Optimizing CuFeS2 Chalcopyrite Thin Film Synthesis: A Comprehensive Three-Step Approach Using Ball-Milling, Thermal Evaporation, and Sulfurization Applied for Thermoelectric Generation
Abstract
:1. Introduction
2. Materials and Methods
2.1. Ball-Milling of the Metal Precursors
2.2. Cu-Fe Thin-Film Deposition by Evaporation
2.3. Sulfurization Processes
2.4. X-ray Diffraction
2.5. Scanning Electron Microscopy and Energy Dispersive X-ray Spectroscopy
2.6. Computational Methods
2.7. Hall Measurements
2.8. Thin Film Thermoelectric Generators
3. Results
3.1. Evaporation Optimization
3.1.1. Non-Milled Cu-Fe Powder Evaporation
3.1.2. Optimization of the Ball-Milled Cu-Fe
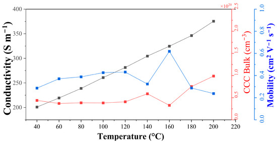
3.2. Optimized CFS Thin Film
4. Discussion
5. Conclusions
Supplementary Materials
Author Contributions
Funding
Institutional Review Board Statement
Data Availability Statement
Acknowledgments
Conflicts of Interest
References
- Elalfy, L.; Music, D.; Hu, M. Metavalent bonding induced abnormal phonon transport in diamondlike structures: Beyond conventional theory. Phys. Rev. B 2021, 103, 75203. [Google Scholar] [CrossRef]
- Yu, H.; Chen, L.-C.; Pang, H.-J.; Qiu, P.-F.; Peng, Q.; Chen, X.-J. Temperature-dependent phonon anharmonicity and thermal transport in CuInTe. Phys. Rev. B 2022, 105, 245204. [Google Scholar] [CrossRef]
- Wang, C.; Ma, Q.; Xue, H.; Wang, Q.; Luo, P.; Yang, J.; Zhang, W.; Luo, J. Tetrahedral distortion and thermoelectric performance of the Ag-substituted CuInTe2 chalcopyrite compound. ACS Appl. Energy Mater. 2020, 3, 11015–11023. [Google Scholar] [CrossRef]
- Wang, K.; Qin, P.; Ge, Z.H.; Feng, J. Highly enhanced thermoelectric properties of p-type CuInSe2 alloys by the Vacancy Doping. Scr. Mater. 2018, 149, 88–92. [Google Scholar] [CrossRef]
- Minerals, R. Chalcopyrite—CuFeS2. Dev. Econ. Geol. 1975, 4, 242–253. [Google Scholar] [CrossRef]
- Xie, H.; Su, X.; Hao, S.; Zhang, C.; Zhang, Z.; Liu, W.; Yan, Y.; Wolverton, C.; Tang, X.; Kanatzidis, M.G. Large Thermal Conductivity Drops in the Diamondoid Lattice of CuFeS2 by Discordant Atom Doping. J. Am. Chem. Soc. 2019, 141, 18900–18909. [Google Scholar] [CrossRef]
- Sato, N.; Gan, P.S.; Tsujii, N.; Mori, T. Effect of microstructure on lattice thermal conductivity of thermoelectric chalcopyrite CuFeS2: Experimental and computational studies. Appl. Phys. Express 2021, 14, 087002. [Google Scholar] [CrossRef]
- Long, S.O.J.; Powell, A.V.; Vaqueiro, P.; Hull, S. High Thermoelectric Performance of Bornite through Control of the Cu(II) Content and Vacancy Concentration. Chem. Mater. 2018, 30, 456–464. [Google Scholar] [CrossRef]
- Qiu, P.; Zhang, T.; Qiu, Y.; Shi, X.; Chen, L. Sulfide bornite thermoelectric material: A natural mineral with ultralow thermal conductivity. Energy Environ. Sci. 2014, 7, 4000–4006. [Google Scholar] [CrossRef]
- Mukherjee, S.; Powell, A.V.; Voneshen, D.J.; Vaqueiro, P. Talnakhite: A potential n-type thermoelectric sulphide with low thermal conductivity. J. Solid State Chem. 2022, 314, 123425. [Google Scholar] [CrossRef]
- Pang, H.; Bourgès, C.; Jha, R.; Baba, T.; Sato, N.; Kawamoto, N.; Baba, T.; Tsujii, N.; Mori, T. Revealing an elusive metastable wurtzite CuFeS2 and the phase switching between wurtzite and chalcopyrite for thermoelectric thin films. Acta Mater. 2022, 235, 118090. [Google Scholar] [CrossRef]
- Li, J.; Tan, Q.; Li, J.-F. Synthesis and property evaluation of CuFeS2−x as earth-abundant and environmentally-friendly thermoelectric materials. J. Alloy. Compd. 2013, 551, 143–149. [Google Scholar] [CrossRef]
- Liang, D.; Ma, R.; Jiao, S.; Pang, G.; Feng, S. A facile synthetic approach for copper iron sulfide nanocrystals with enhanced thermoelectric performance. Nanoscale 2012, 4, 6265–6268. [Google Scholar] [CrossRef]
- Vaure, L.; Liu, Y.; Cadavid, D.; Agnese, F.; Aldakov, D.; Pouget, S.; Cabot, A.; Reiss, P.; Chenevier, P. Doping and Surface Effects of CuFeS2 Nanocrystals Used in Thermoelectric Nanocomposites. ChemNanoMat 2018, 4, 982–991. [Google Scholar] [CrossRef]
- Tsujii, N.; Mori, T. High Thermoelectric Power Factor in a Carrier-Doped Magnetic Semiconductor CuFeS2. Appl. Phys. Express 2013, 6, 043001. [Google Scholar] [CrossRef]
- Tsujii, N. Possible enhancement of thermoelectric properties by use of a magnetic semiconductor: Carrier-doped chalcopyrite Cu1−xFe1+xS2. J. Electron. Mater. 2013, 42, 1974–1977. [Google Scholar] [CrossRef]
- Xie, H.; Su, X.; Zheng, G.; Zhu, T.; Yin, K.; Yan, Y.; Uher, C.; Kanatzidis, M.G.; Tang, X. The Role of Zn in Chalcopyrite CuFeS2: Enhanced Thermoelectric Properties of Cu1−xZnxFeS2 with In Situ Nanoprecipitates. Adv. Energy Mater. 2017, 7, 1601299. [Google Scholar] [CrossRef]
- Nolas, G.S.; Sharp, J.; Goldsmid, H.J. The Phonon—Glass Electron-Crystal Approach to Thermoelectric Materials Research. In Thermoelectrics; Springer: Berlin/Heidelberg, Germany, 2001; pp. 177–207. [Google Scholar] [CrossRef]
- Isotta, E.; Andrade-Arvizu, J.; Syafiq, U.; Jiménez-Arguijo, A.; Navarro-Güell, A.; Guc, M.; Saucedo, E.; Scardi, P. Towards Low Cost and Sustainable Thin Film Thermoelectric Devices Based on Quaternary Chalcogenides. Adv. Funct. Mater. 2022, 32, 2202157. [Google Scholar] [CrossRef]
- Syafiq, U.; Isotta, E.; Ataollahi, N.; Lohani, K.; Luong, S.; Trifiletti, V.; Fenwick, O.; Scardi, P. Facile and Low-Cost Fabrication of Cu/Zn/Sn-Based Ternary and Quaternary Chalcogenides Thermoelectric Generators. ACS Appl. Energy Mater. 2022, 5, 5909–5918. [Google Scholar] [CrossRef]
- Tsujii, N.; Mori, T.; Isoda, Y. Phase stability and thermoelectric properties of CuFeS2-based magnetic semiconductor. J. Electron. Mater. 2014, 43, 2371–2375. [Google Scholar] [CrossRef]
- Sato, K.; Teranishi, T. Optical absorption of a thin CuFeS2 film. J. Phys. Soc. Jpn. 1976, 40, 197–298. [Google Scholar] [CrossRef]
- Korzun, B.; Galyas, A. Thin Films of CuFeS2 Prepared by Flash Evaporation Technique and Their Structural Properties. J. Electron. Mater. 2019, 48, 3351–3354. [Google Scholar] [CrossRef]
- Khalid, M.A.; Salim, I.K. Optical and DC Electrical Investigations of CuFeS2 Thin Films Prepared by Spray Pyrolysis Technique. J. Basrah Res. 2007, 33, 43–53. [Google Scholar]
- Rouchdi, M.; Mamori, H.; Salmani, E.; Ait Syad, B.; Mounkachi, O.; Essajai, R.; Ez-zahraouy, H.; Chakchak, H.; Hassanain, N.; Benyoussef, A.; et al. Physicochemical characterization and catalytic performance of Fe doped CuS thin films deposited by the chemical spray pyrolysis technique. Appl. Phys. A Mater. Sci. Process. 2021, 127, 441. [Google Scholar] [CrossRef]
- Rana, T.R.; Khadka, D.B.; Kim, J. Sulfur stoichiometry driven chalcopyrite and pyrite structure of spray pyrolyzed Cu-alloyed FeS2 thin films. Mater. Sci. Semicond. Process. 2015, 40, 325–330. [Google Scholar] [CrossRef]
- Barkat, L.; Hamdadou, N.; Morsli, M.; Khelil, A.; Bernède, J.C. Growth and characterization of CuFeS2 thin films. J. Cryst. Growth 2006, 297, 426–431. [Google Scholar] [CrossRef]
- Levin, I. NIST Inorganic Crystal Structure Database (ICSD); National Institute of Standards and Technology: Gaithersburg, MD, USA, 2018. [CrossRef]
- Gates-Rector, S.; Blanton, T. The Powder Diffraction File: A quality materials characterization database. Powder Diffr. 2019, 34, 352–360. [Google Scholar] [CrossRef]
- Coelho, A.A. TOPAS and TOPAS-Academic: An optimization program integrating computer algebra and crystallographic objects written in C++. J. Appl. Crystallogr. 2018, 51, 210–218. [Google Scholar] [CrossRef]
- Black, D.R.; Mendenhall, M.H.; Brown, C.M.; Henins, A.; Filliben, J.; Cline, J.P. Certification of Standard Reference Material 660c for Powder Diffraction. Powder Diffr. 2020, 35, 17–22. [Google Scholar] [CrossRef]
- Kresse, G.; Furthmüller, J. Efficient Iterative Schemes for Ab Initio Total-Energy Calculations Using a Plane-Wave Basis Set. Phys. Rev. B 1996, 54, 11169. [Google Scholar] [CrossRef]
- Kresse, G.; Furthmüller, J. Efficiency of Ab-Initio Total Energy Calculations for Metals and Semiconductors Using a Plane-Wave Basis Set. Comput. Mater. Sci. 1996, 6, 15–50. [Google Scholar] [CrossRef]
- Perdew, J.P.; Burke, K.; Ernzerhof, M. Generalized Gradient Approximation Made Simple. Phys. Rev. Lett. 1996, 77, 3865–3868. [Google Scholar] [CrossRef]
- Raghavan, V. Cu-Fe-S (Copper-Iron-Sulfur). J. Phase Equilibria Diffus. 2004, 25, 450–454. [Google Scholar] [CrossRef]
- Ueno, T.; Kitakaze, A.; Sugaki, A. Phase Relations in the CuFeS2-FeS Join. Sci. Rep. Tohuku Univ. Ser. 1980, 16, 283–293. [Google Scholar]
- Suryanarayana, C. Mechanical alloying and milling. Prog. Mater. Sci. 2001, 46, 1–184. [Google Scholar]
- Rabiee, M.; Mirzadeh, H.; Ataie, A. Processing of Cu-Fe and Cu-Fe-SiC nanocomposites by mechanical alloying. Adv. Powder Technol. 2017, 28, 1882–1887. [Google Scholar] [CrossRef]
- Mazzone, G.; Antisari, M.V. Structural and magnetic properties of metastable fcc Cu-Fe alloys. Phys. Rev. B 1996, 54, 441–446. [Google Scholar] [CrossRef]
- Xu, J.; Collins, G.S.; Peng, L.S.J.; Atzmon, M. Deformation-assisted decomposition of unstable Fe50Cu50 solid solution during low-energy ball milling. Acta Mater. 1999, 47, 1241–1253. [Google Scholar] [CrossRef]
- Wanderka, N.; Czubayko, U.; Naundorf, V.; Ivchenko, V.A.; Yermakov, A.Y.; Uimin, M.A.; Wollenberger, H. Characterization of nanoscaled heterogeneities in mechanically alloyed and compacted CuFe. Ultramicroscopy 2001, 89, 189–194. [Google Scholar] [CrossRef]
- Eckert, J.; Holzer, J.C.; Krill, C.E.; Johnson, W.L. Reversible grain size changes in ball-milled nanocrystalline Fe-Cu alloys. J. Mater. Res. 1992, 7, 1980–1983. [Google Scholar] [CrossRef]
- Hong, L.B.; Fultz, B. Two-phase coexistence in Fe-Cu alloys synthesized by ball milling. Acta Mater. 1998, 46, 2937–2946. [Google Scholar] [CrossRef]
- Chien, C.L.; Liou, S.H.; Kofalt, D.; Yu, W.; Egami, T.; Watson, T.J.; McGuire, T.R. Magnetic properties of FexCu100−x solid solutions. Phys. Rev. B 1986, 33, 3247–3250. [Google Scholar] [CrossRef] [PubMed]
- Teranishi, T.; Sato, K. OPTICAL, ELECTRICAL AND MAGNETIC PROPERTIES OF CHALCOPYRITE, CuFeS2. Le J. Phys. Colloq. 1975, 36, C3-149–C3-153. [Google Scholar] [CrossRef]
- Syafiq, U.; Ataollahi, N.; Di Maggio, R.; Scardi, P. Solution-Based Synthesis and Characterization of Cu2ZnSnS4 (CZTS) Thin Films. Molecules 2019, 24, 3454. [Google Scholar] [CrossRef]
- Nautiyal, H.; Lohani, K.; Mukherjee, B.; Isotta, E.; Malagutti, M.A.; Ataollahi, N.; Pallecchi, I.; Putti, M.; Misture, S.T.; Rebuffi, L.; et al. Mechanochemical Synthesis of Sustainable Ternary and Quaternary Nanostructured Cu2SnS3, Cu2ZnSnS4, and Cu2ZnSnSe4 Chalcogenides for Thermoelectric Applications. Nanomaterials 2023, 13, 366. [Google Scholar] [CrossRef]
- Mukherjee, B.; Isotta, E.; Fanciulli, C.; Ataollahi, N.; Scardi, P. Topological Anderson Insulator in Cation-Disordered Cu2ZnSnS4. Nanomaterials 2021, 11, 2595. [Google Scholar] [CrossRef]
- Isotta, E.; Mukherjee, B.; Fanciulli, C.; Pugno, N.M.; Scardi, P. Order–Disorder Transition in Kesterite Cu2ZnSnS4: Thermopower Enhancement via Electronic Band Structure Modification. J. Phys. Chem. C 2020, 124, 7091–7096. [Google Scholar] [CrossRef]
- Lohani, K.; Isotta, E.; Ataollahi, N.; Fanciulli, C.; Chiappini, A.; Scardi, P. Ultra-low thermal conductivity and improved thermoelectric performance in disordered nanostructured copper tin sulphide (Cu2SnS3, CTS). J. Alloy. Compd. 2020, 830, 154604. [Google Scholar] [CrossRef]
- Nawaz, S.; Thebo, K.H.; Malik, A.Q. Deposition of CuFeS2 and Cu2FeSnS4 thin films and nanocrystals using diisobutyldithiophosphinato-metal precursors. In Proceedings of the 2020 17th International Bhurban Conference on Applied Sciences and Technology (IBCAST), Islamabad, Pakistan, 14–18 January 2020; pp. 2–8. [Google Scholar]
- ur Rehman, U.; Mahmood, K.; Ashfaq, A.; Ali, A.; Tahir, S.; Ikram, S.; Rehman, A.; ul Sahar, K.; Ahmad, W.; Amin, N. Enhanced thermoelectric performance of hydrothermally synthesized CuFeS2 nanostructures by controlling the Cu/Fe ratio. Mater. Chem. Phys. 2022, 279, 125765. [Google Scholar] [CrossRef]
- Wang, Y.H.A.; Bao, N.; Gupta, A. Shape-controlled synthesis of semiconducting CuFeS2 nanocrystals. Solid State Sci. 2010, 12, 387–390. [Google Scholar] [CrossRef]
- Wang, M.X.; Wang, L.S.; Yue, G.H.; Wang, X.; Yan, P.X.; Peng, D.L. Single crystal of CuFeS2 nanowires synthesized through solventothermal process. Mater. Chem. Phys. 2009, 115, 147–150. [Google Scholar] [CrossRef]
- Bastola, E.; Bhandari, K.P.; Subedi, I.; Podraza, N.J.; Ellingson, R.J. Structural, optical, and hole transport properties of earth-abundant chalcopyrite (CuFeS2) nanocrystals. MRS Commun. 2018, 8, 970–978. [Google Scholar] [CrossRef]
- Tonpe, D.; Gattu, K.; More, G.; Upadhye, D.; Mahajan, S.; Sharma, R. Synthesis of CuFeS2 thin films from acidic chemical baths. AIP Conf. Proc. 2016, 1728, 020676. [Google Scholar] [CrossRef]
- Vahidshad, Y.; Mirkazemi, S.M.; Tahir, M.N.; Ghasemzadeh, R.; Tremel, W. Synthesis of CuFeS2 Nanoparticles by One-pot Facile Method. J. Nanostruct. 2017, 7, 284–291. [Google Scholar] [CrossRef]
- Ramachandran, R.; Chen, T.W.; Veerakumar, P.; Anushya, G.; Chen, S.M.; Kannan, R.; Mariyappan, V.; Chitra, S.; Ponmurugaraj, N.; Boominathan, M. Recent development and challenges in fuel cells and water electrolyzer reactions: An overview. RSC Adv. 2022, 12, 28227–28244. [Google Scholar] [CrossRef]
- Ding, W.; Wang, X.; Peng, H.; Hu, L. Electrochemical performance of the chalcopyrite CuFeS2 as cathode for lithium ion battery. Mater. Chem. Phys. 2013, 137, 872–876. [Google Scholar] [CrossRef]
- Senkale, S.; Indris, S.; Etter, M.; Bensch, W. CuFeS2 as a Very Stable High-Capacity Anode Material for Sodium-Ion Batteries: A Multimethod Approach for Elucidation of the Complex Reaction Mechanisms during Discharge and Charge Processes. ACS Appl. Mater. Interfaces 2021, 13, 26034–26045. [Google Scholar] [CrossRef]
- Wu, Y.; Zhou, B.; Yang, C.; Liao, S.; Zhang, W.H.; Li, C. CuFeS2 colloidal nanocrystals as an efficient electrocatalyst for dye sensitized solar cells. Chem. Commun. 2016, 52, 11488–11491. [Google Scholar] [CrossRef]
- Sathyaseelan, A.; Kesavan, D.; Manoharan, S.; Mariappan, V.K.; Krishnamoorthy, K.; Kim, S.J. Thermoelectric Driven Self-Powered Water Electrolyzer Using Nanostructured CuFeS2 Plates as Bifunctional Electrocatalyst. ACS Appl. Energy Mater. 2021, 4, 7020–7029. [Google Scholar] [CrossRef]
- Li, B.; Huang, L.; Zhong, M.; Wei, Z.; Li, J. Electrical and magnetic properties of FeS2 and CuFeS2 nanoplates. RSC Adv. 2015, 5, 91103–91107. [Google Scholar] [CrossRef]











Disclaimer/Publisher’s Note: The statements, opinions and data contained in all publications are solely those of the individual author(s) and contributor(s) and not of MDPI and/or the editor(s). MDPI and/or the editor(s) disclaim responsibility for any injury to people or property resulting from any ideas, methods, instructions or products referred to in the content. |
© 2023 by the authors. Licensee MDPI, Basel, Switzerland. This article is an open access article distributed under the terms and conditions of the Creative Commons Attribution (CC BY) license (https://creativecommons.org/licenses/by/4.0/).
Share and Cite
Malagutti, M.A.; Lohani, K.; D’Incau, M.; Nautiyal, H.; Ataollahi, N.; Scardi, P. Optimizing CuFeS2 Chalcopyrite Thin Film Synthesis: A Comprehensive Three-Step Approach Using Ball-Milling, Thermal Evaporation, and Sulfurization Applied for Thermoelectric Generation. Appl. Sci. 2023, 13, 10172. https://doi.org/10.3390/app131810172
Malagutti MA, Lohani K, D’Incau M, Nautiyal H, Ataollahi N, Scardi P. Optimizing CuFeS2 Chalcopyrite Thin Film Synthesis: A Comprehensive Three-Step Approach Using Ball-Milling, Thermal Evaporation, and Sulfurization Applied for Thermoelectric Generation. Applied Sciences. 2023; 13(18):10172. https://doi.org/10.3390/app131810172
Chicago/Turabian StyleMalagutti, Marcelo Augusto, Ketan Lohani, Mirco D’Incau, Himanshu Nautiyal, Narges Ataollahi, and Paolo Scardi. 2023. "Optimizing CuFeS2 Chalcopyrite Thin Film Synthesis: A Comprehensive Three-Step Approach Using Ball-Milling, Thermal Evaporation, and Sulfurization Applied for Thermoelectric Generation" Applied Sciences 13, no. 18: 10172. https://doi.org/10.3390/app131810172
APA StyleMalagutti, M. A., Lohani, K., D’Incau, M., Nautiyal, H., Ataollahi, N., & Scardi, P. (2023). Optimizing CuFeS2 Chalcopyrite Thin Film Synthesis: A Comprehensive Three-Step Approach Using Ball-Milling, Thermal Evaporation, and Sulfurization Applied for Thermoelectric Generation. Applied Sciences, 13(18), 10172. https://doi.org/10.3390/app131810172

