Abstract
Guidance through an exercise program improves balance and gait in older adults, but the efficacy of the timing these are given is unclear. The objective of this study is to evaluate the effects of guidance delivery time on balance, gait, falls, and cognitive functions. In a single (participants)-blinded clinical trial, a convenient sample of 24 older adults (aged 74 ± 6 years) were separated in two age-matched groups, both of which received a progressive 12-week Otago Exercise Program (OEP) for strength and balance. Group 1 received visual and verbal guidance before the performance of each of the exercises, while group 2 received the visual and verbal guidance only synchronously with the exercises. Balance, gait, fear of falling, and cognitive function were evaluated at baseline, week 6, and week 12 of the program. Fall incidence and exercise adherence were also documented. Significant improvements (p < 0.05) were revealed in all assessed variables post intervention, regardless of the guidance delivery time. Only the mental function and the adherence to the exercise tended to be better when the guidance was given in advance of the exercise execution, but further studies of a bigger sample size and with a control group should be conducted before safe conclusions are extracted.
1. Introduction
Falls affect the older population and is a growing problem worldwide. The consequences of falls include fractures, head injuries, fear of falling, reduced quality of life, and self-restricted activity levels [1]. The need to prevent and reduce the rate and risk of falls has led to the development of specialized exercise programs [2,3]. In particular, multi-component exercise programs have been found to be effective, with significant improvements in lower limb muscle strength contributing to body stability [4,5]. Exercise in a more constructed format, like yoga, or in a more safe and easy mode, like in a sitting position, have also been suggested not only to improve physical performance but also to improve mental weakness and attention in the elderly [6]. Indeed, a combination of dynamic exercises in lower limbs with dynamic stretches of the whole trunk, and symmetrical or asymmetrical movements of the foot joints from a sitting position seem to improve cognitive performance in elderly males with cognitive impairment [7]. Thus, regular exercise that includes muscle strength, endurance, and balance components is highly recommended by the literature for reducing the rate and risk of falling while improving balance and maintaining mental health in the elderly [4,5,6].
The Otago Exercise Program (OEP) is an evidence-based multi-component program that consists of warm up, strength exercises particularly for the lower limbs, balance exercises, and also walking. The program has been shown to be effective especially for those older than 80 years [8,9,10,11]. In the study of Dadgari et al. (2016) where the OEP was undertaken in older adults, the frequency of falls, the fear of falling, and balance were all significantly improved [12]. Furthermore, Leem et al. (2019) investigated the effects of the OEP combined with action observation training on balance and gait in older adults. Their findings showed significant improvement in balance, gait, and fear of falling measured by the Timed Up and Go (TUG) and Falls Efficacy Scale-International (FES-I), respectively [13].
As most of the studies agree that the OEP is an effective program for reducing falls and injuries in the elderly [2,14], some researchers believe that improving cognition may be a very important mechanism by which the OEP reduces falls [15]. Μoreover, many studies associate exercise with maintaining or even improving cognitive ability in the elderly [6,16]. In general, the OEP is more effective for those who adhere to it. According to the program, a training frequency of three sessions per week is recommended, although lower levels of adherence may have favorable effects [14,17]. The benefits of exercising are well known but the majority of older adults adhere to neither aerobic programs nor muscle strength programs. According to Steltepohl et al. (2018), older adults prefer working out with peers, reinforcing fun and general social benefits [18]. The OEP was originally designed as supervised home training. In recent years, it has also been performed as group training which gives a more interesting and socializing character with similar results [19]. Specifically, very recent systematic reviews and meta-analyses have confirmed that the group format for the OEP is more effective for improving static balance, dynamic balance, and perceived balance—measured by reporting fear of falling and older adult’s confidence in maintaining balance—as well as physical functioning, than the individual format [20,21,22].
An additional element to which the OEP may owe its effectiveness is the leader’s continuous verbal and visual guidance. The ‘guidance’ element during an exercise is very closely related to the informational role of feedback, which guides participants towards the correct performance of a movement pattern and enhances the learning process of the movement [23]. Indeed, this benefit of real time feedback is what the rehabilitation experts have been taken advantage of in order to build 2D, 3D, virtual reality, and augmented reality games for the rehabilitation of neurological patients [24] and for improving core stability and balance in elderly people [25]. The rich stimuli environment, with the continuous audio-visual feedback, that virtual reality training can provide enhances the learning process of new exercise strategies and it has been extensively used for improving balance and gait in older adults [26,27,28]. However, these new technological devices, wearable electronics, immersive virtual environments and virtual-reality-based games, although very promising and user friendly, have not been thoroughly investigated for the side effects that may be caused, such as dizziness and eye fatigue [29]. In addition, the long-term effects are not very well known yet and, further still, they are not very easily accessible for group-based rehabilitation which always provides a more socializing aspect in rehabilitation. On the other hand, the OEP has the advantages of multi-sensory stimuli and its group-based method of delivery expands the social participation of older adults and enable them to obtain good compliance and satisfaction [14,30].
The OEP places great emphasis on verbal guidance and the demonstration of the exercise, so that the participant realizes and performs the exercise correctly. Therefore, it is possible that the benefits of the OEP can be attributed to additional elements such as the correct perception of the posture, the correct execution of the exercise through verbal guidance (command, sequence), and the understanding of the usefulness of the exercise, not just the execution of the exercise itself. Indeed, the importance of feedback during skill acquisition, the type of feedback and the frequency with which this is provided has been extensively discussed in the literature [31,32]. However, the efficacy of the time that this feedback and guidance is given is still unclear and the effectiveness of the OEP exercise guidance regarding delivery time on balance, gait, and cognition has never been explored.
It is believed that the feedback given during the performance of a task is important for facilitating performance because it guides the learner to the correct movement pattern; however, it is assumed to have negative effects in learning, because the participant becomes dependent on the feedback and neglects the processing of intrinsic feedback [23]. On the other hand, if a participant is asked to reproduce a task by first receiving a demonstration of it and instructions for it, without any other feedback during the performance of the task, this may better promote the skill acquisition and motivation of the participant [33]. The visual demonstration of motion engages the active learning process, because the learner should recognize the movement pattern, replicate the pattern from what the movement is perceived (recognized) to be, and have some control and decision-making during the reproduction of the movement [33]. This active participation may be more efficient for skill acquisition than a passive process which is produced by just providing concurrent feedback for movement correction during the task [34].
The purpose, therefore, of this study is to examine whether visual demonstration and verbal guidance and correction of exercises, before the exercise program conduction vs. during the exercise program conduction alone, is more effective in improving balance, gait, cognitive function, and fear of falling in the older adults.
Thus, this research aims to answer the question of: when is exercise guidance more beneficial for the physical and cognitive function of older adults, when it is given before or during the exercise performance? We hypothesize that guidance given before the exercise is more mentally demanding for the participants and, thus, engages more physiological processes of active learning which may be more efficient for improving physical and mental health and for maintaining motivation and adherence to the exercise.
2. Materials and Methods
2.1. Study Design and SETTINGS
The present study was a single-blinded clinical trial conducted in Nicosia, Cyprus. Ethical approval was obtained by National Bioethics Committee of Cyprus and the Commissioner for Personal Data Protection of Cyprus. All participants provided written informed consent. The participants were divided into two equal groups matched by their somatometric characteristics and their performance in balance (mini-Balance Evaluation Systems Test (mini-BESTest) score). The participants did not know which group they belonged to, but the leader could not be “blind” due to the research protocol design. Both groups performed the same program—the Otago Exercise Program (OEP). The difference between the two groups was the delivery time of the given visual and verbal guidance.
2.2. Recruitment
Participants were recruited from Nicosia and Nicosia district in Cyprus. Recruitment occurred from September 2017 to November 2017. Individuals were informed about the research by posters, by the websites of the institutions, and by the researchers of the study. In addition, an information leaflet was given to each interested person containing all the necessary details of the study. Prior to participating in the study, the interested participants signed the consent document.
2.3. Conduction of the Study
The two groups were gathered for the delivery of the Otago Program in two rehabilitation places. These two centers were also the places where the assessments of the participants were undertaken.
2.4. Participants
A convenient sample of twenty four Cypriot volunteers (18 women and 6 men) participated in the study.
- Inclusion criteria:
Eligible participants were older Greek-speaking adults, at least 65 years old. In addition, their Mini Mental State Examination (MMSE) score should be higher than 24 in order to understand the purpose of the program and to be able to communicate with the team. They should also be able to walk independently.
- Exclusion criteria:
Not eligible to participate in this study were people with neurodegenerative diseases (e.g., Parkinson’s, Alzheimer’s, Multiple Sclerosis, Stroke, etc.), uncontrolled or unstable health problems (eg. diabetes, angina prectoris etc.), shortness of breath or dizziness, high blood pressure (systolic pressure ≥ 180 mmHg and/or diastolic pressure ≥ 100 mmHg), recent harmful falls without medical assessment, rheumatoid arthritis or acute systemic disease/infection, unexplained lethargy, inability to follow simple instructions.
2.5. Intervention
All participants received a progressive Otago Exercise Program (OEP) for strength and balance. The OEP was applied in a group-based mode, 3 times per week, for 12 weeks, and included strength and balance exercises, which are described in detail in Table 1. Each session lasted 45–60 min. Depending on the group that participants were allocated to, they additionally received guidance through verbal exercise explanation and visual exercise demonstration. The time delivery of the visual and verbal guidance was in advance of each of the exercises for Group 1 and in parallel with the exercises for Group 2. Specifically:
Table 1.
OEP list of exercises during the session.
Ιn Group 1 (advance guidance group): exercises of the OEP performed under verbal instructions after an initial description and display of the exercise by the group leader. Before the execution of the exercises, the instructor had explained the main aim and the scope of each of the exercise for the improvement in the daily activities, and had described the correct way of executing the exercise. Corrections and reinforcement on the execution of the exercise were also given during and after the exercise completion.
In Group 2 (parallel guidance group): the OEP exercises were performed in parallel with their group leader, having simultaneous visual and verbal guidance, without receiving further details for correction or better understanding. Visual instructions included body language and hand signals. The instructor corrected the participants of the group only where it was necessary and mainly when a wrong execution of the exercise carried the risk of falling and, thus, it was dangerous for the safety of the participant. No other feedback about the execution of the exercise was given.
Upon completion of the program, the participants were encouraged to continue the program at home. They were given week 12 program exercises, including most of the OEP exercises and the OEP manual, which contained all the exercises with the execution instructions. Furthermore, they were encouraged to continue walking as suggested by the OEP, i.e., for 30 min, at least twice a week.
2.6. Measurement Outcomes
Both groups were assessed 3 times—at baseline, in the middle of the program, and the week following the end of the program (baseline, 6th, and 13th week)—for the primary measurement outcomes of: balance, gait, fear of falling, and cognitive function. Baseline assessment also included a record of the anthropometrics characteristics, and a self-reported questionnaire to collect information on socio-demographic characteristics and medical history.
Balance was measured with the Mini Balance Evaluation Systems Test (mini-BESTest), which consists of activities that assess preventive posture adjustments, reactive posture control, sensory orientation, and dynamic gait, and it has proven to be a reliable and valid tool for assessing balance [35,36,37]. Score range 0–2, with “0” corresponding to the lowest and “2” to the highest operating level, respectively [35].
Gait was assessed with the Functional Gait Assessment scale (FGA) and the Timed Up and Go test. The FGA is a ten-point valid and reliable test that examines gait under various situations (i.e., eyes closed, head turns, over obstacles, backwards gait, etc.) [38,39]. The maximum score is 30 and a score less than 19 indicates a risk of falling [38]. The Timed Up and Go test is a measure that provides qualitative but also quantitative characteristics of gait and it is used worldwide to assess static and dynamic balance and gait [40].
The Falls Efficacy Scale-International (FES-I) was used to assess fear of falling. The FES-I questionnaire, consisting of 16 items, examines participants’ perception of their concern about falling during daily activities inside and outside the home [41]. The maximum score is 64 with each item to be scored from 1 to 4, with “1” indicating no concern and “4” indicating high anxiety [42].
Mini—Mental State Examination (MMSE) and Montreal Cognitive Assessment (MoCA) were used to assess the cognitive function. The MMSE was used only at baseline for the screening process, while MoCA used in all 3 assessments. MMSE is one of the most widely used scales for assessing mental state [43]. The total maximum score is 30 and score below 24 suggests mental deficits [44]. The MoCA scale exhibits high reliability and validity for identifying cognitive deficits in individuals with mild cognitive deficits and in patients with severe depressive disorders [45,46]. The total score is 30 and the lowest normal score is 26 [47]. The scale is divided into 7 subcategories that include test: audiovisual/executive (0–5 points), name (0–3 points), attention (0–2 points), language (0–3 points), abstract thinking (0–2 units), delayed recall (0–5 units), and orientation (0–6 units) [46].
Secondary outcomes were the incidence of falls and the adherence to the program.
Information on fall incidence (number of falls in the last year, number of fall-related injuries, number of emergency home help, and number of hospitalizations) was collected at baseline. Six months following the completion of the program, participants were contacted again to check the number of falls and fall-related injuries as well as where the falls took place.
Exercise adherence was measured in session attendance during the program and through phone contact 3 months after the completion of the program.
In the following figure (Figure 1), the time set of the assessment measurements is visualized for the two groups, as well as the number of participants completed the intervention.
Figure 1.
Time set of assessment measurements throughout the study.
2.7. Assessors
The assessor was the same person with the group leader of both the groups. The assessor had been trained by the supervisor of the research in the local sector (SL) who is experienced in the neurological assessment of older adults and is responsible for the cross-cultural adaptation of the measurement outcomes in Greek language [36,48]. The assessor undertook the evaluations under supervision and with the help of the supervisor for assuring the safety of the patients in challenging conditions (such as in balance and gait assessment with eyes closed or standing on one leg).
2.8. Statistical Analysis
All statistical analyses in this study were conducted using SPSS version 22. The significance level (a) was set at 5% (p ≤ 0.05). The mean values of the measurements of each group and their standard deviation were calculated and then the distribution was checked in order to apply the most appropriate method (parametric or non-parametric). For the matching of the two groups in terms of their somatometric characteristics, the parametric Independent samples T test and the non-parametric Mann–Witney U were applied. Then, in order to compare the measurement results of each group (at baseline, 6th, and 13th week), as well as to compare the two groups and to check the interaction between the dependent and independent values, a mixed ANOVA was used. The time was set as the independent variable within the groups, meaning the time of the repeated measures at baseline, 6th, and 13th week. The delivery time of the guidance provided was set as the independent variable between the two groups, which was the difference between the groups. The dependent variables were balance, gait, fear of falling, number of falls, and cognitive function.
3. Results
Twenty-four (24) participants were recruited for the program at a mean age of 75 (±7) years and with 75% of them being women (Table 1). Five participants (21%) withdrew from the study (two participants from the group with advance guidance and three participants from the group with parallel guidance). Their reasons were personal or family health problems. Personal health problems were heart problems, a forearm fracture due to fall, and an osteoporotic lumbar fracture. As such, 10 participants completed the program in the group with the advance guidance and 9 participants in the group with the parallel guidance. No clinically relevant differences were revealed between the two groups at baseline (Table 2).
Table 2.
Group characteristics at baseline.
Both groups—regardless of the delivery time of exercise guidance—improved their balance, gait, and cognitive function, and decreased the number of falls and fear of falling. Table 3 summarizes the findings for balance, gait, and cognitive function outcomes as measured by the mini-BESTest, FES-I, FGA, and MoCA scales, respectively.
Table 3.
Group comparison between the three assessments—Mean and (Standard Deviation). In each group the last column presents the score differences (and the p-value) between the 1st (at baseline) and 3rd (at 13th week of the program) assessment.
3.1. Balance, Fear of Falling, Gait, and Cognitive Function
Balance was improved significantly for both groups between baseline and last assessment. Overall, balance was improved by 3 points on the mini-BESTest total score (from 19 to 22/28, F = 16.272, p < 0.001) with the greatest improvement shown during dynamic and anticipatory balance control tasks.
The gait performance also improved significant by 3 points on the FGA scale (from 23 to 26/30, F = 11.175, p < 0.001) and the TUG reduced by 2.23 sec (p < 0.05). In addition, the participants reported less fear of falling in the FES-I questionnaire (from 24 to 22/64, F = 4.611, p < 0.05).
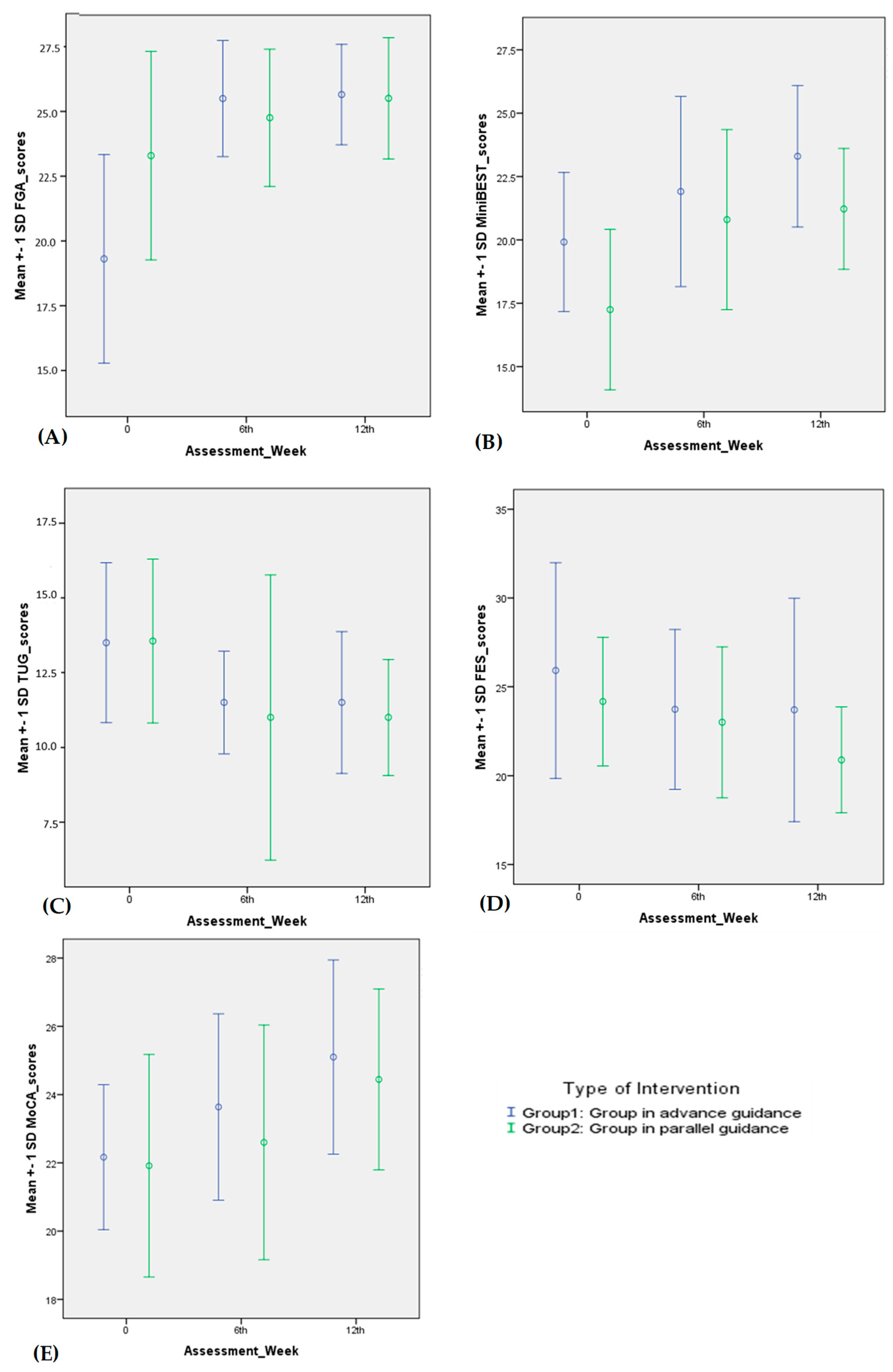
The cognitive performance of the participants was improved, as indicated by a 3 point increase in the MoCA test scoring (from 22 to 25/30, F = 13.570, p < 0.001). Figure 2 presents in detail the results of each assessment tool.
Figure 2.
Mean scores over time at the three assessments (baseline, week 6, and week 13), for the two groups (Group 1: left purple line, Group 2: right green line) regarding the measurements of (A) balance through the mini-BESTest scores, (B) gait through FGA performance and (C) TUG test, (D) fear of falling through the FES-I scores, and (E) cognitive function through the MoCA assessment. Improvements were observed over time (between the assessments) (p < 0.001) but no statistically significant differences were revealed between the two groups (p > 0.05).
The timing of visual feedback and previous exercise verbal explanation did not have any significant main effect (p > 0.05) on their assessed scores for the mini-BESTest: (F(1, 16) < 1, r = 0.23), FGA (F(1, 17) < 1, r = 0.08), FES-I: (F(1, 17) = 1, r = 0.24), or mental activities (F(1, 16) < 1, r = 0.05).
3.2. Falls Incidence and Adherence
Falls were reduced from 16% at baseline (50% in the group with advance guidance, 50% in the group with parallel guidance) to 11% during the 6-month follow up after the completion of the program. Half of the falls occurred outdoors, whereas the other half occurred on the stairs.
Regarding adherence, throughout the program this was at 79%, as assessed by the participation during the exercise sessions. The main reasons for absence were visits to the doctor and family commitments. Additionally, during the 3-month follow up, 42% of the participants adhered to the program, out of which 63% belonged to the group with advance guidance and the remaining 37% to the group with parallel guidance. Participants who did not adhere to the program claimed a lack of social interaction and the absence of daily routine.
4. Discussion
The main aim of this study was to evaluate whether the timing of the guidance delivery during the OEP intervention would affect the balance or gait performance or would have any effect on the fear of falling and fall incidence. Thus, the OEP was undertaken either with visual guidance and minimum verbal guidance during the exercise and in parallel with the group leader (parallel guidance group) or only under visual guidance as well as verbal guidance in advance (before the execution of the exercise) (advance guidance group). The results showed a significant improvement in balance, gait, and cognition as well as in the number of falls in both groups regardless of the timing of the guidance delivery.
4.1. Balance
Findings from previous studies with a similar group-based mode of OEP delivery support our results on static and dynamic equilibrium [19,49,50] and further highlight the superiority of the group format for the OEP in improving static and dynamic balance compared to the individual format, as was also reported by a recent meta-analysis [20]. Τhe balance improvement found in the present study could be explained by the multicomponent content of the OEP program which combined balance, strengthening, agility, coordination, and gait elements. Such multimodal regimens have been widely recommended by American, Canadian, and European Exercise Guidelines for improving balance and physical performance in elderly [51,52,53]. The resistance training exercises of the large muscle groups of the lower limbs enhance their strength and thus contribute to static balance as well as to more dynamic functional tasks, like gait [54]. Additionally, the tasks included in the OEP trained the participants in all balance domains, including static (through all standing tasks: standing on toes/heels, standing on one leg), dynamic (through walking tasks: forward, backwards, and sideways walking, walking on heels, walking on toes), and proactive balancing tasks (through changing position: knee bends, sit to stand from a chair).
Further emphasis, in our study, was given to the timing at and with which the guidance was given to the OEP participants. The results of this pilot study did not reveal any difference between the advance or the parallel mode of guidance delivery, implying that the time that the visual and verbal guidance is given does not change the effectiveness of the OEP on balance and gait. The presence of guidance and of augmented feedback, such as that given to the groups of the present study, have been discussed as potential contributors to the process of motor learning and to self-efficacy and intrinsic motivation during the performance of a motor task [55]. The way the information is processed may also influence the successfulness of the motor performance. Short, precise verbal cues, linguistically appropriate for the age group have been suggested as helpful ways to teach a basic movement structure [56]. Studies have shown the importance of the visual and verbal cues in the rehabilitation process. In the study of Oungphalachai et al. (2020), the static and dynamic balance ability of older adults was improved when they provided concurrent customized visual feedback during a slow and sustained single-leg training [57]. In the study of Carvalho et al. (2020), the quality of gait was improved when a Heel-to-Toe sensor device was used in patients with Parkinson Disease to give real-time auditory feedback for each step of appropriate heel strike angle. The authors highlighted the importance of real-time feedback for gait rehabilitation because “closer feedback to the time of action” facilitates the learning process [58]. Even studies using the OEP modified formats, such as the OEP with augmented reality, delivered in a DVD format, reported improvements on balance and functional ability [59,60]. Through the rich continuous audio-visual feedback that is provided by virtual reality technologies, the participant is enforced to concentrate, to quickly react to changes, to use visual–vestibular interaction, visuospatial memory, ocular motor skills, body perception, and sensory integration, thereby facilitating motor learning for balance rehabilitation and reducing the risk of falls [61]. However, still, these new augmented forms of rehabilitation, although very promising, have not been proved to be superior to conventional physiotherapy [27]. In addition, the use of virtual reality is not supported by high quality randomized trials and the results, although positive towards the improvement in balance, fear of falling, and gait, lack strong evidence [62,63].
Until now, no study has explored the efficacy of the timing that the feedback and visual-verbal guidance is delivered in relation to balance and gait in the elderly. Our study explores for the first time the importance of timing in the delivery of the exercise guidance. The OEP intervention was chosen because of its very constructive format, compared to other exercise rehabilitation programs, which vary in their optimal dose in regards to the frequency, the intensity, and the duration of therapy prescribed [14,64]. In addition, the enriching guidance that is given during the delivery of the OEP exercises stimulates the interesting question of whether the delivery time of this guidance plays a role in balance and gait improvement. In our current study, no significant differences were revealed in relation to the timing that the guidance was delivered. However, it would be of great interest if a control group was included in the study, which would not be given any guidance at all, although this is not easily feasible due to practical and safety concerns [65]. It might be helpful, though, in order to see the effectiveness of the guidance and feedback given in a more traditional exercise program, which is easily acceptable by the elderly, and without the complexity of the new virtual reality’s environmental contexts [65].
4.2. Fear of Falling
In our study, feedback about the performance of the exercise was limited and it was partially given only to the advance guidance group. The verbal and/or visual cues have the advantage of helping the participant to perceive the guidance faster and retain it longer, thus enhancing motor performance [66]. Additionally, the advance provision of the guidance engages the participants’ attention and concertation to the information provided about the activity, especially if this information is related to the use of the activity in everyday life, as an optimal procedure to learn the motor skill. This promotes the deeper involvement of the individual in the process of learning, and it is highly motivating as it promotes autonomy and perceptual capacity [67]. The parallel guidance, on the other hand, provides augmented feedback for the correct performance of the task and, therefore, promotes the ability of the participant to encompass all the elements of the task for a successful production, such as correct force dynamics, motion-dependent torques, muscle contractions, and passive forces [23,34]. This augmented task-specific feedback is an important factor for the quality of the movements and could explain the improvement in balance and the reduced concern about the possibility of a fall, which were revealed in our study. The fear of falling was significantly reduced after the intervention in both groups, without any difference between them. The above result agrees with other surveys that implemented the program for a period of time similar to ours and used the FES-I questionnaire or its short version [49,68]. Fear is a significant complication of falls and anxiety about falls leads to the limitation of activities [68,69]. Thus, by reducing fear of falling and improving the self-confidence of an individual, the intervention encourages intrinsic motivation, increases the chance of the individual repeating the performance and adhering to a long-lasting task, and reinforces the establishing of a physical performance routine. Routine physical activity would further reduce the risk of fall-related injuries in older people, thus reducing the medical care and/or hospitalization of older individuals [52].
4.3. Gait
In the present study, gait performance was also improved significantly and the TUG duration was reduced in both groups significantly, implying the efficacy of the OEP delivery and the importance of the visual and verbal cues in motor control and motor performance. In addition to strength and balance exercises, the Otago program includes walking as a form of aerobic exercise [70]. In our study, participants were encouraged to include walking in their program, but it was not a prerequisite for remaining in the study and very few of them followed it. The improvement in dynamic balance could explain the parallel enhancement in the gait quality and timing. Indeed, studies have reported the beneficial effects of visual and auditory cues on improving gait kinematic parameters, by providing continuous feedback and feedforward information to the user and, thus, engaging attentional allocation that results in an improved synchronization during walking [71,72].
4.4. Cognitive Function
Cognitive function was also improved significantly in both groups, which supports the view that multiparameter exercise, and not solely aerobic exercise, programs improve cognitive function [73]. Other studies examining the effectiveness of the Otago program in cognitive function using the MoCA scale also yielded cognitive improvements [74,75]. Additionally, our results are in line with the research of studies suggesting a high correlation between regular physical exercise and memory improvement, the efficiency of attentional and executive-control processes, object naming, orientation, and arithmetic function [76,77,78].
The analysis of our results showed that the time of delivery of the visual/verbal orders did not have a significant effect on the cognitive function between the two groups. It is noteworthy, however, that the cognitive function showed greater (although not statistically significant) improvement in the advance guidance group compared to balance, gait, and fear of falling variables, which were revealed to be slightly more improved in the parallel guidance group. The above observation raises additional questions as to whether the demonstration and explanation of the exercise before the execution and the correction during the execution ultimately improves cognitive function. Individual learning patterns and preferences may play a role in the above results. Depending on the neural circuits engaged during skill acquisition and/or the motor learning phase (cognitive, associative, and autonomous) within which an individual is [79], people may prefer different learning styles. Some individuals may prefer to receive instructions before the task, allowing them to familiarize themselves with the routine and plan their activities. In this case, the frontal and parietal areas are overactive because of the high attentional request, while in case of others who find it more effective to have guidance accessible during the exercise session, the cortical and subcortical motor areas are more activated due to a lessened reliance on attention-executive networks [80]. While motor performance improvements depend on both cortical and subcortical regions, to our knowledge, no studies have been conducted to examine the provision of feedback before and during exercise on cognitive function. However, the feedback element has been extensively studied for its importance in the learning process [81,82,83]. Indeed, positive feedback has the advantage of eliciting interest and enjoyment during the task and promoting self-efficacy [83,84]. These emotional states influence cognitive functions through plastic changes in prefrontal areas and limbic structures [85,86] and are fundamental components for motor control and motor learning [87]. The cognitive function concerns attention, awareness, and reasoning, elements on which the feedback of the advance guidance way of delivering the Otago program focuses [14]. Demonstrating and explaining the importance of the exercise before its implementation are elements that require the attention and awareness of the participant [79]. Performance correction engages the participant in a reasoning process to develop the best strategy and make them aware of the characteristics of the exercise. Additionally, by observing a task which they are later asked to reproduce, the performer is engaged to memorize a task, to decide the sequence and steps to follow in order to reproduce the task, and to solve new and different motor problems as they arise, rather than just being provided with the solution [34]. This enhances the process of learning and therefore the cognitive function of the elderly [88]. One would expect that, since the advance guidance group performed better in the cognitive test, they would have better balance and gait performance. This did not happen. However, the differences between the groups were not significant, in order to proceed with such an interpretation. The small sample size and the absence of a control group may have masked the differences between the two groups. A control group that would have completed the same exercise program but without feedback and exercise guidance at all, or to have guidance both before and during the exercise, could enhance the internal and external validity of the study and lead to more robust results.
4.5. Falls
In the present study, the total number of falls was reduced by 11% (from 16% to 5%) 6 months after the completion of the program. This percentage could be attributed to the improvement in balance, gait, and cognitive function. The fall rate for both groups was small before the beginning of the study. The rate of fall reduction, nevertheless, is clinically significant (1/3 reduction). In addition, the study sample was small and participants were already in good physical condition. Other studies have shown greater improvement in falls, such as in the study of Liu-Ambrose et al. (2008), where a 47% reduction in falls after 1 year of the Otago program was observed [15]. This study consisted of older people who were fallers and frail and, therefore, no safe comparisons could be made. However, both studies agree in the effectiveness of the OEP in reducing falls. In particular, the group mode of the OEP seems to be effective in maintaining and improving executive function, improving working memory and attention, and promoting older adult adherence to exercise leading to the better use of self-regulation strategies, which are beneficial for the prevention of falls [20,74]. Compared to other exercise programs for fall prevention, like Tai Chi, Otago seems to be better in improving balance ability [89]. The effectiveness of OEP in static balance and in the muscle strength of lower limbs can contribute to a reduction in the risk of falls in older home residents with high fall risk [90]. By promoting self-confidence, helping the elderly to overcome the fear of previous falls, and enabling them to complete self-management tasks independently, the OEP reduces the chances of falling [14,91]. However, studies of a high-quality design, double blinded procedures, and precise laboratory methods of assessment should be conducted in order for the further benefits of the Otago program to be discussed.
4.6. Adherence to the Exercise Program
Only 42% of all participants followed the program in whole or in part, while it is noteworthy that 63% of this total came from the advance guidance group. It seems that the visual/verbal instructions before the exercise, their explanation, their matching them with the activities of daily living, and thr correction performance contribute to the essential awareness of the participant for the correct execution of the exercise and the adherence of the program. The Otago program, as mentioned above, places particular emphasis on demonstrating, explaining, correcting, and emphasizing the exercises so that the participant understands what to do and when to do it [14]. In a way, it provides a feeling to the participant that he/she is actively participating in the program without being a passive recipient of information [75]. The participant, in this way, is involved in the process of performing the exercise indirectly, understanding why specific steps are followed for each exercise and what its importance is in quality of life [91]. Unlike the group with advance guidance, the group with parallel guidance did not receive correction of the exercises, thus, the feedback and its benefits in cognitive function, motivation, and self-efficacy was absent or minimal [83,84]. Therefore, the way that the advance guidance way delivers the Otago program and provides feedback may be a possible explanation for the high rate of compliance by the advance guidance team. Indeed, the motivational education of the elderly through motivational interviewing, as they follow an OEP rehabilitation program, has been found to enable adherence to exercise and increase physical performance, fall self-efficacy, activity levels, and handgrip strength in the elderly [92]. Overall, the increased adherence to the program, even 3 months after the completion of the intervention, indicates enhanced participant motivation and/or positive behavioral changes to their everyday lives [93].
4.7. Limitations of the Research and Suggestions for Further Research
This study included two equal groups with a convenient sample. This sample size, although an acceptance number for a pilot study which other studies have also used [13], is, however, very small and limits the generalizability of the findings. Further studies could consider the statistical power of the study by increasing the sample size and also by including a control group. The control group could participate by having no intervention at all, or a type of intervention, i.e., suggestions for leisure exercise like walking or swimming, or a leaflet with the OEP exercises which the participants could perform alone at home, without supervision. The presence of a control group would increase the interval validity of the study and enhance the results about the effectiveness of the OEP and the guidance time delivery. Additionally, although the effectiveness of the Otago program has not been shown to be affected by gender [94], we should note here that most of the participants were women. A more balanced quantity between males and females for the next studies would be preferable. In terms of research design, a control group with no intervention would best determine the effectiveness of the intervention. This study was also designed in a single-blinded way, where the participants did not know which group they belonged to, in accordance with other similar studies [95]. However, in order to further reduce the potential risk of bias, a double-blinded study could be designed where neither the participants nor the leaders knew which group they were in. Finally, if the person who implemented the program in the two intervention groups was different from the assessor this would further assure less bias and provide a more robust effectiveness of the OEP intervention.
Regarding the intervention, the duration of the program, 12 weeks, is consider marginal, although there are positive results from programs of shorter duration [96,97]. Also, the program was interrupted for 2 weeks due to the Christmas holidays between the 2nd and 3rd rating, and only had a 12-week follow-up period, which may not be sufficient to determine the long-term effects of exercise guidance timing on the assessed variables. Although other studies use this period of the 3 months (12 weeks) as a follow up period [16], it would, however, be of great value for, in future studies, the falls to be monitored for a follow up period of 6 months and even 1 year. A questionnaire, with a detailed record of the adherence of the participants to the exercises as well as to the suggestions and advice given by the physiotherapists, could be included. In our study, compliance was checked by telephone with participants 3 months after the program was completed, but with no assessment of the effectiveness on balance, gait, falls, and cognitive function over time. Thus, a questionnaire electronically distributed, could add more information about the motivation as well as the compliance and satisfaction of the participants.
5. Conclusions
The Otago program is a valid and reliable balance exercise program for people. Its effectiveness on balance, gait, fear of falling, and cognitive function is confirmed by the results of this study, after a 12-week program. Visual/verbal commands before the demonstration of the exercise compared to a parallel demonstration of the exercise do not seem to add to the effectiveness of the program significantly. However, the impact of the visual and verbal guidance on cognitive function in the elderly, as well as the existence of the feedback as basic components of an exercise program, should be further explored. The results of the present study highlight the need for further investigation with a larger sample and a control group. There is also a need to investigate the long-term effect of exercise guidance delivery time on fall reduction and on balance and gait.
Author Contributions
Conceptualization, V.S.; methodology, V.S. and S.L.; validation, S.L. and A.K.; formal analysis, S.L. and A.K.; investigation, V.S., S.L. and A.K.; resources, S.L. and A.K.; writing—original draft preparation, S.L. and A.K.; writing—review and editing, V.S. and S.L.; visualization, S.L. and A.K.; supervision, V.S. and S.L.; project administration, S.L. and A.K. All authors have read and agreed to the published version of the manuscript.
Funding
This research received no external funding.
Institutional Review Board Statement
The study was conducted according to the guidelines of the Declaration of Helsinki, and ethics approval was obtained by the Cyprus National Bioethics Committee (protocol code EEBK/EP/2017/46 and date of approval: 28 March 2018).
Informed Consent Statement
Informed consent was obtained from all subjects involved in the study.
Data Availability Statement
Restrictions apply to the availability of these data. Data are partly available from the corresponding author with the permission of Cyprus National Bioethics Committee.
Acknowledgments
The authors would like to thank all participants for their availability and positiveness in participating in the present study. We would also like to thank the Rehabilitation Centre of Agios Ioannis Lambadistis and the Strovolos multi-purpose center for adults (“Polydynamo Kentro Enilikon Strovolou”) which provided their facilities for undertaking the assessments and the intervention sessions during this research.
Conflicts of Interest
The authors declare no conflict of interest.
References
- Sherrington, C.; Fairhall, N.; Kwok, W.; Wallbank, G.; Tiedemann, A.; Michaleff, Z.A.; Ng, C.A.C.M.; Bauman, A. Evidence on physical activity and falls prevention for people aged 65+ years: Systematic review to inform the WHO guidelines on physical activity and sedentary behaviour. Int. J. Behav. Nutr. Phys. Act. 2020, 17, 144. [Google Scholar] [CrossRef]
- Sherrington, C.; Fairhall, N.J.; Wallbank, G.K.; Tiedemann, A.; Michaleff, Z.A.; Howard, K.; Clemson, L.; Hopewell, C.S.; Lamb, S.E. Exercise for preventing falls in older people living in the community. Cochrane Database Syst. Rev. 2019, 31, CD012424. [Google Scholar] [CrossRef]
- Zhang, Q.; Liu, Y.; Li, D.; Jia, Y.; Zhang, W.; Chen, B.; Wan, Z. Exercise intervention for the risk of falls in older adults: A protocol for systematic review and meta-analysis. Medicine 2021, 100, e24548. [Google Scholar] [CrossRef]
- Sherrington, C.; Michaleff, Z.A.; Fairhall, N.; Paul, S.S.; Tiedemann, A.; Whitney, J.; Cumming, R.G.; Herbert, R.D.; Close, J.C.T. Exercise to prevent falls in older adults: An updated systematic review and meta-analysis. Br. J. Sports Med. 2017, 51, 1750–1758. [Google Scholar] [CrossRef]
- Gillespie, L.D.; Robertson, M.C.; Gillespie, W.J.; Sherrington, C.; Gates, S.; Clemson, L.M.; Lamb, S.E. Interventions for preventing falls in older people living in the community. Cochrane Database Syst. Rev. 2012, 9, CD007146. [Google Scholar] [CrossRef]
- Taheri, M.; Irandoust, K.; Seghatoleslami, A.; Rezaei, M. The Effect of Yoga Practice Based on Biorhythms Theory on Balance and Selective Attention of the Elderly Women (Persian). Iran. J. Ageing 2018, 13, 312–323. [Google Scholar] [CrossRef]
- Taheri, M.; Irandoust, K.; Modabberi, S. An acute bout of dynamic sitting exercises improves stroop performance and quality of sleep in older adults with cognitive impairment. Int. Arch. Health Sci. 2019, 6, 126–130. [Google Scholar] [CrossRef]
- Cambell, A.L.; Robertson, M.C.; Gardner, M.M.; Norton, R.N.; Tilyard, M.W.; Buchner, D.M. Randomised controlled trial of a general practice programme of home-based exercise to prevent falls in elderly women. BMJ 1997, 315, 1065–1069. [Google Scholar] [CrossRef] [PubMed]
- Campbell, A.J.; Robertson, M.C.; La Grow, S.J.; Kerse, N.M.; Sanderson, G.F.; Jacobs, R.J.; Sharp, D.M.; Hale, L.A. Randomised controlled trial of prevention of falls in people aged ≥75 with severe visual impairment: The VIP trial. BMJ 2005, 331, 817–820. [Google Scholar] [CrossRef] [PubMed]
- Robertson, C.; Devlin, N.; Gardner, M.M.; Campbell, J. Effectiveness and economic evaluation of a nurse delivered home exercise programme to prevent falls. 1: Randomised controlled trial. BMJ 2001, 322, 697–701. [Google Scholar] [CrossRef]
- Liu-Ambrose, T.; Namagatsu, S.L.; Graf, P.; Beattie, L.; Ashe, M.C.; Handy, C.T. Resistance training and executive functions: A 12-month randomized controlled trial. Arch. Intern. Med. 2010, 170, 170–178. [Google Scholar] [CrossRef] [PubMed]
- Dadgari, A.; Hamid, T.A.; Hakim, M.N.; Chaman, R.; Mousavi, S.A.; Hin, L.P.; Dadvar, L. Randomized control trials on Otago Exercise Program (OEP) to reduce falls among elderly community dwellers in Shahroud, Iran. Iran. Red Crescent Med. J. 2016, 18, e26340. [Google Scholar] [CrossRef] [PubMed]
- Leem, S.H.; Kim, J.H.; Lee, B.H. Effects of Otago exercise combined with action observation training on balance and gait in the old people. J. Exerc. Rehabil. 2019, 15, 848–854. [Google Scholar] [CrossRef]
- Yang, Y.; Wang, K.; Hengxu, L.; Qu, J.; Wang, Y.; Chen, P.; Zhang, T.; Luo, J. The impact of Otago exercise programme on the prevention of falls in older adult: A systematic review. Front. Public Health 2022, 10, 953593. [Google Scholar] [CrossRef] [PubMed]
- Liu-Ambrose, T.; Donaldson, M.G.; Ahamed, Y.; Graf, P.; Cook, W.L.; Close, J.; Lord, S.R.; Khan, K.M. Otago home-based strength and balance retraining improves executive functioning in older fallers: A randomized controlled trial. J. Am. Geriatr. Soc. 2008, 56, 1821–1830. [Google Scholar] [CrossRef] [PubMed]
- Chen, X.; Zhao, L.; Liu, Y.; Zhou, Z.; Zhang, H.; Wei, D.; Chen, J.; Li, Y.; Ou, J.; Huang, J.; et al. Otago exercise programme for physical function and mental health among older adults with cognitive frailty during COVID-19: A randomised controlled trial. J. Clin. Nurs. 2021, 00, 1–14. [Google Scholar] [CrossRef] [PubMed]
- Arkkukangas, M.; Sundler, A.J.; Söderlund, A.; Eriksson, S.; Johansson, A.C. Older persons’ experiences of a home-based exercise program with behavioral change support. Physiother. Theory Pract. 2017, 33, 905–913. [Google Scholar] [CrossRef]
- Steltenpohl, C.N.; Shuster, M.; Peist, E.; Pham, A.; Mikels, J.A. Me Time, or We Time? Age Differences in Motivation for Exercise. Gerontologist 2019, 59, 709–717. [Google Scholar] [CrossRef]
- Kyrdalen, I.L.; Moen, K.; Røysland, A.S.; Helbostad, J.L. The Otago exercise program performed as group training versus home training in fall-prone older people: A randomized controlled trial. Physiother. Res. Int. 2014, 19, 108–116. [Google Scholar] [CrossRef]
- Chiu, H.L.; Yeh, T.T.; Lo, Y.T.; Liang, P.J.; Lee, S.C. The effects of the Otago Exercise Programme on actual and perceived balance in older adults: A meta-analysis. PLoS ONE 2021, 16, e0255780. [Google Scholar] [CrossRef]
- Peng, Y.; Yi, J.; Zhang, Y.; Sha, L.; Jin, S.; Liu, Y. The effectiveness of a group-based Otago exercise program on physical function, frailty and health status in older nursing home residents: A systematic review and meta-analysis. Geriatr. Nurs. 2023, 49, 30–43. [Google Scholar] [CrossRef] [PubMed]
- Mgbeojedo, U.G.; Akosile, C.O.; Okoye, E.C.; Ani, K.U.; Ekechukwu, E.N.; Okezue, O.C.; John, J.N.; Nwobodo, N. Effects of Otago Exercise Program on Physical and Psychosocial Functions Among Community-Dwelling and Institutionalized Older Adults: A Scoping Review. Inquiry 2023, 60, 469580231165858. [Google Scholar] [CrossRef] [PubMed]
- Wulf, G.; Chiviacowsky, S.; Schiller, E.; Ávila, L.T.G. Frequent external-focus feedback enhances motor learning. Front. Psychol. 2010, 1, 190. [Google Scholar] [CrossRef]
- Ciorap, R.; Andriţoi, D.; Casuţă, A.; Ciorap, M.; Munteanu, D. Game-based virtual reality solution for post-stroke balance rehabilitation. IOP Conf. Ser. Mater. Sci. Eng. 2022, 1254, 012037. [Google Scholar] [CrossRef]
- Janatová, M.; Pětioký, J.; Hoidekrová, K.; Veselý, T.; Hána, K.; Smrčka, P.; Štěpánek, L.; Lippert-Grünerová, M.; Jeřábek, J. System for Game-like Therapy in Balance Issues Using Audiovisual Feedback and Force Platform. Electronics 2022, 11, 1179. [Google Scholar] [CrossRef]
- Lee, K. Virtual Reality Gait Training to Promote Balance and Gait Among Older People: A Randomized Clinical Trial. Geriatrics 2021, 6, 1. [Google Scholar] [CrossRef]
- Lima Rebêlo, F.; de Souza Silva, L.F.; Doná, F.; Sales Barreto, A.; de Souza Siqueira Quintans, J. Immersive virtual reality is effective in the rehabilitation of older adults with balance disorders: A randomized clinical trial. Exp. Gerontol. 2021, 149, 111308. [Google Scholar] [CrossRef]
- Veselý, T.; Janatová, M.; Smrčka, P.; Vítězník, M.; Kliment, R.; Hána, K. Measuring of the Energy Expenditure during Balance Training Using Wearable Electronics. Electronics 2022, 11, 1096. [Google Scholar] [CrossRef]
- Park, S.; Lee, G. Full-immersion virtual reality: Adverse effects related to static balance. Neurosci. Lett. 2020, 733, 134974. [Google Scholar] [CrossRef]
- An, Q.; Jia, S.; Zhang, Y.; Wang, S.; Hu, B.; Feng, C. Construction and implementation of an evidence-based group fall prevention OEP scheme for older adult. J. Nurs. 2019, 34, 83–86. [Google Scholar]
- Sorgente, V.; Cohen, E.J.; Bravi, R.; Minciacchi, D. The Best of Two Different Visual Instructions in Improving Precision Ball-Throwing and Standing Long Jump Performances in Primary School Children. J. Funct. Morphol. Kinesiol. 2022, 7, 8. [Google Scholar] [CrossRef]
- Amri-Dardari, A.; Mkaouer, B.; Amara, S.; Hammoudi-Nassib, S.; Habacha, H.; Bensalah, F.Z. Immediate Effect of Self-Modelling with Internal Versus External Focus of Attention on Teaching/Learning Gymnastics Motor-Skills. J. Hum. Kinet. 2022, 84, 224–232. [Google Scholar] [CrossRef]
- Schmidt, R.A.; Lee, T.D. Motor control and Learning: A Behavioral Emphasis, 5th ed.; Human Kinetics: Champaign, IL, USA, 2011. [Google Scholar]
- Muratori, L.M.; Lamberg, E.M.; Quinn, L.; Duff, S.V. Applying principles of motor learning and control to upper extremity rehabilitation. J. Hand Ther. 2013, 26, 94–102. [Google Scholar] [CrossRef] [PubMed]
- Di Carlo, S.; Bravini, E.; Vercelli, S.; Massazza, G.; Ferriero, G. The Mini-BESTest: A review of psychometric properties. Int. J. Rehabil. Res. 2016, 39, 97–105. [Google Scholar] [CrossRef] [PubMed]
- Lampropoulou, S.I.; Billis, E.; Gedikoglou, I.A.; Michailidou, C.; Nowicky, A.V.; Skrinou, D.; Michailidi, F.; Chandrinou, D.; Meligkoni, M. Reliability, validity and minimal detectable change of the Mini-BESTest in Greek participants with chronic stroke. Physiother. Theory Pract. 2019, 35, 171–182. [Google Scholar] [CrossRef]
- Franchignoni, F.; Horak, F.; Godi, M.; Nardone, A.; Giordano, A. Using psychometric techniques to improve the balance evaluation systems test: The mini-bestest. J. Rehabil. Med. 2010, 42, 323–331. [Google Scholar] [CrossRef] [PubMed]
- Wrisley, D.M.; Marchetti, G.F.; Kuharsky, D.K.; Whitney, S.L. Reliability, internal consistency, and validity of data obtained with the functional gait assessment. Phys. Ther. 2004, 84, 906–918. [Google Scholar] [CrossRef]
- Thieme, H.; Ritschel, C.; Zange, C. Reliability and Validity of the Functional Gait Assessment (German Version) in Subacute Stroke Patients. Arch. Phys. Med. Rehabil. 2009, 90, 1565–1570. [Google Scholar] [CrossRef]
- Beauchet, O.; Fantino, B.; Allali, G.; Muir, S.W.; Montero-Odasso, M.; Annweiler, C. Timed Up and Go test and risk of falls in older adults: A systematic review. J. Nutr. Health Aging 2011, 15, 933–938. [Google Scholar] [CrossRef]
- Hill, H.; McMeekin, P.; Parry, S.W. Does the falls efficacy scale international version measure fear of falling: A reassessment of internal validity using a factor analytic approach. Age Ageing 2014, 43, 559–562. [Google Scholar] [CrossRef]
- Yardley, L.; Beyer, N.; Hauer, K.; Kempen, G.; Piot-Ziegler, C.; Todd, C. Development and initial validation of the Falls Efficacy Scale-International (FES-I). Age Ageing 2005, 34, 614–619. [Google Scholar] [CrossRef] [PubMed]
- Cumming, T.B.; Churilov, L.; Linden, T.; Bernhardt, J. Montreal cognitive assessment and mini-mental state examination are both valid cognitive tools in stroke. Acta Neurol. Scand. 2013, 128, 122–129. [Google Scholar] [CrossRef]
- Folstein, M.F.; Folstein, S.E.; Mchugh, P.R. “Mini-mental state”. A practical method for grading the cognitive state of patients for the clinician. J. Psychiatr. Res. 1975, 12, 189–198. [Google Scholar] [CrossRef]
- Nasreddine, Z.S.; Phillips, N.A.; Bédirian, V.; Charbonneau, S.; Whitehead, V.; Collin, I.; Cummings, L.J.; Chertkow, H. The Montreal Cognitive Assessment, MoCA: A Brief Screening Tool For Mild Cognitive Impairment. J. Am. Geriatr. Soc. 2005, 53, 695–699. [Google Scholar] [CrossRef] [PubMed]
- Srisurapanont, M.; Eurviriyanukul, K.; Suttajit, S.; Varnado, P. Internal consistency and concurrent validity of the Montreal Cognitive Assessment in individuals with major depressive disorder. Psychiatry Res. 2017, 253, 333–337. [Google Scholar] [CrossRef]
- Brenkel, M.; Shulman, K.; Hazan, E.; Herrmann, N.; Owen, A.M. Assessing Capacity in the Elderly: Comparing the MoCA with a Novel Computerized Battery of Executive Function. Dement. Geriatr. Cogn. Dis. Extra 2017, 7, 249–256. [Google Scholar] [CrossRef]
- Lampropoulou, S.; Gizeli, A.; Kalivioti, C.; Billis, E.; Gedikoglou, I.A.; Nowisky, A. Cross Cultural Adaptation of Berg Balance Scale in Greek for Various Balance Impairments. Phys. Med. Rehabil. Disabil. 2016, 2, 1–13. [Google Scholar] [CrossRef]
- Kulkarni, N.; Pouliasi, K.; Theodoritsi, M.; Mahajan, A.; Panagiatopolous, E.; Khatri, S.; Tsepis, E. Impact of Group Exercise Programme on Fall Risk in Elderly Individuals: A Pilot Study. Int. J. Health Sci. Res. 2017, 7, 265. [Google Scholar]
- Benavent-Caballer, V.; Rosado-Calatayud, P.; Segura-Ortí, E.; Amer-Cuenca, J.J.; Lisón, J.F. The effectiveness of a video-supported group-based Otago exercise programme on physical performance in community-dwelling older adults: A preliminary study. Physiotherapy 2016, 102, 280–286. [Google Scholar] [CrossRef] [PubMed]
- Franklin, B.A. Evolution of the ACSM Guidelines Historical Perspectives, New Insights, and Practical Implications. ACSM’s Health Fit. J. 2021, 25, 26–32. [Google Scholar] [CrossRef]
- Oja, P.; Titze, S. Physical activity recommendations for public health: Development and policy context. EPMA J. 2011, 2, 253–259. [Google Scholar] [CrossRef]
- Ferguson, B. ACMS’s Guidelines for Exercise Testing and Prescription. 9th ed. J. Can. Chiropr. Assoc. 2014, 58, 328. [Google Scholar]
- Porto, J.M.; Freire Júnior, R.C.; Bocarde, L.; Fernandes, J.A.; Marques, N.R.; Rodrigues, N.C.; Carvalho de Abreu, D.C. Contribution of hip abductor–adductor muscles on static and dynamic balance of community-dwelling older adults. Aging Clin. Exp. Res. 2019, 31, 621–627. [Google Scholar] [CrossRef]
- Abbas, Z.A.; North, J.S. Good-vs. poor-trial feedback in motor learning: The role of self-efficacy and intrinsic motivation across levels of task difficulty. Learn. Instr. 2018, 55, 105–112. [Google Scholar] [CrossRef]
- Zetou, E.; Kourtesis, T.; Getsiou, K.; Michalapoulou, M.; Kioumourtzoglou, E. The effect of self-modeling on skill learning and self efficacy of novice female beach-volleyball players. Athl. Insight Online J. Sport Psychol. 2008, 10, 1–14. [Google Scholar]
- Oungphalachai, T.; Siriphorn, A. Effects of training with a custom-made visual feedback device on balance and functional lower-extremity strength in older adults: A randomized controlled trial. J. Bodyw. Mov. Ther. 2020, 24, 199–205. [Google Scholar] [CrossRef]
- Carvalho, L.P.; Mate, K.K.V.; Cinar, E.; Abou-Sharkh, A.; Lafontaine, A.L.; Mayo, N.E. A new approach toward gait training in patients with Parkinson’s Disease. Gait Posture 2020, 81, 14–20. [Google Scholar] [CrossRef]
- Martins, A.C.; Santos, C.; Silva, C.; Baltazar, D.; Moreira, J.; Tavares, N. Does modified Otago Exercise Program improves balance in older people? A systematic review. Prev. Med. Rep. 2018, 11, 231–239. [Google Scholar] [CrossRef]
- Lytras, D.; Sykaras, E.; Iakovidis, P.; Komisopoulos, C.; Chasapis, G.; Mouratidou, C. Effects of a modified Otago exercise program delivered through outpatient physical therapy to community-dwelling older adult fallers in Greece during the COVID-19 pandemic: A controlled, randomized, multicenter trial. Eur. Geriatr. Med. 2022, 13, 893–906. [Google Scholar] [CrossRef]
- Gazzola, J.M.; Caovilla, H.H.; Doná, F.; Ganança, M.M.; Ganança, F.F. A quantitative analysis of postural control in elderly patients with vestibular disorders using visual stimulation by virtual reality. Braz. J. Otorhinolaryngol. 2020, 86, 593–601. [Google Scholar] [CrossRef]
- de Amorim, J.S.C.; Leite, R.C.; Brizola, R. Virtual reality therapy for rehabilitation of balance in the elderly: A systematic review and META-analysis. Adv. Rheumatol. 2018, 58, 18. [Google Scholar] [CrossRef] [PubMed]
- Dermody, G.; Whitehead, L.; Wilson, G.; Glass, C. The Role of Virtual Reality in Improving Health Outcomes for Community-Dwelling Older Adults: Systematic Review. J. Med. Internet Res. 2020, 22, e17331. [Google Scholar] [CrossRef]
- Shubert, T.E. Evidence-based exercise prescription for balance and falls prevention: A current review of the literature. J. Geriatr. Phys. Ther. 2011, 34, 100–108. [Google Scholar] [CrossRef] [PubMed]
- Lubetzky, A.V.; Kelly, J.L.; Hujsak, B.D.; Liu, J.; Harel, D.; Cosetti, M. Postural and Head Control Given Different Environmental Contexts. Front. Neurol. 2021, 12, 597404. [Google Scholar] [CrossRef] [PubMed]
- Moinuddin, A.; Goel, A.; Sethi, Y. The Role of Augmented Feedback on Motor Learning: A Systematic Review. Cureus 2021, 13, e19695. [Google Scholar] [CrossRef]
- Chiviacowsky, S.; Wulf, G.; Lewthwaite, R.; Campos, T. Motor learning benefits of self-controlled practice in persons with Parkinson’s disease. Gait Posture 2012, 35, 601–605. [Google Scholar] [CrossRef] [PubMed]
- Yoo, H.N.; Chung, E.; Lee, B.H. The Effects of Augmented Reality-based Otago Exercise on Balance, Gait, and Falls Efficacy of Elderly Women. J. Phys. Ther. Sci. 2013, 25, 797–801. [Google Scholar] [CrossRef]
- Bjerk, M.; Brovold, T.; Skelton, D.A.; Bergland, A. A falls prevention programme to improve quality of life, physical function and falls efficacy in older people receiving home help services: Study protocol for a randomised controlled trial. BMC Health Serv. Res. 2017, 17, 559. [Google Scholar] [CrossRef]
- Yi, M.; Zhang, W.; Zhang, X.; Zhou, J.; Wang, Z. The effectiveness of Otago exercise program in older adults with frailty or pre-frailty: A systematic review and meta-analysis. Arch. Gerontol. Geriatr. 2023, 114, 105083. [Google Scholar] [CrossRef]
- Deepa, S.; Ramana, K. External cueing on gait parameters in Parkinson’s disease. Int. J. Res. Pharm. Sci. 2019, 10, 2452–2456. [Google Scholar] [CrossRef]
- Vaz, J.R.; Rand, T.; Fujan-Hansen, J.; Mukherjee, M.; Stergiou, N. Auditory and Visual External Cues Have Different Effects on Spatial but Similar Effects on Temporal Measures of Gait Variability. Front. Physiol. 2020, 11, 67. [Google Scholar] [CrossRef]
- Granacher, U. Effects of balance and resistance training in children, adolescents, and seniors. Sportwissenschaft 2012, 42, 17–29. [Google Scholar] [CrossRef]
- Davis, J.C.; Rhodes, R.E.; Khan, K.M.; Mansournia, M.A.; Khosravi, A.; Chan, P.; Zhao, M.; Jehu, D.A.; Liu-Ambrose, T. Cognitive function and functional mobility predict exercise adherence in older adults who fall. Gerontology 2021, 67, 350–356. [Google Scholar] [CrossRef]
- Liu-Ambrose, T.; Davis, J.C.; Falck, R.S.; Best, J.R.; Dao, E.; Vesely, K.; Ghag, C.; Rosano, C.; Hsu, C.L.; Dian, L.; et al. Exercise, processing speed, and subsequent falls: A secondary analysis of a 12-month randomized controlled trial. J. Gerontol. A Biol. Sci. Med. Sci. 2021, 76, 675–682. [Google Scholar] [CrossRef] [PubMed]
- Rogge, A.K.; Röder, B.; Zech, A.; Nagel, V.; Hollander, K.; Braumann, K.M.; Hotting, K. Balance training improves memory and spatial cognition in healthy adults. Sci. Rep. 2017, 7, 5661. [Google Scholar] [CrossRef]
- Kumar, M.; Srivastava, S.; Muhammad, T. Relationship between physical activity and cognitive functioning among older Indian adults. Sci. Rep. 2022, 12, 2725. [Google Scholar] [CrossRef]
- Mandolesi, L.; Polverino, A.; Montuori, S.; Foti, F.; Ferraioli, G.; Sorrentino, P.; Sorrentino, G. Effects of physical exercise on cognitive functioning and wellbeing: Biological and psychological benefits. Front. Psychol. 2018, 9, 509. [Google Scholar] [CrossRef]
- Marinelli, L.; Quartarone, A.; Hallett, M.; Frazzitta, G.; Ghilardi, M.F. The many facets of motor learning and their relevance for Parkinson’s disease. Clin. Neurophysiol. 2017, 128, 1127–1141. [Google Scholar] [CrossRef] [PubMed]
- Beroukhim-Kay, D.; Kim, B.; Monterosso, J.; Lewthwaite, R.; Winstein, C. Different Patterns of Neural Activity Characterize Motor Skill Performance During Acquisition and Retention. Front. Hum. Neurosci. 2022, 16, 900405. [Google Scholar] [CrossRef]
- Chiviacowsky, S.; Wulf, G. Feedback after good trials enhances learning. Res. Q. Exerc. Sport. 2007, 78, 40–47. [Google Scholar] [CrossRef]
- Arbel, Y.; Murphy, A.; Donchin, E. On the utility of positive and negative feedback in a paired-associate learning task. J. Cogn. Neurosci. 2014, 26, 1445–1453. [Google Scholar] [CrossRef]
- Peifer, C.; Schönfeld, P.; Wolters, G.; Aust, F.; Margraf, J. Well Done! Effects of Positive Feedback on Perceived Self-Efficacy, Flow and Performance in a Mental Arithmetic Task. Front. Psychol. 2020, 11, 1008. [Google Scholar] [CrossRef]
- Trewick, N.; Neumann, D.L.; Hamilton, K. Effect of affective feedback and competitiveness on performance and the psychological experience of exercise within a virtual reality environment. PLoS ONE. 2022, 17, e0268460. [Google Scholar] [CrossRef] [PubMed]
- Barbas, H. Connections underlying the synthesis of cognition, memory, and emotion in primate prefrontal cortices. Brain Res. Bull. 2000, 52, 319–330. [Google Scholar] [CrossRef]
- Goldhacker, M.; Rosengarth, K.; Plank, T.; Greenlee, M.W. The effect of feedback on performance and brain activation during perceptual learning. Vision Res. 2014, 99, 99–110. [Google Scholar] [CrossRef]
- Wulf, G.; Shea, C.; Lewthwaite, R. Motor skill learning and performance: A review of influential factors. Med. Educ. 2009, 44, 75–84. [Google Scholar] [CrossRef]
- Gomez-Pinilla, F.; Hillman, C. The influence of exercise on cognitive abilities. Compr. Physiol. 2013, 3, 403–428. [Google Scholar] [CrossRef]
- Son, N.K.; Ryu, Y.U.; Jeong, H.W.; Jang, Y.H.; Kim, H.D. Comparison of 2 different exercise approaches: Tai Chi Versus Otago, in community-dwelling older women. J. Geriatr. Phys. Ther. 2016, 39, 51–57. [Google Scholar] [CrossRef] [PubMed]
- Jahanpeyma, P.; Kayhan Koçak, F.Ö.; Yildirim, Y.; Sahin, S.; Senuzun Aykar, F. Effects of the Otago exercise program on falls, balance, and physical performance in older nursing home residents with high fall risk: A randomized controlled trial. Eur. Geriatr. Med. 2021, 12, 107–115. [Google Scholar] [CrossRef]
- Cederbom, S.; Bjerk, M.; Bergland, A. A qualitative study exploring physical therapists’ views on the Otago Exercise Programme for fall prevention: A stepping stone to “age in place” and to give faith in the future. Physiother. Theory Pract. 2022, 38, 132–140. [Google Scholar] [CrossRef] [PubMed]
- Arkkukangas, M. Evaluation of the Otago Exercise Programme with or without Motivational Interviewing: Feasibility, Experiences, Effects and Adherence among Older Community-Dwelling People. Ph.D. Thesis, Mälardalen University Press, Västerås, Sweden, 2017. [Google Scholar]
- Stødle, I.V.; Debesay, J.; Pajalic, Z.; Lid, I.M.; Bergland, A. The experience of motivation and adherence to group-based exercise of Norwegians aged 80 and more: A qualitative study. Arch. Public Health 2019, 77, 26. [Google Scholar] [CrossRef] [PubMed]
- Sandlund, M.; Skelton, D.A.; Pohl, P.; Ahlgren, C.; Melander-Wikman, A.; Lundin-Olsson, L. Gender perspectives on views and preferences of older people on exercise to prevent falls: A systematic mixed studies review. BMC Geriatr. 2017, 17, 58. [Google Scholar] [CrossRef]
- Iliffe, S.; Kendrick, D.; Morris, R.; Griffin, M.; Haworth, D.; Carpenter, H.; Masud, T.; Skelton, D.A.; Dinan-Young, S.; Bowling, A.; et al. ProAct65+ research team. Promoting physical activity in older people in general practice: ProAct65+ cluster randomised controlled trial. Br. J. Gen. Pract. 2015, 65, e731–e738. [Google Scholar] [CrossRef] [PubMed]
- Shubert, T.E.; Smith, M.L.; Ory, M.G.; Clarke, C.B.; Bomberger, S.A.; Roberts, E.; Busby-Whitehead, J. Translation of the Otago Exercise Program for adoption and implementation in the United States. Front. Public Health 2015, 2, 152. [Google Scholar] [CrossRef]
- Shubert, T.E.; Goto, L.S.; Smith, M.L.; Jiang, L.; Rudman, H.; Ory, M.G. The otago exercise program: Innovative delivery models to maximize sustained outcomes for high risk, homebound older adults. Front. Public Health 2017, 5, 54. [Google Scholar] [CrossRef]
Disclaimer/Publisher’s Note: The statements, opinions and data contained in all publications are solely those of the individual author(s) and contributor(s) and not of MDPI and/or the editor(s). MDPI and/or the editor(s) disclaim responsibility for any injury to people or property resulting from any ideas, methods, instructions or products referred to in the content. |
© 2023 by the authors. Licensee MDPI, Basel, Switzerland. This article is an open access article distributed under the terms and conditions of the Creative Commons Attribution (CC BY) license (https://creativecommons.org/licenses/by/4.0/).

