Next Article in Journal
Optimized Implementation of Argon2 Utilizing the Graphics Processing Unit
Previous Article in Journal
Discrete Integral Optimal Controller for Quadrotor Attitude Stabilization: Experimental Results
 
 
Font Type:
Arial Georgia Verdana
Font Size:
Aa Aa Aa
Line Spacing:
Column Width:
Background:
Article

Investigation of Surface Defects in Optical Components Based on Reflection Mueller Matrix Spectroscopy

1
Fujian Science and Technology Innovation Laboratory for Optoelectronic Information of China, Fuzhou 350108, China
2
School of Advanced Manufacturing, Fuzhou University, Quanzhou 362000, China
3
Quanzhou Institute of Equipment Manufacturing, Haixi Institutes, Chinese Academy of Sciences, Quanzhou 362000, China
4
College of Electrical Engineering and Automation, Fuzhou University, Fuzhou 350116, China
5
College of Computer and Cyber Security, Fujian Normal University, Fuzhou 350117, China
*
Author to whom correspondence should be addressed.
Appl. Sci. 2023, 13(16), 9294; https://doi.org/10.3390/app13169294
Submission received: 26 July 2023 / Revised: 12 August 2023 / Accepted: 14 August 2023 / Published: 16 August 2023

Abstract

:

Featured Application

This work can be mainly applied in the optical element surface quality evaluation field.

Abstract

Nanoscale defects on the surface of ultra-precision optical elements seriously affect the beam quality in optical systems. In response to the challenge of detecting nanoscale defects on optical component surfaces, we propose a method for the detection and classification of various types of defects on optical component surfaces via reflection Mueller matrix spectroscopy (RMMS). Firstly, an electromagnetic scattering theoretical model for various types of defects on the surface of optical elements and the incident and scattered fields were established by combining the bidirectional reflection distribution function (BRDF) and the Rayleigh–Rice vector scattering theory. Then, the optimal conditions for RMMS measurements were determined by numerically simulating the BRDF. On this basis, the surface roughness and pockmarks of the optical test plate were simulated and analyzed via RMMS, and the results were verified experimentally; then, dirty particles and pockmarks above the surface of the optical element and subsurface bubble defects (SSBD) were simulated and analyzed via RMMS. The results showed that some elements of the Mueller matrix could significantly distinguish defects on the surface of the optical element with dimensions smaller than the visible wavelength, and the dimensions of various types of defects of the element could be inverted using the values of the Mueller matrix elements. This method provides a theoretical basis and reference for the detection and classification of various types of defects in precision optical components.

1. Introduction

The detection and identification of surface defects is a key aspect of the quality evaluation of optical elements. With the wide application of precision optical instruments such as ultra-smooth optical elements [1], there is an increasing demand for the detection and identification of surface defects at the nanometer scale [2]. For example, in the inertial confinement fusion system (ICF), the aperture of optical elements can reach about 1 m, while the measurement accuracy of surface defects is required to reach the micro-nanometer level. Surface defect detection includes not only the characterization of surface morphology, surface shape errors, and fluctuations in roughness but also the identification of defects such as surface pockmarks and subsurface damage. Surface defects can be categorized as pockmarks, SSBDs, and dust particles, among others. The different types of damage and the corresponding repair techniques vary greatly; so, it is important to detect and classify various types of component defects [3].
It has been common to use manual visual inspection to evaluate the quality of ultra-precision optical components [4]. However, this method relies on manual subjective judgment, and the evaluation results are unstable and inefficient. Therefore, more and more academics are devoted to the research of inspection methods that can realize the quality evaluation of optical components, such as photothermography [5], optical interferometry [6], optical coherence tomography [7], and microscopic dark-field scattering imaging [8]. The microscopic dark-field scattering imaging method is currently the main surface defect detection method and uses a specific device to collect and image the scattered light induced by surface defects. However, the method only makes use of the radiation intensity and geometric properties of electromagnetic waves and is based on limited information. It is therefore difficult to distinguish dirty particles and pockmarks that appear as dots on dark-field intensity images [1,9]. Since different types of microscopic defects on the surface of optical elements affect the polarization state of light to different degrees, Thomas et al. [10,11] added polarization information to the original scattered light intensity information to analyze the defects existing on the surface of a sample. Bickel and Wang [12] used ray tracing to find the scattered field distribution based on the theory of polarization and put forward the idea of the Mueller’s matrix. Letnes et al. [13] used p- and s-polarized light to establish a model of the polarization effect and used all the elements in the Mueller matrix to characterize the polarization properties of the scattered light from a damaged metal surface with roughness in the order of micrometers. However, the accurate and fast detection and classification of various types of nanoscale defects on the surface of optical elements is still a great challenge.
The BRDF [10] is a commonly used function for modeling and investigating the surface scattering properties of optical elements and is defined as the ratio of the irradiance exiting through the target surface to the irradiance incident on the target surface. The polarized bidirectional reflection distribution function (pBRDF) is generalized to the polarization case by means of the Mueller matrix based on the BRDF [14]. In the field of defect detection, pBRDF can consider the spatial scattering distribution of various defects on the surface of an optical element more comprehensively than the BRDF. It is able not only to completely describe the light scattering distribution of defects on the surface of the element, but also to characterize the light scattering polarization properties of the target defects. Therefore, the pBRDF has become an important tool for obtaining polarization detection information of target defects [15]. When the incident and reflected light are described using Jones vectors, the pBRDF becomes a Mueller matrix characterizing the polarization transmission of the optical element, according to the transformation relationship between the Jones matrix and the Mueller matrix [3].
Based on the principle that different physical properties of the surface defects of optical elements lead to a different modulation of the polarization state of the reflected light, this paper proposes a new method for the optical identification of surface roughness [14,16], pockmarks, dirty particles above the surface, and SSBDs [17] in optical elements using RMMS. In this method, firstly, the combination of the BRDF and the Rayleigh–Rice vector scattering theory is innovatively proposed to construct the pBRDF model for various types of defects on the surface of optical elements, and then the BRDF is numerically analyzed to obtain the optimal detection conditions for defects on the surface of optical elements. On this basis, surface roughness and pockmarks on the surface of optical elements made of borosilicate at the nanometer level were simulated and analyzed via RMMS, and the accuracy of the simulation results was verified through spectroscopic ellipsometry experiments. Then, dirty particles and pockmarks, as well as SSBD, on the surface of the optical element were simulated and analyzed via RMMS [13]. Based on the RMMS of various types of defects on the surface of optical elements, the detection and classification of pockmarks, roughness, dirty particles, and SSBD on the surface of optical elements were realized [10,18,19]. Finally, the analysis of the one-to-one correspondence between the RMMS measurements and the size of various types of defects allowed the calculation of the dimensions of various types of defects utilizing Muller’s matrix elements [17].

2. Theory

When a defect on the surface of a light element is illuminated, it displays various reflection characteristics based on the angles of incidence, zenith, and azimuth. This characteristic can be described using the BRDF [20], which is defined as the ratio of the irradiance d L ( θ i , φ i ; θ s , φ s ) exiting the defect surface in direction ( θ s , φ s ) to the irradiance d E ( θ i , φ i ) incident upon the defect surface in direction ( θ i , φ i ) , i.e.,
B R D F ( θ i , φ i ; θ s , φ s ) = d L ( θ i , φ i ; θ s , φ s ) d E ( θ i , φ i )
where the incident angle is represented by θ i , the scattering angle by θ s , the incident azimuth by φ i , and the scattering azimuth by φ s . A schematic of the BRDF scattering geometry is shown in Figure 1 [14].
The Rayleigh–Rice theory [21] generalized the first-order vector perturbation theory. It is a scattering model based on physical optics and applies to surface scattering cases where the magnitude of the variation in the surface height profile is less than the order of the wavelength of the visible light. The Rayleigh–Rice theory deconstructs the surface profile microrough topography into numerous sinusoidal gratings with different magnitudes, spatial periods, and orientations. It then considers the scattered field of the surface as the height of each of these sinusoidal grating components. To determine the intensity of the scattered field, it is necessary to know the height of each sinusoidal grating component of the surface height profile. The power spectral density S P S D f x , f y is used, which represents the square of the average height of the surface sinusoidal grating components with spatial frequency f x , f y , and is defined as follows:
S P S D f x , f y = 1 A A z ( x , y ) e i 2 π x f x + y f y d x d y 2
where A represents the area of the scatterer, while z ( x , y ) is the surface height profile function of the scatterer, which represents the deviation of the heights of the points on its surface from the average surface height. Thus, S P S D f x , f y contains the complete dependency of the scattered field on the surface topography.

2.1. Scattering Model for Dig Defects

Digs refer to pits and blemishes on the surface of an optical element, as shown in Figure 2, which gives a composite scattering schematic of digs. For tiny-sized dig defects with depths smaller than the wavelength of visible light, often between tens to hundreds of nanometers, the Rayleigh–Rice theory effectively describes the scattering characteristics of such surface features.
According to the electromagnetic theory of physical optics, the relationship between the corresponding s- and p-components E i n c s and E i n c p of the incident field and the s- and p-components E s c a t s and E s c a t p of the scattered field can be established through the Jones matrix [3]:
E s c a t s E s c a t p = e i k r R J s s J p s J s p J p p E i n c s E i n c p
The following transformation relationship exists between the Mueller and Jones matrices [22]:
M 11 = J p p 2 + J s s 2 + J p s 2 + J s p 2 / 2 , M 12 = J p s 2 + J s s 2 J p p 2 J s p 2 / 2 , M 13 = Re J s s J s p * + J p p J p s * , M 14 = Im J s s J s p * J p p J p s * , M 21 = J s s 2 J p p 2 J p s 2 + J s p 2 / 2 , M 22 = J s s 2 + J p p 2 J p s 2 J s p 2 / 2 , M 23 = Re J s s J s p * J p p J s p * , M 24 = Im J s s J s p * + J p p J p s * , M 31 = Re J s s J p s * + J p p J s s * , M 32 = Re J s s J p s * J p p J s p * , M 33 = Re J p p J s s * + J s p J p s * , M 34 = Im J s s J p p * + J p s J s p * , M 41 = Im J p p J s p * + J p s J s s * , M 42 = Im J p p J s p * J p s J s p * , M 43 = Im J p p J s s * + J s p J p s * , M 44 = Im J p p J s s * J s p J p s * .
The expression for the scattering characteristics of the Mueller matrix (pBRDF) due to the modulation of the incident optical field by the surface digs of the optical element is given by the following equation:
pBRDF d i g = 16 π 2 λ 4 cos θ i cos θ s S P S D f x , f y × M i j
the pBRDF comprises 16 different elements, each with a distinct meaning. The value of M11 reflects the target’s ability to transmit, scatter, and reflect incident light. M12, M13, and M14 reflect the target’s ability to attenuate incident light horizontally, vertically, and in a circular bidirectional manner, respectively. M21, M31, and M41 reflect the target’s ability to polarize incident unpolarized light, and the remaining nine elements reflect the target’s ability for incident light depolarization and phase delay [15].

2.2. Scattering Model for Microrough Surfaces

The microroughness of the surface of a precision optical element causes the surface profile to be smaller than the visible wavelength by an order of magnitude. The scattering properties of this surface topography can be described using the Rayleigh–Rice theory. In this theory, the calculation of the pBRDF depends on the power spectral density (PSD) of the surface. As shown in Equation (2), the PSD is a function of the height profile z ( x , y ) of the scatterer surface, and since the microscopic morphology structure of the microrough surface is determined through stochastic processes with a certain average nature, the height profiles of the different regions of the surface are not the same, and therefore the scattering characteristics will fluctuate with a certain statistical law. Therefore, in this study, the K-correlation model function [23] is considered to fit the overall average PSD of the microrough surface as follows:
S P S D ( f ) = A 1 + ( B   ·   f ) 2 C / 2 , f = f x 2 + f y 2 .
This equation contains three adjustable parameters A, B, and C, which are related to the statistical properties of the surface roughness σ , as shown in the following equation:
A = B 2 ( C 2 ) × σ 2 2 π , B = 2 π l .
where l denotes the correlation length of the microrough surface and the value of the parameter C is 3. After determining the PSD of the surface roughness from the K-correlation model function, the pBRDF of the surface microroughness of the optical element can be calculated.

2.3. Scattering Model of Dirty Particles

Dirty particles above the surface of an optical element generally have equivalent diameters between tens of nanometers and tens of micrometers. The sample sizes of the dirty particles in the present study are smaller than the visible wavelengths. Therefore, these particles can be utilized to simplify the problem into a free-space particle scattering scenario using the two-interaction model [24] as proposed by Germer [10] and Nahm [25], as shown in Figure 3.
When the incident light irradiates the target surface at wavelength λ and angle of incidence θ i , the pBRDF expression for a particle of radius a at a distance d above the smooth surface in the direction of the scattering zenith angle θ s and the relative azimuth angle ϕ s is as follows:
pBRDF p a r t = 16 π 4 λ 4 n 1 2 1 n 1 2 + 2 2 a 6 cos θ i cos θ s N F A M i j
where N/A represents the density of particle scatterers in the irradiated region. The structure factor F depends on the correlation between scatterers and equals 1 for random and uncorrelated examples.

2.4. Scattering Model for Subsurface Bubble Defects

The bubbles in the optical components can be regarded as spherical particles with a nanometer radius, while the surrounding medium can be considered a uniform background. Due to the distribution of bubbles within the components being random, the light scattered by the bubbles can be regarded as a random distribution of spherical particles interacting with light. If the size of the bubble particles is much smaller than the wavelength of the visible light, the Rayleigh scattering theory is still applicable for studying the characteristics of bubble light scattering, even when dealing with random particle distributions. Figure 4 gives a schematic diagram of the composite scattering of bubble particles below the surface of the optical element.
When the incident light irradiates the target surface at wavelength λ and angle of incidence θ i , the pBRDF expression for a particle of radius a at a distance d below the smooth surface in the direction of the scattering zenith angle θ s and the relative azimuth angle ϕ s is as follows:
pBRDF S S D = 256 π 4 λ 4 n 1 2 n 2 2 n 1 2 + 2 n 2 2 2 a 6 × cos θ i n 2 2 sin 2 θ s 1 / 2 | γ δ | 2 n 2 3 N F A × M i j
where n 2 is the refractive index of the surface element material, | γ δ | 2 represents the depth of light penetration in the material, γ = exp i n 2 k d cos θ i is the phase delay produced by the refractive action of the surface of the optical element on the incident field, and δ = exp i n 2 k d cos θ s is the phase delay produced by the refraction of the surface of the element on the scattered field.
In summary, by analyzing and calculating the pBRDF of the above four defects, the Mueller matrices of all types of microscopic defects on the surface of the optical element can be expressed as Equation (10). Among the 16 characteristic polarization detection elements, M11 is normalized and has no significant value. The detect and classify pockmarks, roughness, dirty particles, and SSBD on the surface of the optical element on the nanoscale can be achieved using the elements of M12 (M21), M33 (M44), and M34 (M43).
M = M 11 M 12 0 0 M 21 M 22 0 0 0 0 M 33 M 34 0 0 M 43 M 44

3. Calculation of Optimal Testing Conditions

It is necessary to determine the optimal detection conditions before performing RMMS to detect and classify various types of defects on the surface of optical elements. This study uses dirty particles on the surface of optical elements and SSBDs as an example. For ultra-smooth optical elements, most of the dirty particles of interest to the surface defect detection system have a diameter of about tens of nanometers, the size of which is much smaller than the wavelength of visible light. The Rayleigh–Rice scattering model can be used to approximate the interaction of a single particulate dust with the incident light. The BRDF is used instead of the pBRDF to calculate the optimal experimental conditions, as in Equations (11) and (13), which effectively simplifies the tedious calculation process.
BRDF p a r t i c l e = 16 π 4 λ 4 n 1 2 1 n 1 2 + 2 2 a 6 cos θ i cos θ s N F A × e J J p a r t i c l e 2
where
J s s = 1 + β r s θ s 1 + α r s θ s cos ϕ s , J p s = 1 + β r s θ s 1 α r p θ i cos θ i sin ϕ s , J s p = 1 β r p θ s 1 + α r s θ i cos θ s sin ϕ s , J p p = 1 + β r p θ s 1 + α r p θ i sin θ i sin θ s 1 β r p θ s 1 α r p θ i cos θ i cos θ s cos ϕ s
BRDF S S B D = 256 π 4 λ 4 n 1 2 n 2 2 n 1 2 + 2 n 2 2 2 a 6 × cos θ i n 2 2 sin 2 θ s 1 / 2 | γ δ | 2 n 2 3 N F A × e J J S S B D 2
where
J s s = cos ϕ s cos θ i + n 2 2 sin 2 θ i 1 / 2 cos θ s + n 2 2 sin 2 θ s 1 / 2 J s p = sin ϕ s n 2 2 sin 2 θ s 1 / 2 cos θ i + n 2 2 sin 2 θ i 1 / 2 n 2 2 cos θ s + n 2 2 sin 2 θ s 1 / 2 J p s = sin ϕ s n 2 2 sin 2 θ i 1 / 2 n 2 2 cos θ i + n 2 2 sin 2 θ i 1 / 2 cos θ s + n 2 2 sin 2 θ s 1 / 2 J p p = sin θ i sin θ s n 2 2 sin 2 θ i 1 / 2 n 2 2 sin 2 θ s 1 / 2 cos ϕ s n 2 2 cos θ i + n 2 2 sin 2 θ i 1 / 2 n 2 2 cos θ s + n 2 2 sin 2 θ s 1 / 2
In this study, we take the dirty particles and SSBDs with a particle size of a = 5 nm on the surface of the optical element as an example, and draw the pseudo-color maps with radial coordinates θ s = 0 ° 90 ° , azimuthal angle ϕ s = 0 ° 360 ° , and incidence angle of 0° and 70°, respectively, as shown in Figure 5 and Figure 6.
The different combinations of polarization states are indicated by the subscripts of BRDF, with the first one representing the polarization state of the incident light and the second one representing the polarization state of the outgoing light. The distributions of BRDFss, BRDFsp, and BRDFps (corresponding to (i), (ii), and (iii) in Figure 5 and Figure 6, respectively) for dirty particles above the surface and SSBD defects do not change significantly for different incidence angles, and all of them show symmetric distributions. On the other hand, BRDFpp (iv) exhibits an asymmetric distribution.
The reason for this, as can be seen from Equations (12) and (14), is that the three polarization factors Jss, Jsp, and Jps in the Jones matrix have the same function term ϕ s , so the scattering of the two kinds of particles will be superimposed in the scattering component measurement, resulting in the pseudo-color maps of the three polarization factors, Jss, Jsp, and Jps, which are almost the same. In contrast, the polarization factor Jpp lacks the common functional term ϕ s as described above, and its respective expression is significantly different. Therefore, it is theoretically possible to characterize the optimal detection conditions for dirty particles and SSBD above the surface of an optical element by using the relationship between the BRDFpp and the refractive index, the angle of incidence, the scattering angle, and the azimuthal angle.
Following this, the BRDFpp term was selected to solve for the optimal detection conditions [18]. The simulation results of the optimal detection conditions are shown in Figure 7 when the size of the dirty particles a = 5 nm, the refractive index of the particles n 1 = 1.457, and the refractive index of the material n 2 = 1.5151, and λ = 633 nm.
As θ i increases, the maximum BRDFpp corresponds to θ s , which gradually increases until the maximum value is obtained when θ s is about 70° and ϕ s = 180 ° , as shown in Figure 7a. Based on Figure 7b, the amplitude of BRDFpp at θ i = 70 ° is changed with an increase in particle size, but the trend of the scattering distribution remains unaffected, and the maximum BRDFpp value is reached at θ i = θ s = 70 ° . Similarly, analyzing surface roughness, pockmarks, and SSBD determined the optimal detection conditions for all types of defects on the optical element surface as θ i = θ s = 70 ° , ϕ s = π .

4. Results and Analysis

4.1. Simulation and Experimentation of Reflectance Mueller Matrix Spectra of Roughness and Pockmarks

Using the pBRDF theoretical model, the RMMS of surface roughness and pockmark defects of optical elements are simulated, and the parameters to be set in advance are shown in Table 1.
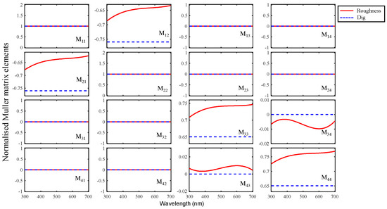
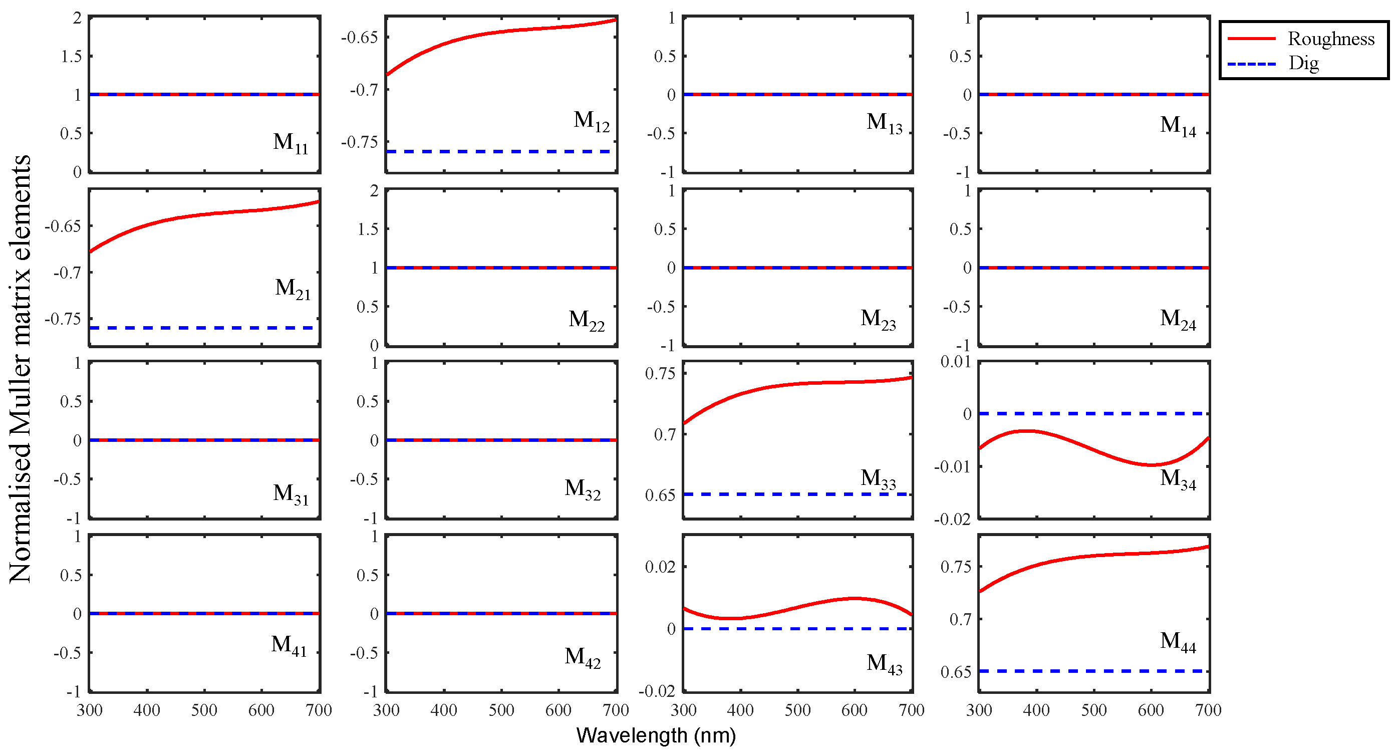
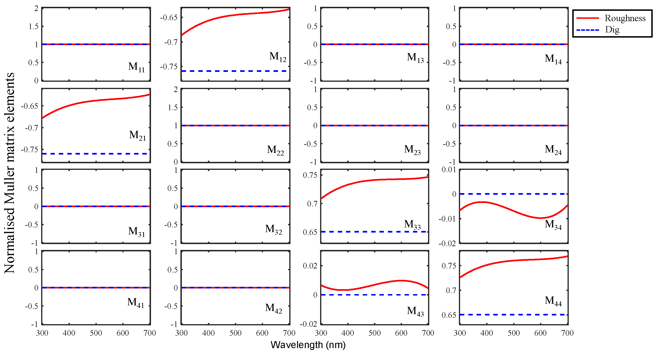
Among the 16 Muller matrix elements, M11 represents the intensity properties of light, and before analyzing the Muller matrix spectra, the remaining 15 Muller matrix elements are normalized to M11 to filter out the light intensity interference. The simulation results show that the diagonal block elements M12 (M21), M33 (M44), and M34 (M43) provide effective information, and the non-diagonal block elements M13 = M14 = M23= M24 = M31 = M32 = M41 = M42 = 0. In addition, the Muller matrix elements M12(M21), M33(M44), and M34(M43) effectively discriminate the surface roughness and digs on the optical component, as shown in Figure 8.
To verify the simulation results, an optical surface defect plate conforming to MIL–PRF–13830 B and ANSI/OEOSC OP1.002 standards was selected for experimental verification. The VK–X3000 laser microscope system was used to measure the depth of the 500 μm (±5 μm) diameter dig (Area1, Figure 9a) on the optical test plate is 50 nm (±20 nm), as shown in Figure 9b. Moreover, the arithmetic mean height of the roughness of the non-defective area on the surface of the test plate (Area2, Figure 9a) is 0.025 μm. The surface roughness and the depth of the pockmarks are much smaller than the visible wavelength. This fulfils the preconditions of the Rayleigh–Rice vector scattering theory.
The RMMS of the surface roughness and speckles on the optical test plate was measured using the HORIBA UVISEL PLUS ellipsometer [26,27]. The ellipsometer uses a 75 W xenon lamp as the light source, and the spectral range covers 190–2100 nm. The experiments were performed with a spot size of 50 μm and a light source wavelength of 300–700 nm. The ellipsometer was configured according to the optimal detection conditions determined in Section 3, with the incident and scattering angles set at θ i = θ s = 70 ° and the azimuth angle at ϕ s = π , as shown in Figure 10.
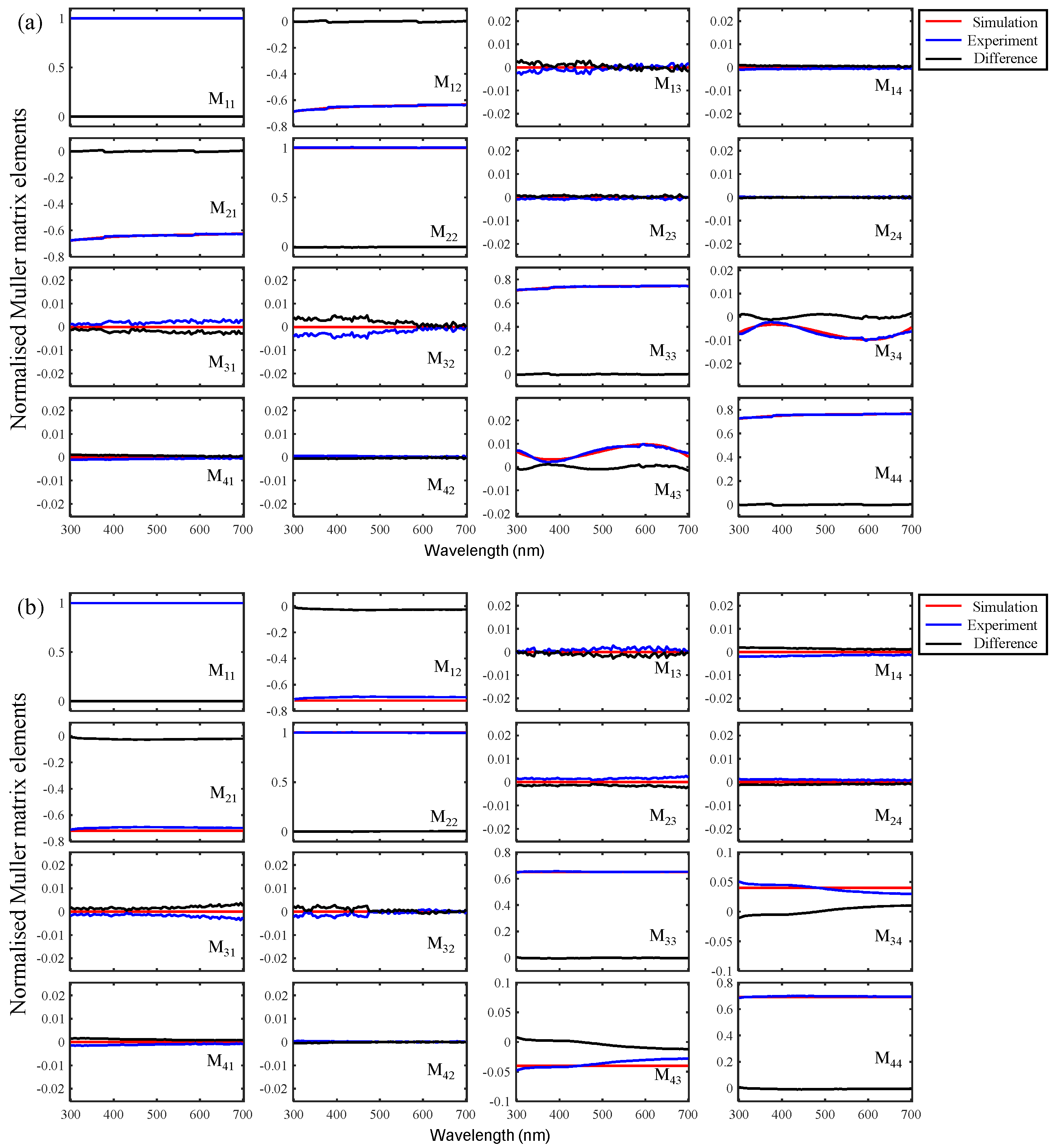
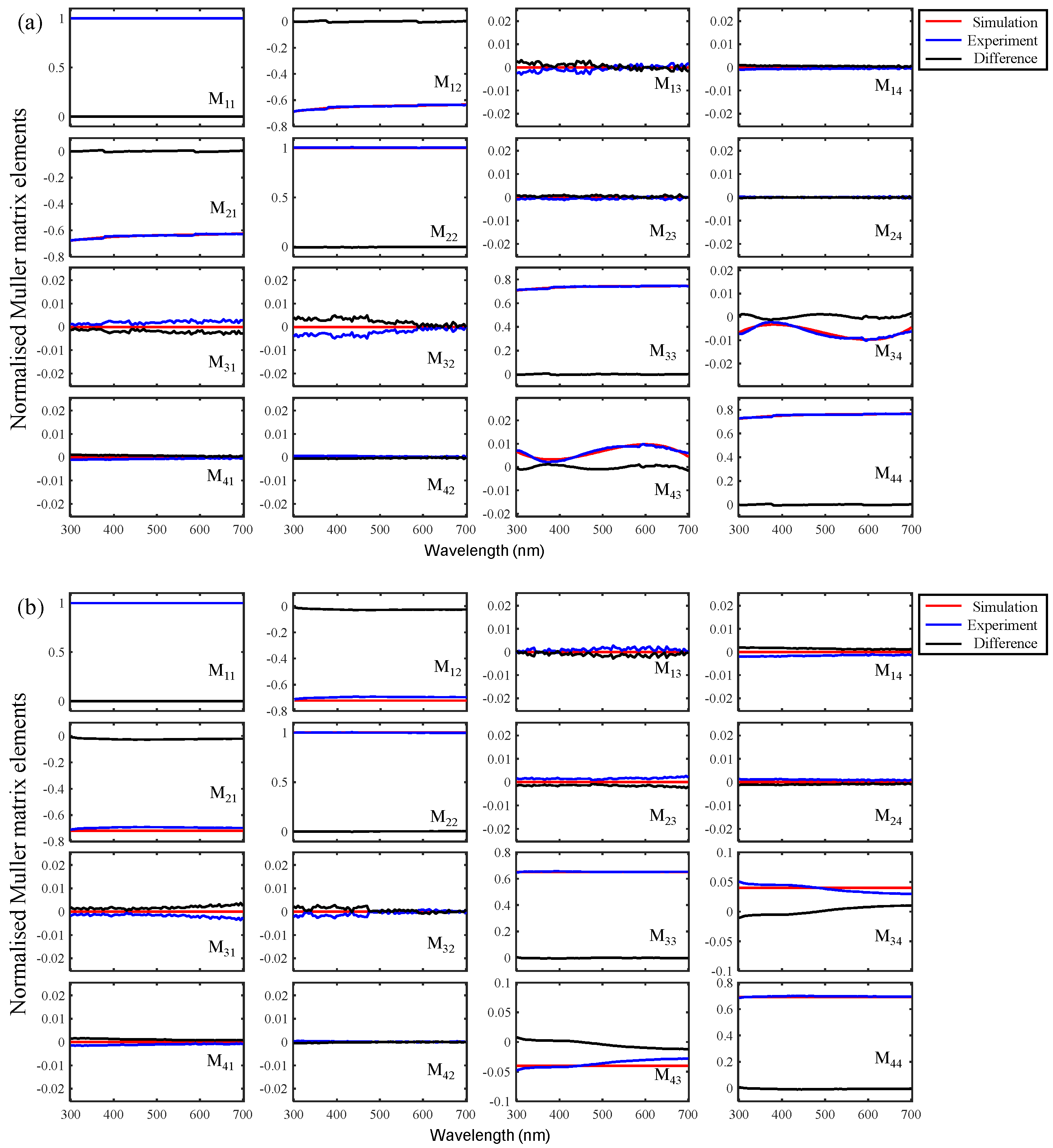
The measured RMMS of the surface roughness and digs of the optical test plate are shown in Figure 11. The difference curves between the actual measured values and the simulated values are shown in Figure 12, with the mean value of the difference being −0.005 and the maximum value being 0.06. From the results of the difference between the simulated and experimentally measured Muller matrix elements, the simulated curves and the measured curves overlap almost completely, which verifies that the RMMS model of this study is accurate.
In combination with Figure 8, the Mueller matrix elements M12 (M21), M33 (M44), and M34 (M43) can effectively differentiate between the surface roughness and pockmarks of optical elements. The Mueller matrix values of M12 (M21) and M33 (M44) for roughness increase gradually with wavelength, while M34 (M43) shows certain fluctuation. In addition, the Mueller matrix values of digs remain stable despite changes in wavelength. This provides a new method for the differentiation of roughness and digs.

4.2. Simulation of Reflected Mueller Matrix Spectra

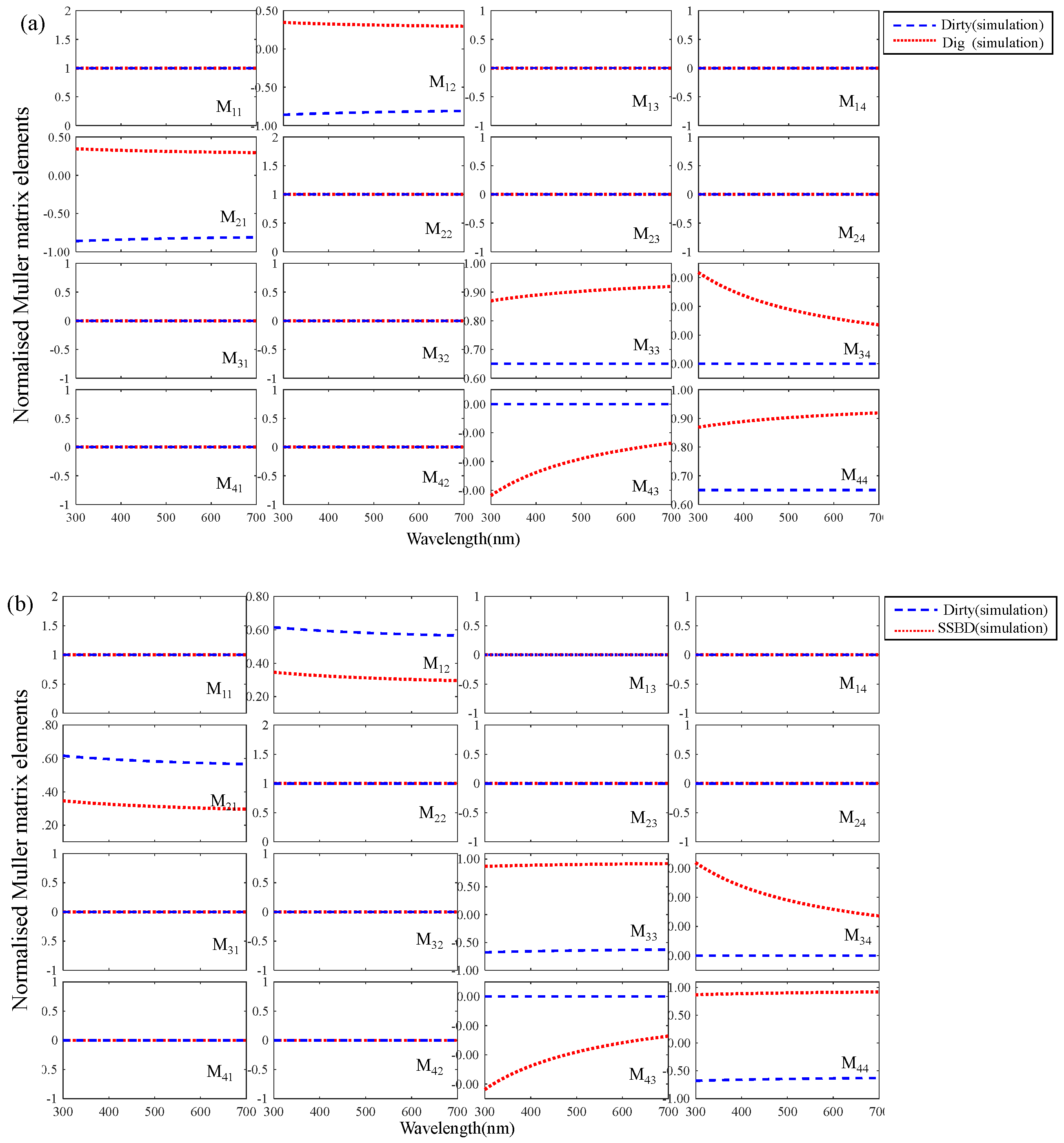
For the RMMS of dirty particles and digs and SSBDs above the surface of the optical test plate, the corresponding measurement scheme and solution method are the same as for the component surface roughness and digs. The corresponding spectral data were obtained via forward modeling employing MATLAB R2022b simulation. To investigate the difference in the RMMS of dirty particles and digs on the surface of the test plate and SSBDs, the test plate simulation model is established. When the test board is exposed to an unclean environment, the surface can often be covered with dust that is mainly composed of SiO2 particles. Therefore, the surface dirty particles are approximated as SiO2 particles for analysis. SSBDs are formed by gases that are not discharged in time during the production or processing of optical components, and the shape of the bubbles is generally rounded due to the uniform distribution of the pressure of the gas in all directions. The RMMS simulation results of dirty particles and digs and SSBDs above the surface of the test plate are shown in Figure 13.
The non-diagonal block elements of the Mueller matrix are zero, and the diagonal block elements provide valid information (consistent with Figure 8). In addition to this, the pBRDFs of digs and dirty particles given by Equation (5) and Equation (8), respectively, are significantly different, indicating that the two types of defects, dirty particles, and pockmarks, which are the same tiny point-like defects, have different polarization characteristics. These differences provide theoretical support for the detection and classification of dirty particles and pockmarks. Similarly, the different polarization characteristics of dirty particles and SSBDs are obtained from Equations (8) and (9). The above is reflected in the RMMS of the surface defects of the optical elements, which shows that the M12 (M21), M33 (M44), and M34 (M43) elements of each type of defect are significantly different, to effectively differentiate between dirty particles and digs and SSBDs.
Under optimal detection conditions, combining Figure 8 and Figure 13 showed that M12 = M21, M33 = M44, and M34 = −M43, with all non-diagonal block elements equaling 0. To further validate the conclusion, the Mueller matrix elements of the defects were plotted in polar coordinates using a radius of 5 nm dirty particles immediately adjacent to the surface of the element (at a distance of 5 nm from the surface) as an example [28]. With the wavelength as the radial coordinate and the relative azimuth as the angular coordinate, the polar coordinate plot of the 16 Mueller matrix elements of the dirty particles is obtained under the measurement scheme of θ i = θ s = 70 ° , ϕ s = 0 ° 360 ° , as shown in Figure 14, with different colors representing the magnitude of different Mueller matrix values.
It is evident that M12 = M21, M13 = M31, M14 = –M41, M23 = M32, M24 = −M42, M34 = −M43, and M33 = −M44 when ϕ s = 0 ° / 180 ° . Additionally, the non-diagonal block elements are negatively symmetric in the direction of ϕ s = 0 ° / 180 ° and equal to 0. The diagonal block elements are symmetric in the direction of ϕ s = 0 ° / 180 ° . The above conclusions can be generalized to all types of defects on the surface of optical elements. Therefore, the defect detection and classification via RMMS should emphasize the measurement results of the M12 = M21, M33 = M44, and M34 = −M43 elements.

4.3. Calculation of the Size of Each Type of Defect

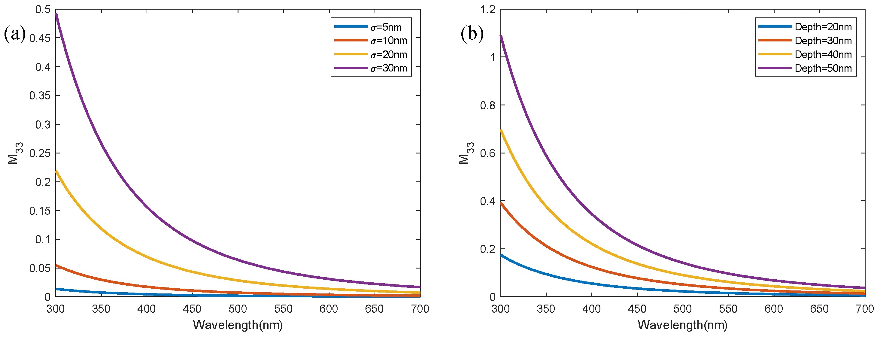
This paper further investigates the M33 element as an example as it can detect and classify various types of defects on the surface of the element, due to the relations M12 = M21, M33 = M44, and M34 = −M43. In particular, the authors analyze relationship between M33 spectral values and increasing roughness σ and the depth of the digs [29], as shown in Figure 15a,b. For further verification, setting λ = 633 nm, the M33 values show a monotonic increase with dirty particle size above the surface of the optical element, and a monotonic decrease with particle size as SSBDs increase, as shown in Figure 16, i.e., there is a one-to-one correspondence between the M33 values and the particle size dimensions. Therefore, after determining the RMMS of various types of defects, the sizes of defects with different roughness on the surface of the optical element, different depths of surface digs, and particle defects of different sizes can be calculated from the Muller matrix elements according to such relationships. This provides a theoretical basis for the measurement of defect sizes.

5. Conclusions

In this paper, based on the distinct reflection characteristics of pBRDF caused by the modulation of the incident light field by different kinds of nanoscale defects on the surface of the optical element, we proposed a method for detecting and categorizing nanoscale roughness, digs, dirty particles, and SSBDs on the surface of the optical elements via RMMS. Firstly, a numerical method was used to simulate and analyze the BRDFpp in order to obtain the optimal detection conditions θ i = θ s = 70 ° , ϕ s = π for detecting and classifying various types of defects accurately on the surface of the optical element being tested. In addition, the pBRDF scattering models of surface roughness, digs, dirty particles, and SSBDs of optical elements were established, and the experimental results showed that the Mueller matrix elements M12 = M21, M33 = M44, and M34 = −M43 can significantly distinguish the various types of defects. The dimensions of the various types of defects on the surface can be calculated using the Mueller matrix elements. This study provides a theoretical and experimental foundation for the detection and classification of surface defects on ultra-precision optical components. The Mueller matrix contains rich polarization information, and in future work the polarization parameters can be separated and extracted by decomposing the transmission Mueller matrix to further analyze the internal structure of the optical element under test.

Author Contributions

Conceptualization, R.L., F.W. and J.H.; methodology, R.L., F.W. and J.H.; software, R.L.; validation, R.L., F.W. and J.H.; formal analysis, R.L.; investigation, R.L.; resources, R.L.; data curation, R.L.; writing—original draft preparation, R.L.; writing—review and editing, R.L., F.W., H.H., W.C., Y.Z. and J.H.; visualization, R.L.; supervision, R.L., F.W. and J.H.; project administration, R.L. and J.H.; funding acquisition, J.H. All authors have read and agreed to the published version of the manuscript.

Funding

This research was funded by Quanzhou Provincial Science and Technology Project Fund, grant number 2022C009R; Fujian Provincial Science and Technology Project Fund, grant number 2021T3060; Fujian Science & Technology Innovation Laboratory for Optoelectronic Information, grant number 2021ZR107; and the External Cooperation Program of Chinese Academy of Sciences, grant number 121835KYSB20180062.

Institutional Review Board Statement

Not applicable.

Informed Consent Statement

Informed consent was obtained from all subjects involved in the study.

Data Availability Statement

The data that support the findings of this study are available from the corresponding author upon reasonable request.

Acknowledgments

The authors would like to thank Xuteng Yu of Xiamen Rare Earth Materials Research Center.

Conflicts of Interest

The authors declare no conflict of interest.

References

  1. Wu, F.; Yang, Y.; Jiang, J.; Zhang, P.; Li, Y.; Xiao, X.; Feng, G.; Bai, J.; Wang, K.; Xu, Q.; et al. Classification between Digs and Dust Particles on Optical Surfaces with Acquisition and Analysis of Polarization Characteristics. Appl. Opt. 2019, 58, 1073–1083. [Google Scholar] [CrossRef] [PubMed]
  2. Liu, C.-Y.; Fu, W.-E.; Lin, T.-Y.; Chang, C.-S.; Chen, J.-S. Nanoscale Surface Roughness Characterization by Full Field Polarized Light-Scattering. Opt. Lasers Eng. 2011, 49, 145–151. [Google Scholar] [CrossRef]
  3. Wang, H.; Zhang, Y.; Wang, D.; Liu, B.; Zhu, X.; Tian, A. Study on Scattering Light Field Distribution of Optical Element In-Surface Defects Based on Mueller Matrix. AIP Adv. 2021, 11, 115114. [Google Scholar] [CrossRef]
  4. Wu, F.; Han, J. Study on Defect Imaging Technology of Optical Elements Based on Micro-Raman Spectroscopy. Rev. Sci. Instrum. 2023, 94, 065112. [Google Scholar] [CrossRef]
  5. Gatto, A.; Commandré, M. Multiscale Mapping Technique for the Simultaneous Estimation of Absorption and Partial Scattering in Optical Coatings. Appl. Opt. 2002, 41, 225–234. [Google Scholar] [CrossRef]
  6. Wu, F.; Han, J.; Tang, F. Method for Designing Phase-Retrieval Algorithms for Ronchi Phase-Shifting Lateral-Shearing Interferometry. Appl. Opt. 2019, 58, 3379–3387. [Google Scholar] [CrossRef]
  7. Ma, P.; Ni, J.; Sun, J.; Zhang, X.; Li, J.; Chen, H. Three-Dimensional Detection and Quantification of Defects in SiC by Optical Coherence Tomography. Appl. Opt. 2020, 59, 1746–1755. [Google Scholar] [CrossRef]
  8. Liu, D.; Wang, S.; Cao, P.; Li, L.; Cheng, Z.; Gao, X.; Yang, Y. Dark-Field Microscopic Image Stitching Method for Surface Defects Evaluation of Large Fine Optics. Opt. Express 2013, 21, 5974–5987. [Google Scholar] [CrossRef]
  9. Li, L.; Liu, D.; Cao, P.; Xie, S.; Li, Y.; Chen, Y.; Yang, Y. Automated Discrimination between Digs and Dust Particles on Optical Surfaces with Dark-Field Scattering Microscopy. Appl. Opt. 2014, 53, 5131–5140. [Google Scholar] [CrossRef]
  10. Germer, T.A. Angular Dependence and Polarization of Out-of-Plane Optical Scattering from Particulate Contamination, Subsurface Defects, and Surface Microroughness. Appl. Opt. 1997, 36, 8798–8805. [Google Scholar] [CrossRef]
  11. Germer, T.A.; Asmail, C.C. Polarization of Light Scattered by Microrough Surfaces and Subsurface Defects. J. Opt. Soc. Am. A 1999, 16, 1326–1332. [Google Scholar] [CrossRef]
  12. Wang, C.; Gao, J.; Yao, T.; Wang, L.; Sun, Y.; Xie, Z.; Guo, Z. Acquiring Reflective Polarization from Arbitrary Multi-Layer Surface Based on Monte Carlo Simulation. Opt. Express 2016, 24, 9397–9411. [Google Scholar] [CrossRef] [PubMed]
  13. Letnes, P.A.; Maradudin, A.A.; Nordam, T.; Simonsen, I. Calculation of the Mueller Matrix for Scattering of Light from Two-Dimensional Rough Surfaces. Phys. Rev. A 2012, 86, 031803. [Google Scholar] [CrossRef]
  14. Zhan, H.; Voelz, D.G.; Cho, S.-Y.; Xiao, X. Complex Index of Refraction Estimation from Degree of Polarization with Diffuse Scattering Consideration. Appl. Opt. 2015, 54, 9889–9895. [Google Scholar] [CrossRef] [PubMed]
  15. Hilfiker, J.N.; Hong, N.; Schoeche, S. Mueller Matrix Spectroscopic Ellipsometry. Adv. Opt. Technol. 2022, 11, 59–91. [Google Scholar] [CrossRef]
  16. Yu, W.; Cui, C.; Li, H.; Bian, S.; Chen, X. FDTD-Based Study on Equivalent Medium Approximation Model of Surface Roughness for Thin Films Characterization Using Spectroscopic Ellipsometry. Photonics 2022, 9, 621. [Google Scholar] [CrossRef]
  17. Lou, W.; Cao, P.; Zhang, D.; Yang, Y. Optical Element Surface Defect Size Recognition Based on Decision Regression Tree. Appl. Sci. 2020, 10, 6536. [Google Scholar] [CrossRef]
  18. Liu, C.; Xu, S.; Liu, Y.; Xiao, Z. Aperture Design for a Dark-Field Wafer Defect Inspection System. Appl. Opt. 2021, 60, 10830–10837. [Google Scholar] [CrossRef]
  19. Kim, M.S.; Choi, H.-S.; Lee, S.H.; Kim, C. A High-Speed Particle-Detection in a Large Area Using Line-Laser Light Scattering. Curr. Appl. Phys. 2015, 15, 930–937. [Google Scholar] [CrossRef]
  20. Lu, M.; Zhang, S.; Wang, Z. Establishment and Verification of Diffraction BRDF Model for Scratched Material Surface. Opt. Lasers Eng. 2021, 142, 106597. [Google Scholar] [CrossRef]
  21. Ohlídal, I.; Vohánka, J.; Čermák, M. Optics of Inhomogeneous Thin Films with Defects: Application to Optical Characterization. Coatings 2021, 11, 22. [Google Scholar] [CrossRef]
  22. Alexander, C. Polarized Surface Scattering Expressed in Terms of a Bidirectional Reflectance Distribution Function Matrix. Opt. Eng. 1995, 34, 1646–1650. [Google Scholar] [CrossRef]
  23. Church, E.L.; Takacs, P.Z.; Leonard, T.A. The Prediction of BRDFs from Surface Profile Measurements; Stover, J.C., Ed.; SPIE: San Diego, CA, USA, 1990; p. 136. [Google Scholar]
  24. Li, J.; Liao, R.; Guan, C.; Wang, H.; Zhuo, Z.; Zeng, Y.; Ma, H. Particulate Mueller Matrix Polarimetry. Opt. Laser Technol. 2023, 158, 108780. [Google Scholar] [CrossRef]
  25. Nahm, K.B.; Wolfe, W.L. Light-Scattering Models for Spheres on a Conducting Plane: Comparison with Experiment. Appl. Opt. 1987, 26, 2995–2999. [Google Scholar] [CrossRef]
  26. Li, H.; Cui, C.; Bian, S.; Lu, J.; Xu, X.; Arteaga, O. Double-Sided and Single-Sided Polished 6H-SiC Wafers with Subsurface Damage Layer Studied by Mueller Matrix Ellipsometry. J. Appl. Phys. 2020, 128, 235304. [Google Scholar] [CrossRef]
  27. Li, H.; Cui, C.; Lu, J.; Hu, Z.; Lin, W.; Bian, S.; Xu, X. Mueller Matrix Ellipsometric Characterization of Nanoscale Subsurface Damage of 4H-SiC Wafers: From Grinding to CMP. Front. Phys. 2022, 9, 820637. [Google Scholar] [CrossRef]
  28. Wang, M.; Löhle, A.; Gompf, B.; Dressel, M.; Berrier, A. Physical Interpretation of Mueller Matrix Spectra: A Versatile Method Applied to Gold Gratings. Opt. Express 2017, 25, 6983–6996. [Google Scholar] [CrossRef]
  29. Arwin, H.; Schoeche, S.; Hilfiker, J.; Hartveit, M.; Järrendahl, K.; Juárez-Rivera, O.R.; Mendoza-Galván, A.; Magnusson, R. Optical Chirality Determined from Mueller Matrices. Appl. Sci. 2021, 11, 6742. [Google Scholar] [CrossRef]
Figure 1. Schematic of BRDF scattering geometry.
Figure 1. Schematic of BRDF scattering geometry.
Applsci 13 09294 g001
Figure 2. Schematic diagram of dig scattering.
Figure 2. Schematic diagram of dig scattering.
Applsci 13 09294 g002
Figure 3. Schematic diagram of the dual-interaction model.
Figure 3. Schematic diagram of the dual-interaction model.
Applsci 13 09294 g003
Figure 4. Subsurface bubble defect particle scattering schematic.
Figure 4. Subsurface bubble defect particle scattering schematic.
Applsci 13 09294 g004
Figure 5. The BRDFss (i), BRDFsp (ii), BRDFps (iii), and BRDFpp (iv) of surface dirty particles at θ i = 0 ° (a) and θ i = 70 ° (b).
Figure 5. The BRDFss (i), BRDFsp (ii), BRDFps (iii), and BRDFpp (iv) of surface dirty particles at θ i = 0 ° (a) and θ i = 70 ° (b).
Applsci 13 09294 g005
Figure 6. The BRDFss (i), BRDFsp (ii), BRDFps (iii), and BRDFpp (iv) of SSBD at θ i = 0 ° (a) and θ i = 70 ° (b).
Figure 6. The BRDFss (i), BRDFsp (ii), BRDFps (iii), and BRDFpp (iv) of SSBD at θ i = 0 ° (a) and θ i = 70 ° (b).
Applsci 13 09294 g006aApplsci 13 09294 g006b
Figure 7. (a) The BRDFpp for surface dirty particles (ivi) are θ i = 0°, 30°, 45°, 60°, 70°, and 89°, respectively. (b) The relationship between BRDFpp and scattering angle θ s for dirty particles of different sizes.
Figure 7. (a) The BRDFpp for surface dirty particles (ivi) are θ i = 0°, 30°, 45°, 60°, 70°, and 89°, respectively. (b) The relationship between BRDFpp and scattering angle θ s for dirty particles of different sizes.
Applsci 13 09294 g007
Figure 8. The simulated comparison of RMMS curves for roughness and pockmarks on optical test panels.
Figure 8. The simulated comparison of RMMS curves for roughness and pockmarks on optical test panels.
Applsci 13 09294 g008
Figure 9. (a) Three-dimensional laser microscopic pseudo-color map of digs and roughness, (b) schematic diagram of dig width and depth measurement.
Figure 9. (a) Three-dimensional laser microscopic pseudo-color map of digs and roughness, (b) schematic diagram of dig width and depth measurement.
Applsci 13 09294 g009
Figure 10. Diagram of the UVISEL PLUS ellipsometry experimental setup, PSG (Polarization State Generator) and PSA (Polarization State Analyzer).
Figure 10. Diagram of the UVISEL PLUS ellipsometry experimental setup, PSG (Polarization State Generator) and PSA (Polarization State Analyzer).
Applsci 13 09294 g010
Figure 11. The comparison of the RMMS for surface roughness and digs on the optical test plate.
Figure 11. The comparison of the RMMS for surface roughness and digs on the optical test plate.
Applsci 13 09294 g011
Figure 12. The simulated (red) and experimental (blue) RMMS of the surface roughness (a) and pockmarks (b) of the test plate as well as the difference curves between simulation and experiment (black).
Figure 12. The simulated (red) and experimental (blue) RMMS of the surface roughness (a) and pockmarks (b) of the test plate as well as the difference curves between simulation and experiment (black).
Applsci 13 09294 g012
Figure 13. (a) The RMMS of dirty particles and digs above the surface of optical test panels; (b) the RMMS of dirty particles and subsurface bubble defects above the surface of optical test panels.
Figure 13. (a) The RMMS of dirty particles and digs above the surface of optical test panels; (b) the RMMS of dirty particles and subsurface bubble defects above the surface of optical test panels.
Applsci 13 09294 g013
Figure 14. The polar plot of the reflection Mueller matrix for dirt particles above the surface of the optical test plate at θ i = θ s = 70 ° (the radial coordinate represents the wavelength, and the angular coordinate represents the azimuth angle).
Figure 14. The polar plot of the reflection Mueller matrix for dirt particles above the surface of the optical test plate at θ i = θ s = 70 ° (the radial coordinate represents the wavelength, and the angular coordinate represents the azimuth angle).
Applsci 13 09294 g014
Figure 15. (a) The relationship between σ and M33; (b) the relationship between dig depth and M33.
Figure 15. (a) The relationship between σ and M33; (b) the relationship between dig depth and M33.
Applsci 13 09294 g015
Figure 16. The relationship between the particle size of dirty particles and subsurface bubble defects above the optical test plate surface and M33.
Figure 16. The relationship between the particle size of dirty particles and subsurface bubble defects above the optical test plate surface and M33.
Applsci 13 09294 g016
Table 1. General parameter settings for surface defect scattering simulation.
Table 1. General parameter settings for surface defect scattering simulation.
Parameter NameSet Value
Detection system relatedWavelengths λ 300–700 nm
Angle of incidence θ i 70°
Scattering angle θ s 70°
Azimuth ϕ s 0°/180°
Dig depth d 50 nm
The refractive index of the test plate n 2 1.5151
Surface RelatedRelevant length l 1 μm
Disclaimer/Publisher’s Note: The statements, opinions and data contained in all publications are solely those of the individual author(s) and contributor(s) and not of MDPI and/or the editor(s). MDPI and/or the editor(s) disclaim responsibility for any injury to people or property resulting from any ideas, methods, instructions or products referred to in the content.

Share and Cite

MDPI and ACS Style

Li, R.; Wu, F.; Huang, H.; Cai, W.; Zhang, Y.; Han, J. Investigation of Surface Defects in Optical Components Based on Reflection Mueller Matrix Spectroscopy. Appl. Sci. 2023, 13, 9294. https://doi.org/10.3390/app13169294

AMA Style

Li R, Wu F, Huang H, Cai W, Zhang Y, Han J. Investigation of Surface Defects in Optical Components Based on Reflection Mueller Matrix Spectroscopy. Applied Sciences. 2023; 13(16):9294. https://doi.org/10.3390/app13169294

Chicago/Turabian Style

Li, Ruyi, Feibin Wu, Huiling Huang, Weibin Cai, Yantong Zhang, and Jun Han. 2023. "Investigation of Surface Defects in Optical Components Based on Reflection Mueller Matrix Spectroscopy" Applied Sciences 13, no. 16: 9294. https://doi.org/10.3390/app13169294

APA Style

Li, R., Wu, F., Huang, H., Cai, W., Zhang, Y., & Han, J. (2023). Investigation of Surface Defects in Optical Components Based on Reflection Mueller Matrix Spectroscopy. Applied Sciences, 13(16), 9294. https://doi.org/10.3390/app13169294

Note that from the first issue of 2016, this journal uses article numbers instead of page numbers. See further details here.

Article Metrics

Back to TopTop