6356386729679698899359106038110911136404646833333446104646
Error1.2%1.1%2.1%1.7%1.7%3.3%3.4%1.5%1.5%2.2%2.2%1.2%1.2%1.2%2.0%2.0%
Table 4. Structural dimensions of the prototype.
Table 4. Structural dimensions of the prototype.
Structural Dimensional ParameterValue (mm)
r06
r126
r275
hm0.95
hp1.5
Table 5. Comparison of theoretical, simulation, and test resonant frequency results of the prototype.
Table 5. Comparison of theoretical, simulation, and test resonant frequency results of the prototype.
Resonant FrequencyTheoretical Calculation Value (Hz)FEM Simulation Value (Hz)Experimental Test Value (Hz)Error 1Error 2
fr1375.9374.5376.50.37%0.16%
fr32049.92043.72002.80.3%2.3%
Disclaimer/Publisher’s Note: The statements, opinions and data contained in all publications are solely those of the individual author(s) and contributor(s) and not of MDPI and/or the editor(s). MDPI and/or the editor(s) disclaim responsibility for any injury to people or property resulting from any ideas, methods, instructions or products referred to in the content.

Share and Cite

MDPI and ACS Style

Zhu, C.; Dai, Y.; Zhou, Y.; Zhang, X.; Zhao, J. Analysis and Optimization of Bending Vibration Modes of a Trilaminar Bending Ring Transducer with Unequal Diameters. Appl. Sci. 2023, 13, 10832. https://doi.org/10.3390/app131910832

AMA Style

Zhu C, Dai Y, Zhou Y, Zhang X, Zhao J. Analysis and Optimization of Bending Vibration Modes of a Trilaminar Bending Ring Transducer with Unequal Diameters. Applied Sciences. 2023; 13(19):10832. https://doi.org/10.3390/app131910832

Chicago/Turabian Style

Zhu, Chenhui, Yuyu Dai, Yinqiu Zhou, Xiumei Zhang, and Jiaheng Zhao. 2023. "Analysis and Optimization of Bending Vibration Modes of a Trilaminar Bending Ring Transducer with Unequal Diameters" Applied Sciences 13, no. 19: 10832. https://doi.org/10.3390/app131910832

APA Style

Zhu, C., Dai, Y., Zhou, Y., Zhang, X., & Zhao, J. (2023). Analysis and Optimization of Bending Vibration Modes of a Trilaminar Bending Ring Transducer with Unequal Diameters. Applied Sciences, 13(19), 10832. https://doi.org/10.3390/app131910832

Note that from the first issue of 2016, this journal uses article numbers instead of page numbers. See further details here.

Article Metrics

Back to TopTop