Modelling Specific Energy Requirement for a Power-Operated Vertical Axis Rotor Type Intra-Row Weeding Tool Using Artificial Neural Network
Abstract
1. Introduction
2. Materials and Methods
2.1. Experimental Set-Up
2.1.1. Vertical Axis Rotor Type Intra-Row Weeding Tool
2.1.2. Indoor Soil Bin and Processing Unit
2.1.3. Weeding Tool Carrier
2.2. Instrumentation and Measurement of Inputs and Response Parameters
2.2.1. Soil Hardness
2.2.2. Forward Speed
2.2.3. Draft Force
2.2.4. Torque
2.3. Experimental Design, Data Collection, and Initial Analysis
2.4. Neural Network Modelling of Specific Energy Requirements
3. Results
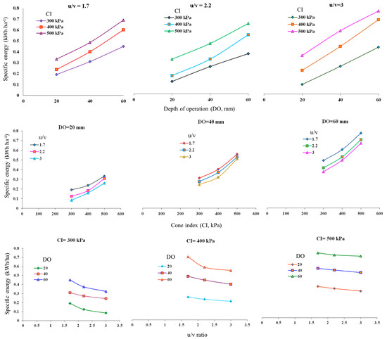
3.1. Effect of Operating Parameters on Specific Energy of RVA
3.1.1. Effect of Depth
3.1.2. Effect of Cone index
3.1.3. Effect of u/v Ratio
3.2. Performance of ANN for Specific Energy Requirement Prediction
4. Discussion
4.1. Effect of Input Parameters on Specific Energy
4.2. Modeling Specific Energy Requirements Using ANN
5. Conclusions
Author Contributions
Funding
Institutional Review Board Statement
Data Availability Statement
Acknowledgments
Conflicts of Interest
References
- Borin, M.; Menini, C.; Sartori, L. Effects of tillage systems on energy and carbon balance in north-eastern Italy. Soil Tillage Res. 1997, 40, 209–226. [Google Scholar] [CrossRef]
- Pimentel, D. Handbook of Energy Utilization in Agriculture; CRC Press: Boca Raton, FL, USA, 2019. [Google Scholar]
- Choudhury, T.; Kamran, M.; Djajadikerta, H.G.; Sarker, T. Can banks sustain the growth in renewable energy supply? An international evidence. Eur. J. Dev. Res. 2021, 35, 20–50. [Google Scholar] [CrossRef]
- Paris, B.; Vandorou, F.; Balafoutis, A.T.; Vaiopoulos, K.; Kyriakarakos, G.; Manolakos, D.; Papadakis, G. Energy use in open-field agriculture in the EU: A critical review recommending energy efficiency measures and renewable energy sources adoption. Renew. Sustain. Energy Rev. 2022, 158, 112098. [Google Scholar] [CrossRef]
- Godwin, R.J.; O’dogherty, M.J.; Saunders, C.; Balafoutis, A.T. A force prediction model for mouldboard ploughs incorporating the effects of soil characteristic properties, plough geometric factors and ploughing speed. Biosyst. Eng. 2007, 97, 117–129. [Google Scholar] [CrossRef]
- Mattetti, M.; Varani, M.; Molari, G.; Morelli, F. Influence of the speed on soil-pressure over a plough. Biosyst. Eng. 2017, 156, 136–147. [Google Scholar] [CrossRef]
- Balsari, P.; Biglia, A.; Comba, L.; Sacco, D.; Alcatrao, L.E.; Varani, M.; Mattetti, M.; Barge, P.; Tortia, C.; Manzone, M.; et al. Performance analysis of a tractor-power harrow system under different working conditions. Biosyst. Eng. 2021, 202, 28–41. [Google Scholar] [CrossRef]
- Varani, M.; Mattetti, M.; Molari, G.; Biglia, A.; Comba, L. Correlation between power harrow energy demand and tilled soil aggregate dimensions. Biosyst. Eng. 2023, 225, 54–68. [Google Scholar] [CrossRef]
- Natsis, A.; Papadakis, G.; Pitsilis, J. The influence of soil type, soil water and share sharpness of a mouldboard plough on energy consumption, rate of work and tillage quality. J. Agric. Eng. Res. 1999, 72, 171–176. [Google Scholar] [CrossRef]
- Khambalkar, V.; Pohare, J.; Katkhede, S.; Bunde, D.; Dahatonde, S. Energy and economic evaluation of farm operations in crop production. J. Agric. Sci. 2010, 2, 191–200. [Google Scholar] [CrossRef][Green Version]
- Norremark, M.; Griepentrog, H.W. Physical methods to control weeds within crop rows. In Proceedings of the AgEng—Engineering the Future, Leuven, Belgium, 12–16 September 2004; pp. 1–7. [Google Scholar]
- Knezevic, S.Z. The concept of critical period of weed control. In Integrated Weed Management; Cooperative Extension; University of Nebraska: Lincoln, NE, USA, 2002; pp. 30–40. [Google Scholar]
- Gianessi, L.P.; Reigner, N.P. The value of herbicides in US crop production. Weed Technol. 2007, 21, 559–566. [Google Scholar] [CrossRef]
- Peruzzi, A.; Ginanni, M.; Raffaelli, M.; Fontanelli, M. Physical weed control in organic fennel cultivated in the Fucino Valley (South Italy). In Proceedings of the 7th Workshop of the EWRS Working Group on Physical and Cultural Weed Control, Salem, Germany, 11–14 March 2007; Volume 11, pp. 32–40. [Google Scholar]
- Sorensen, C.G.; Norremark, M.; Jørgensen, R.N.; Jensen, K.; Maagaard, J.; Jensen, L.A. Hortibot: Feasibility study of a plant nursing robot performing weeding operations–part IV. In Proceedings of the ASABE Annual International Meeting, Minneapolis, MN, USA, 17–20 June 2007. [Google Scholar]
- Chen, Y.; Cavers, C.; Tessier, S.; Monero, F.; Lobb, D. Short-term tillage effects on soil cone index and plant development in a poorly drained, heavy clay soil. Soil Tillage Res. 2005, 82, 161–171. [Google Scholar] [CrossRef]
- Scarlett, A.J. Integrated control of agricultural tractors and implements: A review of potential opportunities relating to cultivation and crop establishment machinery. Comput. Electron. Agric. 2001, 30, 167–191. [Google Scholar] [CrossRef]
- Azadbakht, M.; Azadbakht, B.; Galogah, R.J.; Kiapei, A.; Jafari, H. Soil properties after plowing with horizontal and vertical axis rotavator. Int. J. Environ. Eng. 2014, 8, 61–65. [Google Scholar]
- Makange, N.R.; Tiwari, V.K. Effect of horizontal and vertical axis rotavators on soil physical properties and energy requirement. Trends Biosci. 2015, 8, 3225–3234. [Google Scholar]
- Ganapathi, D.; Duraisamy, V.M.; Shridar, B. Development and optimization of rotary blade for tillage equipment. Int. J. Agric. Environ. Biotechnol. 2018, 11, 673–677. [Google Scholar] [CrossRef]
- Kumar, S.P.; Tewari, V.K.; Chandel, A.K.; Mehta, C.R.; Nare, B.; Chethan, C.R.; Mundhada, K.; Shrivastava, P.; Gupta, C.; Hota, S. A fuzzy logic algorithm derived mechatronic concept prototype for crop damage avoidance during eco-friendly eradication of intra-row weeds. Artif. Intell. Agric. 2020, 4, 116–126. [Google Scholar] [CrossRef]
- Sukcharoenvipharat, W.; Usaborisut, P. Efficiency tests of rotary tiller and power harrow. In Proceedings of the 99th IRES International Conference, Hanoi, Vietnam, 25–26 January 2020. [Google Scholar]
- Raparelli, T.; Eula, G.; Ivanov, A.; Pepe, G. Kinematic analysis of rotary harrows. J. Agric. Eng. 2020, 51, 9–14. [Google Scholar] [CrossRef]
- Upadhyay, G.; Raheman, H. Performance of combined offset disc harrow (front active and rear passive set configuration) in soil bin. J. Terramechanics 2018, 78, 27–37. [Google Scholar] [CrossRef]
- Upadhyay, G.; Raheman, H. Comparative assessment of energy requirement and tillage effectiveness of combined (active-passive) and conventional offset disc harrows. Biosyst. Eng. 2020, 198, 266–279. [Google Scholar] [CrossRef]
- Celik, A.; Altikat, S. The effect of power harrow on the wheat residue cover and residue incorporation into the tilled soil layer. Soil Tillage Res. 2022, 215, 105202. [Google Scholar] [CrossRef]
- Haykin, S. Neural Networks and Learning Machines, 3rd ed.; Pearson Education India: Noida, India, 2009. [Google Scholar]
- Pareek, C.M.; Tewari, V.K.; Machavaram, R.; Nare, B. Optimizing the seed-cell filling performance of an inclined plate seed metering device using integrated ANN-PSO approach. Artif. Intell. Agric. 2021, 5, 1–12. [Google Scholar] [CrossRef]
- Roul, A.K.; Raheman, H.; Pansare, M.S.; Machavaram, R. Predicting the draught requirement of tillage implements in sandy clay loam soil using an artificial neural network. Biosyst. Eng. 2009, 104, 476–485. [Google Scholar] [CrossRef]
- Usaborisut, P.; Prasertkan, K. Specific energy requirements and soil pulverization of a combined tillage implement. Heliyon 2019, 5, e02757. [Google Scholar] [CrossRef] [PubMed]
- Bernacki, H.; Haman, J.; Kanafojski, C. Agricultural Machines, Theory and Construction; Scientific Publications Foreign Co-operation Centre of the CISTEI: Warsaw, Poland, 1972; Volume I, pp. 429–439. [Google Scholar]
- Kumar, S.P.; Tewari, V.K.; Chethan, C.R.; Mehta, C.R.; Nare, B.; Chandel, A.K. Development of non-powered self-propelling vertical axis inter row rotary weeder. Indian J. Weed Sci. 2019, 51, 284–289. [Google Scholar] [CrossRef]
- Salar, M.R.; Esehaghbeygi, A.; Hemmat, A.; Kargarpour, H. Draft force requirements of a dual bent blade subsurface tillage implement. Agric. Eng. Int. CIGR J. 2017, 19, 74–80. [Google Scholar]
- ASAE S313.3; Soil Cone Penetrometer. ASABE Standards: St. Joseph, MI, USA, 2001.
- Kumar, A.A.; Tewari, V.K.; Nare, B.; Chetan, C.R.; Srivastava, P.; Kumar, S.P. Embedded digital drive wheel torque indicator for agricultural 2WD tractors. Comput. Electron. Agric. 2017, 139, 91–102. [Google Scholar] [CrossRef]
- Tewari, V.K.; Kumar, A.; Nare, B.; Kumar, S.P.; Tyagi, A. Microcontroller based roller contact type herbicide applicator for weed control under row crops. Comput. Electron. Agric. 2014, 104, 40–45. [Google Scholar] [CrossRef]
- Hendrick, J.G. A powered rotary chisel. Trans. ASAE 1980, 23, 1349–1352. [Google Scholar] [CrossRef]
- Shinners, K.J.; Wilkes, J.M.; England, T.D. Performance characteristics of a tillage machine with active-passive components. J. Agric. Eng. Res. 1993, 55, 277–297. [Google Scholar] [CrossRef]
- Ma, L.; Xie, F.; Liu, D.; Wang, X.; Zhang, Z. An Application of Artificial Neural Network for Predicting Threshing Performance in a Flexible Threshing Device. Agriculture 2023, 13, 788. [Google Scholar] [CrossRef]
- Roy, S.M.; Pareek, C.M.; Machavaram, R.; Mukherjee, C.K. Optimizing the aeration performance of a perforated pooled circular stepped cascade aerator using hybrid ANN-PSO technique. Inf. Process. Agric. 2022, 9, 533–546. [Google Scholar] [CrossRef]
- Kuradusenge, M.; Hitimana, E.; Hanyurwimfura, D.; Rukundo, P.; Mtonga, K.; Mukasine, A.; Uwitonze, C.; Ngabonziza, J.; Uwamahoro, A. Crop yield prediction using machine learning models: Case of Irish potato and maize. Agriculture 2023, 13, 225. [Google Scholar] [CrossRef]
- Pareek, C.M.; Tewari, V.K.; Machavaram, R. Multi-objective optimization of seeding performance of a pneumatic precision seed metering device using integrated ANN-MOPSO approach. Eng. Appl. Artif. Intell. 2023, 117, 105559. [Google Scholar] [CrossRef]
- Sahu, R.K.; Raheman, H. An approach for draft prediction of combination tillage implements in sandy clay loam soil. Soil Tillage Res. 2006, 90, 145–155. [Google Scholar] [CrossRef]
- Glancey, J.L.; Upadhyaya, S.K.; Chancellor, W.J.; Rumsey, J.W. Prediction of agricultural implement draft using an instrumented analog tillage tool. Soil Tillage Res. 1996, 37, 47–65. [Google Scholar] [CrossRef]
- Grisso, R.D.; Yasin, M.; Kocher, M.F. Tillage implement forces operating in silty clay loam. Trans. ASAE 1996, 39, 1977–1982. [Google Scholar] [CrossRef]
- Al-Janobi, A.A.; Al-Suhaibani, S.A. Draft of primary tillage implements in sandy loam soil. Appl. Eng. Agric. 1998, 14, 343–348. [Google Scholar] [CrossRef]
- Gee-Clough, D.; McAllister, M.; Pearson, G.; Evernden, D.W. The empirical prediction of tractor-implement field performance. J. Terramech. 1978, 15, 81–94. [Google Scholar] [CrossRef]
- Upadhyaya, S.K. Prediction of Tillage Implement Draft; Paper No. 84-1518; ASAE: St. Joseph, MI, USA, 1984. [Google Scholar]
- Hadas, A. Prediction of draft requirement-soil compaction relations in tilling moist soils. Soil Tillage Res. 1986, 8, 51–64. [Google Scholar] [CrossRef]
- Anpat, R.M.; Raheman, H. Investigations on power requirement of activepassive combination tillage implement. Eng. Agric. Environ. Food 2017, 10, 4–13. [Google Scholar] [CrossRef]
- Gill, W.R.; Vanden Berg, G.F. Soil Dynamics in Tillage and Traction; Agricultural Handbook No. 316; ARS, USDA: Washington, DC, USA, 1968.
- Kepner, R.A.; Bainer, R.; Barger, E.L. Principle of Farm Machinery, 3rd ed.; The AVI Publishing Company, Inc.: Westport, CT, USA, 1978. [Google Scholar]
- Taghavifar, H.; Mardani, A. Application of artificial neural networks for the prediction of traction performance parameters. J. Saudi Soc. Agric. Sci. 2014, 13, 35–43. [Google Scholar] [CrossRef]
- Zhang, Z.X.; Kushwaha, R.L. Applications of neural networks to simulate soil-tool interaction and soil behavior. Can. Agric. Eng. 1999, 41, 119. [Google Scholar]
- Anantachar, M.; Kumar, P.G.; Guruswamy, T. Neural network prediction of performance parameters of an inclined plate seed metering device and its reverse mapping for the determination of optimum design and operational parameters. Comput. Electron. Agric. 2010, 72, 87–98. [Google Scholar] [CrossRef]
- Davim, J.P.; Gaitonde, V.N.; Karnik, S.R. Investigations into the effect of cutting conditions on surface roughness in turning of free machining steel by ANN models. J. Mater. Process. Technol. 2008, 205, 16–23. [Google Scholar] [CrossRef]
- Karazi, S.M.; Issa, A.; Brabazon, D. Comparison of ANN and DoE for the prediction of laser-machined micro-channel dimensions. Opt. Lasers Eng. 2009, 47, 956–964. [Google Scholar] [CrossRef]
- Mondal, N.; Mandal, S.; Mandal, M.C. FPA based optimization of drilling burr using regression analysis and ANN model. Measurement 2020, 152, 107327. [Google Scholar] [CrossRef]
- Kosarac, A.; Mladjenovic, C.; Zeljkovic, M.; Tabakovic, S.; Knezev, M. Neural-network-based approaches for optimization of machining parameters using small dataset. Materials 2022, 15, 700. [Google Scholar] [CrossRef]
- Pandiyan, V.; Caesarendra, W.; Tjahjowidodo, T.; Praveen, G. Predictive modelling and analysis of process parameters on material removal characteristics in abrasive belt grinding process. Appl. Sci. 2017, 7, 363. [Google Scholar] [CrossRef]










| Source | Sum of Squares | Degrees of Freedom | Mean Square | F-Value | p-Value |
|---|---|---|---|---|---|
| Model | 2.74 | 26 | 0.11 | 44.18 | <0.0001 |
| A: Depth | 1.74 | 2 | 0.87 | 363.50 | <0.0001 |
| B: Cone index | 0.88 | 2 | 0.44 | 183.19 | <0.0001 |
| C: u/v | 0.013 | 2 | 0.0065 | 3.72 | 0.03065 |
| A × B | 0.055 | 4 | 0.0138 | 5.76 | 0.0006 |
| A × C | 0.025 | 4 | 0.00633 | 2.65 | 0.0429 |
| B × C | 0.020 | 4 | 0.00489 | 2.05 | 0.1004 |
| A × B × C | 0.019 | 8 | 0.002385 | 1.00 | 0.4484 |
| Error | 0.13 | 54 | 0.002389 | ||
| Total | 2.87 | 80 |
| Statistical Parameters | Training Phase | Testing Phase |
|---|---|---|
| R2 | 0.9735 | 0.91139 |
| RMSE | 0.00614 | 0.01974 |
| MAE | 0.02247 | 0.047913 |
Disclaimer/Publisher’s Note: The statements, opinions and data contained in all publications are solely those of the individual author(s) and contributor(s) and not of MDPI and/or the editor(s). MDPI and/or the editor(s) disclaim responsibility for any injury to people or property resulting from any ideas, methods, instructions or products referred to in the content. |
© 2023 by the authors. Licensee MDPI, Basel, Switzerland. This article is an open access article distributed under the terms and conditions of the Creative Commons Attribution (CC BY) license (https://creativecommons.org/licenses/by/4.0/).
Share and Cite
Kumar, S.P.; Tewari, V.K.; Chandel, A.K.; Mehta, C.R.; Pareek, C.M.; Chethan, C.R.; Nare, B. Modelling Specific Energy Requirement for a Power-Operated Vertical Axis Rotor Type Intra-Row Weeding Tool Using Artificial Neural Network. Appl. Sci. 2023, 13, 10084. https://doi.org/10.3390/app131810084
Kumar SP, Tewari VK, Chandel AK, Mehta CR, Pareek CM, Chethan CR, Nare B. Modelling Specific Energy Requirement for a Power-Operated Vertical Axis Rotor Type Intra-Row Weeding Tool Using Artificial Neural Network. Applied Sciences. 2023; 13(18):10084. https://doi.org/10.3390/app131810084
Chicago/Turabian StyleKumar, Satya Prakash, V. K. Tewari, Abhilash Kumar Chandel, C. R. Mehta, C. M. Pareek, C. R. Chethan, and Brajesh Nare. 2023. "Modelling Specific Energy Requirement for a Power-Operated Vertical Axis Rotor Type Intra-Row Weeding Tool Using Artificial Neural Network" Applied Sciences 13, no. 18: 10084. https://doi.org/10.3390/app131810084
APA StyleKumar, S. P., Tewari, V. K., Chandel, A. K., Mehta, C. R., Pareek, C. M., Chethan, C. R., & Nare, B. (2023). Modelling Specific Energy Requirement for a Power-Operated Vertical Axis Rotor Type Intra-Row Weeding Tool Using Artificial Neural Network. Applied Sciences, 13(18), 10084. https://doi.org/10.3390/app131810084

