Electromagnetic Fields from Cloud-to-Cloud Horizontal Lightning Channel on Perfect Conducting Soil: Induced Potentials in Flying Aircraft
Abstract
:Featured Application
Abstract
1. Introduction
2. The Model Backgrounds
3. Application Examples
3.1. Induced Potentials at Points near Ground Level: Induced Potential Difference in a Vertical Rod with One End on the Ground
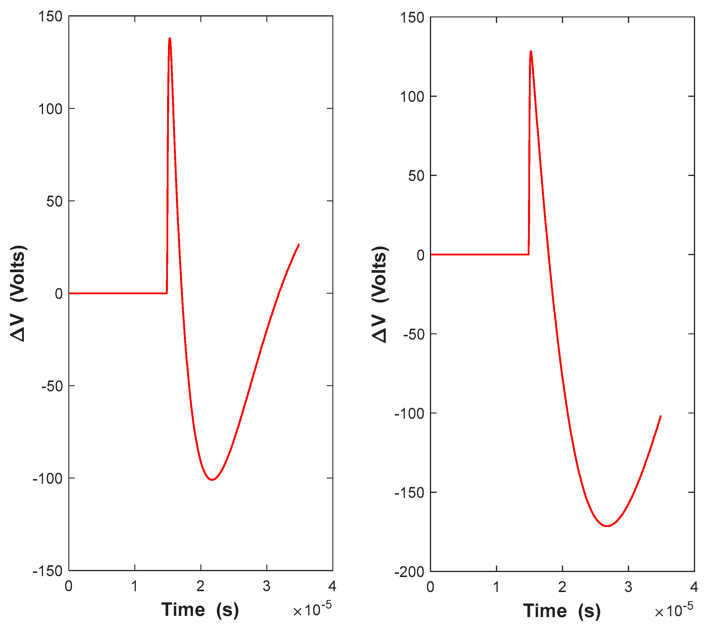
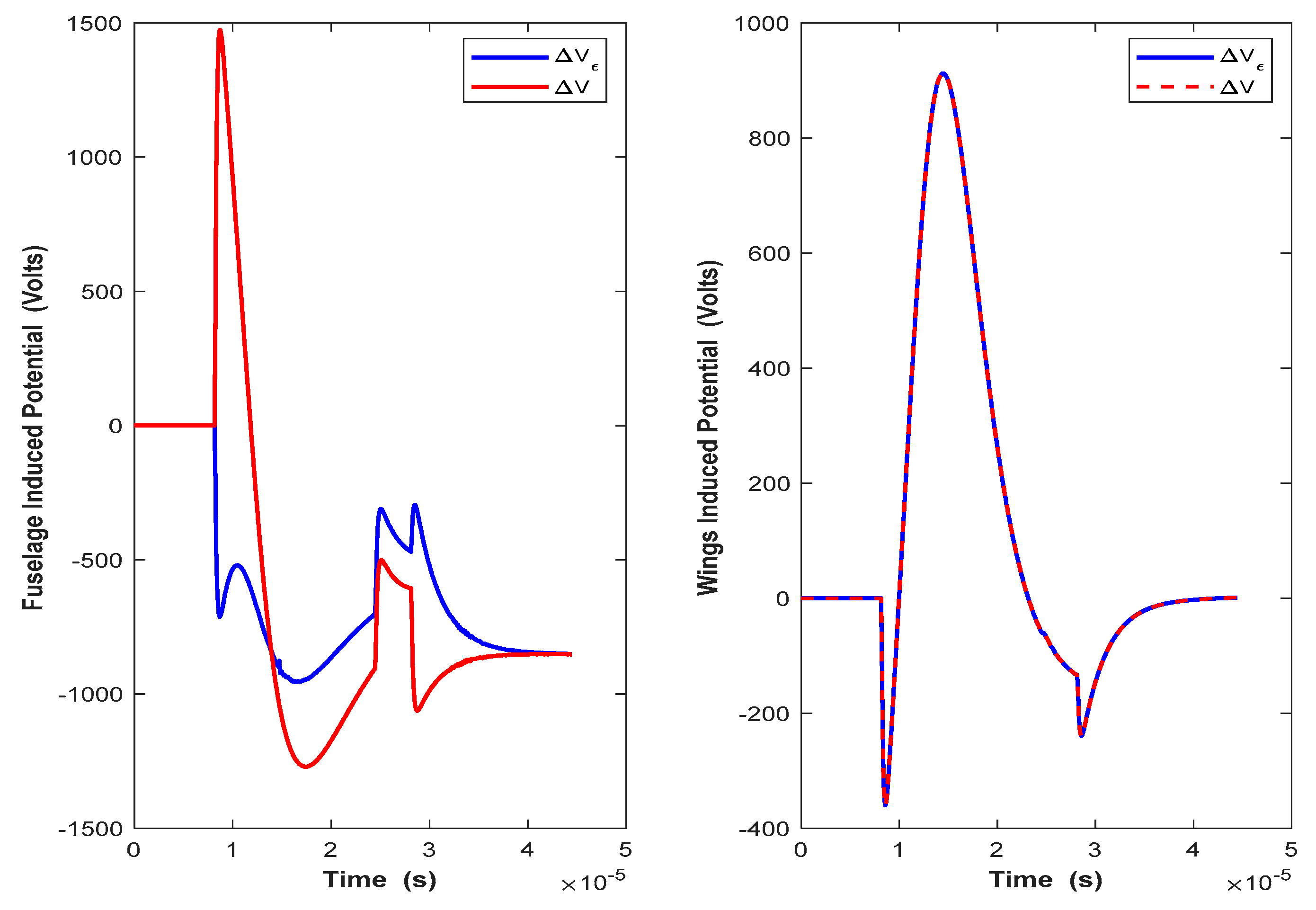
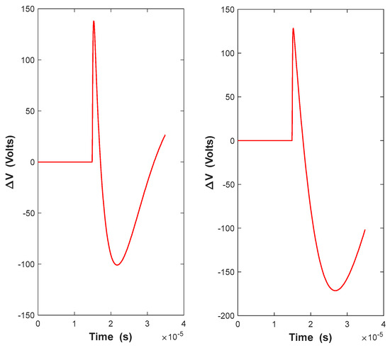
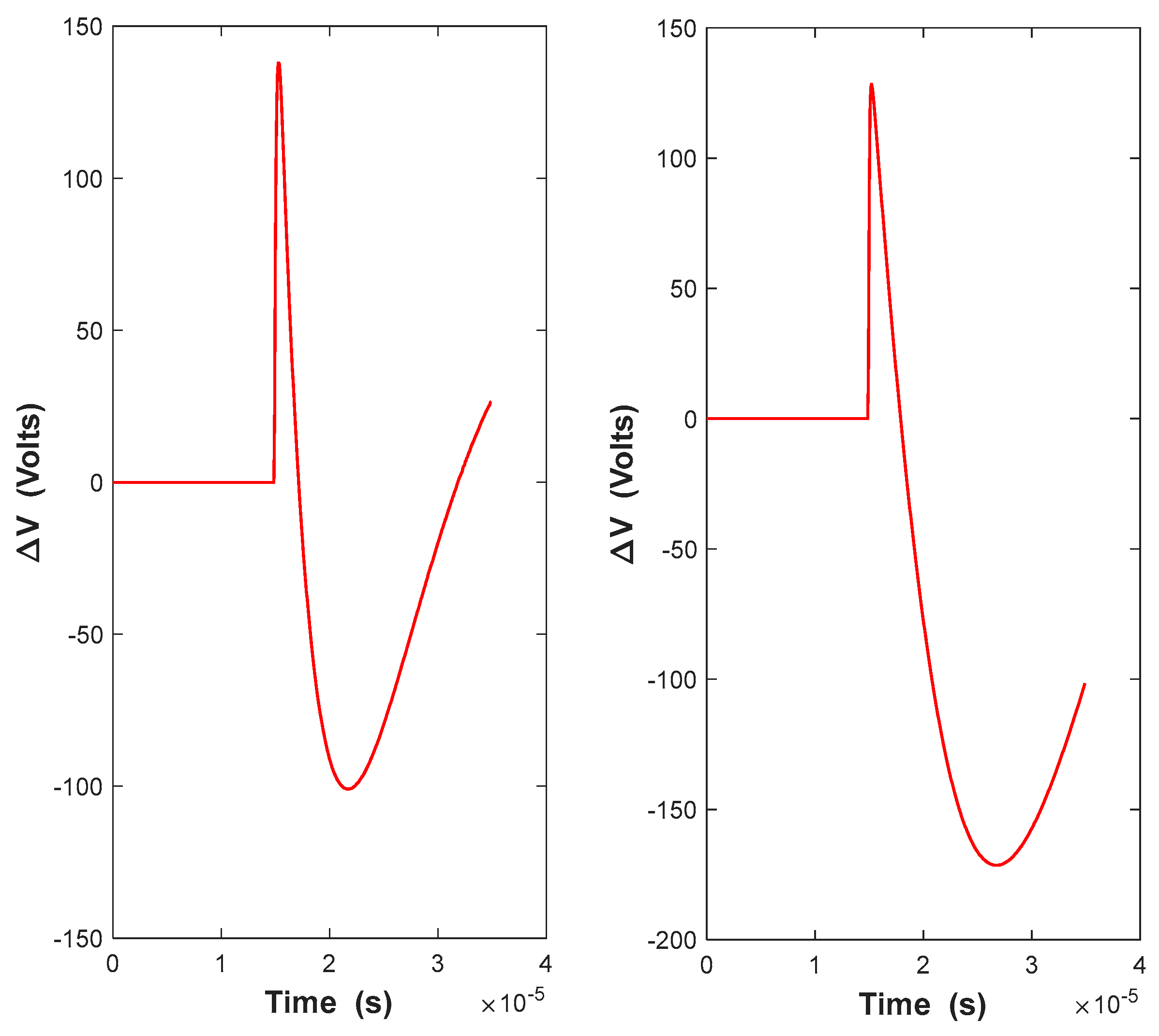
3.2. Induced Potentials on an Aircraft in Flight
4. Effect of a Non-Perfect Conducting Ground
5. Conclusions
Author Contributions
Funding
Institutional Review Board Statement
Informed Consent Statement
Data Availability Statement
Acknowledgments
Conflicts of Interest
References
- Tran, M.; Rakov, V. Initiation and propagation of cloud-to-ground lightning observed with a high-speed video camera. Sci. Rep. 2016, 6, 39521. [Google Scholar] [CrossRef] [PubMed]
- Nucci, C.A.; Rachidi, F.; Ianoz, M.V.; Mazzetti, C. Lightning-induced voltages on overhead lines. IEEE Trans. Electromagn. Compat. 1993, 35, 75–86. [Google Scholar] [CrossRef]
- Mimouni, A.; Rachidi, F.; Azzouz, Z. A finite-difference time-domain approach for the evaluation of electromagnetic fields radiated by lightning strikes to tall structures. J. Electrost. 2008, 66, 504–513. [Google Scholar] [CrossRef]
- Barbosa, C.F.; Paulino, J.O.S. On Time-Domain Expressions for Calculating the Horizontal Electric Field from Lightning. IEEE Trans. Electromagn. Compat. 2019, 61, 434–439. [Google Scholar] [CrossRef]
- La Fata, A.; Nicora, M.; Mestriner, D.; Aramini, R.; Procopio, R.; Brignone, M.; Delfino, F. Lightning Electromagnetic Fields Computation: A Review of the Available Approaches. Energies 2023, 16, 2436. [Google Scholar] [CrossRef]
- Aramini, R.; Brignone, M.; Mestriner, D.; Pastorino, M.; Procopio, R.; Randazzo, A.; Rubinstein, M. On the Fourier Transform of Measured Electric Fields Radiated by a Lightning Return Stroke. IEEE Trans. Electromagn. Compat. 2022, 64, 1257–1264. [Google Scholar] [CrossRef]
- van Schalkwyk, W.D.; Gomes, C.; van Coller, J. The Effect of Cloud-to-Cloud Lightning on Medium Voltage Lines. In Proceedings of the 2022 36th International Conference on Lightning Protection (ICLP), Cape Town, South Africa, 2–7 October 2022. [Google Scholar] [CrossRef]
- Fisher, J.; Hoole, P.R.P.; Pirapaharan, K.; Hoole, S.R.H. Parameters of cloud to cloud and intra-cloud lightning strikes to CFC and metallic aircraft structures. In Proceedings of the 2016 International Symposium on Fundamentals of Electrical Engineering (ISFEE), Bucharest, Romania, 30 June–2 July 2016. [Google Scholar] [CrossRef]
- Sapumanage, N.; Nanayakkara, S.; Abegunawardana, S.; Fernando, M.; Cooray, V. Time-Frequency and Energy Correlations of the Transient Voltages Triggered by Cloud-to-Cloud Discharges. IEEE Trans. Electromagn. Compat. 2019, 61, 1782–1792. [Google Scholar] [CrossRef]
- Ansari, A.; Eshaghi, S. Lipschitz–Hankel identities and integral representations of toroidal functions. Integral Transform. Spec. Funct. 2021, 32, 839–862. [Google Scholar] [CrossRef]
- Rakov, V.A.; Uman, M.A. Review and evaluation of lightning return stroke models including some aspects of their application. IEEE Trans. Electromagn. Compat. 1998, 40, 403–426. [Google Scholar] [CrossRef]
- Yazhou, C.; Shanghe, L.; Xiaorong, W.; Feizhou, Z. A new kind of lightning channel-base current function. In Proceedings of the 2002 3rd International Symposium on Electromagnetic Compatibility, Beijing, China, 21–24 May 2002. [Google Scholar] [CrossRef]
- Wagner, C.F. The Relation Between Stroke Current and the Velocity or the Return Stroke. IEEE Trans. Power Appar. Syst. 1963, 82, 609–617. [Google Scholar] [CrossRef]
- Michalski, K.A.; Mosig, J.R. Efficient computation of Sommerfeld integral tails–methods and algorithms. J. Electromagn. Waves Appl. 2016, 30, 281–317. [Google Scholar] [CrossRef]










Disclaimer/Publisher’s Note: The statements, opinions and data contained in all publications are solely those of the individual author(s) and contributor(s) and not of MDPI and/or the editor(s). MDPI and/or the editor(s) disclaim responsibility for any injury to people or property resulting from any ideas, methods, instructions or products referred to in the content. |
© 2023 by the authors. Licensee MDPI, Basel, Switzerland. This article is an open access article distributed under the terms and conditions of the Creative Commons Attribution (CC BY) license (https://creativecommons.org/licenses/by/4.0/).
Share and Cite
Asensio, G.; Faleiro, E.; Moreno, J.; Denche, G. Electromagnetic Fields from Cloud-to-Cloud Horizontal Lightning Channel on Perfect Conducting Soil: Induced Potentials in Flying Aircraft. Appl. Sci. 2023, 13, 9584. https://doi.org/10.3390/app13179584
Asensio G, Faleiro E, Moreno J, Denche G. Electromagnetic Fields from Cloud-to-Cloud Horizontal Lightning Channel on Perfect Conducting Soil: Induced Potentials in Flying Aircraft. Applied Sciences. 2023; 13(17):9584. https://doi.org/10.3390/app13179584
Chicago/Turabian StyleAsensio, Gabriel, Eduardo Faleiro, Jorge Moreno, and Gregorio Denche. 2023. "Electromagnetic Fields from Cloud-to-Cloud Horizontal Lightning Channel on Perfect Conducting Soil: Induced Potentials in Flying Aircraft" Applied Sciences 13, no. 17: 9584. https://doi.org/10.3390/app13179584
APA StyleAsensio, G., Faleiro, E., Moreno, J., & Denche, G. (2023). Electromagnetic Fields from Cloud-to-Cloud Horizontal Lightning Channel on Perfect Conducting Soil: Induced Potentials in Flying Aircraft. Applied Sciences, 13(17), 9584. https://doi.org/10.3390/app13179584

