Next Article in Journal
Laboratory-Scale Optimization of Celestine Concentration Using a Hydrocyclone System
Next Article in Special Issue
Application of Satellite-Derived Summer Bloom Indicators for Estonian Coastal Waters of the Baltic Sea
Previous Article in Journal
Innovative Design and Mechanical Analysis of Low-Resistance Fritilariae Ussuriensis Maxim Excavation Device
Previous Article in Special Issue
Marine Vessel Classification and Multivariate Trajectories Forecasting Using Metaheuristics-Optimized eXtreme Gradient Boosting and Recurrent Neural Networks
 
 
Font Type:
Arial Georgia Verdana
Font Size:
Aa Aa Aa
Line Spacing:
Column Width:
Background:
Article

Towards Improved Quality Control of In Situ Sea Surface Temperatures from Drifting and Moored Buoys in the NOAA iQuam System

by
Boris Petrenko
1,2,*,
Alexander Ignatov
1,*,
Victor Pryamitsyn
1,2 and
Olafur Jonasson
1,2
1
STAR, NOAA Center For Weather and Climate Prediction (NCWCP), College Park, MD 20740, USA
2
Global Science and Technology, Inc., Greenbelt, MD 20770, USA
*
Authors to whom correspondence should be addressed.
Appl. Sci. 2023, 13(18), 10205; https://doi.org/10.3390/app131810205
Submission received: 25 July 2023 / Revised: 31 August 2023 / Accepted: 4 September 2023 / Published: 11 September 2023
(This article belongs to the Special Issue Intelligent Systems Applied to Maritime Environment Monitoring)

Abstract

:
The NOAA in situ Sea Surface Temperature (SST) Quality Monitor (iQuam) online system collects in situ SSTs from various sources, performs quality control (QC), and provides QC’ed data to users. Like many other in situ QCs, the iQuam QC employs comparisons with Level 4 SST analysis. However, the current daily L4 analyses do not capture the diurnal cycle, nor do they resolve the fine structure of SST in dynamic areas. As a result, high-quality in situ SSTs significantly deviating from the L4 SST may be rejected. This paper discusses the new Diurnal Reference Check (DRC), which addresses overscreening for buoys whose sampling frequency is sufficient for resolving the diurnal cycle. The DRC separates records from individual buoys into 24-h segments and characterizes each segment with the median nighttime (MNT) SST and the amplitude of the diurnal signal (ADS). The segment is rejected if the ADS is unrealistically large or if the difference between the MNT and L4 SST exceeds a geographically dependent threshold. The outliers are further screened out by comparison of individual in situ SSTs with the MNT. All thresholds are determined from the analysis of matchups with reprocessed NOAA SSTs from multiple low-orbiting satellites. The satellite matchups are also used to validate the QC results. The DRC minimizes the overscreening, increases the number of high-quality in situ data by ~5%, and reduces the QC reliance on the L4 analysis. In addition, a new retrospective satellite-based quality check is introduced to identify matchups, which are most useful for training SST algorithms and validation of reprocessed satellite data.

1. Introduction

In situ sea surface temperatures (SST; see Abbreviations) measured by drifting and tropical moored (DTM) buoys are widely used in satellite remote sensing for training SST retrieval algorithms, validation of satellite retrievals, and their de-biasing before assimilation into higher-level models and analyses. In order to facilitate the use of in situ SSTs, TIS, NOAA has established the in situ SST Quality Monitor (iQuam) system [1,2,3]. The iQuam collects in situ data from various external sources, performs quality control (QC), monitors QC’ed data online, and provides them for NOAA applications and all interested external users. Since its establishment in 2009, the iQuam has been in demand as a reliable source of quality in situ data. The iQuam QC identifies degraded SST measurements (e.g., obtained from malfunctioning sensors, corrupted during transmission to satellite and back to the ground, erroneously time stamped or geo-positioned, etc.). A common way to identify low-quality TIS’s is to compare them with SSTs obtained from alternative sources, such as L4 analyses ‘or climatologies’ [2,4,5,6] or satellite retrievals [3,5,7,8]. In this study, we explore enhancements to the current iQuam QC aimed at improved utilization of the available reference SST information.
All current L4 analyses are daily gap-free products. They provide continuous coverage of the world ocean with a ‘reference SST’, TL4, which allows examining deviations ΔTL4 = TISTL4 at any location. The Reference Check (RC) is a critical part of the current iQuam QC, which identifies most low-quality TIS’s [2,9]. The current RC in the latest iQuam v2.10 employs a Bayesian approach [10] to transform the ΔTL4 into posterior probability of ‘gross error’ (PGE), under certain assumptions on prior distributions of ΔTL4 and noise in TIS. The quality level (QL) is downgraded for a specific TIS if its PGE exceeds the predefined threshold [2]. It was recognized, however, that the efficiency of the current RC is limited due to intrinsic features of the available L4 SST analyses [5,9], which often represent the so-called ‘foundation’ SST (i.e., corresponding to depths of ~10 m, at which the diurnal warming cycle is absent [11]). Such analyses do not capture the diurnal warming at the depths of drifting (~0.2 m) and moored (~1 m) buoys, which causes overscreening in the presence of significant diurnal signal (DS) in TIS. Intensive diurnal SST variations were observed under conditions of prolonged insolation and suppressed mixing in the ocean upper layer (typically associated with clear skies and low winds) in both satellite [12,13,14,15] and in situ [15,16,17] SSTs in various oceanic regions, from the Tropics all the way to high latitudes. Furthermore, the gridded daily L4 analyses often fail to track fine-scale spatial and rapid temporal SST variations [9], also causing overscreening, mainly in the dynamic oceanic areas, such as the Gulf Stream, Kuroshio and Agulhas currents, upwellings, downwellings, etc. In this study, we explore the new Diurnal Reference Check (DRC), which largely mitigates the overscreening problems related to both diurnal warming in TIS and inaccurate TL4 in the dynamic areas.
We also explore using the satellite SSTs, TSAT, as an additional source of reference information. The advantage of satellite SSTs is that they are timelier and often more accurate than TL4. However, the comparisons with TSAT are only possible for TIS measured at times and locations of satellite overpasses and under clear-sky conditions (for TSAT obtained from IR radiometer measurements). Ideally, the QC should take advantage of comparisons with both TL4 and TSAT. In [3], the iQuam data were compared with satellite SSTs from NOAA-17 AVHRR and ENVISAT AATSR. However, the current iQuam QC does not use satellite SSTs routinely. During recent years, the full missions of multiple low Earth orbiting (LEO) satellite IR radiometers have been reprocessed with the NOAA Advanced Clear Sky Processor for Ocean (ACSPO) enterprise SST system [18,19,20], and multi-year data sets of satellite SSTs (ACSPO RANs) and the corresponding matchup data sets (MDS) have been accumulated for a period from September 1981–present. In this study, we explore their potential use for adjusting the DRC thresholds, validation of the QC results, and retrospective evaluation of the iQuam data.

2. Data

2.1. In Situ Data

The iQuam collects in situ SSTs from multiple types of platforms, including conventional and scientific ships, drifting buoys, tropical and coastal moored buoys, and Argo floats available from various data sources, such as ICOADS, FNMOC, CMEMS, AOML, GDACs, and IMOS. Detailed descriptions of types of platforms and sources of in situ information can be found in [2,9]. The full set of in situ data from September 1981 –present, with iQuam QLs appended, is available at [1]. The iQuam QC employs five binary checks, including the Duplicate Removal (DR), the Plausibility/Geolocation check (GC), the platform Track Check (TC), the SST Spike Check (SC), and the platform ID Check (IC) [2,9]. Two other checks, the RC and the Buddy Check (BC), employ the Bayesian method [10]. The highest iQuam QL = 5 is set when all seven checks pass. If the TIS fails at least one of these checks, then QL = 3 or 4 are assigned. Note that the iQuam does not exclude low-quality TIS’s from records but rather assigns those lower QLs, so users have access to these data and may explore them. This study focuses on QC’ing TIS’s from drifters and tropical moored (DTM) buoys, which sample TIS with frequencies sufficient for resolving the diurnal signal. Figure 1 shows that the number of DTM measurements from September 1981–December 2021 had increased by more than two orders of magnitude and, today, represents the major source of in situ data for satellite Cal/Val.

2.2. Matchups with Satellite SSTs

The matchups of TIS (with all iQuam QLs) with clear-sky TSAT have been accumulated during ACSPO reprocessings (RANs) of multiple LEO satellites [18,19,20]. Table 1 shows the periods covered by each MDS and the types of the satellites’ orbits. Altogether, these MDSs cover 42 yr+ period since September 1981. The orbits of the heritage NOAA satellites from NOAA-07 to NOAA-19 have been drifting during their missions, and their LEXT varied within wide ranges [21].
The ACSPO data files and corresponding matchups report two satellite SSTs: ‘Subskin’, produced with a global regression and highly sensitive to the temperature of the upper ~10 µm ‘skin’ layer of the ocean, and ‘Depth’, produced with a piecewise regression and representing a closer proxy of the TIS [22]. In this study, we use matchups with the ‘Subskin’ SST, due to its higher sensitivity to the diurnal signal. (Note, however, that one should not expect full consistency between the ‘Subskin’ TSAT and ‘bulk’ TIS.) As discussed in Section 4, the availability of multiple MDSs, especially in the two recent decades, greatly facilitates the validation of in situ QC algorithms. Moreover, the data of multiple satellites with different LEXTs allow validation of the diurnal signal in the TIS’s.
Note that the ACSPO MDSs report ‘one-to-many’ matchups, i.e., each TIS is matched with all clear-sky TSAT’s found in its neighborhood, individually. In order to reduce the number of matchups to a manageable size, we created a single matchup for each TIS by averaging all clear-sky L2P ‘Subskin’ SSTs within ±0.5 h and ±10 km of each TIS. Figure 1a shows the time series of monthly numbers of DTM TIS’s (with all QLs) and monthly numbers of TIS’s matched with TSAT’s in at least one MDS. Figure 1b demonstrates a close consistency between the fraction of matched TIS’s in the total monthly numbers of TIS measurements (curve 1) and the number of satellites’ MDSs available for each month (curve 2). The fraction of matched TIS’s increased from ~3% in the 1990s to ~27% in the 2020s due to the increased number of available satellites (from 1 to ~10) and their corresponding MDSs.

2.3. L4 Analyses

The current iQuam QC employs two TL4’s. From September 1981–present, the NOAA Optimal Interpolation SST (OISST) [23,24] is used. Since 1 Sep 1991, the second TL4 is obtained from the Canadian Meteorological Center (CMC) SST (the 0.2° version [25] before 1 January 2016 and the 0.1° version [26] after this date). The iQuam RC evaluates TIS’s using a single OISST PGE before 1 September 1991 and has the option to use OISST or CMC PGEs, or their combination, after this date. In this study, we use the CMC SST as a reference since 1 September 1991. Our prior analyses suggest that it is the optimal choice for this period (note that the CMC is also employed as the first guess in ACSPO during this period [18,19,20]). Additional analyses were performed in this study to select the reference L4 SST before September 1991 from three global products currently available: OISST [23,24], Ocean SST and Sea Ice Reprocessed (OSTIA-RAN) [27,28] and the Climate Change Initiative (CCI) [29,30].
Figure 2 shows time series of monthly medians of ΔTL4, MTL4), and corresponding robust standard deviations (RSD), STL4) = 1.4826 × M(|ΔTL4MTL4)|), for the TL4’s obtained from the three analyses.
The statistics are for the nighttime TIS’s measured between 11 p.m. and 6 a.m. local solar time, without applying any QC. The deviations from CCI exhibit the smallest on average, but most variable in time medians, and the largest RSDs. The medians with respect to OSTIA are larger but more stable in time, with the smallest and least variable RSDs. Note that during this early period, comparisons of DTM TIS’s with TSAT’s are based on a small number of matchups, which is oftentimes insufficient for reliable training of the satellite SST algorithms. More efficient training requires adding less accurate but much more numerous matchups with ship SSTs (at least, for the NOAA-07/09) [19]. Figure 3 re-plots time series from Figure 2 but using TIS’s from both ships and DTMs. As in Figure 2, the deviations from OSTIA appear lowest in terms of both average median and average RSD, and most stable and consistent in time.
Another factor in selecting L4 for use in iQuam QC is users’ interest in in situ SSTs over lakes and in coastal areas. The availability of the OISST, OSTIA, and CCI analyses in these two domains is illustrated in Figure 4 using a representative example of May 1985.
The CCI does not report temperatures over lakes. The OISST reports only Great Lakes and its coastal SSTs exhibit significantly fewer details compared with OSTIA (likely due to the 0.25° OISST vs. 0.05° OSTIA resolution).
Summarizing analyses in this section, OSTIA-RAN SST was selected as a reference for the period from September 1981–August 1991.

3. The Diurnal Reference Check (DRC)

3.1. Methodology

We formulate the DRC and adjust its thresholds using matchups with TSAT from 2012–2018 data. Table 2 lists eight MDSs available for this period, along with the number of accumulated matchups in each MDS and LEXTs for each satellite. The orbits of the satellites listed in Table 2 are different. The Metop-A/B and Terra fly mid-morning ‘am’ orbits, whereas the S-NPP, NOAA-20, and Aqua are in the afternoon ‘pm’ orbits and observe the ocean close to the peak of the SST diurnal cycle, usually occurring around 3 p.m. LST [12,17]. These five satellites are maintained in stable orbits. The orbits of the three NOAA satellites (15/18/19) drift. In 2012–2018, the NOAA-19 was close to the peak of the DC, whereas the NOAA-15/18 overpassed at times when the SST was already decreasing.
The goal of this study is to revisit the iQuam QC and improve its performance in the presence of significant DS in TIS’s. This requires quantitative characterization of the DS in the TIS records from individual buoys. We introduce the corresponding metrics as follows. The TIS record from each buoy is subdivided into 24-h segments in terms of LST. Each segment is further subdivided into nighttime subsegment, which includes TIS’s sampled between 11 p.m. and 7 a.m. LST, and daytime subsegment, with TIS’s sampled between 8 a.m. and 8 p.m. LST. The segments in which either nighttime or daytime subsegment includes less than three TIS samples are excluded from the analysis. In order to minimize the potential distortion of the metrics by outliers, each subset is filtered by excluding TIS’s satisfying the condition |TISM(TIS)| > 4 × S(TIS), where M(TIS) is median, and S(TIS) = 1.4826 × M(|TIS − M(TIS)|) is the corresponding RSD, both calculated over a given subset. After that, the following metrics are calculated:
-
Maximum SST in the daytime subsegment, TMAX.
-
Minimum SST in the nighttime subsegment, TMIN.
-
Median SST in the nighttime subsegment, TNIGHT.
-
Amplitude of the DS (ADS), D = TMAXTMIN if TMAX > TMIN; otherwise, D = 0.
The above metrics characterize each segment as a whole rather than individual TIS counts. This allows for implementing separate checks for filtering the entire low-quality 24-h segments and individual TIS outliers within the segments.

3.2. Setting Maximum Amplitude of the Diurnal Signal

Figure 5a shows the time series of the total monthly number of 24-h segments in the TIS records, and the total number of those segments in which the DS was identified as described above. The typical monthly fraction of segments with identifiable diurnal signal is (90 ± 3)%. Figure 5b shows the fraction of segments with ADS exceeding a given threshold, D. This fraction quickly decreases with increasing D. In rare extreme cases, the ADS may reach 40 K. In addition to the sensor’s malfunctioning, another possible source of unrealistically large ADS is direct solar heating of buoys’ hulls [31,32]. We establish the threshold for ‘realistic’ ADS, beyond which the DS is likely caused by extraneous factors other than variations in the water temperature, from the analysis of statistics of TSAT vs. TIS within the MDSs listed in Table 2.
Figure 6a shows the median M(TSATTIS) computed over segments with ADS corresponding to the D ± 0.5 K bins as a function of D. For all satellites, the M(TSATTIS) is close to 0 K in the first D bin centered at 0.5 K, because the regression coefficients of the ACSPO SST equations were trained against TIS with iQuam QL = 5, which rejects those TIS counts that are significantly affected by the diurnal warming. Within a range of 0.5 K < D < 5.5 K, the medians vary from −0.05 K to 0.15 K, and then at D > 5.5 K, they drop to essentially negative values due to increased fractions of segments with the ADSs caused by the extraneous factors.
Figure 6b shows the RSDs, S(TSATTIS), as a function of D. The RSDs are consistent across all satellites for Ds < ~3.5 K, gradually increasing to ~0.6 K. At D > 3.5 K, the RSDs grow at a faster rate. The largest RSDs correspond to the ‘pm’ satellites (S-NPP, Aqua, and NOAA-19), which observe the ocean at times close to the peak of the SST diurnal cycle, whereas the ‘am’ satellites (Metop-A/B) exhibit the lowest RSDs.
Figure 6c shows the correlation coefficients CNIGHT of TSATTNIGHT versus TISTNIGHT, calculated within the same D bins. The CNIGHT for Aqua, NPP, and NOAA-15/18/19 satellites show pronounced maxima at D = 3.5 K, followed by a sharp decline at D = 5.5 K. For the ‘am’ satellites Metop-A/B and Terra, the CNIGHTs are relatively small and do not show distinct maxima. This is because significant ‘realistic’ ADSs, with D < 5.5 K, most often occur near the peak of the diurnal cycle, whereas in the morning or evening, such ADSs are mostly caused by factors other than variations in the water temperature.
Considering that at D > ~5.5 K, the medians M(TSATTIS) in Figure 6a start decreasing, and the correlations CNIGHT in Figure 6c converge for all satellites, we adopt 5 K as the upper threshold for realistic ADSs for the water temperature at the buoys’ depth. Figure 5b shows that this threshold rejects approximately 0.7% of all segments with identifiable DS.
Figure 6d shows the correlations CL4 of TSATTL4 and TISTL4. For S-NPP, Aqua, and NOAA-15/18/19 at D > 2.5 K, they are higher than the corresponding CNIGHTs in Figure 6c and remain relatively high at D > 5.5 K because the deviations of TSATTL4 and TISTL4 are both affected by the same variations in TL4. This raises a question of the quality of the reference SST in the presence of significant DS in the buoys’ records. Remember that the ‘foundation’ L4 analyses are not intended to reproduce the diurnal warming cycle. In particular, the CMC does not assimilate SSTs sampled during the day under wind speeds < 6 m/s between 25° S and 25° N or elsewhere within 45 days of the summer solstice [25,26]. It is instructive, therefore, to explore the quality of the TISTL4 statistics in the presence of diurnal SST variations.

3.3. Quality of the L4 SST in the Presence of Diurnal SST Variations

Figure 7 shows the statistics of TNIGHTTL4, TMAXTL4, and TMINTL4, averaged over the daily segments with ADS falling within D ± 0.25 K bins in 2012–2018, as a function of D. Figure 7b,c show the corresponding statistics for TMAXTNIGHT and TMINTNIGHT.
In Figure 7a, the median, M(TNIGHTTL4), is as small as 0.01 K, and the RSD, S(TNIGHTTL4) = 0.2 K within the range 0 K ≤ D ≤ 0.5 K. This indicates a close consistency between the TNIGHT and TL4, when the diurnal warming is limited. However, when D grows, the M(TNIGHTTL4) decreases and the S(TNIGHTTL4) increases. One concludes that in the presence of the DS, the CMC SST becomes less consistent with the nighttime SSTs and less stable, likely due to residual diurnal variations in the assimilated daytime SSTs.
In Figure 7b, the two medians, M(TMINTNIGHT) and, more so, M(TMINTL4), are both negative and decrease when D increases. This suggests a direct link between larger ADS and more intensive nighttime cooling of the ocean at the buoys’ depth. The deviations of TMAX and TMIN from TL4 are colder than the corresponding deviations from TNIGHT, consistent with curve 1 in Figure 7a. In Figure 7c, all four RSDs, S(TMAXTL4), S(TMINTL4), S(TMAXTNIGHT), and S(TMINTNIGHT), increase with D. However, the S(TMAXTNIGHT) and S(TMINTNIGHT) are much smaller than the S(TMAXTL4) and S(TMINTL4). Considering that variations of TISTNIGHT are less dependent on the ADS compared to TISTL4, we conclude that the comparison of TIS with TNIGHT provides a more stable screening of individual TIS outliers than the comparison of TIS with TL4.

3.4. Checking Daily Segments for Systematic Errors

To check daily segments for systematic errors, we compare TNIGHT with TL4. This is a more adequate use of the ‘foundation’ TL4 than comparing each individual TIS with TL4 (as it is done e.g. in the current iQuam QC). The threshold for this comparison accounts for the geographical variability of the TL4 uncertainty. Specifically, this threshold is set to be proportional to the spatial standard deviation (SD) of the analysis SST within the 5° × 5° neighborhood of each grid node over each month. The estimates of the TL4 uncertainty, SL4, are obtained for any location by interpolating the gridded monthly SDs.
The condition for comparing TNIGHT versus TL4 takes the following form:
γ1SL4 < TNIGHTd(D) − TL4 < γ2SL4
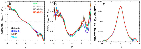
The function d(D) accounts for the dependency of M(TNIGHTTL4) on D, corresponding to curve 1 in Figure 7, and the SL4 is a function of geographical coordinates. The coefficients γ1 and γ2 are selected based on the analysis of TSATTIS statistics over 2012–2018 and all matchups, both nighttime and daytime, from the MDS listed in Table 2. Figure 8 shows these statistics as a function of γ:
γ = (TNIGHTd(D) − TL4)/SL4
In Figure 8a, the medians M(TSATTIS) depend on γ, and their shapes are similar for all satellites. This confirms a direct link between the γ and systematic errors in TIS. Based on the dependencies in Figure 8a, we select γ1 = −1.7 and γ2 = 1.5, which corresponds to the ±1 K limits for M(TSATTIS). Figure 8b shows the RSDs, S(TSATTIS) as functions of γ. The selected values of γ1 and γ2 correspond to the RSDs of ~ 1 K at γ1 = −1.7 and ~0.6 K at γ2 = 1.5. Figure 8c shows the fractions of TIS’s in all daily segments as a function of γ. The above selection of γ1 and γ2 results in rejecting ~0.25% of TIS’s belonging to the segments with γ < γ1 and ~0.2% of TIS’s in the segments with γ > γ2.

3.5. Formulation of the DRC

In summary, the Diurnal Reference Check is formulated as follows.
Each daily segment is checked with the following conditions:
D < 5 K
TL4 − 1.7SL4 < TNIGHTd(D) < TL4 + 1.5SL4
If at least one of the two conditions (3) or (4) is not met, the whole segment is rejected. If conditions (3) and (4) are both satisfied, then individual TIS’s within a given segment are checked for outliers with the following condition:
a(D) − αb(D) < TISTNIGHT < f(D) + αc(D)
In (5), a(D) and f(D) are functions of D corresponding to curves 4 and 3 in Figure 7b; b(D) and c(D) are functions of D corresponding to curves 4 and 3 in Figure 7c; and α = 2 is an empirical coefficient. The TIS is rejected if the condition (5) is not met.

4. Results

This section validates the newly proposed DRC check.

4.1. Examples of Filtering Data of Individual Buoys

We reprocessed iQuam data from DTM buoys for 1981–2021 with the experimental set of QC checks (EXP QC). In addition to the DRC, the EXP QC retained the five current binary iQuam checks (DR, GC, TC, SC, and IC). The Buddy Check was not included in the EXP QC because its effect was found to be insignificant. The highest QL = 5 was assigned in EXP QC to TIS’s that pass all six checks. Figure 9, Figure 10, Figure 11 and Figure 12 compare the results of processing selected drifters’ records with the current iQuam v2.10 QC and the EXP QC. The matching TSAT were selected from the MDS listed in Table 2. If matchups for the specific TIS are found in more than one MDS, then the median of all matching TSAT is taken as a single matchup.
Figure 9 shows the results of QC’ed TIS for the drifter 4201591 in the Gulf of Mexico in July 2018. Significant ADSs up to 5 K were observed over 19 days, and consistent diurnal variations are seen in TSAT. The current QC cuts off the peak values of daytime TIS’s (cf. Figure 9b), whereas the EXP QC preserves the full DS (Figure 9c).
Figure 10 shows the SST record for the drifter 1500607 in the Atlantic Ocean near Brazil in December 2018. During the second decade of the month, the TIS showed ADSs from 1–5 K and consistent diurnal variations in TSAT. In the third decade, the ADSs increased to ~10 K, but the TSAT did not show such diurnal variations. This suggests that these large ADSs in TIS were caused by extraneous factors rather than variations in the water temperature. In Figure 10b, the current iQuam RC rejects all significant deviations from TL4 after December 10. In Figure 10c, the EXP QC preserves the diurnal TIS variations from 10–20 December, consistent with TSAT, but rejects the daily segments with unrealistic ADSs from 20–30 December. Note, however, that the EXP QC also preserves the DS on 29 December, when its amplitude is less than 5 K, despite its inconsistency with TSAT. This may suggest the need for a more conservative threshold for the ADS in the coastal zones. Such refinements will be explored in the future.
Figure 11 shows TIS from buoy 3300688 in the Agulhas current in February 2017. The current QC rejects a significant number of TIS’s (which note are reasonably consistent with TSAT; Figure 11b). Significant deviations of TIS from TL4 are due to the diurnal warming (on days 2, 3, 6, 14, 20, and 24) and inaccurate TL4 (typical for a dynamic zone). In contrast, the EXP QC preserves the whole record (cf. Figure 11c), thanks to the ADS-dependent thresholds for TISTNIGHT and adequately liberal thresholds for TNIGHTTL4.
Lastly, Figure 12 shows the TIS for buoy 6500599 near the Norwegian coast in June 2017. Significant diurnal variations in TIS, consistent with TSAT, occurred on 8–9 June. The possibility of large diurnal SST variations in the high latitudes was discussed in [14,15]. The current RC rejects daytime TIS due to significant deviations from TL4 (Figure 12b), whereas the EXP QC fully preserves the DS in TIS (Figure 12c).

4.2. The Impact of the QC on Temporal and Spatial Variability of In Situ SST

Figure 13 illustrates the impact of the QC on spatial and temporal variability of high-quality ΔTL4. Figure 13a,b show the composite maps of bias and SD of ΔTL4 produced from DTM TIS counts sampled between 8 a.m. and 8 p.m. LST and averaged over 2012–2018 without preliminary QC. Figure 13c,d show the same statistics produced from TIS of QL = 5 by the iQuam QC.
The current iQuam QC suppresses the original spatial and temporal variability of ΔTL4Figure 13e,f show the maps of similar statistics for ΔTIS of QL = 5 processed with the QC EXP. These maps are much closer to those shown in Figure 13a,b. We conclude that the QC EXP better preserves the original variability of ΔTL4.
As shown in Figure 7a, the negative difference TNIGHTTL4 increases and becomes less stable with increased ADS. Recall the CMC SST is largely produced from nighttime SSTs, with a small fraction of those daytime data deemed least affected by the diurnal warming. Given that the criteria for assimilating in situ and satellite SSTs are different in different L4 analyses, it is instructive to estimate the global diurnal cycle in ΔTL4’s produced by subtracting different analyses from TIS’s. Figure 14a shows such global mean diurnal cycles produced from TIS with QL = 5 determined by the current iQuam QC for eleven L4 analyses listed in Table 3. The averaging periods for each ΔTL4 are listed in the right column. Note that all curves are normalized at zero (i.e., L4-specific global biases subtracted from all curves to center them all at 0 K). The mean ADS in ΔTL4 is ~0.17 K, with maxima and minima varying within ~0.03 K between different L4s. Figure 14b re-plots the same diurnal cycle but now produced from TIS with the EXP QL = 5. The EXP QC increases global mean ADSs to ~0.23 K, ~35% larger than with the current iQuam QC, and mitigates the differences between various L4 analyses. One concludes that the EXP QC better preserves the diurnal variability in the TIS, mitigates the excessive forcing of QL = 5 TIS’s to the specific L4 analysis, and reconciles the DSs produced with different L4 analyses.

4.3. Time Series of Statistics of TIS vs. TSAT and Satellite-Based Retrospective QC

This section compares the statistics of TIS with QL = 5 vs. TSAT for 1981–2021 produced with the current iQuam and the EXP QCs. The TSAT’s are obtained from all MDSs available for each period. As mentioned in Section 3.1, if matchups for a given TIS are found in several MDSs, then the median of all matching TSAT is taken as a single matchup. We also explore the potential of introducing an additional satellite-based QL (SAT QC), which is assigned to TIS counts of QL = 5 by EXP QC, matching TSAT and satisfying the following condition:
|(TISTSATµ)| < 3σ
Here, µ and σ are the mean and SD of TISTSAT averaged over a full monthly set of matchups with QL = 5 as determined by the EXP QC. The fractions of matchups satisfying condition (6) in the monthly sets of matchups range from 98.7% to 99%. The time series of monthly statistics of TIS vs. TSAT for 1981–2021 are shown in Figure 15.
Figure 15a shows a time series of fractions of QL = 5 TIS identified by the current iQuam QC, EXP QC, and SAT QC. The EXP QC performs more liberal screening than the current QC, producing 2.5% more quality TIS’s counts in 1981–1989 and 6–7% more counts in the later years. The fraction of matchups passing the SAT QC increases over the years consistently with the numbers of available satellite MDSs (cf. time series of monthly fractions of matched TIS before the QC and the numbers of available MDSs in Figure 1b), reaching ~18–20% in 2010–2021 and ~25% in 2020–2021.
In Figure 15b, the time series of ΔTSAT = TISTSAT produced by current, EXP, and SAT QCs are very similar. However, the biases for the EXP QC are somewhat warmer, due to better preserving the daytime TIS’s affected by the diurnal warming.
Figure 15c shows the time series of SDs of ΔTSAT for the three QCs. The EXP QC produces larger SDs than the current QC. The SAT QC reduces SDs below the current QC levels by rejecting a small number of outliers in ΔTSAT. Note that the removal of outliers by SAT QC does not suppress the DS in the TIS, as attested by the fact that in 1990–2021, the SAT QC produced biases comparable with or warmer than those produced by the EXP QC (cf. Figure 15b). Note that the SAT QC eliminated the artificial peak in SDs in 1991 due to inaccurate TIS’s that survive both current iQuam and EXP QCs.
Large variations in biases and SDs in the 1980s are mainly due to a relatively small number of matchups (several hundred per month, according to Figure 1a). Degraded quality TSAT caused by instrumental problems of the AVHRR/2 radiometers on the early NOAA-07/09/11 satellites also contributes, as well as training SST equations for NOAA-07/09 against the combinations of DTM and ship SSTs [19].
Figure 15d shows time series of monthly correlations between TISTL4 and TSATTL4 with TL4 produced from the OISST [23,24]. The EXP QC increases correlation coefficients compared to the current iQuam QC due to improved preservation of the daytime TIS’s affected by the diurnal warming and consistent with TSAT. Rejecting additional outliers by the SAT QC increases the correlation even further.
Although the numbers of TIS’s identified by the SAT QC are relatively small, these are the very matchups used in the Cal/Val of the satellite products listed in Table 1. Filtering outliers in the MDS with the condition (5) will facilitate the Cal/Val during subsequent reprocessings of the satellite data.

5. Conclusions

The iQuam QC, as well as other in situ QC systems, relies on comparing individual in situ SST measurements with reference SST obtained from L4 analyses. The challenge with such comparisons is that true significant deviations from reference SST, caused by diurnal warming or degraded feature resolution of the reference SST in the dynamic zones of the World Ocean, can be screened out. The Diurnal Reference Check (DRC), proposed in this study, mitigates the overscreening problem for drifting and tropical moored buoys, whose sampling frequency is sufficient for identifying and estimating the diurnal signal.
To optimize the DRC performance in the presence of a significant diurnal signal in in situ SSTs, the SST records from individual buoys were subdivided into 24-h daily segments, and each segment was characterized by the median nighttime SST and the amplitude of a diurnal signal. This allowed separate optimization of filtering individual SST outliers from filtering daily segments affected by significant systematic errors or extraneous factors, such as the overheating of the buoys’ hulls.
The main DRC features and thresholds have been determined from the analyses of the statistics of deviations of in situ SSTs from reference (L4) SST, median nighttime SSTs, and satellite ‘Subskin’ SSTs averaged over the period 2012–2018. The matchups with satellite ‘Subskin’ SST, used in this analysis, came from long-term full-mission historical reprocessings (RANs) of the data of satellite radiometers AVHRR GAC onboard NOAA-15/18/19, AVHRR FRAC onboard Metop-A/B/C, VIIRS onboard S-NPP/NOAA-20, and MODIS onboard the Terra/Aqua satellites with the NOAA ACSPO system.
Based on the analysis of the statistics of in situ SST versus ‘Subskin’ SST, the upper threshold for the amplitude of the diurnal signal in the water temperature was set at 5 K. The diurnal segments, in which the amplitudes of the diurnal signals exceed the threshold, are rejected, assuming that these unrealistic amplitudes are mainly caused by extraneous factors.
It was found that in the presence of significant diurnal signals, the statistics of deviations of in situ SST from reference SST are less stable than the corresponding statistics of deviations from median nighttime SST. Therefore, the individual in situ SSTs are checked for outliers by comparison with the median nighttime SSTs rather than reference SSTs. This stabilizes the results of screening the individual outliers.
The reference L4 SST is used in the DRC only to identify the daily sets affected by significant systematic errors (calibration trends, ‘gross’ errors, etc.) by comparison with median nighttime SST. The thresholds used in this comparison are geographically dependent, being set proportional to the local spatial/temporal variability of the reference SST estimated on a monthly basis. The coefficient of proportionality was derived from the matchups with ‘Subskin’ SST such that to limit the maximum systematic error at ±1 K.
The previous studies [5,9] suggested that the overscreening caused by comparing in situ SST with reference SST during diurnal warming events can be mitigated using models or reference SST data sets that capture the diurnal warming cycle. The DRC does not require such information because the reference SST is used only for comparison with the median nighttime SST, which, in turn, is used as a reference in filtering individual in situ SST outliers. The DRC would rather benefit from the availability of the L4 analysis derived solely from nighttime data because assimilation of daytime SSTs, even after excluding those most affected by the diurnal warming, introduces additional ‘noise’ in the deviations between the median nighttime and reference SSTs.
We compared the results of the experimental QC, which includes the DRC along with a number of the heritage iQuam QC checks, with the ones of the current iQuam QC. We further validated both QCs against satellite SSTs from available data sets of matchups for September 1981–December 2021 from several ACSPO RANs, including AVHRR GAC RAN2 from NOAA-07/09/11/12/14/15/16/17/18/19; AVHRR FRAC RAN1 from Metop-A/B/C; VIIRS RAN3 from S-NPP/NOAA-20; and MODIS RAN1 from Terra/Aqua. The simultaneous use of matchups from satellites flying in different orbits allows for validating the diurnal signals observed in in situ SSTs, as well as discriminating the ‘real’ diurnal variations in the water temperature from ‘false’ diurnal signals caused by the extraneous factors.
Compared with the current iQuam QC, the DRC better preserves true diurnal variations in in situ SST, as well as its deviations from reference SST in the dynamic zones. At the same time, it efficiently rejects unrealistically large deviations from the reference SST. As a result, the DRC minimizes suppression of spatial and temporal variability in in situ SST and reduces the dependency of the QC results on the specific L4 analysis. In particular, the DRC reconciles the estimates of the mean global diurnal cycle derived from deviations of in situ SST from different L4 analyses, and increases their amplitudes. Overall, the DRC increases the monthly numbers of quality in situ SST measurements by 4–6% and improves the correlation between deviations of satellite and in situ SSTs from reference SST at the expense of increased SDs of deviations of in situ from satellite SST.
We also explored the potential of introducing the additional, satellite-based quality level for in situ SSTs based on matching them with satellite SSTs. The exclusion of ~1% of outliers from the matchups reduces the standard deviations of in situ SSTs minus satellite SSTs below the levels typical for the current iQuam QC and significantly increases the correlation between TISTL4 and TSATTL4. The fraction of in situ measurements to which this new QL can be assigned, is relatively small in the earlier years, ranging from ~2.6% in the 1980s and increasing to 18–25% in the 2010s. However, these are the very same matchups used in Cal/Val of satellite retrievals. It is expected, therefore, that the elimination of these outliers will improve the satellite Cal/Val.
Work is underway to implement the DRC in the official future releases of the iQuam. Future work will also aim at the development of advanced QC procedures for the platforms with a relatively low temporal sampling rate (ships, Argo floats), evaluation of the effects of the new QC on the training and validation of satellite SST retrievals, and further refining the DRC parameters as needed.

Author Contributions

Conceptualization, B.P. and A.I.; methodology, B.P.; software, B.P.; validation, B.P., V.P. and O.J.; formal analysis, B.P.; investigation, B.P., A.I. and V.P.; resources, A.I.; data curation, V.P. and O.J.; writing—original draft preparation, B.P.; writing—review and editing, A.I. and BP.; visualization, B.P. and V.P.; supervision, A.I.; project administration, A.I.; funding acquisition, A.I. All authors have read and agreed to the published version of the manuscript.

Funding

This work was supported by the following NOAA Programs: JPSS (Lihang Zhou, JPSS Manager; Satya Kalluri, JPSS Program Scientist; Ingrid Guch, JSTAR Manager), GOES-R (Jaime Daniels, Chair, Algorithm Working Group), ORS (Paul DiGiacomo and Marilyn Yuen-Murphy, Managers), and NESDIS Innovation (Mitch Goldberg, NESDIS Chief Scientist and Program Manager).

Institutional Review Board Statement

Not applicable.

Informed Consent Statement

Not applicable.

Data Availability Statement

In situ data processed with the current iQuam v.2.10 are available at https://www.star.nesdis.noaa.gov/socd/sst/iquam/ (accessed on 3 September 2023). In situ data reprocessed with the modified iQuam will be available after updating the official iQuam version.

Acknowledgments

We thank NOAA JPSS, GOES-R, ORS, and NESDIS Innovation Programs for sustained support of iQuam development. The views, opinions, and findings in this report are those of the authors and should not be construed as an official NOAA or U.S. Government position or policy.

Conflicts of Interest

The authors declare no conflict of interest.

Abbreviations

AcronymDefinition
3SSensor Stability for SST system
AATSRAdvanced Along-Track Scanning Radiometer
ACSPOAdvanced Clear Sky Processor for Ocean
ADSAmplitude of Diurnal Signal
AOMLAtlantic Oceanographic and Meteorological Laboratory
AVHRRAdvanced Very High Resolution Radiometer
BCBuddy Check
CCIClimate Change Initiative
CMCCanadian Meteorological Center
CMEMSCopernicus Marine Environment Monitoring Service
CRWCoral Reef Watch
DMIDanish Meteorological Institute
DTMDrifters and Tropical Moored buoys
DRCDiurnal Reference Check
DSDiurnal Signal
ENVISATEnvironmental Satellite
FNMOCFleet Numerical Meteorology and Oceanography Center
FRAC1 km Full Resolution Area Coverage mode
GAC4 km Global Area Coverage mode
GAMSSAGlobal Australian Multi-Sensor SST Analysis
GCPlausibility/Geolocation Check
GDACGlobal Data Assembly Centers
GMPESST Global Multi-Product Ensemble
GPBGeo Polar Blended SST
ICPlatform ID Check
ICOADSInternational Comprehensive Ocean-Atmosphere Data Set
IMOSIntegrated Marine Observing System (Australia)
iQuamIn Situ SST Quality Monitor
IRInfrared
LEOLow-Earth Orbiting
LEXTLocal Equator Crossing Time
MDSData Set of Matchups
MODISModerate Resolution Imaging Spectroradiometer
OISSTOptimal Interpolation SST
OSTIAOperational Sea Surface Temperature and Sea Ice Analysis
OSTIA-RANOSTIA Reanalysis
PGEProbability of Gross Error
RSDRobust Standard Deviation
SDStandard Deviation
SSTSea Surface Temperature
QCQuality Control
QC EXPExperimental QC
QC SATSatellite-based QC
QLQuality Level
RCReference Check
SCSST Spike Check
SQUAMSST Quality Monitor
TCPlatform Track Check
VIIRSVisible Infrared Imaging Radiometer Suite

References

  1. In Situ SST Quality Monitor. Available online: https://www.star.nesdis.noaa.gov/socd/sst/iquam/ (accessed on 22 August 2023).
  2. Xu, F.; Ignatov, A. In situ SST quality monitor (iQuam). J. Atmos. Ocean. Technol. 2014, 31, 164–180. [Google Scholar] [CrossRef]
  3. Xu, F.; Ignatov, A. Error characterization in iQuam SSTs using triple collocations with satellite measurements. Geophys. Res. Lett. 2016, 43, 10826–10834. [Google Scholar] [CrossRef]
  4. Brisson, A.; Le Borgne, P.; Marsouin, A. Results of one year of preoperational production of sea surface temperatures from GOES-8. J. Atmos. Ocean. Technol. 2002, 19, 1638–1652. [Google Scholar] [CrossRef]
  5. Atkinson, C.P.; Rayner, N.A.; Roberts-Jones, J.; Smith, R.O. Assessing the quality of sea surface temperature observations from drifting buoys and ships on a platform-by-platform basis. J. Geophys. Res. Oceans 2013, 118, 3507–3529. [Google Scholar] [CrossRef]
  6. Kilpatrick, K.A.; Podestá, G.P.; Evans, R. Overview of the NOAA/NASA Advanced Very High Resolution Radiometer Pathfinder algorithm for sea surface temperature and associated matchup database. J. Geophys. Res. 2001, 106, 9179–9197. [Google Scholar] [CrossRef]
  7. Castro, S.L.; Wick, G.A.; Emery, W.J. Evaluation of the relative performance of sea surface temperature measurements from different types of drifting and moored buoys using satellite-derived reference products. J. Geophys. Res. 2012, 117, C02029. [Google Scholar] [CrossRef]
  8. Marsouin, A.; Le Borgne, P.; Legendre, G.; Péré, S.; Roquet, H. Six years of OSI-SAF MetOp-A AVHRR sea surface temperature. Remote Sens. Environ. 2015, 159, 288–306. [Google Scholar] [CrossRef]
  9. Zhang, H.; Ignatov, A.; Hinshaw, D. Evaluation of the in situ Sea Surface Temperature Quality Control in the NOAA in situ SST Quality Monitor (iQuam) System. J. Atmos. Ocean. Technol. 2021, 38, 1249–1263. [Google Scholar] [CrossRef]
  10. Lorenc, A.C.; Hammon, O. Objective quality control of observations using Bayesian methods. Theory, and a practical implementation. Q. J. R. Meteorol. Soc. 1988, 114, 515–543. [Google Scholar] [CrossRef]
  11. Donlon, C.; Robinson, I.; Casey, K.S.; Vazquez-Cuervo, J.; Armstrong, E.; Arino, O.; Gentemann, C.; May, D.; LeBorgne, P.; Piollé, J.; et al. The Global Ocean Data Assimilation Experiment High-resolution Sea Surface Temperature Pilot Project. Bull. Am. Meteorol. Soc. 2007, 88, 1197–1214. [Google Scholar] [CrossRef]
  12. Gentemann, C.L.; Donlon, C.J.; Stuart-Menteth, A.; Wentz, F.J. Diurnal signals in satellite sea surface temperature measurements. Geophys. Res. Lett. 2003, 30, 1140. [Google Scholar] [CrossRef]
  13. Gentemann, C.L.; Minnett, P.J.; Le Borgne, P.; Merchant, C.J. Multi-satellite measurements of large diurnal warming events. Geophys. Res. Lett. 2008, 35, L22602. [Google Scholar] [CrossRef]
  14. Eastwood, S.; Le Borgne, P.; Péré, S.; Poulter, D. Diurnal variability in sea surface temperature in the Arctic. Remote Sens. Environ. 2011, 115, 2594–2602. [Google Scholar] [CrossRef]
  15. Kawai, Y.; Wada, A. Diurnal Sea Surface Temperature Variation and Its Impact on the Atmosphere and Ocean: A Review. J. Oceanogr. 2007, 63, 721–744. [Google Scholar] [CrossRef]
  16. Kennedy, J.J.; Brohan, P.; Tett, S.F.B. A global climatology of the diurnal variations in sea-surface temperature and implications for MSU temperature trends. Geophys. Res. Lett. 2007, 34, L05712. [Google Scholar] [CrossRef]
  17. Kawamura, H.; Qin, H.; Ando, K. In-situ diurnal sea surface temperature variations and near-surface thermal structure in the tropical hot event of the Indo-Pacific warm pool. J. Oceanogr. 2008, 64, 847–857. [Google Scholar] [CrossRef]
  18. Pryamitsyn, V.; Petrenko, B.; Ignatov, A.; Kihai, Y. Metop First Generation AVHRR FRAC SST Reanalysis Version 1. Remote Sens. 2021, 13, 4046. [Google Scholar] [CrossRef]
  19. Petrenko, B.; Pryamitsyn, V.; Ignatov, A.; Jonasson, O.; Kihai, Y. AVHRR GAC Sea Surface Temperature Reanalysis Version 2. Remote Sens. 2022, 14, 3165. [Google Scholar] [CrossRef]
  20. Jonasson, O.; Ignatov, A.; Pryamitsyn, V.; Petrenko, B.; Kihai, Y. JPSS VIIRS SST Reanalysis Version 3. Remote Sens. 2022, 14, 3476. [Google Scholar] [CrossRef]
  21. Sensor Stability for SST (3S). Available online: https://www.star.nesdis.noaa.gov/socd/sst/3s/ (accessed on 22 August 2023).
  22. Petrenko, B.; Ignatov, A.; Kihai, Y.; Dash, P. Sensor-Specific Error Statistics for SST in the Advanced Clear-Sky Processor for Oceans. J. Atmos. Ocean. Technol. 2016, 33, 345–359. [Google Scholar] [CrossRef]
  23. Reynolds, R.W.; Smith, T.M.; Liu, C.; Chelton, D.B.; Casey, K.S.; Schlax, M.G. Daily high-resolution-blended analyses for sea surface temperature. J. Clim. 2007, 20, 5473–5496. [Google Scholar] [CrossRef]
  24. NOAA Optimal Interpolation (OI) SST v.2. Available online: https://psl.noaa.gov/data/gridded/data.noaa.oisst.v2.highres.html (accessed on 22 August 2023).
  25. GHRSST Level 4 CMC0.2deg Global Foundation Sea Surface Temperature Analysis (GDS Version 2). Available online: https://podaac.jpl.nasa.gov/dataset/CMC0.2deg-CMC-L4-GLOB-v2.0 (accessed on 22 August 2023).
  26. GHRSST Level 4 CMC0.1deg Global Foundation Sea Surface Temperature Analysis (GDS Version 2). Available online: https://podaac.jpl.nasa.gov/dataset/CMC0.1deg-CMC-L4-GLOB-v3.0 (accessed on 22 August 2023).
  27. Good, S.; Fiedler, E.; Mao, C.; Martin, M.J.; Maycock, A.; Reid, R.; Roberts-Jones, J.; Searle, T.; Waters, J.; While, J.; et al. The Current Configuration of the OSTIA System for Operational Production of Foundation Sea Surface Temperature and Ice Concentration Analyses. Remote Sens. 2020, 12, 720. [Google Scholar] [CrossRef]
  28. Global Ocean OSTIA Sea Surface Temperature and Sea Ice Reprocessed. Available online: https://doi.org/10.48670/moi-00168 (accessed on 22 August 2023).
  29. Merchant, C.J.; Embury, O.; Bulgin, C.E.; Block, T.; Corlett, G.K.; Fiedler, E.; Good, S.A.; Mittaz, J.; Rayner, N.A.; Berry, D.; et al. Satellite-based time-series of sea-surface temperature since 1981 for climate applications. Sci. Data 2019, 6, 223. [Google Scholar] [CrossRef]
  30. ESA Sea Surface Temperature Climate Initiative Level 4 Analysis Climate Data Record, Versions 2. Available online: https://catalogue.ceda.ac.uk/uuid/aced40d7cb964f23a0fd3e85772f2d48 (accessed on 22 August 2023).
  31. Bitterman, D.S.; Hansen, D.V. Evaluation of sea surface temperature measurements from drifting buoys. J. Atmos. Ocean. Technol. 1993, 10, 88–96. [Google Scholar] [CrossRef]
  32. Kawai, Y.; Kawamura, H.; Tanba, S.; Ando, K.; Yoneyama, K.; Nagahama, N. Validity of Sea Surface Temperature Observed with the TRITON Buoy under Diurnal Heating Conditions. J. Oceanogr. 2006, 62, 825–838. [Google Scholar] [CrossRef]
Figure 1. (a) Monthly number of (1) DTM TIS’s and (2) DTM TIS’s matched with satellite TSAT’s. (b) (1) Monthly fraction of TIS’s matched with TSAT’s (%) and (2) Number of satellites whose MDS are available during each month.
Figure 1. (a) Monthly number of (1) DTM TIS’s and (2) DTM TIS’s matched with satellite TSAT’s. (b) (1) Monthly fraction of TIS’s matched with TSAT’s (%) and (2) Number of satellites whose MDS are available during each month.
Applsci 13 10205 g001
Figure 2. Time series of monthly (a) medians and (b) RSDs of nighttime DTM SST deltas from three L4 SSTs for a period from September 1981–1991: (black) OSTIA, (blue) OISST, and (red) CCI. The numbers in the plots show the temporal means and SDs calculated over the whole 10-year period.
Figure 2. Time series of monthly (a) medians and (b) RSDs of nighttime DTM SST deltas from three L4 SSTs for a period from September 1981–1991: (black) OSTIA, (blue) OISST, and (red) CCI. The numbers in the plots show the temporal means and SDs calculated over the whole 10-year period.
Applsci 13 10205 g002
Figure 3. Same as in Figure 2 but for combined ship and DTM ΔTL4’s.
Figure 3. Same as in Figure 2 but for combined ship and DTM ΔTL4’s.
Applsci 13 10205 g003
Figure 4. Monthly composite SST maps for May 1985 for (a) CCI, (b) OISST, and (c) OSTIA.
Figure 4. Monthly composite SST maps for May 1985 for (a) CCI, (b) OISST, and (c) OSTIA.
Applsci 13 10205 g004
Figure 5. (a) Time series of the total monthly number of (1) daily segments in DTM and (2) daily segments with identifiable DS. (b) Fraction of daily segments with identifiable DS, in which the ADS exceeds D, as a function of D.
Figure 5. (a) Time series of the total monthly number of (1) daily segments in DTM and (2) daily segments with identifiable DS. (b) Fraction of daily segments with identifiable DS, in which the ADS exceeds D, as a function of D.
Applsci 13 10205 g005
Figure 6. (a) Medians and (b) RSDs of TSATTIS; correlations of (c) TSATTNIGHT versus TISTNIGHT and (d) TSATTL4 versus TISTL4, as a function of D, for eight satellites listed in Table 2.
Figure 6. (a) Medians and (b) RSDs of TSATTIS; correlations of (c) TSATTNIGHT versus TISTNIGHT and (d) TSATTL4 versus TISTL4, as a function of D, for eight satellites listed in Table 2.
Applsci 13 10205 g006
Figure 7. (a) (1) Median and (2) RSDs of TNIGHTTL4; (b) Medians and (c) RSDs of (1) TMAXTL4, (2) TMINTL4, (3) TMAXTNIGHT and (4) TMINTNIGHT, calculated within DS intervals D ± 0.5 K, as functions of D.
Figure 7. (a) (1) Median and (2) RSDs of TNIGHTTL4; (b) Medians and (c) RSDs of (1) TMAXTL4, (2) TMINTL4, (3) TMAXTNIGHT and (4) TMINTNIGHT, calculated within DS intervals D ± 0.5 K, as functions of D.
Applsci 13 10205 g007
Figure 8. (a) Medians and (b) RSDs of TSATTIS and (c) fractions of TIS’s, as a function of γ for satellites listed in Table 2.
Figure 8. (a) Medians and (b) RSDs of TSATTIS and (c) fractions of TIS’s, as a function of γ for satellites listed in Table 2.
Applsci 13 10205 g008
Figure 9. Filtering the TIS record for the drifter 4201591 in July 2018. (a) Drifter’s track in the Gulf of Mexico; Results of processing with (b) current iQuam v2.10 QC and (c) EXP QC. The points show (black) TIS with QL < 5, (green) TIS with QL = 5, and (red) matched TSAT. TL4 is shown with a black dashed line.
Figure 9. Filtering the TIS record for the drifter 4201591 in July 2018. (a) Drifter’s track in the Gulf of Mexico; Results of processing with (b) current iQuam v2.10 QC and (c) EXP QC. The points show (black) TIS with QL < 5, (green) TIS with QL = 5, and (red) matched TSAT. TL4 is shown with a black dashed line.
Applsci 13 10205 g009
Figure 10. Same as in Figure 9 but for buoy 1500607 drifting to the Brazilian coast in December 2018.
Figure 10. Same as in Figure 9 but for buoy 1500607 drifting to the Brazilian coast in December 2018.
Applsci 13 10205 g010
Figure 11. Same as in Figure 9 but for drifter 3300688 in February 2017.
Figure 11. Same as in Figure 9 but for drifter 3300688 in February 2017.
Applsci 13 10205 g011
Figure 12. Same as in Figure 9 but for drifter 6500599 near the Norwegian coast in June 2017.
Figure 12. Same as in Figure 9 but for drifter 6500599 near the Norwegian coast in June 2017.
Applsci 13 10205 g012
Figure 13. (a,c,e) Biases and (b,d,f) SDs of daytime ΔTL4, sampled between 8 a.m. and 8 p.m. local solar time (LST) by drifting and tropical moored buoys averaged over 2012–2018, produced from TIS with (a,b) current iQuam QL = 3–5, (c,d) current iQuam QL = 5 only; and (e,f) EXP QL = 5.
Figure 13. (a,c,e) Biases and (b,d,f) SDs of daytime ΔTL4, sampled between 8 a.m. and 8 p.m. local solar time (LST) by drifting and tropical moored buoys averaged over 2012–2018, produced from TIS with (a,b) current iQuam QL = 3–5, (c,d) current iQuam QL = 5 only; and (e,f) EXP QL = 5.
Applsci 13 10205 g013
Figure 14. The average global diurnal cycle in ΔTL4 = TISTL4 with TL4’s obtained from eleven different L4 analyses listed in figures, averaged over the periods shown in Table 3. TIS with QL = 5 by (a) current iQuam and (b) EXP QC.
Figure 14. The average global diurnal cycle in ΔTL4 = TISTL4 with TL4’s obtained from eleven different L4 analyses listed in figures, averaged over the periods shown in Table 3. TIS with QL = 5 by (a) current iQuam and (b) EXP QC.
Applsci 13 10205 g014
Figure 15. Time series of monthly (a) fractions of quality TIS observations, (b) biases of TISTSAT, (c) SDs of TISTSAT, and (d) correlation coefficients of TISTL4 vs. TSATTL4, for (black) current iQuam, (blue) EXP and (red) SAT QCs. The overlaid numbers show mean values of the statistics for four periods.
Figure 15. Time series of monthly (a) fractions of quality TIS observations, (b) biases of TISTSAT, (c) SDs of TISTSAT, and (d) correlation coefficients of TISTL4 vs. TSATTL4, for (black) current iQuam, (blue) EXP and (red) SAT QCs. The overlaid numbers show mean values of the statistics for four periods.
Applsci 13 10205 g015
Table 1. Satellites and instruments represented in each MDS and local equator crossing times.
Table 1. Satellites and instruments represented in each MDS and local equator crossing times.
Satellite, InstrumentCovered Period (DD.MM.YYYY)Orbit
NOAA-07 AVHRR/2 (GAC)09.01.1981–02.02.1985Variable, p.m.
NOAA-09 AVHRR/2 (GAC)01.31.1985–11.07.1988Variable, p.m.
NOAA-11 AVHRR/2 (GAC)11.08.1988–09.13.1994Variable, p.m.
NOAA-12 AVHRR/2 (GAC)09.16.1991–12.14.1998Variable, p.m.
NOAA-14 AVHRR/2 (GAC)01.19.1995–10.19.2001Variable, a.m.
NOAA-15 AVHRR/3 (GAC)11.01.1998–presentVariable, a.m./p.m.
NOAA-16 AVHRR/3 (GAC)10.26.2000–09.17.2007Variable, p.m.
NOAA-17 AVHRR/3 (GAC)07.10.2002–03.08.2010Variable, a.m.
NOAA-18 AVHRR/3 (GAC)06.06.2005–presentVariable, p.m./a.m.
NOAA-19 AVHRR/3 (GAC)02.22.2009–presentVariable, p.m./a.m.
Terra MODIS02.25.2000–presentStable, 10:30 a.m.
Aqua MODIS07.04.2002–presentStable, 1:30 p.m.
Metop-A AVHRR/3 (FRAC)12.01.2006–11.25.2021Stable, 9:30 a.m.
Metop-B AVHRR/3 (FRAC)10.19.2012–presentStable, 9:30 a.m.
Metop-C AVHRR/3 (FRAC)12.04.2018–presentStable, 9:30 a.m.
S-NPP VIIRS12.01.2012–presentStable, 1:30 p.m.
NOAA-20 VIIRS01.05.2018–presentStable, 1:30 p.m.
Table 2. Total number of matchups of DTM in situ with satellite ‘Subskin’ SSTs and LEXT for eight satellites in 2012–2018. The LEXT bounds for the NOAA-15/18/19 were determined from the NOAA Sensor Stability for SST (3S) system [21].
Table 2. Total number of matchups of DTM in situ with satellite ‘Subskin’ SSTs and LEXT for eight satellites in 2012–2018. The LEXT bounds for the NOAA-15/18/19 were determined from the NOAA Sensor Stability for SST (3S) system [21].
Satellite InstrumentNumber of MatchupsLocal Equator Crossing Time
Metop-A AVHRR FRAC2.47 × 1069:30 a.m.
Metop-B AVHRR FRAC2.47 × 1069:30 a.m.
Terra MODIS2.46 × 10610:30 a.m.
Aqua MODIS2.46 × 1061:30 p.m.
S-NPP VIIRS2.48 × 1061:30 p.m.
NOAA-15 AVHRR GAC2.45 × 1064:30–6:50 p.m.
NOAA-18 AVHRR GAC2.45 × 1062:30–8:20 p.m.
NOAA-19 AVHRR GAC2.45 × 1061:30–4:30 p.m.
Table 3. The L4 SST products used in comparison of diurnal signals and periods of their averaging. All links accessed on 22 August 2023.
Table 3. The L4 SST products used in comparison of diurnal signals and periods of their averaging. All links accessed on 22 August 2023.
L4 AnalysisAccessPeriod of Averaging (DD.MM.YYYY)
CCIhttps://catalogue.ceda.ac.uk/uuid/aced40d7cb964f23a0fd3e85772f2d4801.09.1981–31.12.2016
CMC0.2https://podaac.jpl.nasa.gov/dataset/CMC0.2deg−CMC-L4-GLOB-v2.001.09.1991–31.12.2015
CMC0.1https://podaac.jpl.nasa.gov/dataset/CMC0.1deg-CMC-L4-GLOB-v3.001.01.2016–31.12.2021
CRWhttps://coralreefwatch.noaa.gov/product/5km/index.php#data_access01.01.1985–31.12.2021
DMIhttps://podaac.jpl.nasa.gov/dataset/DMI_OI-DMI-L4-GLOB-v1.030.04.2013–31.12.2021
GAMSSAhttps://doi.org/10.5067/GHGAM-4FA1A23.07.2008–31.12.2021
GMPEhttp://ghrsst-pp.metoffice.gov.uk/ostia-website/gmpe-monitoring.html17.09.2009–31.12.2021
GPBhttps://coastwatch.noaa.gov/cwn/products/noaa-geo-polar-blended-global-sea-surface-temperature-analysis-level-4.html02.06.2014–31.12.2021
OISSThttps://psl.noaa.gov/data/gridded/data.noaa.oisst.v2.highres.html01.09.1981–31.12.2021
OSTIAhttps://podaac.jpl.nasa.gov/dataset/OSTIA-UKMO-L4-GLOB-v2.031.12.2006–31.12.2021
OSTIA-RANhttps://doi.org/10.48670/moi-0016801.10.1981–31.12.2021
Disclaimer/Publisher’s Note: The statements, opinions and data contained in all publications are solely those of the individual author(s) and contributor(s) and not of MDPI and/or the editor(s). MDPI and/or the editor(s) disclaim responsibility for any injury to people or property resulting from any ideas, methods, instructions or products referred to in the content.

Share and Cite

MDPI and ACS Style

Petrenko, B.; Ignatov, A.; Pryamitsyn, V.; Jonasson, O. Towards Improved Quality Control of In Situ Sea Surface Temperatures from Drifting and Moored Buoys in the NOAA iQuam System. Appl. Sci. 2023, 13, 10205. https://doi.org/10.3390/app131810205

AMA Style

Petrenko B, Ignatov A, Pryamitsyn V, Jonasson O. Towards Improved Quality Control of In Situ Sea Surface Temperatures from Drifting and Moored Buoys in the NOAA iQuam System. Applied Sciences. 2023; 13(18):10205. https://doi.org/10.3390/app131810205

Chicago/Turabian Style

Petrenko, Boris, Alexander Ignatov, Victor Pryamitsyn, and Olafur Jonasson. 2023. "Towards Improved Quality Control of In Situ Sea Surface Temperatures from Drifting and Moored Buoys in the NOAA iQuam System" Applied Sciences 13, no. 18: 10205. https://doi.org/10.3390/app131810205

APA Style

Petrenko, B., Ignatov, A., Pryamitsyn, V., & Jonasson, O. (2023). Towards Improved Quality Control of In Situ Sea Surface Temperatures from Drifting and Moored Buoys in the NOAA iQuam System. Applied Sciences, 13(18), 10205. https://doi.org/10.3390/app131810205

Note that from the first issue of 2016, this journal uses article numbers instead of page numbers. See further details here.

Article Metrics

Back to TopTop