Self-Start Characteristics of Hypersonic Inlet When Multiple Unstart Modes Exist
Abstract
:1. Introduction
2. Model and Experimental/Numerical Methods
2.1. Experimental Model and Method
2.2. Computational Fluid Dynamics (CFDs) Method
3. Self-Start Characteristics of Different Unstart Modes
3.1. Three Distinct Types of Unstart Mode
3.2. Self-Start Characteristics of SSB Flow Mode
3.3. Self-Start Characteristics of LSB Flow Mode
3.4. Self-Start Characteristics of DSBL Flow Mode
4. Improving Self-Start with “Flow Field Reconstruction Method”
5. Flow Mechanism for the Poor Self-Start Ability of DSBL Flow Mode
6. Conclusions
- (1)
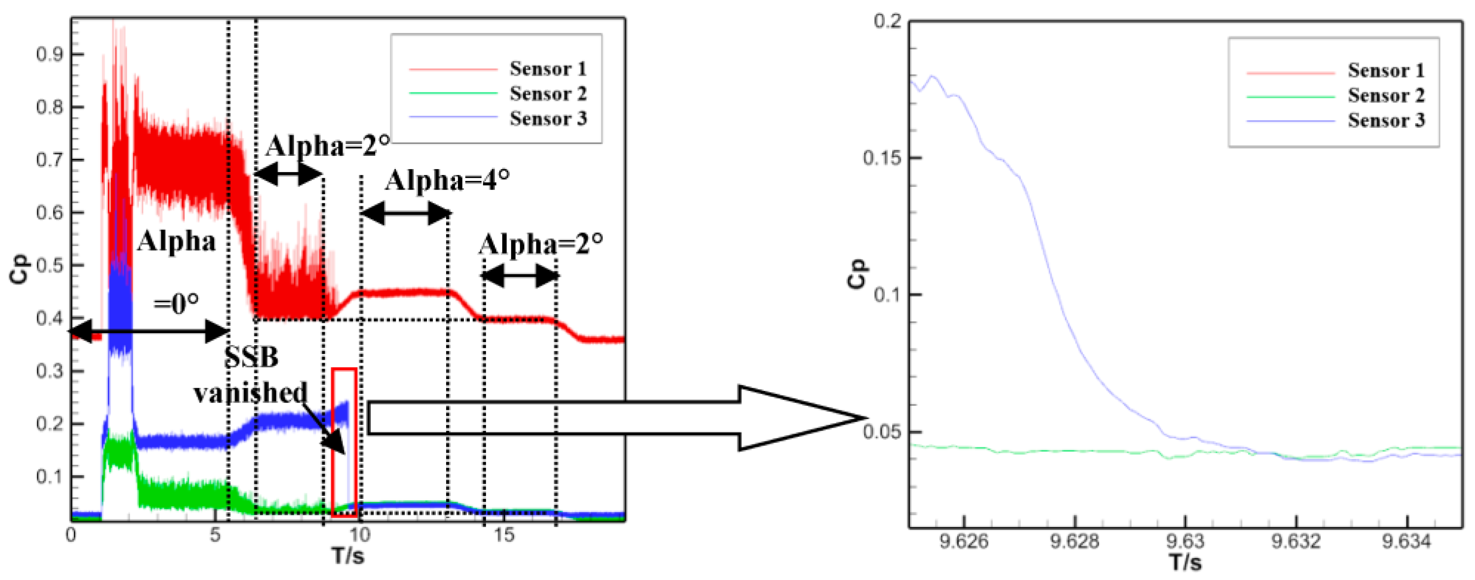
- Shock boundary-layer interaction is the main factor inducing the SSB flow mode. This flow mode appears when at a small alpha, and self-start is achieved as the alpha is increased. This kind of self-start takes about 4~5 ms, and the small body-side separation noticeably dwindles as it approaches the transition point.
- (2)
- The combined action of congestion in the inlet throat and shock boundary-layer interaction is thought to be the cause of the LSB unstart mode. Both acceleration and a decreasing alpha contribute to the vanishing of LSB, which takes about 2 ms. If LSB vanishing occurs at a small alpha, a remnant of LSB may form the SSB flow mode, and self-start can subsequently be achieved by increasing the alpha. Conversely, self-start can be achieved directly.
- (3)
- Separations of the DSBL unstart mode are difficult to vanish directly. Thus, self-start is hard to achieve only through acceleration. Because a decreasing alpha contributes to the flow mode transformation from DSBL to LSB (the time consumed is about 2 ms), self-start may be achieved via the following path: the prompt flow mode being converted into the intermediate form of LSB at first, and then achieving self-start.
- (4)
- The stable flow structure of DSBL at M0 = 5/alpha = 4° (Model/SB-1) was eliminated by blocking the downstream channel, and then the LSB flow mode was reconstructed. Self-start was subsequently achieved in the process of releasing the downstream channel. This self-start improvement method is named the “Flow Field Reconstruction Method”.
- (5)
- Detailed flow characteristics of the LSB and DSBL flow modes were revealed via the CFD calculation, from which the reason for the poor self-start performance of the DSBL flow mode was deduced: the vanishment of lip-side separation cannot benefit from broadwise spillage with the resistance of sideboards. Regardless, large-scale separation on the lip side is very difficult to vanish only by swallowing downstream.
Author Contributions
Funding
Institutional Review Board Statement
Informed Consent Statement
Data Availability Statement
Acknowledgments
Conflicts of Interest
References
- Sziroczak, D.; Smith, H. A review of design issues specific to hypersonic flight vehicles. Prog. Aerosp. Sci. 2016, 84, 1–28. [Google Scholar] [CrossRef]
- Chang, J.T.; Li, N.; Xu, K.J.; Bao, W.; Yu, D.R. Recent research progress on unstart mechanism, detection and control of hypersonic inlet. Prog. Aerosp. Sci. 2017, 89, 1–22. [Google Scholar] [CrossRef]
- Shimura, T.; Mitani, T.; Sakuranaka, N.; Izumikawa, M. Load oscillations caused by unstart of hypersonic wind tunnels and engines. J. Propuls. Power 1998, 14, 348–353. [Google Scholar] [CrossRef]
- Kantrowitz, A.; Donaldson, C. Preliminary Investigation of Supersonic Diffuser; WRL-713; NACA: Edwards, CA, USA, 1945. [Google Scholar] [CrossRef]
- Van Wie, D.M.; Kwok, F.T.; Walsh, R.F. Starting Characteristics of Supersonic Inlets; AIAA: Las Vegas, NV, USA, 1996; p. 2914. [Google Scholar]
- Im, S.; Do, H. Unstart phenomena induced by flow choking in scramjet inlet-isolators. Prog. Aerosp. Sci. 2018, 97, 35–60. [Google Scholar] [CrossRef]
- Saravanan, R.; Desikan, S.L.N.; Francise, K.J.; Kalimuthu, R. Experimental investigation of start/unstart process during hypersonic intake at Mach 6 and its control. Aerosp. Sci. Technol. 2021, 113, 106688. [Google Scholar] [CrossRef]
- Liu, X. Investigation on Start Process of Hypersonic Inlets and Flow Mechanism in Isolators. Ph.D. Thesis, National University of Defense Technology, Changsha, China, 2016. [Google Scholar]
- Sekar, K.R.; Karthick, S.K.; Jegadheeswaran, S.; Kannan, R. On the unsteady throttling dynamics and scaling analysis in a typical hypersonic inlet-isolator flow. Phys. Fluids 2020, 32, 126104. [Google Scholar] [CrossRef]
- Xu, S.C.; Wang, Y.; Wang, Z.G.; Fan, X.Q.; Xiong, B. Experimental investigations of hypersonic inlet unstart/restart process and hysteresis phenomenon caused by angle of attack. Aerosp. Sci. Technol. 2022, 126, 107621. [Google Scholar] [CrossRef]
- Zhang, Q.F.; Chen, H.; Wu, Z.J.; Gao, Z.B.; Luo, W.H.; Gu, H.B.; Yue, L.J. Experimental investigation of combustion-induced starting hysteresis in the scramjet. Phys. Fluids 2022, 34, 096103. [Google Scholar] [CrossRef]
- Timofeev, E.V.; Tahir, R.B.; Mölder, S. On Recent Development Related to Flow Staring in Hypersonic AIR Intakes; AIAA: Las Vegas, NV, USA, 2008; p. 2512. [Google Scholar]
- Siqueira, J.V.M.B.; Rosa, M.A.P.; Ribeiro, G.B. Numerical evaluation of effects of the isolator height and the leading-edge bluntness on a scramjet inlet. J. Braz. Soc. Mech. Sci. Eng. 2020, 42, 1–13. [Google Scholar] [CrossRef]
- Hawkins, W.; Marquart, E. Two-Dimensional Generic Inlet Unstart Detection at Ma 2.5–5.0; AIAA: Las Vegas, NV, USA, 1995; p. 6019. [Google Scholar] [CrossRef]
- James, J.K.; Kim, H.D. Flow characteristics of a mixed compression hypersonic intake. J. Appl. Fluid Mech. 2022, 15, 633–644. [Google Scholar] [CrossRef]
- Jana, T.; Thillaikumar, T.; Kaushik, M. Assessment of cavity covered with porous surface in controlling shock/boundary-layer interactions in hypersonic intake. Int. J. Aeronaut. Space Sci. 2020, 21, 924–941. [Google Scholar] [CrossRef]
- Lee, J.; Kang, S.H. Numerical study on the start and unstart phenomena in a scramjet inlet-isolator model. PLoS ONE 2019, 14, e0224994. [Google Scholar] [CrossRef] [PubMed]
- Chen, H.; Tan, H.J.; Zhang, Q.F.; Zhang, Y. Throttling process and buzz mechanism of a supersonic inlet at overspeed mode. AIAA J. 2018, 56, 1953–1964. [Google Scholar] [CrossRef]
- Wang, Y. Investigation on the Starting Characteristics of Hypersonic Inlet. Ph.D. Thesis, National University of Defense Technology, Changsha, China, 2008. [Google Scholar]
- Zhou, Y.F.; Xu, S.C.; Wang, Y. Effects of cowl lip angle on starting performances for a mixed-compression two-dimensional axisymmetric hypersonic inlet. Appl. Sci. 2022, 12, 7127. [Google Scholar] [CrossRef]
- Jin, Y.; Sun, S.; Tan, H.J.; Zhang, Y.; Huang, H.X. Flow response hysteresis of throat regulation process of a two-dimensional mixed-compression supersonic inlet. Chin. J. Aeronaut. 2022, 35, 112–127. [Google Scholar] [CrossRef]
- Wu, J.; Yu, A.Y.; He, Y.Y.; Le, J.L. Self-starting simulation of a hypersonic inlet with variable free stream condition. J. Appl. Fluid Mech. 2020, 13, 1683–1691. [Google Scholar] [CrossRef]
- Huo, C.; Yang, Z.H.; Zhang, Z.Z.; Liu, P.J. Numerical analysis on the conceptual design of an air-breathing engine inlet working in mach number 3~5.5. Proc. Inst. Mech. Eng. Part G J. Aerosp. Eng. 2022, 236, 294–307. [Google Scholar] [CrossRef]
- Xu, S.C.; Wang, Y.; Wang, Z.G.; Fan, X.Q.; Xiong, B. Effects of bump parameters on hypersonic inlet starting performance. J. Zhejiang Univ. Sci. A 2022, 23, 807–819. [Google Scholar] [CrossRef]
- Hohn, O.; Gülhan, A. Experimental Investigation on the Influence of Sidewall Compression on the Flowfield of a Scramjet Inlet at Mach 7; AIAA: Las Vegas, NV, USA, 2011; p. 2350. [Google Scholar] [CrossRef]
- Jia, Y.L.; Zhang, Q.F.; Tong, X.T.; Yue, L.J.; Zhang, X.Y. Effect of the inlet internal compression shock waves on restart characteristics of the hypersonic inlets. J. Exp. Fluid Mech. 2019, 33, 60–67. [Google Scholar] [CrossRef]
- Devaraj, M.K.K.; Jutur, P.; Rao, S.M.; Jagadeesh, G.; Anavardham, G.T.K. Experimental investigation of unstart dynamics driven by subsonic spillage in a hypersonic scramjet intake at Mach6. Phys. Fluids 2020, 32, 026103. [Google Scholar] [CrossRef]
- Berto, F.; Benini, E.; Wyatt, C.; Quinn, M.K. Time-accurate experimental investigation of hypersonic inlet buzz at Mach5. AIAA J. 2020, 58, 2197–2205. [Google Scholar] [CrossRef]
- Xie, W.Z.; Yi, J.; Ge, Y.; Yang, S.Z.; Zeng, C.; Guo, S.M. Feasibility of employing the restarting process to evaluate the self-starting ability for hypersonic inlets. Aerosp. Sci. Technol. 2020, 107, 106347. [Google Scholar] [CrossRef]
- Chang, J.T.; Lei, W.; Qin, B.; Bao, W.; Yu, D.R. Real-time unstart prediction and detection of hypersonic inlet based on recursive Fourier transform. Proc. Inst. Mech. Eng. Part G J. Aerosp. Eng. 2015, 229, 772–778. [Google Scholar] [CrossRef]
- Molder, S.; Timofeev, E.; Tahir, R. Flow Starting in High Compression Hypersonic Air Inlets by Mass Spillage; AIAA: Las Vegas, NV, USA, 2004; p. 4130. [Google Scholar]
- Veillard, X.; Timofeev, R.T.E.; Molder, S. Limiting contractions for starting simple ramp-type scramjet intakes with overboard spillage. J. Propul. Power 2008, 24, 1042–1049. [Google Scholar] [CrossRef]
- Xie, W.Z.; Ma, G.F.; Guo, R.W.; Chen, H.; Wen, Y.F. Flow-based prediction for self-starting limit of two-dimensional hypersonic inlets. J. Propul. Power 2016, 32, 1–9. [Google Scholar] [CrossRef]
- Tao, Y. The Study of the Shock Wave/Boundary Layer Interactions in Hypersonic Inlet. Ph.D. Thesis, National University of Defense Technology, Changsha, China, 2018. [Google Scholar] [CrossRef]
- Zhang, W.L.; Shi, Z.W.; Zhang, C.H.; Geng, X.; Li, K.L.; Chen, Z. A study on flow control in a hypersonic inlet using a plasma synthetic jet actuator. Phys. Fluids 2022, 34, 106109. [Google Scholar] [CrossRef]
- Devaraj, M.K.K.; Jutur, P.; Rao, S.M.; Anavardham, G.T.K. Investigation of local unstart in a hypersonic scramjet intake at a Mach number of 6. Aerosp. Sci. Technol. 2021, 115, 106789. [Google Scholar] [CrossRef]
- Tao, Y.; Liu, W.D.; Fan, X.Q.; Zhao, Y.L. Structural characteristics of the shock-induced boundary layer separation extended to the leading edge. Phys. Fluids 2017, 29, 071701. [Google Scholar] [CrossRef]
- Jiao, X.L. Research on Hypersonic Inlet Unstart Multimodes and Mode Transition. Ph.D. Thesis, Harbin Institute of Technology, Harbin, China, 2017. [Google Scholar]
- Jiao, X.L.; Chang, J.T.; Wang, Z.Q.; Yu, D.R. Hysteresis phenomenon of hypersonic inlet at high Mach number. Acta Astronaut. 2016, 128, 657–668. [Google Scholar] [CrossRef]
- Jiao, X.L.; Chang, J.T.; Wang, Z.Q.; Yu, D.R. Investigation of hypersonic inlet pulse-starting characteristics at high Mach number. Aerosp. Sci. Technol. 2016, 58, 427–436. [Google Scholar] [CrossRef]
- Knight, D.; Longo, J.; Drikakis, D.; Lani, A.; Nompelis, I.; Reimann, B.; Walpot, L. Assessment of CFD capability for prediction of hypersonic shock interactions. Prog. Aerosp. Sci. 2012, 48, 8–26. [Google Scholar] [CrossRef]
- Cravero, C.; De Domenico, D.; Marsano, D. Uncertainty Quantification Analysis of Exhaust Gas Plume in a Crosswind. Energies 2023, 16, 3549. [Google Scholar] [CrossRef]
- Cravero, C.; De Domenico, D.; Marsano, D. The Use of Uncertainty Quantification and Numerical Optimization to Support the Design and Operation Management of Air-Staging Gas Recirculation Strategies in Glass Furnaces. Fluids 2023, 8, 76. [Google Scholar] [CrossRef]
- Xia, L.; Zou, Z.J.; Wang, Z.H.; Zou, L.; Gao, H. Surrogate model based uncertainty quantification of CFD simulations of the viscous flow around a ship advancing in shallow water. Ocean. Eng. 2021, 234, 109206. [Google Scholar] [CrossRef]
- Cortesi, A.; Constantine, P.; Magin, T.; Congedo, P.M. Forward and backward uncertainty quantification with active subspaces: Application to hypersonic flows around a cylinder. J. Comput. Phys. 2020, 407, 109079. [Google Scholar] [CrossRef]
- Burt, J.M.; Josyula, E. Global Sensitivity Analysis and Uncertainty Quantification for a Hypersonic Shock Interaction Flow. J. Thermophys. Heat Transf. 2015, 29, 439–449. [Google Scholar] [CrossRef]
- Burt, J.M.; Josyula, E.; Blankson, I.M. DSMC-based uncertainty quantification for a hypersonic shock interaction flow. In Proceedings of the 28th International Symposium on Rarefied Gas Dynamics, Zaragoza, Spain, 9–13 July 2012; Volume 1501, pp. 573–578. [Google Scholar] [CrossRef]
- Tang, X.; Fan, X.Q.; Xiong, B.; Chen, L.; Chen, J.F. Study of multiple solution phenomenon for hypersonic air inlet. Aerosp. Sci. Technol. 2023, 136, 108236. [Google Scholar] [CrossRef]
- Prasad, T.G.; Kumar, G.D.; Patel, R.; Mounika, C.; Shankar, D.G. Computational Analysis of 2D Transition Inlets for Supersonic Capture. IJVSS 2022, 14, 68–74. [Google Scholar] [CrossRef]
- Deng, R.; Jin, Y.; Kim, H.D. Numerical simulation of the unstart process of dual-mode scramjet. Heat Mass Transf. 2017, 105, 394–400. [Google Scholar] [CrossRef]
- Jintu, K.J.; Abhilash, S.; Dong, K.H. Buzz characteristics and separation bubble dynamics in supersonic intake. Aerosp. Sci. Technol. 2021, 115, 106795. [Google Scholar] [CrossRef]
- Bai, B.H.; Li, X.D. Improvement of airfoil turbulent trailing-edge noise semi-empirical prediction formulation. J. Beijing Univ. Aeron. Astron. 2017, 43, 86–92. [Google Scholar] [CrossRef]
































| Order Number | 1 | 2 | 3 | 4 | 5 | 6 | 7 | 8 | 9 | 10 |
| x/l | 0.406 | 0.451 | 0.5 | 0.543 | 0.584 | 0.607 | 0.659 | 0.597 | 0.617 | 0.637 |
| Side | B | B | B | B | B | B | B | L | L | L |
| Order Number | 11 | 12 | 13 | 14 | Sensor 1 | Sensor 2 | Sensor 3 | |||
| x/l | 0.657 | 0.677 | 0.697 | 0.714 | 0.706 | 0.633 | 0.684 | |||
| Side | L | L | L | L | L | B | B | |||
| M0 | p0 (MPa) | p (Pa) | T0 (K) | T (K) | Unit Re/107 |
|---|---|---|---|---|---|
| 4 | 0.43 | 2832.0 | 298 | 70.95 | 1.95 |
| 5 | 1.1 | 2079.03 | 405 | 67.50 | 1.94 |
| 6 | 2.12 | 1342.7 | 405 | 49.39 | 2.53 |
| Unstart Modes | Separation Vanishing/Self-Starting Method | Point of Separation Vanishing or Inlet Self-Start | Feature |
|---|---|---|---|
| Small separation on body | Increasing alpha | Model/SB-1: alpha = 4°(M0 = 5) Model/SB-2: alpha = 4°(M0 = 5) | Easy to self-start |
| Large separation on body | Acceleration/decreasing alpha | Model/SB-1: M0 = 5/alpha = a, a ≥ 5° Model/SB-2: M0 = 5/alpha =0° | Easy to self-start |
| Dual separation on both body and lip | Through the intermediate flow mode of LSB by decreasing alpha | Cannot vanish directly at M0 = 5 and M0 = 6 | Very difficult to self-start directly |
Disclaimer/Publisher’s Note: The statements, opinions and data contained in all publications are solely those of the individual author(s) and contributor(s) and not of MDPI and/or the editor(s). MDPI and/or the editor(s) disclaim responsibility for any injury to people or property resulting from any ideas, methods, instructions or products referred to in the content. |
© 2023 by the authors. Licensee MDPI, Basel, Switzerland. This article is an open access article distributed under the terms and conditions of the Creative Commons Attribution (CC BY) license (https://creativecommons.org/licenses/by/4.0/).
Share and Cite
Tang, X.; Xiong, B.; Fan, X.; Wang, L. Self-Start Characteristics of Hypersonic Inlet When Multiple Unstart Modes Exist. Appl. Sci. 2023, 13, 9752. https://doi.org/10.3390/app13179752
Tang X, Xiong B, Fan X, Wang L. Self-Start Characteristics of Hypersonic Inlet When Multiple Unstart Modes Exist. Applied Sciences. 2023; 13(17):9752. https://doi.org/10.3390/app13179752
Chicago/Turabian StyleTang, Xiao, Bing Xiong, Xiaoqiang Fan, and Liang Wang. 2023. "Self-Start Characteristics of Hypersonic Inlet When Multiple Unstart Modes Exist" Applied Sciences 13, no. 17: 9752. https://doi.org/10.3390/app13179752
APA StyleTang, X., Xiong, B., Fan, X., & Wang, L. (2023). Self-Start Characteristics of Hypersonic Inlet When Multiple Unstart Modes Exist. Applied Sciences, 13(17), 9752. https://doi.org/10.3390/app13179752
