Next Article in Journal
Fuzzy Multivariate Regression Models for Seismic Assessment of Rocking Structures
Previous Article in Journal
Diagnosing Cracks in the Injector Nozzles of Marine Internal Combustion Engines during Operation Using Vibration Symptoms
 
 
Font Type:
Arial Georgia Verdana
Font Size:
Aa Aa Aa
Line Spacing:
Column Width:
Background:
Article

Phytochemical Analysis and Antioxidant Activity of Ethanolic Extracts from Different Parts of Dipteryx punctata (S. F. Blake) Amshoff

by
Bruna Cristine Martins de Sousa
1,*,
Daniel do Amaral Gomes
2,
Alciene Ferreira da Silva Viana
3,
Bruno Alexandre da Silva
3,
Lauro Euclides Soares Barata
1,
Adilson Sartoratto
4,
Denise Castro Lustosa
1,* and
Thiago Almeida Vieira
1,*
1
Institute of Biodiversity and Forests (IBEF), Federal University of Western Pará (UFOPA), Santarém 68040-255, Pará, Brazil
2
Technical Assistance and Rural Extension Company of the State of Pará (EMATER), Mojuí dos Campos 68120-000, Pará, Brazil
3
Institute of Collective Health (ISCO), Federal University of Western Pará (UFOPA), Santarém 68040-255, Pará, Brazil
4
Pluridisciplinary Center for Chemical, Biological and Agricultural Research (CPQBA), State University of Campinas (UNICAMP), Campinas 13140-000, São Paulo, Brazil
*
Authors to whom correspondence should be addressed.
Appl. Sci. 2023, 13(17), 9600; https://doi.org/10.3390/app13179600
Submission received: 3 July 2023 / Revised: 19 August 2023 / Accepted: 21 August 2023 / Published: 24 August 2023

Abstract

The genus Dipteryx, to which the cumaru tree belongs, contains neotropical species native to Central and South American countries. They are used both in the sale of timber and seeds and for the extraction of the active compound coumarin, used as a flavoring agent. This study evaluated the phytochemical profile and antioxidant activity of extracts of leaves, branches, and fruits (residues and seeds) of the species Dipteryx punctata. The plant material for analysis was collected in five seed-producing areas, in Mojuí dos Campos, Pará, Brazil. The extracts were obtained via Soxhlet extractor using 92.8% distilled ethanol as the solvent and operated till exhaustion (8 h). Chromatographic analyses were performed by thin-layer chromatography (TLC) and gas chromatography coupled to mass spectrometry (GC-MS), followed by phytochemical determination of phenolics and flavonoids and analysis of antioxidant activity (TLC and free radical scavenging 2,2-diphenyl-1-picrylhydrazyl (DPPH). The highest extract yields were obtained from D. punctata fruit residues and seeds from all areas, with maximum values of 26.1% and 47.2%, respectively, in Boa Fé (area 3). In the evaluation by TLC, the extracts of leaves, branches, and residues presented the classes of terpenes, condensed and hydrolysable tannins, and flavonoids; coumarin (1,2-benzopyrone) was identified only in residue and seed extracts. The major constituents highlighted in the collection areas were: lupeol in leaves (34.4% in area 5), 4-O-methylmannose in branches and residues (85.5% in area 2 and 90.6% in area 5, respectively), and coumarin in seeds (99.3% in area 3). The best results for the antioxidant action were obtained for extracts from leaves and residues, requiring a concentration of 117.6 µg.mL−1 of the extract from the leaves and 160.4 µg.mL−1 of the extract from the residues to reduce the 2,2-diphenyl-1-picrylhydrazyl (DPPH) radical by 50%. This phytochemical study contributes to reducing the scarcity of information on D. punctata. The chemical classes and compounds identified corroborate the antioxidant activity and add value to the species, and the data obtained reinforce the importance of reusing fruit residues, which are chemically rich but discarded in the environment.

1. Introduction

The Amazon has a variety of species that have added economic value to both timber and non-timber forest products, and which generate work and income for various communities in the region, with an emphasis on species of the genus Dipteryx.
This genus, native to Central and South American countries, belongs to the botanical family Fabaceae (Leguminosae) and consists of 11 species [1,2,3,4] that are found in natural forests and highly sought after for monocultures, agroforestry systems, and reforestation [5].
Agroforestry systems (AFSs) integrate forest species, normally of commercial value, with perennial and annual crops, with or without the presence of animals. The most outstanding systems are taungya, silvopastoral, agroforestry, home gardens, and commercial multi-stratified systems and they enable family farmers to obtain income from different species and products throughout the year [6].
Dipteryx odorata (Aubl.) Forsyth f., the best-known species of the genus in the Amazon, is incorporated into plantations and used to obtain wood and extract simple coumarin from the seeds [7,8].
The wood of this species is dense to very dense (0.95 g.cm−3 to 1.19 g.cm−3), heavy, of good quality, rot-resistant, and resistant to fungi, insects, and marine borers. It is widely used in the shipbuilding and agricultural implement industries. In the construction industry, it is used for the manufacture of beams, rafters, stakes, struts, fence posts, and floorboards, and it can even be used in laminated joinery articles [5,8].
In the almond market (processed seeds), data from 2010 show that Brazil sold 95 tons (t) of cumaru almonds from Pará, generating revenue of BRL 744,000.00. In 2018, there was an increase in sales (170 tons) and production value (BRL 4,105,000.00) [9].
However, other species of the genus, such as Dipteryx punctata (S. F. Blake) Amshoff, can also be exploited to obtain coumarin and other plant products [10].
Dipteryx punctata can grow to a height of 10 m in cultivated formations (Figure 1A). It has a cylindrical trunk (Figure 1B), branches with no exudate and compound, and pinnate leaves, with alternate oval leaflets (Figure 1C). The inflorescence is a panicle with yellow to purple flowers (Figure 1D). The oblong, oval fruits are drupes (Figure 1E), with late dehiscent valves and the endocarp opens only after mesocarp decomposition (Figure 1F).
Many plant species produce substances with cosmeceutical, pharmacological, microbiological, and other properties and have been scientifically researched. In that context, vegetable oils and extracts are particularly important sources of biologically active substances with potential for product development.
The aqueous extract of cumaru fruit residues (epicarp + mesocarp) is used in folk medicine as an antispasmodic and as a tonic to combat coughs, colds, and lung problems. From the cooking of fruits and seeds, a type of tonic is also obtained with anesthetic, diaphoretic, and emmenagogic properties that act as an efficient moderator of heart and respiration rates [5,8].
Plant extracts are concentrated preparations, obtained after harvesting parts of the plant (leaves, branches, fruits, seeds, roots, and rhizomes). They have different consistencies and may be obtained by enzymatic inactivation, drying, and grinding, or by methods involving the use of solvents such as ethyl alcohol or water itself, in which case the compounds are separated by fractionation of the extract and purification of the active principal [11].
Secondary metabolites are chemical compounds found in products of natural origin and the three most important groups are terpenes (giving rise to monoterpenes, sesquiterpenes, diterpenes, triterpenes, and tetraterpenes), phenolic compounds (derived from carbohydrates, such as flavonoids, tannins, and coumarins, among others) and alkaloids (derived from amino acids, the main constituents of proteins) [12].
Among the phenolic compounds, coumarin 1,2-benzopyrone is the simplest representative; it was isolated for the first time from D. odorata fruits by Vogel in 1820 [13]. However, more than 1300 coumarins have been identified from natural sources, especially green plants, and their pharmacological and biochemical properties and their therapeutic applications depend on their substitution pattern [14]. In that sense, products of plant origin emerge as a source of active substances with the potential for various biological activities, including antioxidant, insecticidal, fungicidal, herbicidal, and nematicidal action [15].
Pharmacologically, the antioxidant activity has been extensively investigated with a view to replacing products of synthetic origin with those of natural origin for insertion in human food and use in the prevention of pathologies. Scientifically, it has been demonstrated that the progression and onset of various pathologies may be related to oxidative stress in degenerative, cardiac, inflammatory, immunological, and neurological diseases, among others [16].
The DPPH (2,2-diphenyl-1-picrylhydrazyl) method, for example, is widely used to assess antioxidant capacity [17,18]. The test evaluates the ability of a sample to eliminate or neutralize free radicals, which is monitored using a UV/visible spectrophotometer [19]. Antioxidant activity is usually expressed by the IC50 parameter (inhibitory concentration), which is defined by the antioxidant agent’s ability to sequester 50% of the free radicals present in the solution. The inverse relationship between the amount of sample and the antioxidant activity means that the lower the IC50 value is, the greater the antioxidant activity of the product [20].
In this context, chemically characterizing the extracts from different parts of D. punctata and evaluating their potential in terms of antioxidant activity is an interesting strategy because, in addition to the lack of chemical information about this species, the seeds of Dipteryx spp. are used in the food industry, mainly for the manufacture of sweets and ice cream [7,8]. These facts encourage studies on the capture of free radicals, add economic value to these species, and contribute to the increased demand for them in agroforestry systems. In addition, finding an antioxidant action in fruit residues would open up the possibility of a new destination for this by-product hitherto discarded in the environment, thereby making more efficient use of production. Thus, this study aimed to evaluate the phytochemical profile and antioxidant activity of extracts obtained from leaves, branches, and fruits (residues and seeds) of Dipteryx punctata.

2. Materials and Methods

2.1. Collection Areas

The plant materials were collected in the rural communities of Água Fria, Terra de Areia, and Boa Fé, located in the municipality of Mojuí dos Campos, Eastern Amazon, Pará, Brazil. Collections were carried out in two periods: one in the months of February and March 2018 (average temperature of 25 °C), to obtain leaves, branches, and flowers, and another in September of the same year (average temperature of 30 °C), to obtain fruits (residues and seeds). The five areas with implemented agroforestry systems producing cumaru trees were selected according to the guidance of the local office, in Mojuí dos Campos, of the Technical Assistance and Rural Extension Company of the State of Pará (Emater-PA) [21].

2.2. Description of the Collection Areas

Area 1—located in the Água Fria community (geographical coordinates 2°46′21.69″ S; 54°39′25.13″ W) (Figure 2A). It consists of two hectares, containing 120 cumaru trees, approximately 10 years old, five to nine meters high, in consortium with interspersed rows of orange trees (Citrus sinensis) planted sequentially. The cumaru trees are spaced 16 m between rows and four meters between plants. Area cleaning and tree pruning are carried out regularly.
Area 2—located in the Água Fria community (geographical coordinates 2°46′45.24″ S; 54°38′47.06″ W) (Figure 2B). It consists of 0.5 hectares, containing 70 cumaru trees, approximately 10 years old, five to nine meters high, in consortium with interspersed lines of orange trees planted sequentially. The cumaru trees are spaced eight meters between rows and four meters between plants [22]. Area cleaning and tree pruning are carried out regularly.
Area 3—located in the Boa Fé community (geographical coordinates 2°37′14.33″ S; 54°40′53.22″ W) (Figure 2C). It consists of two hectares, containing 14 cumaru trees, approximately 10 years old and an average of nine meters in height, intercropped with sequentially planted black pepper (Piper nigrum), with no defined spacing. The area is cleaned regularly.
Area 4—located in the Terra de Areia community (geographical coordinates 2°47′53.22″ S; 54°38′28.77″ W) (Figure 2D). It consists of one hectare containing 70 cumaru trees, approximately 10 years old, five to nine meters high, in consortium with separate lines of sequentially planted orange trees. The cumaru trees are spaced eight meters between rows and four meters between plants. This area has not adopted cultivation practices.
Area 5—located in the Boa Fé community (geographical coordinates 2°39′16.95″ S; 54°40′50.08″ W) (Figure 2E). It has two hectares containing 160 cumaru trees, approximately 10 years old and an average of nine meters in height, intercropped in the same row with orange trees and other crops (pineapple and different types of citrus), with the presence of animals (goats, sheep, chickens, and pigs), without defined spacing. Area cleaning and tree pruning are carried out regularly.

2.3. Abiotic Factors in the Collection Areas

The climate is of the humid tropical type, with temperatures ranging from 25 °C to 30 °C, and, in the collection period, the precipitation, according to the Quantis classification, was: rainy season to normal, 85% to 66% (February 2018), normal season dry, 66% to 33% (March 2018), normal dry period, 66% to 33% (September 2018) [23]. The taxonomic classification of the predominant soil in the areas of Mojuí dos Campos is dystrophic yellow latosol, typical, moderate A, very clayey texture, sub-perennial equatorial forest, flat and gently undulating relief [24].

2.4. Collection of Plant Material

Seven D. punctata trees were selected in each of the five areas based on their productivity, that is, plants that bear fruit regularly every year, and with similar morphological and physiological characteristics (height, diameter, and flowering). To obtain extracts from the 35 trees, leaves, branches, and 30 fruits per tree were collected, that is, 210 fruits per area and 1050 fruits altogether [21].
Specimens of the collected materials, botanically identified as Dipteryx punctata, were exsiccated and have been deposited in the Herbarium of the Federal University of Western Pará under registration numbers: HSTM 11897, HSTM 11898, HSTM 11899, HSTM 11900, and HSTM 11901, and in the Herbarium of the Botanical Garden of Rio de Janeiro under registration numbers: RB 772255, RB 772253, RB 772256, RB 772257, and RB 772254. The research was registered in the National System for the Management of Genetic Resources and Associated Traditional Knowledge (SisGen, Brazil) under protocol A1B0150. SisGen is an electronic system created to assist the Genetic Heritage Management Council (CGen), Ministry of Environment and Climate Change, Brazilian Federal Government.

2.5. Obtaining and Plant Extracts and Yields from Leaves, Branches, and Fruits of Dipteryx Punctata

The extracts obtained from all collected parts of the plants and the fruits of D. punctata were separated into residues (epicarp + mesocarp + endocarp) and seeds. The leaves, branches, and fruits were weighed, packed in paper bags, and placed in an oven at 45 °C, with forced air circulation for drying for 20 days. After that, the plant material was weighed again to obtain the dry mass and ground before performing the ethanolic extraction. From each area, 70 g of leaves, 35 g of branches, 70 g of residues, and 35 g of seeds were used for the extraction, which was performed in triplicate [21].
The extraction procedures took place via Soxhlet extractor, in which the previously ground plant materials were transferred to cartridges (sachets) made with filter paper to retain material remnants (largest pore: 44 µm and many pores: 26 µm), and added inside the extractor cup of the device. Then, 92.8% ethyl alcohol (distilled for 4 h with 2.0 g sodium hydroxide for 2 L) was added as a solvent in the glass flask, and extraction was started until exhaustion (8 h) [25]. The ethanolic solutions obtained were evaporated in a rotary evaporator (manufactured by Fisatom) to eliminate the solvent and obtain the ethanolic extracts which were stored in amber glass containers, sterilized, and subjected to drying at room temperature (±27 °C) [25].
To obtain the yields (%), the extracts were weighed and the formula [Mass of oil or extract (g)/Mass of dry plant material (g)]*100 [25] was applied. Analysis of Variance (ANOVA) was performed with the yield data and the treatments means compared by the Tukey test (p ≤ 0.05), using the SISVAR statistical software, version 5.6, Build 90 [26].

2.6. Thin-Layer Chromatography (TLC) for the Evaluation of the Main Classes of Compounds

For the chromatographic analysis of the ethanolic extracts of D. punctata, the study used 10 × 10 cm Alugram Xtra aluminum plates in silica gel 60, (manufactured by Macherey-Nagel GmbH & Co. KG, German Company, Düren, Germany), with a fluorescent indicator and layer thickness of 0.20 mm. The extracts were weighed (10 mg), solubilized in 1 mL of solvent, homogenized, and 10 µL aliquots applied to the plates, 1.5 cm apart from each other.
The system consisted of plates eluted using a mixture of ethyl acetate: hexane (70:30). Subsequently, the plates were dried and revealed to identify the classes of terpenes (1% sulfuric vanillin and thymol standard), condensed tannins (1% hydrochloric vanillin and green tea standard (Camellia sinensis)), hydrolysable tannins (ferric chloride, 1% FeCl3 and C. sinensis standard), flavonoids (aluminum chloride, 5% AlCl3 and quercetin standard) and coumarin (potassium hydroxide, 5% KOH and 1,2-benzopyrone standard) [27]. The reagents were from Dinâmica Química Contemporânea LTDA (Brazilian Company located in São Paulo), and the standards were from Sigma-Aldrich (American Company located in Saint Louis, Missouri). Retention factors (Rf) were calculated when possible [25].

2.7. Determination of Total Phenolics and Flavonoids

For the evaluation of the presence of phenolics and flavonoids in the ethanolic extracts of D. punctata, representative samples from all collection areas were weighed and grouped, based on the similarity of the chemical results. Then, the samples of each part of the plant were diluted and aliquots of the solution were added to test tubes to obtain concentrations of 30, 70, 200, and 450 µg.mL−1 for leaves and residues, and 50, 200, 500, and 1000 µg.mL−1 for branches and seeds, up to a volume of 5000 µL in ethyl alcohol P. A.
For the determination of total phenolics with adaptations, triplicates were prepared to contain 500 µL of each evaluated concentration, 2.5 mL of Folin–Ciocalteu at 5% (v/v), and 2.0 mL of sodium carbonate (NaCO3) to 4% (w/v). The control consisted of 500 µL of ethyl alcohol, 2.5 mL of 5% Folin–Ciocalteu, and 2.0 mL of sodium carbonate (4% NaCO3). The reading (λ = 740 nm), performed through a UV/Visible spectrophotometer, occurred after keeping the samples in the dark for two hours and the formation of bluish solutions. The calculation of results was based on the seven points analytical curves (10–80 µg.mL−1) of the gallic acid standard (y = 83.532 x − 0.5777 and R2 = 0.99), expressed as mg of GAE (gallic acid equivalent) per gram of extract [28].
For total flavonoids with some modifications, triplicates were obtained by adding 2.4 mL of 0.1% aluminum chloride (AlCl3) solution to 600 µL of each evaluated concentration. The control consisted of 600 µL of ethyl alcohol and 2.4 mL of aluminum chloride (0.1% AlCl3). The reading (λ = 420 nm) occurred after a period of 30 min and was characterized by the reaction between the flavonoid and aluminum forming a yellowish solution. The calculation of the results was based on the seven points analytical curve (5–80 µg.mL−1) of the rutin standard (y = 83.532 x − 0.5777 and R2 = 0.99) and expressed as mg of RE (rutin equivalents) per gram of extract [29].

2.8. Gas Chromatography Coupled to Mass Spectrometry (GC-MS)

The chromatographic analysis of the ethanolic extracts of D. punctata was performed at the Analytical Instrumentation Center of the University of São Paulo (Analytical Center of the Institute of Chemistry, USP), using a QP2020 chromatograph, Shimadzu brand, and linear scanning in the interval of 37 m/z to 660 m/z.
Chromatographic conditions were: injector temperature maintained at 280 °C, the column used was a DB5MS (30 m × 0.25 mm wide × 0.25 mm thick), with initial temperature of 50 °C (3 min), heating of 3 °C/min, final temperature of 280 °C (15 min), detector at 280 °C, carrier gas (He) flow rate of 1.82 mL/min, and volume of injected extracts of 1 µL.
Compounds were identified by comparing their retention indexes (RI), mass spectra, and detected mass fragmentations with those stored in the NIST14 library, and with data from the literature [25,27].

2.9. Antioxidant Activity of Dipteryx Punctata Extracts by TLC and DPPH Free Radical Scavenging

The ethanolic extracts obtained were also evaluated by TLC for their antioxidant potential, according to an adapted methodology [17], using the same elution system for the different classes of compounds, and ABTS (2,2′-azinobis (3-etthylbenzothiazoline-6-sulfonic acid)) and DPPH (2,2-diphenyl-1-picrylhydrazyl) radicals as developers. Plates developed with ABTS (7 mM) had ascorbic acid as standard (1000 µg.mL−1) and for those developed with methanolic solution DPPH (0.2%), the standard used was gallic acid (100 µg.mL−1).
The antioxidant potential resulting from the reduction in ABTS was evaluated by the presence of white spots on a greenish background after 48 h and that of DPPH by the presence of light-yellow spots against purple staining, after 2 h. All plates were kept in the dark during this period.
After qualitative verification of the antioxidant action on the plaques, the selected quantitative method was DPPH free radical capture with some modifications [30], as only this analysis enables the necessary extract concentrations to be obtained for a 50% reduction in radicals [31]. Representative samples from all collection areas were weighed and grouped; then, the sample from each part of the plate was diluted and aliquots added to test tubes to obtain concentrations of 40, 70, 200, 350, and 500 µg.mL−1 for leaf and fruit residue extracts and 230, 800, 1500, 2500, and 3000 µg.mL−1 for branch and seed extracts, up to a volume of 600 µL in methyl alcohol P. A.
After this process, 2.4 mL of the DPPH radical solution (29 µg.mL−1) diluted in methyl alcohol P.A. were added to the tubes and homogenized in a shaker. For negative control, 600 µL of methyl alcohol and 2.4 mL of DPPH radical were used. All analyses were performed in triplicate. The two readings were performed with a UV/visible spectrophotometer (λ = 516 nm) and monitored at intervals of 40 min (80 min in total) until the absorbance stabilized. The antioxidant action was verified by observing the color change in the sample (purple or violet) to light yellow or pale violet after that period in the dark.
The DPPH index was calculated using the equation: I (%) = [(Abs0 − Abs1)/Abs0] × 100, where Abs0 is the absorbance of the blank and Abs1 is the absorbance of the sample. Regression analysis was performed using the SISVAR statistical software, version 5.6, Build 90 [26]. Based on the relationship between the concentrations tested and the percentage of inhibition calculated, adjusted logarithmic functions were obtained with representation of each part of the plant given via y = a ln (x) ± b (a and b = constants; ln = natural logarithmic function) for the calculation of IC50 values (extract concentration necessary to reduce 50% of the DPPH radical), where IC50 = EXP((50 − b)/a). The logarithmic model was used to plot the graphs in the electronic spreadsheet program, Microsoft Office Excel 365 (Microsoft Corporation, an American Company located in Redmond, Washington), presenting five points plotted for each extract (leaves, branches, residues, and seeds).

3. Results

3.1. Yield of Dipteryx punctata Ethanolic Extracts

There was a significant difference in the yield of ethanolic extracts for both factors (parts of the plant used and collection areas). In all areas, the highest yields were obtained for the seed extracts, except in area 1, in which they did not differ from the residues’ extract (Table 1).
The extracts from the residues also showed great potential regarding the use of plant biomass, with higher yields than the extracts from the leaves and branches (Table 1).
The highest average yield of seed extracts was observed in area 3 (Table 1) and it was 66.2% higher compared to the extract obtained in area 1 and 47.5%, 27.2%, and 18.9% higher than seed extract yields from areas 2, 4, and 5, respectively. Extracts obtained from fruit residues collected in area 3 also showed higher yields compared to extracts from areas 2 and 5 (Table 1), with increases of 40.3% and 26.1%, respectively.

3.2. Thin-Layer Chromatography (TLC) for the Evaluation of the Main Classes of Compounds

In the phytochemical analysis of ethanolic extracts of D. punctata by TLC, except extracts from seeds, the classes of terpenes, condensed tannins, hydrolysable tannins, and flavonoids were observed in the extracts from leaves, branches, and residues from all areas. Their presence was indicated by the intensity and color of the samples when compared with the standards used (Table 2).
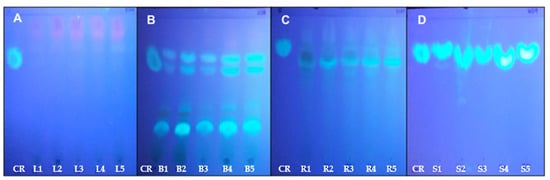
As for 1,2-benzopyrone (simple coumarin), the results show its presence in extracts of residues and seeds of D. punctata (Table 2), with a retention factor of 0.78 (Figure 3C,D). For leaves and branches, this compound was not observed (Figure 3A,B), however, for branches, there was the possible presence of other compounds of the coumarin class (Figure 3B).

3.3. Determination of Total Phenolics and Flavonoids

The results obtained in the phenolic and flavonoid determination tests confirmed those found in the TLC. Phenolic compounds were evidenced in all extracts, with leaf and branch extracts showing the highest levels (51.76 ± 0.16 mg GAE g−1 and 48.45 ± 0.50 mg GAE g−1, respectively). The residue and seed extracts showed lower values compared to the other samples, however, these contents are above 24 milligrams of gallic acid equivalents per gram of sample (Table 3). About the class of flavonoids, the highest content was obtained in the extract of the leaves, 115.40 ± 3.41 mg RE g−1. For the extracts of branches and residues, the values found were 69.71 ± 0.51 mg RE g−1 and 71.86 ± 3.79 mg RE g−1, respectively; the presence of this class was not detected in seed extracts (Table 3).

3.4. Gas Chromatography Coupled to Mass Spectrometry (GC-MS)

In addition to the major constituent (highest percentage), the extract analyses found compounds present in the plant material obtained from all collection areas with percentages above 5% for at least one of them and those were considered to be markers for the parts of the plant.
In the extracts of the D. punctata leaves, 24 compounds were identified. The markers were: lup-20(29)-en-3-one, with the highest percentage in area 1 (11%) and γ-sitosterol (5.6%), octadecanoic acid ethyl ester (stearic acid ethyl ester) (7.5%), (-)-spathulenol (9.2%), (Z,Z,Z)-9,12,15-octadecatrienoic acid ethyl ester (linolenic acid ethyl ester) (10.6%), and hexadecanoic acid ethyl ester (palmitic acid ethyl ester) (11.8%) area 2, (Table 4).
N-hexadecanoic acid (palmitic acid) and phytol were also indicated as markers in D. punctata leaf extracts, with the highest percentages obtained in area 3 (5.1% and 11.1%, respectively) (Table 4).
Lupeol predominated in all areas, and in the material collected in areas 4 and 5, the percentages were 27% and 34.4%, respectively (Table 4). Other substances with percentages below 5% identified in D. punctata leaves in all areas were: neophytadiene, stigmasterol and the 4, 4, 6a, 6b, 8a, 11, 11, 14b-octamethyl-1, 4, 4a, 5, 6, 6a, 6b, 7, 8, 8a, 9, 10, 11, 12, 12a, 14, 14A, 14b-octadecahydro-2H-picen-3-one.
For the ethanolic extracts of D. punctata branches, the analyses identified 16 compounds, among which hydrocoumarin and lupeol are presented as markers. Lupeol was identified as the major compound present in the plant material collected in areas 1, 4, and 5, with percentages above 5% in the other collection areas (Table 5). Only in the plant material collected in area 1 was (Z)-9-octadecenoic acid (oleic acid) detected (6.8%). Other compounds present in the extract of branches collected in this and other collection areas were (-)-spathulenol, 4-O-methylmannose, n-hexadecanoic acid, bis(2-ethylhexyl)phthalate, stigmasterol, γ-sitosterol, and lup-20(29)-en-3-one (Table 5). Except for 4-O-methylmannose, these compounds were also identified in D. punctata leaves extracts.
4-O-methylmannose was the major constituent in the extract of branches collected in area 2 (85.5%) and in area 3 (25.4%) (Table 5). For area 3, all the constituents of the extract of the branches presented percentages above 5%, with the highest values for this area being for hydrocoumarin (16.8%), (-)-spathulenol (16.9%), and bis(2-ethylhexyl)phthalate (16.9%) (Table 5).
In areas 4 and 5, in addition to the common compounds present in the extracts of branches found in all collection areas, the analysis verified the presence of (Z)-9-octadecenal (area 4 with 5.4% and area 5 with 5.1%) and octadecanoic acid (stearic acid) (area 4 with 5.3% and area 5 with 5.2%) (Table 5).
The analyses of the extracts of D. punctata residues by GC-MS identified 31 different chemical substances. Among the 14 compounds analyzed in area 1, for example, were n-hexadecanoic acid (5.1%), hexadecanoic acid 2-hydroxy-1-(hydroxymethyl) ethyl ester (5.5%), (S)-isopropyl lactate (6.5%), 2,3-butanediol (7.3%) and, 9-octadecenoic acid (E,E,E)-1,2,3-propanetriyl ester (15.8%), this last being the outstanding compound of this area, and of area 2, with a percentage of 16%, and area 4, with 10.6% (Table 6). In areas 1, 2, and 4, apart from the common major constituents, (-)-spathulenol was also highlighted.
Fatty acids also showed percentages above 5% in the extracts of D. punctata residues in the collection areas. Ethyl oleate was detected with a percentage of 9.9% in area 1, 8.5% in area 2, and 6.4% in area 4 (Table 6). The constituents found in the residues collected in all study areas were hydrocoumarin, coumarin, and cis-vaccenic acid, making these compounds markers for extracts from D. punctata residues. Hydrocoumarin had the highest percentage in areas 2 (7.7%) and 4 (8.5%) and coumarin and cis-vaccenic acid in areas 1, 2, and 4, with percentages of 8.2%, 7.2%, and 9% for coumarin, and 14.6%, 13.9% and 10% for cis-vaccenic acid, respectively (Table 6).
For the residues collected in areas 3 and 5, most of the constituents identified in the extracts had percentages below 5%, except the ester (E,E,E)-1,2,3-propanetriyl of 9-octadecenoic acid (8.5%) in area 3, and 4-O-methylmannose, which was the major constituent of these areas, with 81.7% (area 3) and 90.6% (area 5) (Table 6). This last compound was also identified in the branches of D. punctata.
In the extracts of D. punctata seeds, 23 compounds were identified, 20 of which were found in area 1. Oleic acid was the major constituent (32.5%) and there were four substances with percentages above 5%, namely, coumarin (5.4%), n-hexadecanoic acid (6.1%), cis-vaccenic acid (8.5%), and (Z)-9-octadecenoic acid 2,3-dihydroxypropyl ester (11%) (Table 7).
In general, species of the genus Dipteryx have coumarin in their chemical composition. In the seeds obtained from cumaru plants collected in areas 2, 3, 4, and 5, this compound was predominant, with percentages of over 90% (Table 7). Oleic acid was observed in D. punctata seed extracts in areas 1 and 5, and stigmasterol was also identified in D. punctata seed extracts in area 1 (Table 7).

3.5. Antioxidant Activity of Dipteryx punctata Extracts by TLC and DPPH Free Radical Scavenging

From the screening by TLC, it was found that the extracts from the different parts of the plant showed signs of antioxidant activity given the presence of a whitish color at the sample application points on the plates developed with ABTS (2,2′-azinobis(3-etthylbenzothiazoline-6-sulfonic acid)) (Figure 4A1–D1), and the presence of a yellowish color in the plates developed with DPPH (2,2-diphenyl-1-picrylhydrazyl) (Figure 4A2–D2). It was also observed that there were no differences in color or intensity between the extracts from the different collection areas; this characteristic was identified in the chromatographic plates that evaluated the classes of compounds (Figure 4). Quantitative analysis using the DPPH radical scavenging method, performed with extracts of leaves, branches, residues, and seeds, containing representatives from all collection areas, corroborated the TLC results, indicating significant neutralization of the radical by the change in color from purple or violet to light yellow or pale violet with the increasing concentrations tested (Figure 5).
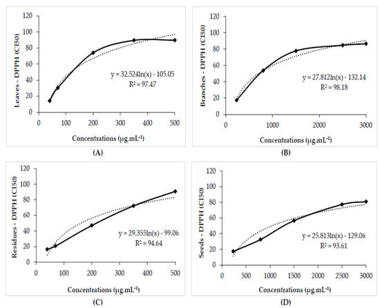
The logarithmic function adequately represents the consumption of DPPH as a function of the increase in concentrations in this study, in the three phases: the first characterized by the gradual increase in the consumption of the DPPH radical, the second by the rapid increase that approaches the logarithmic curve (IC50 value), and the third by the occurrence of a gradual deceleration after the curve, until a constant consumption of this radical and saturation of the extracts is identified (Figure 6).
For the extract of the leaves and residues, the concentration of 500 µg.mL−1 was responsible for the DPPH index of 90% and 91%, respectively; for the branches, the index was 87%, and for the seeds 81%, at the highest concentration tested (3000 µg.mL−1) (Figure 6).
Regarding the consumption of DPPH due to the increase in the tested concentrations, logarithmic functions were obtained with determination coefficients above 90%, enabling the calculation of the IC50 (concentration of the extract necessary to reduce 50% of the DPPH radical). It was verified that a concentration of 117.6 µg.mL−1 is necessary for the extract of the leaves to reduce the DPPH radical by 50% (Figure 6A). For the branches, the increase in radical capture capacity occurred at the concentration of 698.5 µg.mL−1 (Figure 6B), and for the residue and seed extracts, at the concentrations of 160.4 and 1029.5 µg.mL−1, respectively (Figure 6C,D) (Table 8).

4. Discussion

Regarding the data obtained with ethanolic extractions, many factors can influence the obtaining of higher yields, including the part of the plant studied, the size of the particles, the chosen methodology, the solvent, the concentration used, the extraction time, and the extraction temperature [32].
Soxhlet extractions enable the complete exhaustion of the plant material in a period of approximately eight hours and, when ethyl alcohol is used as a solvent, both apolar and polar substances are extracted as it is an amphiphilic molecule [33]. This explains the higher yield obtained in extracts of cumaru seeds, considering that this part of the plant contains a high oil content imparting an oilier character to this extract.
Extractions of leaves, branches, residues (separated into epicarp + mesocarp, and endocarp) and seeds of Dipteryx odorata and Dipteryx punctata have also been performed in a Soxhlet apparatus and, as in this study, the highest yields were obtained for extracts of fruit residues (epicarp + mesocarp) (44.1% and 54.2%) and for the seeds (48.9% and 44.5%) of the two species, respectively [10]. The yield of Dipteryx odorata seed extractions also resulted in values as high as 46.5% [34].
The yields obtained from fruit residues are very important, as currently, this material serves only as organic matter in the growing areas, being discarded by farmers after collecting and pulping the fruits to extract the seeds [10,21].
Area 3 stands out in terms of the yield obtained for fruit extracts and has a reduced number of cumaru trees. This characteristic can favor the development and production of trees, considering that each species requires specific characteristics of the environment, such as incidence of light, temperature, humidity, gravity, and wind speed [35], and the reproductive phenophases, especially the beginning of flowering, are largely influenced by the temporal variation in abiotic factors [36]. In addition, the greater spacing enhances the trees’ ability to compete and exhibit greater treetop diameters [37]. Thus, designing the best spacing to be adopted in planting, with a view to good development [38], will favor the production of fruits for the commercialization of seeds, an important source of income for producers [21,22].
In this context, studies are important to find out how management systems, spacing, intercropped species, and soil treatments can influence the physiology of these plants, leading to possible improvements in land use and increased production of biologically active natural compounds.
As regards the classes of compounds evaluated by thin-layer chromatography (TLC), this technique helps in the process of choosing the mass/volume of solvent required, as well as the solvent systems that have more affinity with the evaluated samples, because in excess or if insufficient, the amount of extracted compounds can be significantly affected [39].
The class of terpenes was identified in the ethanolic extracts of D. punctata. They have oxygenated functions such as alcohols, ethers, aldehydes, ketones, and lactones [40], and act in growth regulation, as phytoalexins and repellents against the action of herbivorous insects [41]. Among the phenolic compounds, the study identified the classes of tannins, flavonoids, and coumarins. Tannins have the ability to bind to proteins, usually irreversibly, forming precipitates, and are involved in the protection of plants against attacks by invertebrate and vertebrate herbivores as they are characteristically astringent and difficult to digest [42,43].
Flavonoids have different forms and varied functions and the class includes flavones, flavanones, catechins, anthocyanins, proanthocyanidins, and isoflavonoids, among others. These substances have allelopathic effects and can inhibit the growth of plants and fungi [44,45,46]. Coumarins are primarily synthesized in leaves but occur at the highest levels in fruits, followed by the roots and stems. However, seasonal changes and environmental conditions can affect their occurrence in the various parts of the plant [47].
The interest in the quantitative analysis of the total phenolic compounds and flavonoids found in the extracts is due to the ability of these substances to sequester free radicals that are harmful to human health [48,49]. The action of antioxidants, when incorporated into food, not only preserves the quality of the food but also reduces the risk of developing pathologies such as atherosclerosis, brain dysfunction, and cancer [50].
The correlation between the total amount of phenolic compounds and the antioxidant activity has already been reported [51], as well as that of substances with a benzene ring linked to hydroxyl groups in the compounds and double bonds between carbon atoms, which provide greater stability to the molecule that is the donor of electrons or hydrogen atoms [52]. The different classes of compounds and their chemical characteristics also affect the rate of free radical elimination [53].
The results obtained in this work also corroborate this association, since the phenolic compounds were found in greater quantity in the extract of the leaves of D. punctata, and, specifically for total flavonoids, the extracts that stood out most were those of the leaves and the residues of the fruits. Furthermore, by the DPPH free radical capture method, those same extracts were responsible for the lowest IC50 values (117.6 µg.mL−1 for leaves and 160.4 µg.mL−1 for residues), indicating the promising presence of compounds with higher antioxidant activity (the lower the value of extract concentration required to reduce 50% of the DPPH radical, the greater the antioxidant activity).
The TLC analyses also qualitatively demonstrated the presence of antioxidant activity in the extracts of D. punctata, however, the samples used are presented as a complex mixture of compounds, requiring fractionation and tests with isolated substances so that it can be affirmed whether the action is determined by the major constituents of the plant parts or by minor constituents, or whether the effect is due to the synergism of all compounds.
In addition, the analyses carried out in this study were used to select products with potential antioxidant action and direct other tests, mainly in vivo, with a real substrate (specific substrate or specific additive), where several mechanisms are associated, such as absorption cells, metabolic transformations, excretion, presence of competitive enzymes and antioxidants, which can directly affect the activity of these products. In vivo methods are also difficult to implement, as they depend on the application in biological systems, emphasizing the need for multifaceted tests [54], and the forms of molecular interactions and mechanisms of bioactivity of compounds of natural origin on free radicals in the body is still a challenge for scientists [55].
In a study with extracts from the epicarp + mesocarp (residues) of Dipteryx alata by ultra-high performance liquid chromatography tandem mass spectrometry (UHPLC–MS/MS), eighteen phenolic compounds were quantified for the first time, predominantly luteolin and trans-cinnamic acid [56]. These results indicate that species of the Dipteryx genus can be explored as a natural source of phenolic compounds with promising properties.
A study with hexanic and ethanolic extracts of D. alata leaves found that the ethanolic fraction had a higher amount of phenolic compounds (112.3 mg GAE g−1) and better antioxidant action, considering that the amounts of extract required to decrease the initial concentration of DPPH by 50% were 52.9 µg.mL−1, 169.1 µg.mL−1, and 181 µg.mL−1 for ethanolic, hexanic, and BHT extracts (Butyl-Hydroxy-Toluene—commercial antioxidant), respectively [57].
It is also interesting to note that the potential presented by the residue extract drives the advancement of new studies and makes it possible to expand the destinations of this raw material discarded in the environment, such as its use for the extraction of bio-oil, coumarin, production of flours and fermented beverages (food and nutritional security), future development of pharmacological products, alternative products for use in controlling plant diseases (organic and agroecological production), and consequent contribution to the appreciation of family farming (production chain).
Analysis of the extracts of the leaves of D. punctata, by gas chromatography coupled to mass spectrometry (GC-MS) verified the presence of fatty acid esters. It is worth mentioning the presence of fatty acids in biodiesel obtained from oilseeds such as soybeans, sunflower, canola, palm, and peanuts, with the commonest being those derived from palmitic acid (hexadecanoic acid) and stearic acid (octadecanoic acid). Examples are the ethyl ester of octadecanoic acid (ethyl stearate, ethyl stearate or stearic acid ester), oleic acid (cis-9-octadecenoic), linoleic acid (cis-9, cis-12-octadecadienoic), and linolenic acid (cis, cis, cis-9,12,15-octadecatrienoic) [58].
Palmitic acid (n-hexadecanoic acid), indicated as a marker due to its presence in the leaf extract of all areas and with percentages above 5% in area 3, is a natural fatty acid found in various oils such as olive oil. It is used in the food industry as a dietary supplement and an agent in dairy products [59]. Phytol, also a marker in the extracts from the leaves of D. punctata, is one of the precursors for the synthesis of different lipids in the chloroplast, and its conversion into phytyl esters of fatty acid (FAPEs), which accumulate in the plastoglobules of the chloroplasts, may occur during stress [60,61].
Among the terpenes, lupane-type triterpenoids such as lup-20(29)-en-3-one (lupenone) and lupeol [21] have also been identified in leaf extracts of plants of the families Asteraceae, Balanophoraceae, Cactaceae, Iridaceae, Musaceae, Urticaceae, Leguminosae, Bombacaceae, etc. Pharmacologically, lupenone stands out for its anti-inflammatory, antiviral, and anticancer activities and as an attenuator of Chagas’ disease [62]. Lupeol, a major constituent in all collection areas, also has anti-inflammatory activity [63], as well as anti-arthritis [64] and anti-leishmania action [65].
For the ethanolic extracts of D. punctata branches, hydrocoumarin, and lupeol (the major constituent in areas 1, 4, and 5) were identified as markers. The class of coumarins to which hydrocoumarin belongs (3,4-dihydro-2H-1-benzopyran-2-one or 3,4-dihydrocoumarin) was detected by TLC in the extracts of the branches, and also as simple coumarin (1,2-benzopyrone). This compound is used in condiments, beverages, gelatins, puddings, perfumes, and cosmetics [66].
4-O-methylmannose was the major constituent in areas 2 and 3; it belongs to the mannan class (polymer of hexoses), which constitutes hemicellulose [67]. Hemicellulose is a heteropolysaccharide common in nature, part of the chemical composition of wood, capable of forming covalent bonds with lignin molecules and hydrogen bonds with cellulose molecules, constituting the lignocellulosic complex and promoting its stability and flexibility [68].
Other compounds such as stigmasterol and γ-sitosterol were identified in the extracts of the branches obtained in all collection areas, except for area 3. Phytosterols are particularly abundant in the plant kingdom, present in fruits, seeds, leaves, and stems [69,70], and, albeit structurally similar to cholesterol, they help to reduce its absorption, thus having anti-inflammatory and antitumor properties [69] in addition to preventing and helping in the treatment of cardiovascular diseases [70,71].
In the extracts of D. punctata fruit residues, in addition to the major constituents, 9-octadecenoic acid (E,E,E)-1,2,3-propanetriyl ester (areas 1, 2, and 4) and 4-O-methylmannose (areas 3 and 5), the study identified the notable presence of 2,3-butanediol and (-)-spathulenol in areas 1, 2, and 4. 2,3-butanediol is a very promising compound in the context of biorefineries, given the use of plant biomass as important substrates for the production of this compound in fermentation broths. It has many applications, being extremely useful in the food, chemical, and pharmaceutical industries due to its physicochemical properties [72].
(-)-Spathulenol is a sesquiterpene that has already been isolated from the hexanic extract of the husks of Dipteryx lacunifera fruits, together with the sesquiterpene β-farnesene and the vinatichoic acid (diterpene furanocassan). Spathulenol and β-farnesene have also been identified in oil extracted from D. lacunifera residues via Clevenger, with percentages of 13.3% and 27.8%, respectively [73]. In addition, spathulenol has been reported in the extract of the epicarp + mesocarp of the fruits of D. punctata [10], and in the essential oil extracted from the flowers of Dipteryx odorata, which are also rich in germacrene D [74].
Hydrocoumarin, coumarin, and cis-vaccenic acid are markers for the residue extracts, the last being a naturally occurring unsaturated fatty acid that has a double bond in the cis configuration. In general, fatty acids and their derivatives are important oleochemical products both for technical applications and for nutrition in the case of natural oils and fats [75]. In the husks of D. odorata fruits, coumarins, lupeol, β-farnesene, betulin, and methyl esters of fatty acids were also identified [76,77,78].
Another fatty acid confirmed in the extracts of the residues was ethyl oleate. This compound, already identified in the extract of the husks of the fruits of D. punctata [10], arises from the esterification of oleic acid with an alcoholic solvent and has applications in the food, cosmetics, perfumery, and pharmaceutical industries [79,80].
In the extracts obtained from the seeds, coumarin in areas 2, 3, 4, and 5, and oleic acid in area 1 were identified as the predominant compounds. Coumarin (1,2-benzopyrone) is very important in the cosmetics and perfumery industry and is extracted from D. odorata seeds in the Amazon region. The seeds of this species are also widely marketed for vascular and lymphatic disorders [81], as the main active ingredient in ethanolic extracts serves to attenuate and/or alleviate diseases [39]. The presence of 1,2-benzopyrone has previously been reported in the seeds and the extracts of the husks and endocarps (integral parts of the fruit residues) of D. punctata. This study confirmed its presence in the extracts of residues and seeds from the different collection areas, which indicates there should be greater reuse of this material as a source for obtaining coumarin.
Macerated Dipteryx sp. seeds were extracted successively with hexane P.A., dichloromethane P.A., and ethyl alcohol P.A. to 96%, obtaining the highest yield and the isolation of 3.4% of coumarin in the hexanic fraction. However, in the dichloromethane and ethanolic fractions, in addition to simple coumarin, hydrocoumarin (3,4-dihydro-2H-1-benzopyran-2-one or 3,4-dihydrocoumarin) was identified [82]. This substance, belonging to the class of coumarins, has also been reported in the extract of D. punctata seeds [10] and this study found it in the extracts of branches, residues, and seeds.
Fatty acids have also been obtained from the oil extracted from D. odorata seeds, such as oleic acid and palmitic acid, with 53% and 13% of the relative total of the mixture, in addition to linoleic, stearic, and vaccenic acid (8%, 7%, and 2%, respectively) [83]. In D. lacunifera, the major component in the fixed oil of the almonds was oleic acid with 75.82 ± 4.310% [80] and 64.71 ± 1.35% [84]; oleic (64.1%) and linoleic (14.1%) acids together contributed to about 99.7% of the total unsaturated fatty acids [85]. When oil was extracted from D. alata seeds by hydraulic pressing, the values were about 50% oleic acid and a significant proportion of linoleic acid (26–28%) [86]. Linoleic acid can promote protection against the development of cancer; it has cardioprotective, anti-atherosclerotic, and nitric oxide potentiating effects [87,88,89].
Bearing in mind the food industry’s use of seeds of the Dipteryx genus, their oil is a possible option for composing healthy diets [86,90], for, albeit not essential, the oleic acid present in this plant product can enhance the levels of the beneficial high-density lipoprotein (HDL) cholesterol fraction and reduce the level of the low-density lipoprotein (LGL) cholesterol fraction, thereby fostering a reduction in cardiovascular diseases [91].

5. Conclusions

The species Dipteryx punctata proved to be an efficient source for obtaining ethanolic extracts in the agroforestry systems implemented in Mojuí dos Campos, Pará, Brazil. The present study of the phytochemical profile contributes to reducing the scarcity of information about this species, and the chemical classes and compounds identified corroborate the antioxidant activity, presenting the potential of the extracts regarding the isolation, identification, and quantification of the substances responsible for that action and calling for more complex biological assays. The data obtained also add value to the species and its cultivation in family agriculture, making it a viable alternative for improving the quality of life and income of the farmer. It also shows the importance of reusing fruit residues, a chemically rich by-product previously discarded in the environment.

Author Contributions

Conceptualization, B.C.M.d.S., D.C.L. and T.A.V.; methodology, B.C.M.d.S., D.C.L. and T.A.V., software, B.C.M.d.S., D.C.L. and T.A.V.; validation, B.C.M.d.S., T.A.V. and D.C.L.; formal analysis, B.C.M.d.S., B.A.d.S., A.S., T.A.V. and D.C.L.; investigation, B.C.M.d.S., D.d.A.G. and A.F.d.S.V.; resources, B.C.M.d.S., L.E.S.B., D.C.L. and T.A.V.; data curation, B.C.M.d.S., D.C.L. and T.A.V.; writing—original draft preparation, B.C.M.d.S., T.A.V. and D.C.L.; writing—review and editing, B.C.M.d.S., B.A.d.S., A.S., T.A.V. and D.C.L.; visualization, B.C.M.d.S., T.A.V. and D.C.L.; supervision, B.C.M.d.S., T.A.V. and D.C.L.; project administration, T.A.V. and D.C.L.; funding acquisition, T.A.V. and D.C.L. All authors have read and agreed to the published version of the manuscript.

Funding

This research received external funding from the Coordenação de Aperfeiçoamento de Pesoal de Nível Superior (Project 88881.510170/2020-01-PDPG_AL_CAPES_ Auxpe 0786/2020), Fundação Amazônia de Amparo a Estudos e Pesquisas—FAPESPA (grant n. 036/2021), and the APC was funded by PROPPIT/Federal University of Western Pará through Official document 03/2022 (Programa de Apoio à Produção Científica Qualificada).

Institutional Review Board Statement

Not applicable.

Informed Consent Statement

Not applicable.

Data Availability Statement

The data presented in this study are available in this article.

Acknowledgments

Domingos Benício Oliveira Silva Cardoso and Catarina Silva de Carvalho for the botanical identification of the species. Marcio Nardelli Wandermuren from the Analytical Center of the Institute of Chemistry of the University of São Paulo (USP), São Paulo, Brazil.

Conflicts of Interest

The authors declare no conflict of interest.

Appendix A

Figure A1. Chromatogram obtained by GC-MS from the extract of the leaves of Dipteryx punctata, area 1.
Figure A1. Chromatogram obtained by GC-MS from the extract of the leaves of Dipteryx punctata, area 1.
Applsci 13 09600 g0a1
Figure A2. Chromatogram obtained by GC-MS from the extract of the leaves of Dipteryx punctata, area 2.
Figure A2. Chromatogram obtained by GC-MS from the extract of the leaves of Dipteryx punctata, area 2.
Applsci 13 09600 g0a2
Figure A3. Chromatogram obtained by GC-MS from the extract of the leaves of Dipteryx punctata, area 3.
Figure A3. Chromatogram obtained by GC-MS from the extract of the leaves of Dipteryx punctata, area 3.
Applsci 13 09600 g0a3
Figure A4. Chromatogram obtained by GC-MS from the extract of the leaves of Dipteryx punctata, area 4.
Figure A4. Chromatogram obtained by GC-MS from the extract of the leaves of Dipteryx punctata, area 4.
Applsci 13 09600 g0a4
Figure A5. Chromatogram obtained by GC-MS from the extract of the leaves of Dipteryx punctata, area 5.
Figure A5. Chromatogram obtained by GC-MS from the extract of the leaves of Dipteryx punctata, area 5.
Applsci 13 09600 g0a5
Figure A6. Chromatogram obtained by GC-MS from the extract of the branches of Dipteryx punctata, area 1.
Figure A6. Chromatogram obtained by GC-MS from the extract of the branches of Dipteryx punctata, area 1.
Applsci 13 09600 g0a6
Figure A7. Chromatogram obtained by GC-MS from the extract of the branches of Dipteryx punctata, area 2.
Figure A7. Chromatogram obtained by GC-MS from the extract of the branches of Dipteryx punctata, area 2.
Applsci 13 09600 g0a7
Figure A8. Chromatogram obtained by GC-MS from the extract of the branches of Dipteryx punctata, area 3.
Figure A8. Chromatogram obtained by GC-MS from the extract of the branches of Dipteryx punctata, area 3.
Applsci 13 09600 g0a8
Figure A9. Chromatogram obtained by GC-MS from the extract of the branches of Dipteryx punctata, area 4.
Figure A9. Chromatogram obtained by GC-MS from the extract of the branches of Dipteryx punctata, area 4.
Applsci 13 09600 g0a9
Figure A10. Chromatogram obtained by GC-MS from the extract of the branches of Dipteryx punctata, area 5.
Figure A10. Chromatogram obtained by GC-MS from the extract of the branches of Dipteryx punctata, area 5.
Applsci 13 09600 g0a10
Figure A11. Chromatogram obtained by GC-MS from the extract of the residues of Dipteryx punctata, area 1.
Figure A11. Chromatogram obtained by GC-MS from the extract of the residues of Dipteryx punctata, area 1.
Applsci 13 09600 g0a11
Figure A12. Chromatogram obtained by GC-MS from the extract of the residues of Dipteryx punctata, area 2.
Figure A12. Chromatogram obtained by GC-MS from the extract of the residues of Dipteryx punctata, area 2.
Applsci 13 09600 g0a12
Figure A13. Chromatogram obtained by GC-MS from the extract of the residues of Dipteryx punctata, area 3.
Figure A13. Chromatogram obtained by GC-MS from the extract of the residues of Dipteryx punctata, area 3.
Applsci 13 09600 g0a13
Figure A14. Chromatogram obtained by GC-MS from the extract of the residues of Dipteryx punctata, area 4.
Figure A14. Chromatogram obtained by GC-MS from the extract of the residues of Dipteryx punctata, area 4.
Applsci 13 09600 g0a14
Figure A15. Chromatogram obtained by GC-MS from the extract of the residues of Dipteryx punctata, area 5.
Figure A15. Chromatogram obtained by GC-MS from the extract of the residues of Dipteryx punctata, area 5.
Applsci 13 09600 g0a15
Figure A16. Chromatogram obtained by GC-MS from the extract of the seeds of Dipteryx punctata, area 1.
Figure A16. Chromatogram obtained by GC-MS from the extract of the seeds of Dipteryx punctata, area 1.
Applsci 13 09600 g0a16
Figure A17. Chromatogram obtained by GC-MS from the extract of the seeds of Dipteryx punctata, area 2.
Figure A17. Chromatogram obtained by GC-MS from the extract of the seeds of Dipteryx punctata, area 2.
Applsci 13 09600 g0a17
Figure A18. Chromatogram obtained by GC-MS from the extract of the seeds of Dipteryx punctata, area 3.
Figure A18. Chromatogram obtained by GC-MS from the extract of the seeds of Dipteryx punctata, area 3.
Applsci 13 09600 g0a18
Figure A19. Chromatogram obtained by GC-MS from the extract of the seeds of Dipteryx punctata, area 4.
Figure A19. Chromatogram obtained by GC-MS from the extract of the seeds of Dipteryx punctata, area 4.
Applsci 13 09600 g0a19
Figure A20. Chromatogram obtained by GC-MS from the extract of the seeds of Dipteryx punctata, area 5.
Figure A20. Chromatogram obtained by GC-MS from the extract of the seeds of Dipteryx punctata, area 5.
Applsci 13 09600 g0a20

References

  1. The Plant List. A Working List of All Plant Species. 2013. Available online: http://www.theplantlist.org (accessed on 22 December 2021).
  2. Carvalho, C.S.; Lima, H.C.; Cardoso, D.B.O.S. Dipteryx in Flora e Funga do Brasil. Rio de Janeiro Botanical Garden. 2020. Available online: https://floradobrasil.jbrj.gov.br/FB22952 (accessed on 7 April 2022).
  3. Tropicos.org. Missouri Botanical Garden. 2022. Available online: https://tropicos.org (accessed on 15 June 2022).
  4. WFO. World Flora Online. 2022. Available online: http://www.worldfloraonline.org (accessed on 6 April 2022).
  5. Carvalho, P.E.R. Cumaru-Ferro Dipteryx odorata, 225; Embrapa Florestas: Brasília, Brazil, 2009; 8p. [Google Scholar]
  6. Vieira, T.A.; Rosa, L.S.; Vasconcelos, P.C.S.; Santos, M.M.; Modesto, R.S. Sistemas agroflorestais em áreas de agricultores familiares em Igarapé-Açu, Pará: Caracterização florística, implantação e manejo. Acta Amaz. 2007, 37, 549–558. [Google Scholar] [CrossRef]
  7. Ohana, D.T. Anatomia de Sementes e Plântulas de Dipteryx odorata (Aubl.) Will. (Fabacea), Como Contribuição ao Estudo Farmacognóstico de Plantas da Região Amazônica. Master’s Thesis, University of Amazonas, Manaus, Brazil, 1998. [Google Scholar]
  8. Pesce, C. Oleaginosas da Amazônia, 2nd ed.; rev. and current; Museu Paraense Emílio Goeldi: Belém, Brazil, 2009; 334p. [Google Scholar]
  9. IBGE—Instituto Brasileiro de Geografia e Estatística. 289—Quantidade Produzida e Valor da Produção na Extração Vegetal, Por Tipo de Produto Extrativo. 2021. Available online: https://sidra.ibge.gov.br/tabela/289 (accessed on 24 December 2021).
  10. Sousa, B.C.M.; Castro, S.P.; Lourido, K.A.; Kasper, A.A.M.; Paulino, G.S.; Delarmelina, C.; Duarte, M.C.T.; Sartoratto, A.; Vieira, T.A.; Lustosa, D.C.; et al. Identification of coumarins and antimicrobial potential of ethanolic extracts of Dipteryx odorata and Dipteryx punctata. Molecules 2020, 27, 5837. [Google Scholar] [CrossRef] [PubMed]
  11. Lima Júnior, A.F. Efeito de Diferentes Extratos Vegetais no Controle de Anthoscelides Obtectus e Sitophilus sp. Master’s Thesis, State University of Goiás, Anápolis, Brazil, 2011; 67p. [Google Scholar]
  12. Vizzotto, M.; Krolow, A.C.; Weber, G.E.B. Metabólitos secundários encontrados em plantas e sua importância. Doc. Embrapa Clima Temperado 2010, 316, 7–15. [Google Scholar]
  13. Sullivan, G. Occurrence of umbelliferone in the seeds of Dipteryx odorata (Aubl.) Willd. J. Agric. Food Chem. 1982, 30, 609–610. [Google Scholar] [CrossRef] [PubMed]
  14. Hoult, J.R.; Payá, M. Pharmacological and biochemical actions of simple coumarins: Natural products with therapeutic potential. Gen. Pharmacol. 1996, 27, 13–22. [Google Scholar] [CrossRef] [PubMed]
  15. Santos, P.L.; Prando, M.B.; Morando, R.; Pereira, G.V.N.; Kronka, A.Z. Utilização de extratos vegetais em proteção de plantas. Enciclopédia Biosf. 2013, 9, 2562. [Google Scholar]
  16. Rajendran, P.; Nandakumar, N.; Rengarajan, T.; Palaniswami, R.; Gnanadhas, E.N.; Lakshminarasaiah, U.; Gopas, J.; Nishigaki, I. Antioxidants and human diseases. Clin. Chim. Acta 2014, 436, 332–347. [Google Scholar] [CrossRef]
  17. Ciesla, L.M.; Kryszén, J.; Stochmal, A.; Oleszek, W.; Waksmundzka-Hajnos, M. Approach to develop a standardized TLC-DPPH test for assessing free radical scavenging properties of selected phenolic compounds. J. Pharm. Biomed. Anal. 2012, 70, 126–135. [Google Scholar] [CrossRef]
  18. Moon, J.K.; Shibamoto, T. Antioxidant Assays for Plant and Food Components. J. Agric. Food Chem. 2009, 57, 1655–1666. [Google Scholar] [CrossRef]
  19. Arnao, M.B. Some methodological problems in the determination of antioxidant activity using chromogen radicals: A practical case. Trends Food Sci. Technol. 2000, 11, 419–421. [Google Scholar] [CrossRef]
  20. Arbos, K.A.; Stevani, P.C.; Castanha, R.T. Atividade antimicrobiana, antioxidante e teor de compostos fenólicos em casca e amêndoa de frutos de manga. Rev. Ceres 2013, 60, 161–165. [Google Scholar] [CrossRef]
  21. Sousa, B.C.M.; Gomes, D.A.; Vieira, T.A.; Lustosa, D.C. Bioactivity of ethanolic extracts of Dipteryx punctata on Colletotrichum musae. Agronomy 2022, 12, 2215. [Google Scholar] [CrossRef]
  22. Silva, A.F.; Pauletto, D.; Capucho, H.L.V.; Sousa, V.S.; Silva, A.R.; Pimentel, C.R. Produção e Renda do Componente Arbóreo Cumaru (Dipteryx spp.) em Sistemas Agroflorestais na Região Oeste do Pará. In Caderno de Pesquisa Ciência e Inovação; Francisco, P.R.M., Sá, T.F.F., Braga Júnior, J.M., Eds.; EPGRAF: Campina Grande, Brazil, 2018; pp. 99–109. [Google Scholar]
  23. INMET. National Institute of Meteorology (Brazil). 2022. Available online: https://clima.inmet.gov.br/prec (accessed on 18 August 2022).
  24. Rocha, J.F.G. Solos da Região Sudeste do Município de Santarém, Estado do Pará: Mapeamento e Classificação. Master’s Thesis, Federal University of Western Pará, Santarém, Brazil, 2014; 61p. [Google Scholar]
  25. Agência Nacional de Vigilância Sanitária. Farmacopeia Brasileira, 6th ed.; Agência Nacional de Vigilância Sanitária: Brasília, Brazil, 2019. [Google Scholar]
  26. Ferreira, D.F. Software Estatístico SISVAR Versão, Version 5.6. CNPQ. Federal University of Lavras: Lavras, Brazil, 2010.
  27. Wagner, H.; Bladt, S. Plant Drug Analysis: A Thin Layer Chromatography Atlas, 2nd ed.; Springer: New York, NY, USA, 2001; 242p. [Google Scholar]
  28. Singleton, V.L.; Rossi, J.A. Colorimetry of Total Phenolics with Phosphomolybdic-Phosphotungstic Acid Reagents. Am. J. Enol. Vitic. 1965, 16, 144–158. [Google Scholar] [CrossRef]
  29. Woisky, R.G.; Salatino, A. Analysis of propolis: Some parameters and procedures for chemical quality control. J. Apic. Res. 1998, 37, 99–105. [Google Scholar] [CrossRef]
  30. Blois, M.S. Antioxidant Determinations by the Use of a Stable Free Radical. Nature 1958, 181, 1199–1200. [Google Scholar] [CrossRef]
  31. Brand-Williams, W.; Cuvelier, M.E.; Berset, C. Use of a free radical method to evaluate antioxidant activity. FWT Food Sci. Technol. 1995, 28, 25–30. [Google Scholar] [CrossRef]
  32. Viera, V.B. Compostos Bioativos, Atividade Antioxidante e Antimicrobiana na Casca de Cebola Roxa (Allium cepa L.) Submetidos a Diferentes Métodos de Extração. Ph.D. Thesis, Federal University of Santa Maria, Santa Maria, Brazil, 2016. [Google Scholar]
  33. Oliveira, V.B.; Zuchetto, M.; Oliveira, C.F.; Paula, C.S.; Duarte, A.F.S.; Miguel, M.D.; Miguel, O.G. Efeito de diferentes técnicas extrativas no rendimento, atividade antioxidante doseamentos totais e no perfil por CLAE-DAD de Dicksonia sellowiana (Presl.). Hook, Dicksoniaceae. Ver. Bras. Pl. Med. 2016, 18 (Suppl. S1), 230–239. [Google Scholar] [CrossRef]
  34. De Lima, J.C.; Pinto, L.F.; Giufrida, W.M.; Freitas, L.S.; Cardozo-Filho, L. Extração Supercrítica Com Utilização de Modificadores e caracterização a Partir da Semente de Cumaru (Dipteryx odorata). In Proceedings of the XX Congresso Brasileiro de Engenharia Química, Anais Florianópolis, Santa Catarina, Brazil, 19–22 October 2014. [Google Scholar]
  35. Yamashita, O.M.; Guimarães, S.C.; Silva, J.L.; Carvalho, M.A.C.; Camargo, M.F. Fatores ambientais sobre a germinação de Emilia sonchifolia. Planta Daninha 2009, 27, 673–681. [Google Scholar] [CrossRef]
  36. Souza, I.M.; Funch, L.S. Synchronization of leafing and reproductive phenological events in Hymenaea L. species (Leguminosae, Caesalpinioideae): The role of photoperiod as the trigger. Braz. J. Bot. 2017, 40, 125–136. [Google Scholar] [CrossRef]
  37. Klein, D.R.; Hess, A.F.; Krefta, S.M.; Vieira Filho, M.D.H.; Ciarnoscki, L.D.; Costa, E.A. Relações morfométricas para Araucaria angustifolia (Bertol.) Kuntze in Santa Catarina. Floresta 2017, 47, 501–512. [Google Scholar] [CrossRef]
  38. Dionísio, L.F.S.; Araújo, H.X.D.; Correia, R.G.; Martins, W.B.R.; Costa, J.S.D.; Maciel, F.C.D.S. Influência do Primeiro Desbaste na Morfometria de Tectona grandis L. f. em Roraima. Floresta E Ambient. 2018, 25, e00118214. [Google Scholar] [CrossRef]
  39. Oliveros-Bastidas, A.J.; Cordero, I.; Paredes, D.; Buendia, D.; Domínguez, F.A.M. Extracción y cuantificación de cumarina mediante HPLC-UV em extractos hidroetanolico de semillas de Dipteryx odorata. Ver. Lationoam. Quím. 2011, 39, 17–31. [Google Scholar]
  40. Cardoso, M.G.; Shan, A.Y.K.V.; Pinto, J.E.B.P.; Delú Filho, N.; Bertolucci, S.K.V. Metabólitos Secundários Vegetais: Visão Geral, Química e Medicinal; UFLA: Lavras, Brazil, 2001; 81p. [Google Scholar]
  41. Mairesse, L.A.S.E.C.C.; Farias, J.R.; Fiorin, R.A. Bioatividade de extratos vegetais sobre alface (Lactuca sativa L.). Rev. FZVA 2007, 14, 1–12. [Google Scholar]
  42. Cândido, A.C.d.S. Potencial Alelopático da Parte Aérea de Senna occidentalis (L.) Link (Leguminosae, Caesalpinioideae): Bioensaios em Laboratório e Casa de Vegetação. Master’s Thesis, Federal University of Mato Grosso do Sul, Campo Grande, Brazil, 2007; 99p. [Google Scholar]
  43. Silva, W.A. Potencial Alelopático de Extratos do Cumaru (Amburana cearenses A. C. Smith) e da Jurema-Preta (Mimosa tenuiflora (Willd.) Poir) na Germinação e Crescimento do Sorgo (Sorghum bicolor L.), Milho (Zea mays L.) e Feijão Guandu (Cajanus cajan L.). Master’s Thesis, Federal University of Campina Grande, Campina Grande, Brazil, 2007; 62p. [Google Scholar]
  44. Rice, E.L. Allelopathy, 2nd ed.; Academic Press: Orlando, FL, USA, 1984; 422p. [Google Scholar]
  45. Sakihama, Y.; Cohen, M.F.; Grace, S.C.; Yamasaki, H. Plant phenolic antioxidant and prooxidant activities: Phenolics-induced oxidative damage mediated by metals in plants. Toxicology 2002, 177, 67–80. [Google Scholar] [CrossRef] [PubMed]
  46. Shimoji, H.; Yamasaki, H. Inhibitory effects of flavonoids on alternative respiration of plant mitochondria. Biol. Plant. 2005, 49, 117–119. [Google Scholar] [CrossRef]
  47. Ojala, T. Biological Screening of Plant Coumarins. Master’s Thesis, Division of Pharmacognosy, University of Helsinki, Helsinki, Finland, 2001; 62p. [Google Scholar]
  48. Alves, C.Q.; Brandão, H.N.; David, J.M.; David, J.P.; Lima, L.S. Avaliação da atividade antioxidante de flavonoides. Diálogos E Ciência Rev. Da Rede Ensino FTC 2007, 5, 7–8. [Google Scholar]
  49. Neves, L.C.; Alencar, S.M.; Carpes, S.T. Determinação da atividade antioxidante e do teor de compostos fenólicos e flavonoides totais em amostras de pólen apícola de Apis mellifera. Braz. J. Food Technol. 2008, 2, 15. [Google Scholar]
  50. Sousa, C.M.M.; Rocha e Silva, H.; Vieira, G.M., Jr.; Ayres, M.C.C.; Costa, C.L.S.; Araújo, D.S.; Cavalcante, L.C.D.; Barros, E.D.S.; Araújo, P.B.M.; Brandão, M.S.; et al. Fenóis totais e atividade antioxidante de cinco plantas medicinais. Quím. Nova 2007, 30, 351–355. [Google Scholar] [CrossRef]
  51. Silva, F.P.; Lima, S.Y.B.; Cavalcante, G.M. Atividade antioxidante de méis produzidos na região do Agreste e comercializados em uma feira do interior de Pernambuco. Rev. Artigos. Com 2020, 22, e5677. [Google Scholar]
  52. Ciesla, L.M.; Wojtunik-Kulesza, K.A.; Oniszczuk, A.; Waksmundzka-Hajnos, M. Antioxidant synergism and antagonism between selected monoterpenes using the 2, 2-diphenyl-1-picrylhydrazyl method. Flavour Fragr. J. 2016, 31, 412–419. [Google Scholar] [CrossRef]
  53. Wojtunik-Kulesza, K.A.; Ciesla, L.M.; Waksmundzka-Hajnos, M. Model studies on the antioxidant activity of common terpenoid constituents of essential oils means the 2,2-diphenil-1-picrylhydrazyl method. J. Agric. Food Chem. 2014, 62, 9088–9094. [Google Scholar] [CrossRef] [PubMed]
  54. Antolovich, M.; Prenzler, P.D.; Patsalides, E.; McDonald, S.; Robards, K. Methods for testing antioxidant activity. Analyst 2002, 127, 183–198. [Google Scholar] [CrossRef] [PubMed]
  55. Hemamalini, K.; Bhargav, A. Evaluation of phytochemical and pharmacological activity of methanolic extract of Sophora interrupta. Indo Am. J. Pharm. Res. 2013, 3, 6381–6390. [Google Scholar]
  56. Barizão, E.O.; Boeing, J.S.; Rota, E.M.; Volpato, H.; Nakamura, C.V.; Maldaner, L.; Visentainer, J.V. Phenolic composition of Dipteryx alata Vogel pulp + peel and its antioxidant and cytotoxic properties. J. Braz. Chem. Soc. 2021, 32, 2206–2214. [Google Scholar] [CrossRef]
  57. Silvério, M.D.O.; Castro, C.F.S.; Miranda, A.R. Avaliação da atividade antioxidante e inibitória da tirosinase das folhas de Dipteryx alata Vogel (Baru). Rev. Bras. Pl. Med. 2013, 15, 59–65. [Google Scholar] [CrossRef]
  58. Knothe, G. “Designer” biodiesel: Optimizing fatty ester composition to improve fuel properties. Energy Fuels 2008, 22, 1358–1364. [Google Scholar] [CrossRef]
  59. Batista, E.S.; Costa, A.G.V.; Santa’Ana, H.M.P. Adição da vitamina e aos alimentos: Implicações para os alimentos e para a saúde humana. Rev. De Nutr. 2006, 20, 525–535. [Google Scholar] [CrossRef][Green Version]
  60. Ischebeck, T.; Zbierzak, A.M.; Kanwischer, M.; Dörmann, P. A salvage pathway for phytol metabolism in Arabidopsis. J. Biol. Chem. 2006, 281, 2470–2477. [Google Scholar] [CrossRef]
  61. Gaude, N.; Bréhélin, C.; Tischendorf, G.; Kessler, F.; Dörmann, P. Nitrogen deficiency in Arabidopsis affects galactolipid composition and gene expression and results in accumulation of fatty acid phytyl esters. Plant J. 2007, 49, 729–739. [Google Scholar] [CrossRef]
  62. Xu, F.; Huang, X.; Wu, H.; Wang, X. Beneficial health effects of lupenone triterpene: A review. Biomed. Pharmacother. 2018, 103, 198–203. [Google Scholar] [CrossRef]
  63. Mendes, A.; Leonardo, C. Triterpenoides e a sua Actividade Anti-Inflamatória; Faculty of Science and Technology, New University of Lisbon: Lisbon, Portugal, 2004; pp. 1–8. [Google Scholar]
  64. Magalhães, P.J.C.; Lahlou, S.; Jucá, D.M.; Coelho-de-Souza, L.N.; Frota, P.T.T.; Costa, A.M.G. Vasorelaxation induced by the essential oil of Croton nepetaefolius and its constituents in rat aorta are partially mediated by the endothelium. Fundam. Clin. Pharmacol. 2008, 22, 169–177. [Google Scholar] [CrossRef] [PubMed]
  65. Cardoso-Lopes, E.M.; Paula, D.M.B.D.; Barbo, F.E.; Souza, A.D.; Blatt, C.T.T.; Torres, L.M.B. Chemical composition, acetylcholinesterase inhibitory and antifungal activities of Pera glabrata (Schott) Baill. (Euphorbiaceae). Rev. Bras. Bot. 2009, 32, 819–825. [Google Scholar] [CrossRef][Green Version]
  66. Cowan, M.M. Plant Products as Antimicrobial Agents. Clin. Microbiol. Rev. 1999, 12, 564–582. [Google Scholar] [CrossRef] [PubMed]
  67. Ogeda, T.L.; Petri, D.F.S. Hidrólise Enzimática de Biomassa. Quím. Nova 2010, 33, 1549–1558. [Google Scholar] [CrossRef]
  68. Keshwani, D.R. Biomass Chemistry. In Biomass to Renewable Energy Processes, 1st ed.; Cheng, J., Ed.; CRC Press/Taylor & Francis: Boca Raton, FL, USA, 2010; pp. 7–40. [Google Scholar]
  69. Maguire, L.S.; O’Sullivan, S.M.; Galvin, K.; O’Connor, T.P.; O’Brien, N.M. Fatty acid profile, tocopherol, squalene, and phytosterol content of walnuts, almonds, peanuts, hazelnuts, and the macadamia nut. Int. J. Food Sci. Nutr. 2004, 55, 171–178. [Google Scholar] [CrossRef] [PubMed]
  70. Pimentel, C.V.M.B.; Francki, V.M.; Gollücke, A.P.B. Alimentos Funcionais: Introdução às Principais Substâncias Bioativas em Alimentos; Varela: São Paulo, Brazil, 2005. [Google Scholar]
  71. Brufau, G.; Canela, M.A.; Rafecas, M. Phytosterols: Physiologic and metabolic aspects related to cholesterol-lowering properties. Nutr. Res. 2008, 28, 217–225. [Google Scholar] [CrossRef] [PubMed]
  72. Assis, I.Z.; Marisutti, E.; Rossi, D.M. Produção biotecnológica de 2,3-butanodiol no contexto de Biorrefinaria. Rev. Ciência Tecnol. E Ambiente 2021, 11, e11197. [Google Scholar] [CrossRef]
  73. Vieira Júnior, G.M.; Silva, H.R.; Bittencourt, T.C.; Chaves, M.H. Terpenos e ácidos graxos de Dipteryx lacunifera Ducke. Quím. Nova 2007, 30, 1658–1662. [Google Scholar] [CrossRef]
  74. Andrade, E.H.A.; Zoghbi, M.G.B.; Carreira, L.M.M.; Maia, J.G.S. Volatile Constituents of the Flowers of Dipteryx odorata (Aubl.) Willd. J. Essent. Oil Res. 2003, 15, 211–212. [Google Scholar] [CrossRef]
  75. Medeiros, E.A. Separação de Ácidos Graxos via Programação Ótima de Destilação em Batelada. Master’s Thesis, Federal University of Rio de Janeiro, Rio de Janeiro, Brazil, 2013; 17p. [Google Scholar]
  76. Nakato, T.; Suarez, M. Studies on the neutral constituents of the bark of Dipteryx Odorata. Planta Med. 1970, 18, 79–83. [Google Scholar]
  77. Hayashi, T.; Thomson, R.H. Isoflavones from Dipteryx odorata. Phytochemistry 1974, 13, 1943–1946. [Google Scholar] [CrossRef]
  78. Nakato, T.; Alonso, J.; Grillet, R.; Martin, A. Isoflavonoids of the bark of Dipteryx odorata Willd. (Aubl.). J. Chem. Soc. 1979, 9, 2107–2112. [Google Scholar]
  79. Neta, N.S.; Cunha, J.A.C.; Sancho, S.O.; Abreu, R.F.A.; Pontes, D.F.; Carioca, J.O.B.; Rodrigues, L.R.; Teixeira, J.A. Produção enzimática do ester oleato de etila utilizando lipase a partir de Candida antarctica B. Holos 2012, 2, 28. [Google Scholar]
  80. Paula, F.G.F. Decomposição Térmica do Ácido Oleico na Presença de Sais de Ferro Para Obtenção de Biocombustível e Outros Produtos de Interesse Industrial. Ph.D. Thesis, Federal University of Minas Gerais, Belo Horizonte, Brazil, 2019; 116p. [Google Scholar]
  81. Bessa, D.T.O.; Mendonça, M.S.; Araújo, M.G.P. Morfoanatomia de sementes de Dipteryx odorata (Aubl) Will. (Fabaceae) como contribuição ao estudo farmacognóstico de plantas da região amazônica. Acta Amaz. 2001, 31, 357–365. [Google Scholar] [CrossRef]
  82. Sousa, B.C.M.; Barata, L.E.S.; Macêdo, C.G.; Fraga, S.S.; Kasper, A.A.M.; Lourido, K.A.; Paulino, G.S.; Almeida, E.C.; Sartoratto, A.; Lustosa, D.C. Avaliação do teor de cumarina e atividade antifúngica de frações de óleo de cumaru. Rev. Ibero-Am. De Ciências Ambient. 2018, 9, 63–69. [Google Scholar] [CrossRef]
  83. Dias, J.S.A. Potencial Antifúngico Dos Óleos Fixos de Copaifera sp., Carapa guianensis Aubl. e Dipteryx odorata (Aubl.) Willd. Sobre Aspergillus nomius Kurtzman, Horn & Hesseltine e Aspergillus Fumigatus Fresenius Isolados de Bertholletia excelsa Humb. & Bompland e Avaliação da Toxicidade Aguda em Danio rerio. Ph.D. Thesis, Federal University of Amapá, Macapá, Brazil, 2019; 216p. [Google Scholar]
  84. Araújo, F.D.S.; Moura, C.V.R.; Chaves, M.H. Biodiesel metílico de Dipteryx lacunifera: Preparação, caracterização e efeito de antioxidantes na estabilidade à oxidação. Quím. Nova 2010, 33, 1671–1676. [Google Scholar] [CrossRef]
  85. Queiroga Neto, V.; Bora, P.S.; Diniz, Z.N.; Cavalheiro, J.M.O.; Queiroga, K.F. Óleo de sementes de Dipteryx lacunifera: Caracterização e estabilidade térmica. Cienc. E Agrotecnologia 2009, 33, 1601–1607. [Google Scholar] [CrossRef]
  86. Siqueira, A.P.S.; Castro, C.F.S.; Silveira, E.V.; Lourenço, M.F.C. Chemical quality of baru almond (Dipteryx alata oil). Cienc. Rural 2016, 46, 1865–1867. [Google Scholar] [CrossRef]
  87. Ali, A.; Jameel, M.; Ali, M. Fatty acids analysis of Ficus religiosa stem bark by gas chromatography-mass spectrometry. Int. J. Adv. Pharm. Med. Bioallied Sci. 2017, 2017, 112. [Google Scholar]
  88. Ali, A.; Jameel, M.; Ali, M. Analysis of fatty acid composition of Withania coagulans fruits by gas chromatography/mass spectrometry. Res. J. Pharmacogn. 2017, 4, 1–6. [Google Scholar]
  89. Ali, A.; Jameel, M.; Ali, M. Fatty acids analysis of aerial parts of Phyllanthus fraternus Webster by gas chromatography-mass spectrometry. Int. J. Adv. Pharm. Med. Bioallied Sci. 2018, 6, 93–97. [Google Scholar]
  90. Alves, A.M.; Fernandes, D.C.; Borges, J.F.; Sousa, A.G.O.; Naves, M.M.V. Oilseeds native to the Cerrado have fatty acid profile beneficial for cardiovascular health. Rev. De Nutr. 2016, 29, 859–866. [Google Scholar] [CrossRef]
  91. Maham, L.K.; Escott-Stump, S. Krause: Alimentos, Nutrição e Dietoterapia, 12th ed.; Elsevier: Rio de Janeiro, Brazil, 2010. [Google Scholar]
Figure 1. Dipteryx punctata in Mojuí dos Campos, Pará, Brazil. (A) Distribution of trees in cultivated formations. (B) Cylindrical trunk. (C) Branches with the absence of exudate and compound, pinnate leaves with alternate oval leaflets. (D) Panicle-type inflorescence. (E) Oblong–oval fruits of the drupe type. (F) Residues and seeds. Source: Sousa, B.C.M.d.
Figure 1. Dipteryx punctata in Mojuí dos Campos, Pará, Brazil. (A) Distribution of trees in cultivated formations. (B) Cylindrical trunk. (C) Branches with the absence of exudate and compound, pinnate leaves with alternate oval leaflets. (D) Panicle-type inflorescence. (E) Oblong–oval fruits of the drupe type. (F) Residues and seeds. Source: Sousa, B.C.M.d.
Applsci 13 09600 g001
Figure 2. Cultivation of Dipteryx punctata in agroforestry systems located in Mojuí dos Campos, Pará, Brazil. (A) Area 1. (B) Area 2. (C) Area 3. (D) Area 4. (E) Area 5. Source: Sousa, B.C.M.d.
Figure 2. Cultivation of Dipteryx punctata in agroforestry systems located in Mojuí dos Campos, Pará, Brazil. (A) Area 1. (B) Area 2. (C) Area 3. (D) Area 4. (E) Area 5. Source: Sousa, B.C.M.d.
Applsci 13 09600 g002
Figure 3. Phytochemical characterization of Dipteryx punctata extracts. TLC plates eluted in ethyl acetate: hexane (70:30) and developed with 1% potassium hydroxide. (A) L1, L2, L3, L4, and L5 = leaf extracts from areas 1, 2, 3, 4, and 5; (B) B1, B2, B3, B4, and B5 = branch extracts from areas 1, 2, 3, 4, and 5; (C) R1, R2, R3, R4, and R5 = residue extracts from areas 1, 2, 3, 4, and 5; (D) S1, S2, S3, S4, and S5 = seed extracts from areas 1, 2, 3, 4, and 5. Standard: CR = coumarin (1,2-benzopyrone). Source: Sousa, B.C.M.d.
Figure 3. Phytochemical characterization of Dipteryx punctata extracts. TLC plates eluted in ethyl acetate: hexane (70:30) and developed with 1% potassium hydroxide. (A) L1, L2, L3, L4, and L5 = leaf extracts from areas 1, 2, 3, 4, and 5; (B) B1, B2, B3, B4, and B5 = branch extracts from areas 1, 2, 3, 4, and 5; (C) R1, R2, R3, R4, and R5 = residue extracts from areas 1, 2, 3, 4, and 5; (D) S1, S2, S3, S4, and S5 = seed extracts from areas 1, 2, 3, 4, and 5. Standard: CR = coumarin (1,2-benzopyrone). Source: Sousa, B.C.M.d.
Applsci 13 09600 g003
Figure 4. Antioxidant screening of Dipteryx punctata extracts. TLC plates eluted in ethyl acetate: hexane (70: 30) and developed with ABTS—2,2′-azinobis (3-etthylbenzothiazoline-6-sulfonic acid) (7 mM) and DPPH—2,2-diphenyl-1-picrylhydrazyl (0,2%). (A1,A2) L1, L2, L3, L4, and L5 = leaf extracts from areas 1, 2, 3, 4, and 5; (B1,B2) B1, B2, B3, B4, and B5 = branch extracts from areas 1, 2, 3, 4, and 5; (C1,C2). R1, R2, R3, R4, and R5 = residue extracts from areas 1, 2, 3, 4, and 5; (D1,D2). S1, S2, S3, S4, and S5 = seed extracts from areas 1, 2, 3, 4, and 5. Standard: AA = ascorbic acid and GA = gallic acid. Source: Sousa, B.C.M.d.
Figure 4. Antioxidant screening of Dipteryx punctata extracts. TLC plates eluted in ethyl acetate: hexane (70: 30) and developed with ABTS—2,2′-azinobis (3-etthylbenzothiazoline-6-sulfonic acid) (7 mM) and DPPH—2,2-diphenyl-1-picrylhydrazyl (0,2%). (A1,A2) L1, L2, L3, L4, and L5 = leaf extracts from areas 1, 2, 3, 4, and 5; (B1,B2) B1, B2, B3, B4, and B5 = branch extracts from areas 1, 2, 3, 4, and 5; (C1,C2). R1, R2, R3, R4, and R5 = residue extracts from areas 1, 2, 3, 4, and 5; (D1,D2). S1, S2, S3, S4, and S5 = seed extracts from areas 1, 2, 3, 4, and 5. Standard: AA = ascorbic acid and GA = gallic acid. Source: Sousa, B.C.M.d.
Applsci 13 09600 g004
Figure 5. Antioxidant activity of Dipteryx punctata extracts as a function of the five highest concentrations tested in each part of the plant with samples representative of all the collection areas. (A) Extract from the leaves. (B) Extract from the branches. (C) Extract from the residues. (D) Extract from the seeds. Source: Sousa, B.C.M.d.
Figure 5. Antioxidant activity of Dipteryx punctata extracts as a function of the five highest concentrations tested in each part of the plant with samples representative of all the collection areas. (A) Extract from the leaves. (B) Extract from the branches. (C) Extract from the residues. (D) Extract from the seeds. Source: Sousa, B.C.M.d.
Applsci 13 09600 g005
Figure 6. DPPH consumption as a function of increased concentrations of Dipteryx punctata ethanolic extracts, representative samples from all collection areas. (A) Extract from the leaves. (B) Extract from the branches. (C) Extract from the residues. (D) Extract from the seeds.
Figure 6. DPPH consumption as a function of increased concentrations of Dipteryx punctata ethanolic extracts, representative samples from all collection areas. (A) Extract from the leaves. (B) Extract from the branches. (C) Extract from the residues. (D) Extract from the seeds.
Applsci 13 09600 g006
Table 1. Mean yield of ethanolic extracts from different parts of Dipteryx punctata from agroforestry systems in Mojuí dos Campos, Brazilian Amazon.
Table 1. Mean yield of ethanolic extracts from different parts of Dipteryx punctata from agroforestry systems in Mojuí dos Campos, Brazilian Amazon.
Parts of PlantMean Yield of Extracts (%)
Area 1Area 2Area 3Area 4Area 5
Leaves17.3 bA17.9 bA16.9 cA14.2 cA15.2 cA
Branches7.9 cA7.1 cA5.8 dA9.1 dA8.6 dA
Residues24.8 aAB18.6 bC26.1 bA23.3 bAB20.7 bBC
Seeds28.4 aC32.0 aC47.2 aA37.1 aB39.7 aB
CV (%) 8.8
Note: Means followed by the same lowercase letters in the columns and by the same uppercase letters in the rows do not differ from each other by the Tukey test (p ≤ 0.05). CV = coefficient of variation.
Table 2. Chemical analysis by thin-layer chromatography (TLC) of ethanolic extracts from different parts of Dipteryx punctata from agroforestry systems in Mojuí dos Campos, Eastern Amazon, Brazil.
Table 2. Chemical analysis by thin-layer chromatography (TLC) of ethanolic extracts from different parts of Dipteryx punctata from agroforestry systems in Mojuí dos Campos, Eastern Amazon, Brazil.
Plant Parts from All AreasTLC
TerpenesCondensed TanninsHydrolysable TanninsFlavonoidsCoumarin
(1,2-Benzopyrone)
Leaves++++
Branches++++
Residues+++++
Seeds+
Note: (+) presence of the compounds class; (−) absence of the class of the compound.
Table 3. Analysis of phenolic and flavonoid compounds in ethanolic extracts of Dipteryx punctata samples containing representatives from all collection areas.
Table 3. Analysis of phenolic and flavonoid compounds in ethanolic extracts of Dipteryx punctata samples containing representatives from all collection areas.
Plant Part from All Areas Total PhenolicsTotal Flavonoids
mg GAE g−1 Sample ± Standard Deviationmg RE g−1 Sample ± Standard Deviation
Leaves
Branches
Residues
Seeds
51.76 ± 0.16
48.45 ± 0.50
39.97 ± 1.75
25.07 ± 0.20
115.40 ± 3.41
69.71 ± 0.51
71.86 ± 3.79
Not Found
Note: mg GAE g−1 sample = milligrams of gallic acid equivalents per gram of sample; mg RE g−1 sample = milligrams of rutin equivalents per gram of sample.
Table 4. Chemical compounds identified in the ethanolic extracts of the leaves of Dipteryx punctata, in the five collection areas of the municipality of Mojuí dos Campos, Eastern Amazon, Brazil.
Table 4. Chemical compounds identified in the ethanolic extracts of the leaves of Dipteryx punctata, in the five collection areas of the municipality of Mojuí dos Campos, Eastern Amazon, Brazil.
LEAVES EXTRACTSArea 1Area 2Area 3Area 4Area 5
IRTFRTCOMPOUNDSRC %RC %RC %RC %RC %
0122.4722.482-Methoxy-4-vinylphenol2.5-1.7-3.0
0232.8833.22(-)-Spathulenol4.69.23.03.02.4
0332.9533.12Ethyl 3-(2-hydroxyphenyl) propanoate--1.8--
0439.1539.35(E)-4-(3-Hydroxyprop-1-en-1-yl)-2-methoxyphenol----2.1
0542.6642.67Neophytadiene2.64.03.34.33.2
0643.6243.65(3S,3aS,6R,7R,9aS)-1,1,7-Trimethyldecahydro-3a,7-methanecyclopenta[8]anulene-3,6-diol2.1-1.92.92.1
0746.7747.04n-Hexadecanoic acid (palmitic acid)4.74.05.14.83.5
0847.7147.75Hexadecanoic acid ethyl ester (Palmitic acid ethyl ester)3.811.84.64.63.6
0949.4552.71(Z,Z)-9,12-octadecadienoic acid (linoleic acid)3.05.2---
1051.2951.38Phytol8.09.811.110.29.0
1152.2552.37(Z,Z,Z)-9,12,15-octadecatrienoic acid (linolenic acid)3.5-4.95.03.8
1252.7252.74(Z,Z)-9,12-octadecadienoic acid ethyl ester (Linoleic acid ethyl ester)2.5-2.32.42.1
1352.8952.95(Z,Z,Z)-9,12,15-octadecatrienoic acid ethyl ester (Linolenic acid ethyl ester)7.410.69.27.27.5
1453.7153.75Octadecanoic acid ethyl ester (Stearic acid ethyl ester)3.27.53.33.32.7
1554.5754.82(E) -3-Methyl-5-((1R, 4aR, 8aR)-5,5,8a-trimethyl-2-methylenedeca-hydronaphthalen-1-yl) pent-2-en-1-ol (copalol)--2.5--
1663.0863.11Bis(2-ethylhexyl)phthalate2.2-2.42.21.7
1767.8067.991,4-Benzenedicarboxylic acid Bis(2-ethylhexyl) ester --1.4-1.6
1872.3675.75δ-Tocopherol--1.5-2.0
1978.7078.76Stigmasterol3.34.53.13.73.4
2080.0580.14γ-Sitosterol4.95.64.85.54.4
2180.6780.744, 4, 6a, 6b, 8a, 11, 11, 14b-Octamethyl-1, 4, 4a, 5, 6, 6a, 6b, 7, 8, 8a, 9, 10, 11, 12, 12a,14, 14a,14b-octadecahydro-2H-picen-3-one3.44.22.73.32.1
2281.2781.42Lup-20(29)-en-3-one11.07.86.48.55.0
2381.8782.15Lupeol24.615.922.827.034.4
2483.7183.72Stigmast-4-en-3-one2.6--2.4-
Total %100100100100100
Note: IRT = initial retention time; FRT = final retention time of the compounds obtained in the collection areas; RC % = relative content in percentage; Appendix A (Figure A1, Figure A2, Figure A3, Figure A4 and Figure A5) = chromatograms of the leaf extracts in the five collection areas.
Table 5. Chemical compounds identified in the ethanolic extracts of the branches of Dipteryx punctata, in the five collection areas of the municipality of Mojuí dos Campos, Eastern Amazon, Brazil.
Table 5. Chemical compounds identified in the ethanolic extracts of the branches of Dipteryx punctata, in the five collection areas of the municipality of Mojuí dos Campos, Eastern Amazon, Brazil.
BRANCHES EXTRACTSArea 1Area 2Area 3Area 4Area 5
IRTFRTCOMPOUNDSRC %RC %RC %RC %RC %
0125.0525.40Hydrocoumarin7.21.116.87.39.3
0233.1633.19(-)-Spathulenol8.3-16.94.53.4
0339.0646.194-O-Methylmannose18.185.525.44.2-
0446.7947.04N-hexadecanoic acid (palmitic acid)8.91.3-9.09.5
0547.6347.87Hexadecanoic acid ethyl ester (Palmitic acid ethyl ester)----4.0
0651.9652.11(Z,Z)-9,12-octadecadienoic acid (linoleic acid)-1.0-4.54.5
0752.0252.47(Z)-9-octadecenoic acid (oleic acid)6.8----
0852.1552.28(Z)-9-octadecenal---5.45.1
0952.6352.87(Z,Z)-9,12-octadecadienoic acid ethyl ester (Linoleic acid ethyl ester)----3.0
1052.8752.99Octadecanoic acid (stearic acid)---5.35.2
1163.0863.12Bis(2-ethylhexyl)phthalate7.4-16.96.46.9
1267.8068.001,4-Benzenedicarboxylic acid Bis(2-ethylhexyl) ester ----3.4
1378.6978.75Stigmasterol7.11.4-5.44.8
1480.0580.13γ-Sitosterol8.41.6-6.97.1
1581.2981.35Lup-20(29)-en-3-one8.92.3-7.34.7
1681.8982.08Lupeol18.96.023.933.929.1
Total %100100100100100
Note: IRT = initial retention time; FRT = final retention time of the compounds obtained in the collection areas; RC % = relative content in percentage; Appendix A (Figure A6, Figure A7, Figure A8, Figure A9 and Figure A10) = chromatograms of the branches extracts in the five collection areas.
Table 6. Chemical compounds identified in the ethanolic extracts of the residues of Dipteryx punctata, in the five collection areas of the municipality of Mojuí dos Campos, Eastern Amazon, Brazil.
Table 6. Chemical compounds identified in the ethanolic extracts of the residues of Dipteryx punctata, in the five collection areas of the municipality of Mojuí dos Campos, Eastern Amazon, Brazil.
RESIDUES EXTRACTSArea 1Area 2Area 3Area 4Area 5
N.IRT FRTCOMPOUNDSRC %RC %RC %RC %RC %
013.393.682-Propenoic acid methyl ester--0.4-0.3
023.473.792,3-Butanediol7.35.0-8.0-
033.503.72(S)-Isopropyl lactate6.5----
043.563.832,3-Pentanedione--0.3-0.2
053.794.05Pyruvic acid methyl ester--1.3-0.8
064.134.19Furfural --0.74.81.1
074.274.361,2-Diacetylhydrazine--0.3--
084.855.142-Furanomethanol3.9-0.54.80.5
095.425.494-Cyclopentene-1,3-dione--0.4-0.3
106.826.991,2-Cyclopentanedione--0.4-0.4
117.777.835-Methyl-2-Furanecarboxaldehyde--0.3-0.2
128.358.512,4-Dihydroxy-2,5-dimethyl-3(2H)-furan-3-one--0.3-0.2
1315.9115.952,3-Dihydro-benzofuran--0.3-0.4
1420.6620.76Butanedioic acid hydroxy diethyl ester (+ /-)-3.7-4.0-
1521.2622.225-Hydroxymethylfurfural----0.9
1625.4425.74Hydrocoumarin4.67.71.08.51.8
1727.7028.09Coumarin8.27.21.09.01.7
1833.0933.16Benzenepropanoic acid 2-hydroxyethyl ester -4.6-4.50.2
1933.2533.34(-)-Spathulenol7.78.20.310.3-
2039.0839.351-((1S,3aR,4R,7S,7aS)-4-Hydroxy-7-isopropyl-4-methyloctahydro-1H-inden-1-yl)ethanone---3.4-
2143.1843.22(-)-Globulol 3.34.6-4.7-
2246.9947.06n-Hexadecanoic acid (palmitic acid)5.15.2-4.2-
2347.7447.78Hexadecanoic acid ethyl ester (palmitic acid ethyl ester)3.93.9-3.5-
2452.2352.69(Z)-11-octadecenoic acid (cis-vaccenic acid)14.613.92.210.00.2
2552.9453.07(Z) -9-Octadecenoic acid ethyl ester (ethyl oleate)9.98.5-6.4-
2654.7154.72Copalol-3.8-3.3-
2761.4463.204-O-Methylmannose--81.7-90.6
2862.0962.57Hexadecanoic acid 2-hydroxy-1-(hydroxymethyl) ethyl ester (beta-monoglyceride palmitic acid)5.5----
2966.7166.919-Octadecenoic acid (E,E,E)-1,2,3-propanetriyl ester 15.816.08.510.6-
3079.9880.44γ-Sitosterol -4.1---
3181.9882.00Lupeol3.73.7---
Total %100100100100100
Note: IRT = initial retention time; FRT = final retention time of the compounds obtained in the collection areas; RC % = relative content in percentage; Appendix A (Figure A11, Figure A12, Figure A13, Figure A14 and Figure A15) = chromatograms of the residue extracts in the five collection areas.
Table 7. Chemical compounds identified in ethanolic extracts of the seeds of Dipteryx punctata, in the five collection areas of the municipality of Mojuí dos Campos, Eastern Amazon, Brazil.
Table 7. Chemical compounds identified in ethanolic extracts of the seeds of Dipteryx punctata, in the five collection areas of the municipality of Mojuí dos Campos, Eastern Amazon, Brazil.
SEEDS EXTRACTSArea 1Area 2Area 3Area 4Area 5
IRTFRTCOMPOUNDSRC %RC %RC %RC %RC %
013.783.98O-Methylhydroxylamine-1.0---
026.106.111-Ethyl-1-methylcyclopropane--0.72.6-
0325.3025.76Hydrocoumarin3.3----
0427.5228.04Coumarin5.498.199.397.493.8
0528.8629.094-Aminopyrido[3,2-c] pyridazine-0.9---
0646.4346.72n-Hexadecanoic acid (palmitic acid)6.1----
0747.4848.33Hexadecanoic acid ethyl ester (palmitic acid ethyl ester)4.2----
0851.5352.41(Z)-11-Octadecenoic acid (cis-vaccenic acid)8.5----
0952.8553.03(Z)-9-Octadecenoic acid (oleic acid)32.5---6.2
1053.2853.63Octadecanoic acid (stearic acid)4.3----
1153.6354.23Octadecanoic acid ethyl ester (stearic acid ethyl ester)3.5----
1257.6358.08(Z)-13-Eicosenoic acid (cis-13-eicosenoic acid)1.3----
1358.9659.46Eicosanoic acid ethyl ester 1.3----
1461.9362.63Hexadecanoic acid 2-hydroxy-1-(hydroxymethyl) ethyl ester (beta-monoglyceride palmitic acid)1.4----
1562.6363.26Bis (2-ethylhexyl)phthalate1.4----
1663.2664.18Docosanoic acid2.7----
1764.1864.63Docosanoic acid ethyl ester 4.1----
1866.0367.21(Z)-9-Octadecenoic acid 2,3-dihydroxypropyl ester 11.0----
1967.2167.56Octadecanoic acid 2,3-dihydroxypropyl ester 1.0----
2068.3368.86Tetracosanoic acid1.0----
2168.8669.38Ethyl tetracosanoate3.3----
2278.4878.96Stigmasterol1.4----
2379.8180.38γ-Sitosterol2.1----
Total %100100100100100
Note: IRT = initial retention time; FRT = final retention time of the compounds obtained in the collection areas; RC % = relative content in percentage; Appendix A (Figure A16, Figure A17, Figure A18, Figure A19 and Figure A20) = chromatograms of the seed extracts in the five collection areas.
Table 8. Analysis of the antioxidant activity of ethanolic extracts of Dipteryx punctata by the DPPH free radical capture method, representative samples from all collection areas.
Table 8. Analysis of the antioxidant activity of ethanolic extracts of Dipteryx punctata by the DPPH free radical capture method, representative samples from all collection areas.
DPPH (2,2-diphenyl-1-picrylhydrazyl)
DataLeavesBranchesResiduesSeeds
FormulaY = 32.524 In (x) − 105.05Y = 27.812 ln (x) − 132.14Y = 29.355 ln (x) − 99.06Y = 25.813 ln (x) − 129.06
R297.4798.1894.6493.61
CV%4.431.173.843.70
IC50 (µg.mL−1)117.6698.5160.41029.5
Note: R2 = coefficient of determination; CV = coefficient of variation; IC50 = extract concentration required to reduce 50% of the DPPH radical.
Disclaimer/Publisher’s Note: The statements, opinions and data contained in all publications are solely those of the individual author(s) and contributor(s) and not of MDPI and/or the editor(s). MDPI and/or the editor(s) disclaim responsibility for any injury to people or property resulting from any ideas, methods, instructions or products referred to in the content.

Share and Cite

MDPI and ACS Style

Sousa, B.C.M.d.; Gomes, D.d.A.; Viana, A.F.d.S.; Silva, B.A.d.; Barata, L.E.S.; Sartoratto, A.; Lustosa, D.C.; Vieira, T.A. Phytochemical Analysis and Antioxidant Activity of Ethanolic Extracts from Different Parts of Dipteryx punctata (S. F. Blake) Amshoff. Appl. Sci. 2023, 13, 9600. https://doi.org/10.3390/app13179600

AMA Style

Sousa BCMd, Gomes DdA, Viana AFdS, Silva BAd, Barata LES, Sartoratto A, Lustosa DC, Vieira TA. Phytochemical Analysis and Antioxidant Activity of Ethanolic Extracts from Different Parts of Dipteryx punctata (S. F. Blake) Amshoff. Applied Sciences. 2023; 13(17):9600. https://doi.org/10.3390/app13179600

Chicago/Turabian Style

Sousa, Bruna Cristine Martins de, Daniel do Amaral Gomes, Alciene Ferreira da Silva Viana, Bruno Alexandre da Silva, Lauro Euclides Soares Barata, Adilson Sartoratto, Denise Castro Lustosa, and Thiago Almeida Vieira. 2023. "Phytochemical Analysis and Antioxidant Activity of Ethanolic Extracts from Different Parts of Dipteryx punctata (S. F. Blake) Amshoff" Applied Sciences 13, no. 17: 9600. https://doi.org/10.3390/app13179600

APA Style

Sousa, B. C. M. d., Gomes, D. d. A., Viana, A. F. d. S., Silva, B. A. d., Barata, L. E. S., Sartoratto, A., Lustosa, D. C., & Vieira, T. A. (2023). Phytochemical Analysis and Antioxidant Activity of Ethanolic Extracts from Different Parts of Dipteryx punctata (S. F. Blake) Amshoff. Applied Sciences, 13(17), 9600. https://doi.org/10.3390/app13179600

Note that from the first issue of 2016, this journal uses article numbers instead of page numbers. See further details here.

Article Metrics

Back to TopTop