Next Article in Journal
Data-Completion and Model Correction by Means of Evanescent Regularization
Previous Article in Journal
Strengthening Mechanisms in a Medium-Carbon Steel Subjected to Thermo-Mechanical Processing
 
 
Font Type:
Arial Georgia Verdana
Font Size:
Aa Aa Aa
Line Spacing:
Column Width:
Background:
Article

Launch Dynamic Simulation of a Compressed-Air Launcher for Fire Suppression

1
School of Petroleum and Natural Gas Engineering, School of Energy, Changzhou University, Changzhou 213164, China
2
Suqian Fire and Rescue Brigade, Suqian 223800, China
3
Nanjing Junwei Innovation Precision Machinery Co., Ltd., Nanjing 211599, China
4
School of Energy and Power Engineering, Jiangsu University, Zhenjiang 212013, China
*
Authors to whom correspondence should be addressed.
Appl. Sci. 2023, 13(17), 9615; https://doi.org/10.3390/app13179615
Submission received: 29 July 2023 / Revised: 20 August 2023 / Accepted: 23 August 2023 / Published: 25 August 2023
(This article belongs to the Section Energy Science and Technology)

Abstract

:

Featured Application

These research results can be applied in forest fire suppression.

Abstract

This paper focuses on improving fire suppression performance through the use of compressed-air launching technology. A launch dynamics calculation model of a compressed-air launcher is presented, developed using VC++ programming, to simulate the acceleration process of a fire-extinguishing bomb in a barrel. By analyzing the influences of various structural and initial parameters on interior ballistics variations, the effectiveness of the calculation model and program in accurately simulating the launching process is demonstrated. The calculation results indicate that the bore pressure follows a similar trend to that of traditional gunpowder launching. Additionally, it is found that specific structural parameters, such as nozzle diameter and gas cylinder volume, have a direct impact on interior ballistics variations. Notably, the nozzle diameter positively affects the peak pressure, muzzle velocity, gas transfer efficiency, and launch efficiency. To ensure an optimal launch effect and efficiency, the nozzle diameter should be selected to be more than half of the launcher caliber. Similarly, the gas cylinder volume positively influences the peak pressure and muzzle velocity while negatively affecting the gas transfer efficiency and launch efficiency. Furthermore, the initial pressure in the gas cylinder exhibits a positive linear relationship with both the peak pressure and muzzle velocity but a negative linear relationship with the gas transfer efficiency and launch efficiency. The loading position minimally impacts the peak pressure and muzzle velocity but slightly enhances the gas transfer efficiency and launch efficiency. Finally, it is observed that launch angles do not affect the interior ballistic process. The research findings provide valuable theoretical guidance for determining the working parameters of compressed-air accelerated fire-extinguishing bombs.

1. Introduction

High-temperature and high-pressure gases are mainly generated via the combustion of solid propellants as a power source in traditional barrel launch systems [1,2,3]. The high temperature, high noise, and significant damage in the launching process pose hidden risks to the safety of operators and equipment environments [4]. The storage, transportation service requirements, and associated costs are high because of the inclusion of explosive and energetic materials [5]. This traditional launch technology cannot be directly applied in non-military fields. Forest fires are often complex and powerful and cannot be fought and controlled at a close range [6]. Forest fires require a large amount of an extinguishing agent, and it is impossible to use explosive and energetic materials on a large scale. All countries in the world are committed to developing forest fire devices and launchers without energetic materials [7].
At present, compressed-air launch systems have been widely applied in sea, land, and air weapon systems, including torpedoes, missiles, rockets, unmanned aerial vehicle (UAV) ejections, etc. [8]. A compressed-air launch system utilizes normal-temperature compressed air as the working medium, avoiding the drawbacks associated with pyrotechnics and the combustion of energetic propellants during the launching process. Consequently, it eliminates the presence of high-temperature, toxic, and harmful gases. A compressed-air launch system offers several advantages, including a simple principle, broad applicability, high safety, low cost, environmental friendliness, a short preparation time, a large energy power density, and a high muzzle velocity.
This paper introduces the application of compressed-air launching technology in the field of fire suppression. A launch dynamics model of a compressed-air launcher is established, and the variations in interior ballistics are analyzed using numerical calculations.

2. Device Structure and Working Principle

2.1. Device Structure

The schematic representation of the compressed-air launcher’s structure is depicted in Figure 1. The launcher primarily consists of a launching barrel, a launching projectile, a high-pressure valve, and a gas cylinder. The device’s overall structure is cylindrical, with a single opening. The gas cylinder, high-pressure valve, and barrel are connected in series, with the projectile loaded in the barrel at the default initial position. Sealing rings (not shown in Figure 1) are utilized to ensure high-pressure sealing throughout the device. Additionally, auxiliary gas charging and launching pipes and valves, although not depicted in the figure, are also incorporated.

2.2. Working Principle

Gas charging stage: The high-pressure valve is closed and the charging valve is opened. The gas is pumped into the gas cylinder. When the pressure in the gas cylinder reaches the default or set value, the charging valve is closed.
Gas launching stage: The high-pressure valve is opened. The nozzle is quickly opened, and the high-pressure gas enters the barrel to propel the projectile forward accelerating.

3. Calculation Model

The flow of the high-pressure compressed air gas behind the projectile in the barrel is a complex and transient process with variable boundaries [9]. To simplify the calculation model, the following assumptions are introduced:
  • The gas in the barrel behind the projectile is an ideal gas, and the gas state parameters are uniformly distributed in the barrel behind the projectile, and it is in a state of thermal equilibrium at any time.
  • Due to the transient launch time, the heat exchange between the system and the outside world is ignored. The gas expansion process is frictionless and adiabatic. Hence, it can be considered an isentropic process.
  • The gas flow along the barrel is a one-dimensional quasi-steady flow, and the influence of the gas jet on projectile motion is not considered.
The calculation model is shown in Figure 2. The inner diameter of the barrel is D. The projectile mass is mp. The initial loading position is l, and the projectile travel is L.
The initial pressure, volume, and mass of the gas in the gas cylinder are p0, V0, and m0, respectively, and they satisfy the ideal gas state equation:
p 0 V 0 = m 0 R T 0 ,
where R is the gas constant, and T0 is the initial temperature of the high-pressure gas.
The high-pressure gas is injected into the launch barrel via a diameter d nozzle. The thickness of the nozzle is ignored in the calculations.
The gas pressure, volume, and mass in the barrel behind the projectile are p1, V1, and m1, respectively. They also follow the ideal gas state equation:
p 1 V 1 = m 1 R T 1 ,
where T1 is the temperature of the high-pressure gas in the barrel behind the projectile.
By investigating and discussing the high-pressure gas in the barrel behind the projectile, the parameters of the gas state in the barrel at the initial time and at a certain time have the following relationship:
p 10 V 10 p 1 V 1 = m 10 T 10 m 1 T 1 ,
where the subscript 0 indicates the initial state.
For an adiabatic process in a closed system, the following relation exists for the system at any time:
T 1 T 10 γ = p 1 p 10 γ 1 ,
where γ is the adiabatic exponent of the gas, and the value is set as 1.4 in the calculations.
By substituting Equation (4) into Equation (3), the following can be obtained:
p 10 p 1 1 γ = m 10 m 1 V 1 V 10 ,
Hence, the gas pressure in the barrel behind the projectile at a certain moment can be expressed as:
p 1 = p 10 V 10 m 10 m 1 V 1 γ .
The initial gas volume and mass in the barrel behind the projectile are
V 10 = π 4 D 2 l ,
and
m 10 = ρ a π 4 D 2 l ,
where ρa is the air density, set as 1.293 kg/m3.
At moment t, the projectile is moving to position x. The gas volume and mass in the barrel behind the projectile can be written as
V 1 = π 4 D 2 l + x ,
and
m 1 = m 10 + 0 t q d t ,
where q is the gas flow rate entering the barrel through the nozzle. It has different forms under supersonic and subsonic conditions, which are written as follows [10]:
q = S 2 γ γ 1 p 0 ρ 0 p 1 p 0 2 γ p 1 p 0 γ + 1 γ when p 1 p 0 < 2 γ + 1 γ γ 1 S γ 2 γ + 1 γ + 1 γ 1 p 0 ρ 0 when p 1 p 0 2 γ + 1 γ γ 1 ,
where ρ0 is the gas density in the gas cylinder. S = πd2/4 is the nozzle sectional area. S* is the critical sectional area, which is assumed to be 1/2 of the nozzle sectional area. 2 γ + 1 γ γ 1 is the criterion of the gas flow. When the back pressure (the ratio of the outlet pressure p1 to the inlet pressure p0) is less than this value, the gas flow is supersonic. Otherwise, the gas flow is subsonic.
The forces and motion of the projectile in the barrel via the compressed air are discussed herein. It is assumed that the launch angle between the barrel and the horizontal plane is θ. It is shown in Figure 2 that the projectile in the barrel is mainly affected by the gravity, thrust, and resistance during the acceleration process. The gravity can be expressed as
G = m p g ,
where g is the gravitational acceleration, set as 9.8 m/s2.
The thrust is provided by the gas pressure difference between the front and rear of the projectile. It can be written as
F = π 4 D 2 p 1 p a ,
where pa is the environmental pressure, which is set as the standard atmospheric pressure at 101,325 Pa.
The resistance is mainly composed of the sliding friction under the contact pressure of deformation between the projectile and the bore internal surface [11], which can be expressed as
F 1 = f π E 1 μ 2 D δ ,
where f is the sliding friction coefficient, obtained as 0.8. E and μ are Young’s elastic modulus [12,13] and Poisson’s ratio of the projectile materials, respectively. δ is the maximum radial deformation of the projectile (interference).
Hence, the motion equation of the projectile can be written as
m p d v d t = π 4 D 2 p 1 p a m p g sin θ f π E 1 μ 2 D δ .
In summary, Equations (6)–(11) and (15) constitute the dynamics calculation model equations of the projectile driven by the compressed air.

4. Results and Discussion

A computational simulation program was developed on the Microsoft VC++ platform to solve the launching parameters of the compressed-air-driven projectile based on the dynamic model described above. The finite-difference method and Runge–Kuta method were employed to ensure the calculation accuracy of the time domain and space domain, respectively. The simulation parameters are provided in Table 1.
Figure 3 shows the pt, vt, pl, and vl curves when the nozzle diameter d is 10 mm, the gas cylinder volume V0 is 1.0 L, the initial pressure in the gas cylinder p0 is 10 MPa, the loading position l0 is 30 mm, and the launch angle θ is 40°. The bore pressure exhibits a similar trend to that of the traditional gunpowder launching process. However, despite the initial pressure in the gas cylinder being 10.0 MPa, the peak pressure in the chamber reaches only approximately 2.5 MPa. This limitation arises because the total amount of high-pressure gas entering the barrel is restricted by the size of the nozzle and gas flow restrictions. Initially, the bore pressure is lower than the friction between the projectile belt and the barrel wall. The projectile remains stationary, and as the high-pressure gas is injected, the bore pressure increases rapidly. Once the bore pressure reaches a certain threshold and surpasses the friction between the projectile belt and the barrel wall, the projectile starts to accelerate, and the space behind it continues to expand. However, due to limitations imposed by the size of the nozzle and the occurrence of choking phenomena in supersonic flow, the gas flow into the chamber cannot increase indefinitely. Additionally, the contribution of the gas inflow to the pressure rise is insufficient to compensate for the pressure drop resulting from the expansion of space behind the projectile. Consequently, the bore pressure exhibits a downward trend at this stage. The total barrel time is calculated to be 19.29 ms, and the resulting muzzle velocity is measured at 85.45 m/s.
Figure 4 displays the density and mass increment curves of the gas in the barrel behind the projectile. It is evident that the nozzle back pressure is substantial, indicating a high-pressure region. The airflow at the nozzle consistently maintains a supersonic flow state. Additionally, the gas mass increment in the barrel behind the projectile exhibits a constant rate of increase over time, as depicted by the green curve in Figure 4a. The gas density curve follows a similar trend to that of the bore pressure. These simulation results align with the findings reported in reference [14]. The calculated pressure and velocity deviation are 1.5% and 1.2%, under the same calculation conditions, respectively. A series of simulations were executed to discuss the effects of different parameters on the launch process.

4.1. Influences of Structural Parameters

4.1.1. Nozzle Diameter

Figure 5a shows the change in the peak pressure and muzzle velocity with different nozzle diameters when the gas cylinder volume V0 is 1.0 L, the initial pressure in the gas cylinder p0 is 10.0 MPa, the loading position l0 is 30 mm, and the launch angle θ is 40°. It is shown that the peak pressure increases with the increasing nozzle diameter, and it tends toward the initial pressure in the gas cylinder when the nozzle diameter is more than half of the launcher caliber. The muzzle velocity increases correspondingly. Figure 5b illustrates the variations in the total barrel time and gas mass increment in the barrel for different nozzle diameters under the same conditions. The graph demonstrates that the total barrel time exhibits an exponential decrease as the nozzle diameter increases. Additionally, the gas mass increment follows a similar trend to the peak pressure.
Herein, the gas transfer efficiency ηgas and launch efficiency ηtotal are introduced to evaluate the launch process under different conditions. The gas transfer efficiency ηgas is defined as the ratio of the gas increment to the initial gas mass, which is written as
η g a s = Δ m m 0 ,
where Δm is the gas mass increment in the barrel behind the projectile. This variable reflects the extent to which the high-pressure gas actually enters the barrel from the gas cylinder.
The launch efficiency ηtotal is defined as the ratio of the projectile kinetic energy to the high-pressure initial effective energy. It can be written as
η t o t a l = E k Q ,
where Ek is the muzzle kinetic energy of the projectile. The projectile is accelerated via the expansion of the compressed gas, and the kinetic energy obtained at the muzzle is
E k = 1 2 m p v 0 2 ,
where v0 is the muzzle velocity of the projectile.
The initial effective energy of the compressed gas [15] in the gas cylinder is
Q = p 0 V 0 ln p 0 p a ,
where pa is the atmospheric pressure.
Hence, the energy conversion efficiency of the compressed gas during the whole launch process can be expressed as
η t o t a l = E k Q = m p v 0 2 2 p 0 V 0 ln p 0 p a .
Figure 6 shows the changes in both the gas transfer efficiency ηgas and launch efficiency ηtotal with different nozzle diameters in the same conditions as above. It is shown that both the ηgas and ηtotal increase with the increasing nozzle diameter. When the nozzle diameter is more than half of the launcher caliber, the gas transfer efficiency is above 60.0% and increases slowly, and the launch efficiency is nearly 20.0% and also increases slowly. Hence, a larger nozzle size should be selected to ensure a higher efficiency of the launch system.

4.1.2. Gas Cylinder Volume

Figure 7 presents similar calculations but with different gas cylinder volumes. It is evident that as the gas cylinder volume increases, the peak pressure rises from 6.2 MPa and gradually approaches 10.0 MPa. Correspondingly, the muzzle velocity also increases. In Figure 7b, the total barrel time exhibits an exponential decrease as the gas cylinder volume increases. Moreover, the gas mass increment shows an approximately linear increase with the gas cylinder volume.
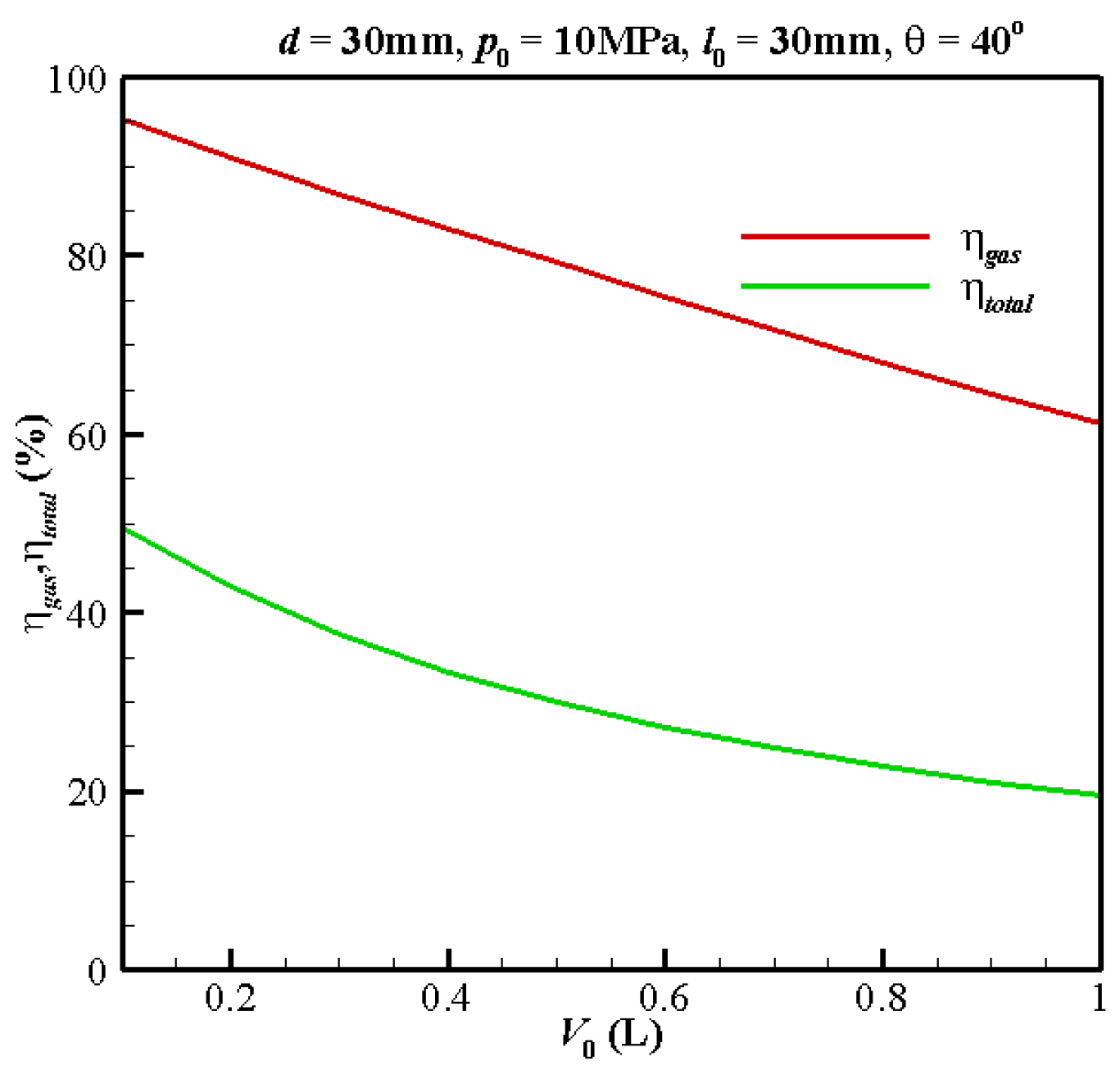
Figure 8 shows the changes in both the gas transfer efficiency ηgas and launch efficiency ηtotal with different gas cylinder volumes in the same conditions. It is shown that the gas transfer efficiency decreases linearly from 95.3% to 61.1%, and the launch efficiency also decreases approximately linearly from 49.4% to 19.6% with the increasing gas cylinder volume.

4.2. Influence of Initial Parameters

4.2.1. Initial Pressure in Gas Cylinder

Figure 9 depicts the variations in the peak pressure, muzzle velocity, total barrel time, and gas mass increment in the barrel for different initial pressures in the gas cylinder. The results demonstrate a clear correlation between the increasing initial pressure in the gas cylinder and the muzzle velocity, as it shows a corresponding increase. Both the peak pressure and gas mass increment in the barrel exhibit a linear increase with the initial pressure in the gas cylinder. Furthermore, the total barrel time follows an approximately exponential decay function.
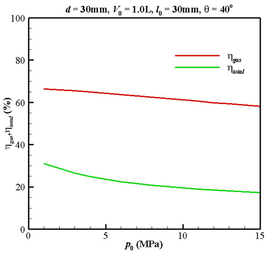
Figure 10 shows the changes in both the gas transfer efficiency ηgas and launch efficiency ηtotal with different initial pressures in the gas cylinder in the same conditions. It is shown that the gas transfer efficiency decreases linearly from 66.4% to 58.1%, and the launch efficiency also decreases approximately linearly from 31.1% to 17.3% with the increasing initial pressure in the gas cylinder. The gas mass increment in the barrel is affected by the combined effect of both the gas flow rate entering the barrel through the nozzle q and the total time tg. The actual available gas entering the barrel does not increase sufficiently with the pressure, and the ηgas decreases approximately linearly.

4.2.2. Loading Position

Figure 11 illustrates the variations in the peak pressure, muzzle velocity, total barrel time, and gas mass increment in the barrel for different loading positions. The results indicate that as the loading positions increase, both the peak pressure and muzzle velocity exhibit a gradual decrease. Conversely, the total barrel time and gas mass increment in the barrel remain relatively unchanged across different loading positions.
Figure 12 shows the changes in both the gas transfer efficiency ηgas and launch efficiency ηtotal with different initial loading positions in the same conditions. It is shown that the gas transfer efficiency slightly increases linearly from 60.1% to 61.9%, but the launch efficiency slightly decreases linearly from 19.9% to 19.3% with the increasing loading positions.

4.2.3. Launch Angle

A series of similar calculations were performed to discuss the effects of the launch angle. The calculation results show that the interior ballistic process is unaffected by the launch angles. The peak pressure was 9.3 MPa. The muzzle velocity was 189.89 m/s. The total barrel time was 9.1 ms. The gas mass increment in the barrel was 70.97 g. The gas transfer efficiency ηgas and launch efficiency ηtotal were 61.1% and 19.6%, respectively, when the nozzle diameter d was 30 mm, the gas cylinder volume V0 was 1.0 L, the initial pressure in the gas cylinder p0 was 10 MPa, the loading position l0 was 30 mm, and the launch angle θ was between 20° and 70°. The details of the main parameters at different launch angles are shown in Table 2.
Therefore, it can be concluded that the nozzle diameter and gas cylinder volume have significant impacts on the launching process. A larger nozzle diameter contributes to a higher muzzle velocity and improved launch efficiency. Similarly, a larger gas cylinder volume leads to a higher muzzle velocity, but at the expense of a lower launch efficiency. The initial pressure in the gas cylinder demonstrates an approximate proportional relationship with the muzzle velocity. Meanwhile, the loading position has a slightly inverse effect on the muzzle velocity. Interestingly, the launch angle has a minimal influence on the overall launch process.

5. Conclusions

To enhance the fire suppression performance through the utilization of compressed-air launching technology, a launch dynamics calculation model of a compressed-air launcher was developed using the VC++ program. This model was employed to simulate and analyze the effects of interior ballistics variations under different structural parameters and initial parameters.
The results indicate that the developed calculation model and launch efficiency evaluation program, which are based on thermodynamics and kinetics theories, successfully simulate the launching process of a fire-extinguishing bomb propelled by compressed air. The bore pressure exhibited a similar pulsed trend to that observed in the traditional gunpowder launching process. This demonstrates the efficacy of the calculation model in accurately capturing the dynamics of the compressed-air launching system.
The interior ballistics process was significantly influenced by the structural parameters. Specifically, as the nozzle diameter increased, the peak pressure rose and tended toward a maximum value when the nozzle diameter exceeded half of the launcher caliber. Moreover, the muzzle velocity, gas transfer efficiency, and launch efficiency exhibited the same trend as that of the peak pressure. Similarly, increasing the gas cylinder volume led to an increase in the peak pressure, which gradually approached a maximum value. The muzzle velocity followed a similar trend to that of the peak pressure. However, both the gas transfer efficiency and launch efficiency demonstrated an approximately linear decrease.
As the initial pressure in the gas cylinder increased, both the peak pressure and muzzle velocity exhibited a linear increase. However, the gas transfer efficiency and launch efficiency decreased approximately linearly. Regarding the loading position, a slight decrease was observed in both the peak pressure and muzzle velocity. Conversely, the gas transfer efficiency and launch efficiency experienced a slight increase. Interestingly, the launch angle had a minimal influence on the interior ballistic process, indicating that it has little impact on the peak pressure, muzzle velocity, gas transfer efficiency, and launch efficiency.
The lumped parameter model was established to describe the changes in macroscopic physical quantities in this paper. More accurate simulation models in the future will consider the actual flow of the high-pressure gas in the chamber and the heat loss distribution from the interaction between the projectile body and the barrel wall, which will show the details of the pressure and velocity distributions of the gas in the barrel.

Author Contributions

Conceptualization, Y.J. and Y.Z.; methodology, Y.G. and J.H.; software, Y.G. and J.Z.; validation, H.Z., J.H. and Y.J.; formal analysis, J.H. and C.J.; investigation, J.H. and C.J.; resources, Y.J.; data curation, H.Z., J.Z. and Y.Z.; writing—original draft preparation, Y.J. and J.H.; writing—review and editing, Y.J.; visualization, Y.Z.; supervision, J.Z.; project administration, J.Z.; funding acquisition, Y.J. and J.Z. All authors have read and agreed to the published version of the manuscript.

Funding

This research was funded by the Youth Talent Cultivation Plan of Changzhou University (grant number ZMF2202006).

Institutional Review Board Statement

Not applicable.

Informed Consent Statement

Not applicable.

Data Availability Statement

The data are contained within this article. Further inquiries can be directed to the corresponding authors.

Conflicts of Interest

The authors declare no conflict of interest.

References

  1. Susantez, C.; Caldeira, A.B. Heat Transfer Modelling and Simulation of a 120 mm Smoothbore Gun Barrel during Interior Ballistics. Def. Sci. J. 2022, 72, 30–39. [Google Scholar] [CrossRef]
  2. Wurster, S.; Lietz, M.; Sprengel, D. Simulation of the Loading Density for Gun Propellants with Arbitrary Shapes Using a Discrete Element Method. Propellants Explos. Pyrotech. 2022, 47, e202200044. [Google Scholar] [CrossRef]
  3. Ray, S.E.; Tezduyar, T.E. Fluid-Object Interactions in Interior Ballistics. Comput. Methods Appl. Mech. Eng. 2000, 190, 363–372. [Google Scholar] [CrossRef]
  4. Miura, H.; Matsuo, A.; Nakamura, Y. Numerical Prediction of Interior Ballistics Performance of Projectile Accelerator Using Granular or Tubular Solid Propellant. Propellants Explos. Pyrotech. 2013, 38, 204–213. [Google Scholar] [CrossRef]
  5. Rashad, M.M.; Zhang, X.B.; El Sadek, H.; Cheng, C. Two-Phase Flow Interior Ballistics Model of Naval Large Caliber Guided Projectile Gun System. Appl. Mech. Mater. 2013, 465–466, 592–596. [Google Scholar] [CrossRef]
  6. Troumbis, A.Y.; Kalabokidis, K.; Palaiologou, P. Diverging Rationalities between Forest Fire Management Services and the General Public after the 21st-Century Mega-Fires in Greece. J. For. Res. 2022, 33, 553–564. [Google Scholar] [CrossRef]
  7. Guo, X.; Zhang, H.; Pan, X.; Zhang, L.; Hua, M.; Zhang, C.; Zhou, J.; Yan, C.; Jiang, J. Experimental and Numerical Simulation Research on Fire Suppression Efficiency of Dry Powder Mediums Containing Molybdenum Flame Retardant Additive. Trans. Inst. Chem. Eng. Process Saf. Environ. Prot. 2022, 159, 294–308. [Google Scholar] [CrossRef]
  8. Zhao, F.; Wang, T.; Chen, Q.; Ren, Z. Brief Review of Compressed-Gas Ejection Application in Weapon System. Mod. Def. Technol. 2021, 49, 95–103. (In Chinese) [Google Scholar]
  9. Lin, J.; Zhang, X.; Zhu, Y.; Liu, W. The Technique of Three-Stage Compressed-Gas Gun for Hypervelocity Impact. Explos. Shock. Waves 2012, 32, 483–489. (In Chinese) [Google Scholar]
  10. Payri, R.; Gimeno, J.; Martí-Aldaraví, P.; Martínez, M. Transient Nozzle Flow Analysis and Near Field Characterization of Gasoline Direct Fuel Injector using Large Eddy Simulation. Int. J. Multiph. Flow 2022, 148, 103920. [Google Scholar] [CrossRef]
  11. Popov, V.L. Contact Mechanics and Friction: Physical Principles and Applications, 1st ed.; Springer: Berlin/Heidelberg, Germany, 2010. [Google Scholar]
  12. Sodeifian, G.; Nikooamal, H.R.; Yousefi, A.A. Molecular dynamics study of epoxy/clay nanocomposites: Rheology and molecular confinement. J. Polym. Res. 2012, 19, 9897. [Google Scholar] [CrossRef]
  13. Sodeifian, G. Non-Linear Rheology of Polymer Melts: Constitutive Equations, Rheological Properties of Polymer Blends, Shear Flow, Sliding Plate Rheometers; Lambert Academic Publishing: Saarland, Germany, 2011. [Google Scholar]
  14. He, L.; Shang, X.; Zhou, K.; Jiang, Y.; Zhang, Z.; Sun, Q. Dynamic Analysis for Launching Process of a Compressed Air-Driving Weapon. J. Vib. Shock. 2014, 33, 202–206. (In Chinese) [Google Scholar]
  15. Sun, X.; Lin, Z.; Zhang, C. Research on Pneumatic Efficiency for Compressed Air System. Fluid Mach. 2011, 39, 23–27. (In Chinese) [Google Scholar]
Figure 1. Schematic diagram of compressed-air launcher.
Figure 1. Schematic diagram of compressed-air launcher.
Applsci 13 09615 g001
Figure 2. Calculation model of compressed-air launcher.
Figure 2. Calculation model of compressed-air launcher.
Applsci 13 09615 g002
Figure 3. Barrel pressure and projectile velocity curves: (a) pt and vt curves; (b) pl and vl curves.
Figure 3. Barrel pressure and projectile velocity curves: (a) pt and vt curves; (b) pl and vl curves.
Applsci 13 09615 g003
Figure 4. Density and mass increment curves of gas in barrel behind the projectile: (a) ρt and Δmt curves; (b) ρl and Δml curves.
Figure 4. Density and mass increment curves of gas in barrel behind the projectile: (a) ρt and Δmt curves; (b) ρl and Δml curves.
Applsci 13 09615 g004
Figure 5. Changes in the peak pressure, muzzle velocity, total barrel time, and gas mass increment in barrel with different nozzle diameters: (a) pmd and v0d curves; (b) tgd and Δmd curves. The blue dashed line is the value of the initial pressure in the gas cylinder p0.
Figure 5. Changes in the peak pressure, muzzle velocity, total barrel time, and gas mass increment in barrel with different nozzle diameters: (a) pmd and v0d curves; (b) tgd and Δmd curves. The blue dashed line is the value of the initial pressure in the gas cylinder p0.
Applsci 13 09615 g005
Figure 6. Changes in the gas transfer efficiency and launch efficiency with different nozzle diameters.
Figure 6. Changes in the gas transfer efficiency and launch efficiency with different nozzle diameters.
Applsci 13 09615 g006
Figure 7. Changes in the peak pressure, muzzle velocity, total barrel time, and gas mass increment in barrel with different gas cylinder volumes: (a) pmV0 and v0V0 curves; (b) tgV0 and ΔmV0 curves. The blue dashed line is the value of the initial pressure in the gas cylinder p0.
Figure 7. Changes in the peak pressure, muzzle velocity, total barrel time, and gas mass increment in barrel with different gas cylinder volumes: (a) pmV0 and v0V0 curves; (b) tgV0 and ΔmV0 curves. The blue dashed line is the value of the initial pressure in the gas cylinder p0.
Applsci 13 09615 g007
Figure 8. Changes in the gas transfer efficiency and launch efficiency with different gas cylinder volumes.
Figure 8. Changes in the gas transfer efficiency and launch efficiency with different gas cylinder volumes.
Applsci 13 09615 g008
Figure 9. Changes in the peak pressure, muzzle velocity, total barrel time, and gas mass increment in barrel with different initial pressures in gas cylinder: (a) pmp0 and v0p0 curves; (b) tgp0 and Δmp0 curves.
Figure 9. Changes in the peak pressure, muzzle velocity, total barrel time, and gas mass increment in barrel with different initial pressures in gas cylinder: (a) pmp0 and v0p0 curves; (b) tgp0 and Δmp0 curves.
Applsci 13 09615 g009
Figure 10. Changes in the gas transfer efficiency and launch efficiency with different initial pressures in gas cylinder.
Figure 10. Changes in the gas transfer efficiency and launch efficiency with different initial pressures in gas cylinder.
Applsci 13 09615 g010
Figure 11. Changes in the peak pressure, muzzle velocity, total barrel time, and gas mass increment in barrel with different loading positions: (a) pml0 and v0l0 curves; (b) tg-l0 and Δm-l0 curves.
Figure 11. Changes in the peak pressure, muzzle velocity, total barrel time, and gas mass increment in barrel with different loading positions: (a) pml0 and v0l0 curves; (b) tg-l0 and Δm-l0 curves.
Applsci 13 09615 g011
Figure 12. Changes in the gas transfer efficiency and launch efficiency with different loading positions.
Figure 12. Changes in the gas transfer efficiency and launch efficiency with different loading positions.
Applsci 13 09615 g012
Table 1. Simulation parameters.
Table 1. Simulation parameters.
ParameterSymbolUnitValue
CaliberDmm50
Projectile massmpkg0.5
Projectile accelerating distanceLmm1000
Initial loading positionl0mm10–100
Nozzle diameterDmm5–40
Launch angleθ°20–70
Initial pressure in gas cylinderp0MPa0–10
Gas cylinder volumeV0L0.1–1.0
Gas constantRJ/(kg∙K)287.06
Adiabatic exponentγ 1.4
Atmospheric pressurepaPa101,325
Atmospheric temperatureTaK300
Sliding friction coefficientf 0.8
Young’s elastic modulus of belt materialEGPa0.0078
Poisson’s ratio of belt materialμ 0.47
Interference of the beltδmm0.1
Table 2. The main parameters at different launch angles when d = 30 mm, V0 = 1.0 L, p0 = 10.0 MPa, and l0 = 30 mm.
Table 2. The main parameters at different launch angles when d = 30 mm, V0 = 1.0 L, p0 = 10.0 MPa, and l0 = 30 mm.
θ (°)v0 (m/s)pm (MPa)tg (ms)Δm (g)m0 (g)ηgas (%)Ek (J)Q (J)ηtotal (%)
20189.839.39.170.97116.161.19008.946,051.719.6
25189.909.39.170.97116.161.19015.546,051.719.6
30189.969.39.170.98116.161.19021.246,051.719.6
35189.929.39.170.97116.161.19017.446,051.719.6
40189.849.39.170.97116.161.19009.846,051.719.6
45189.849.39.170.97116.161.19009.846,051.719.6
50189.919.39.170.97116.161.19016.546,051.719.6
55189.969.39.170.98116.161.19021.246,051.719.6
60189.919.39.170.97116.161.19016.546,051.719.6
65189.849.39.170.97116.161.19009.846,051.719.6
70189.849.39.170.97116.161.19009.846,051.719.6
Average value189.899.39.170.97116.161.19014.246,051.719.6
Disclaimer/Publisher’s Note: The statements, opinions and data contained in all publications are solely those of the individual author(s) and contributor(s) and not of MDPI and/or the editor(s). MDPI and/or the editor(s) disclaim responsibility for any injury to people or property resulting from any ideas, methods, instructions or products referred to in the content.

Share and Cite

MDPI and ACS Style

Jin, Y.; Gu, Y.; Zhu, H.; Jiang, C.; Huang, J.; Zhu, J.; Zhu, Y. Launch Dynamic Simulation of a Compressed-Air Launcher for Fire Suppression. Appl. Sci. 2023, 13, 9615. https://doi.org/10.3390/app13179615

AMA Style

Jin Y, Gu Y, Zhu H, Jiang C, Huang J, Zhu J, Zhu Y. Launch Dynamic Simulation of a Compressed-Air Launcher for Fire Suppression. Applied Sciences. 2023; 13(17):9615. https://doi.org/10.3390/app13179615

Chicago/Turabian Style

Jin, Yong, Yufei Gu, Hongjiang Zhu, Chuan Jiang, Jin Huang, Jianping Zhu, and Yuejin Zhu. 2023. "Launch Dynamic Simulation of a Compressed-Air Launcher for Fire Suppression" Applied Sciences 13, no. 17: 9615. https://doi.org/10.3390/app13179615

APA Style

Jin, Y., Gu, Y., Zhu, H., Jiang, C., Huang, J., Zhu, J., & Zhu, Y. (2023). Launch Dynamic Simulation of a Compressed-Air Launcher for Fire Suppression. Applied Sciences, 13(17), 9615. https://doi.org/10.3390/app13179615

Note that from the first issue of 2016, this journal uses article numbers instead of page numbers. See further details here.

Article Metrics

Back to TopTop