Next Article in Journal
RoboTwin Metaverse Platform for Robotic Random Bin Picking
Next Article in Special Issue
Quantitative Analysis of the Stability of a Mud-Return Circulation System in a Riserless Mud-Recovery Drilling System
Previous Article in Journal
Evaluation of Glottal Inverse Filtering Techniques on OPENGLOT Synthetic Male and Female Vowels
Previous Article in Special Issue
Comparative Analysis of Machine Learning Models for Predicting Crack Propagation under Coupled Load and Temperature
 
 
Font Type:
Arial Georgia Verdana
Font Size:
Aa Aa Aa
Line Spacing:
Column Width:
Background:
Article

Event-Triggered Robust Fusion Estimation for Multi-Sensor Time-Delay Systems with Packet Drops

1
School of Automation, Qingdao University, Qingdao 266071, China
2
Shandong Key Laboratory of Industrial Control Technology, Qingdao 266071, China
*
Author to whom correspondence should be addressed.
Appl. Sci. 2023, 13(15), 8778; https://doi.org/10.3390/app13158778
Submission received: 26 June 2023 / Revised: 19 July 2023 / Accepted: 27 July 2023 / Published: 29 July 2023
(This article belongs to the Special Issue Fault Detection and State Estimation in Automatic Control)

Abstract

This paper investigates the robust fusion estimation problem for multi-sensor systems with communication constraints, parameter uncertainty, d-step state delays, and deterministic control inputs. The multi-sensor system consists of a fusion center and some sensor nodes with computational capabilities, between which there are random packet drops. The state augmentation method is utilized to transform a time-delay system into a non-time-delay one. The robust state estimation algorithm is derived based on the sensitivity penalty for each sensor node to reduce the impact of modelling errors, and modelling errors here are not limited to a unique form, which implies that the fusion estimator applies to a wide range of situations. An event-triggered transmission strategy has been adopted to effectively alleviate the communication burden from the sensor node to the fusion center. Moreover, the fusion estimator handles packet drops arising from unreliable channels, and the corresponding pseudo-cross-covariance matrix is provided. Some conditions are given to ensure that the estimation error of the robust fusion estimator is uniformly bounded. Two sets of numerical simulations are provided to illustrate the effectiveness of the derived fusion estimator.

1. Introduction

In the last decade, sensor systems have been extensively studied in path planning [1], environmental monitoring [2], motor control [3], and trajectory tracking [4,5], and so on. In multi-sensor systems, the accuracy and stability of the system are improved due to the joint data collection by multiple sensors. However, the impact of sensor failures or network attacks in the channel may lead to data transmission time-delay and random packet drops [6,7]. Therefore, the investigation of multi-sensor systems is of great importance.
Data processing in multi-sensor systems is performed in the form of fusion, and basic fusion methods include centralized [8,9] and distributed [10,11]. Centralized is ideally optimal, but when the number of sensors is large, fusion center data processing may be infeasible [12,13]. In contrast, the suboptimal distributed structure is more stable. As research goes further, adding an event-triggered transmission strategy to the system can reduce the energy consumption of sensors and decrease the communication burden. Ref. [14] proposed a distributed event-triggered policy in which the subsystem only broadcasts state information to neighboring nodes when the local state error exceeds a specified threshold. Ref. [15] proposed a data-driven transmission strategy based minimizing the volume of the non-transmission area. Ref. [16] proposed a trigger decision based on the estimated variance, where a copy of the Kalman filter is run at the sensor node, and its measurement is transmitted only when the measurement prediction variance exceeds a certain threshold. The event-triggered transmission strategy in [17] is based on a threshold-based strategy, where the event generator transmits a state measurement only when a signal exceeds a threshold value. A stochastic–deterministic dynamic event-triggered condition is proposed in [18].
At the same time, the treatment of time-delay problems of systems has received much attention [19]. The linear matrix inequality (LMI) [20,21] and partial differential equation (PDE) [22,23] methods are also commonly used in the time-delay treatment of systems. The state augmentation method in [24] converts time-delay systems into non-time-delay systems with excellent results. The method in [24] was used in [25] for a multi-sensor system, but random packet drop was not considered.
State estimation is a pivotal research domain within industrial automation. Consequently, numerous estimation algorithms have been formulated, encompassing the likes of the Kalman filter, Wiener filter, and other notable methodologies. In the system modeling process, modelling errors are inevitable, so the estimator performance must have no sudden changes when the system parameters reasonably deviate from their nominal parameters [26]. Those with this property are called robust state estimators, and many research methods are available [27,28,29,30]. A framework based on regularized least squares (RLS) is proposed in [27], but the modelling errors are restricted to a specific form. A filter that compromises the nominal performance and uncertainty robustness is proposed in [28]. A robust state estimator based on sensitivity penalty is proposed in [29], which is not limited to structure-specific modelling errors. In addition, a robust state estimator based on the expectation minimization of estimation error is proposed in [30]. The study [31] presents an error estimator, which can be easily implemented in the code. Therefore, it is significant to employ robust state estimators in multi-sensor systems.
In this paper, we investigated the problem of robust fusion estimation for multi-sensor systems with uncertainty, restricted communication, random packet drops, state delay, and deterministic control inputs. A robust state estimator based on state augmentation and sensitivity penalty is used at the local scale. An analytic expression for the robust fusion estimator is derived based on event-triggered, and the pseudo-cross-covariance matrix of the fusion centers is updated. The consistent boundedness of the estimation error is proved. Several simulations verify the effectiveness of the fusion estimator.
The rest of this paper is briefly described below. The problem description and a brief description of the event-triggered transmission strategy are given in Section 2. A robust fusion estimator for multi-sensor systems with state delays, deterministic control inputs, random packet drops, and communication constraints is derived in Section 3. The boundedness of the fusion estimator is studied in Section 4. Several sets of simulations are analyzed in Section 5. Section 6 concludes the paper.

2. Problem Formulation and Some Preliminaries

Consider the following discrete-time uncertain linear stochastic system with deterministic inputs and d-steps state delay
x k + 1 = A 1 , k ε k x k + A 2 , k ε k x k d + B 1 , k ε k u k + B 2 , k ε k w k y k i = C k i ε k x k + g k i ,   1 i L   , k 0
where k represents the discrete-time and i represents the sensor label. Furthermore, x k is the state, y k i is the measurement, w k represents the process noise, u k is the deterministic control input, and g k i is the compound effect of measurement and communication errors. The following assumptions need to be made to guarantee the fitness of the state estimation problem.
(a) w k and g k i are normally distributed with white noise, x 0 , w k , and g k i are mutually independent random variables.
E w k = 0 , E g k i = 0 , E x 0 E x 0 w k g k i ( ) T = Π 0 Q k δ k j R k i δ k j ,
where Π 0 , Q k , and R k i are known positive definite matrices and δ k j denotes the Kronecker symbolic function.
(b) The elements in the matrices A 1 , k ε k , A 2 , k ε k , B 1 , k ε k , B 2 , k ε k and C k i ε k are known differentiable functions of the modelling errors, and the modelling errors ε k consist of l mutually independent real-valued scalar bounded uncertainties ε k , j , j = 1 , . . . , l .
In the process of transmitting the measurement value Y from the sensor node to the fusion center, the channel may experience packet drops. A random variable r is defined to indicate the success or failure of the communication between the sensor node and the fusion center, taking the value of 1 for the successful transmission and 0 when the communication channel fails.
The aim of this paper is to develop a fusion algorithm based on local estimates from each sensor node for multi-sensor systems with parameter uncertainty, state delay, random packet drops, and communication rate limitations. To balance communication cost and estimation performance, an event-triggered transmission strategy like in [15] is used in this paper.
Consider the following measurement channel
Y = H ϕ + g
where Y R m is the measurement output, h R m × n is the measurement matrix of the system, ϕ R n represents the state, and g R m represents the measurement noise. A binary variable is denoted by t, and when t = 1 indicates that the sensor node sends a measurement Y and the other way around. The specific form of the event-triggered transmission strategy is as follows.
t k i = 0 , Y Y ˜ Ξ , 1 , others ,
in which Y ˜ R m and Ξ R m are measurable sets. Generally, the center of mass of Ξ is at the origin, that is, Ξ φ d φ = 0 . Note that the decision transmission in the event-triggered transmission strategy is actually when the difference between the measured value and the determined measured value is greater than a threshold value.
The transmission rate, a i 0 , 1 for each sensor node is derived by lim τ 1 τ k = 1 τ E t k i = a i . In addition, for any given desired transmission rate a i , a threshold Ξ can be easily determined.
Based on Lemma 1 in [15], a virtual measure Y = Y ˜ = H ε + g v is now defined, where it is uniformly distributed over, and is independent of, X and g. Suppose, f ϕ ( x ) = N x ; x ¯ , Ω x , f G ( g ) = N g ; 0 , Ω g , f Y ( y ) = N y ; H x ¯ , Ω y where Ω y = Ω g + H Ω x H T . Thus, the optimal transmission strategy is derived as
Y H x ¯ Ω 1 2 θ ,
where θ = γ m 1 1 a . The random variable Y H x ¯ Ω 1 2 obeys the chi-square distribution with a degree of freedom m where γ m is the chi-square distribution function with a degree of freedom m.
Remark 1.
The considered multi-sensor system is shown in Figure 1. Each sensor node has state estimation performance with a state delay. Each sensor sends its local state estimate to the fusion center through an unreliable communication channel. All local estimates are fused with data at the fusion center through the best linear unbiased estimation criterion.

3. The Robust Fusion Estimation Procedure

Taking into account the impact of modelling errors on estimation performance, we adopt a robust state estimation algorithm based on sensitivity penalization [29] to obtain local estimates for multi-sensor systems. A design parameter γ k i , 0 < γ k i < 1 , is defined to compromise between nominal estimation performance and performance deterioration due to modelling errors. Derived from the foundation of the Kalman filter, this robust state estimation algorithm utilizes sensitivity penalization of model uncertainty estimation errors. It shares a similar form and comparable computational complexity with the standard Kalman filter. When γ k i = 1 , this estimator degenerates to the standard Kalman filter.
By introducing the augmentation matrix X and augmenting the original system (1) with states, the system becomes
X k + 1 = A ¯ k ε k X k + B ¯ 1 , k ε k u k + B ¯ 2 , k ε k w k , y k i = C ¯ k i ε k X k + v k i ,   1 i L ,   k 0 ,
in which,
A ¯ k ε k = A 1 , k ε k 0 n × n 0 n × n A 2 , k ε k I n 0 n × n I n 0 n × n I n 0 n × n ,
B ¯ 1 , k ε k = B 1 , k ε k T 0 n × d n T T , B ¯ 2 , k ε k = B 2 , k ε k T 0 n × d n T T , C ¯ k i ε k = C k i ε k 0 n × d n .
As can be seen from the above transformation, the re-modeled system is a discrete linear uncertain system without state delay. Following the transformation of the system model from (1) to (2), it is evident that the system matrix dimension changes from n to n d + 1 .
Remark 2.
In this paper, the system is considered only for constant state delays. Based on the state augmentation method, only the system matrix, input (control) matrix, and output matrix of the system need to be changed. The method transforms the original system into a non-time-delay system, but the system dimension will increase from the original n to n(n + d). The state augmentation method is simple and suitable when the delay step is low because the computational burden will increase when it is significant. However, the time delay step is generally manageable in practical production so the problem could be more influential.
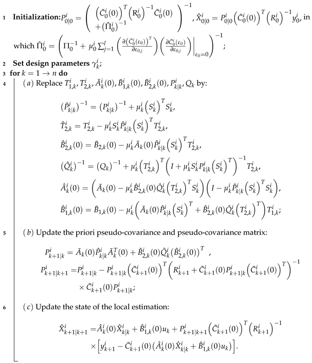
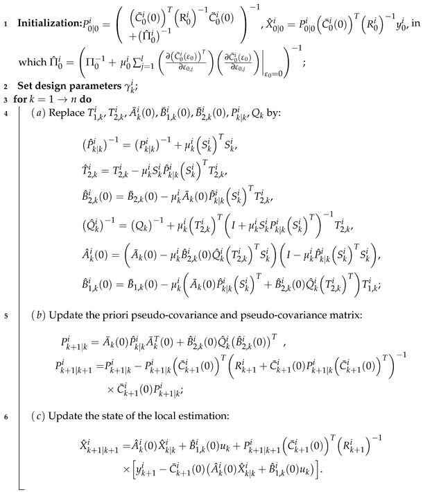
To obtain the locally robust state estimate for the i - th sensor node, we first define several important matrices S k i , T 1 , K i , and T 2 , K i , which play a key role in the parameter modification process, as follows:
S k i = S k , 1 i ( 0 , 0 ) T , , S k , l i ( 0 , 0 ) T T , T 1 , k i = T 1 , k , 1 i ( 0 , 0 ) T , , T 1 , k , l i ( 0 , 0 ) T T , T 2 , k i = T 2 , k , 1 i ( 0 , 0 ) T , , T 2 , k , l i ( 0 , 0 ) T T , S k , j i ε k , ε k + 1 = ¯ C k + 1 i ε k + 1 ε k + 1 , j A ¯ k ε k C ¯ k + 1 i ε k + 1 A ¯ k ε k ε k , j , T 1 , k , j i ε k , ε k + 1 = C ¯ k + 1 i ε k + 1 ε k + 1 , j B ¯ 1 , k ε k C ¯ k + 1 i ε k + 1 B ¯ 1 , k ε k ε k , j , T 2 , k , j i ε k , ε k + 1 = C ¯ k + 1 i ε k + 1 ε k + 1 , j B ¯ 2 , k ε k C ¯ k + 1 i ε k + 1 B ¯ 2 , k ε k ε k , j , j = 1 , 2 , , l
Let μ k i = 1 γ k i γ k i . The detailed realization of the robust state estimation algorithm based on sensitivity penalty is given in Algorithm 1.
Here P k | k i and P ^ k | k i are the pseudo-covariance matrices because P ^ k k i E X k X ^ k k i T X k X ^ k k i and P k k i E X k X ^ k | k i T X k X ^ k k i .
Based on the event-triggered transmission strategy in the second part, whether each sensor node sends a local state estimate to the fusion center is determined by t k i . The transmission strategy mentioned above can be expressed as
t k i = 0 , X ^ k k i X ¯ k k i Ω k i 2 θ i , 1 , others .
In order to guarantee the transmission rate a i , the vector X ¯ k | k i , the positive definite weight coefficient matrix Ω k i , and the positive real numbers θ i must be chosen appropriately. X ^ k | k i is the local state estimate.
Notice that each local state estimate can be interpreted as a measurement y k i of the true state X k collected through the virtual measurement channel defined as
Y k i = X ^ k | k i = X k + X ^ k | k i X k
where the estimation error X ^ k | k i X k can be regarded as virtual measurement noise.
Algorithm 1: The local robust state estimation based on sensitivity penalty (Appendix A)
Applsci 13 08778 i001
Now, considering only the event-triggered transmission strategy, (4) corresponds to the measurements received by the fusion center from sensor node i, that is, t k i = 1 . When sensor data are not transmitted, (4) will be replaced by
Y k i = X ˜ k | k i = X k + X ^ k | k i X k v k i .
Here, v k i is uniformly distributed within the ellipsoid mentioned in (3) and is not correlated with the estimation error X ^ k | k i X k .
According to the event-triggered transmission strategy, when there are packet drops in the communication channel from the estimator to the fusion center, the virtual measurement channel can be replaced with
Y k i = X ^ k k i , t k i = 1 , r k i = 1 X ^ k k 1 i , t k i = 1 , r k i = 0 X ˜ k | k i , t k i = 0
where r k i is explicitly utilized in (6) to indicate whether packet drop occurs in sensor transmission to the fusion center and r k i = 0 , 1 . The state of the multi-sensor system is shown in Table 1. For simplicity, the event-triggered is abbreviated as ET, and the success of the transmission is simplified as PD. The X ^ k | k 1 i in (6) is the predicted values of the i - th sensor node for moment k. η k i is the virtual measurement noise of the i - th virtual channel for moment k, which can be derived by
X ^ k | k 1 i = A ^ k 1 i X ^ k 1 | k 1 i + B ^ 1 , k 1 i u k 1 , η k i = X ^ k k i X k , t k i = 1 , r k i = 1 , X ^ k k 1 i X k , t k i = 1 , r k i = 0 , X ^ k k i X k g k i , t k i = 0 .
The fusion estimation with both random packet drops and event-triggered transmission strategies is investigated, and the following matrices are defined as
Y k = col t k i r k i X ^ k k i + 1 r k i X ^ k k 1 i + 1 t k i X ˜ k | k i i = 1 l , η k = col t k i r k i + 1 t k i X ^ k | k i X k i = 1 l + col t k i 1 r k i X ^ k k 1 i X k i = 1 l + col { 1 t k i g k i i = 1 l } , H = col I i i = 1 l .
The information in the fusion center is obtained from the virtual measurement channel
Y k = H X k + η k .
In accordance with the best linear unbiased criterion (BLUE) in [32], we can obtain the fusion estimate and its error covariance matrix.
X ^ k k = H T P ˜ k 1 H 1 H T P ˜ k 1 Y k , P k = H T P ˜ k 1 H 1 .
In (9), P ˜ k is the covariance matrix of the virtual measurement noise, which is the global error covariance matrix of the estimation error. From η k in (8), the expression of P ˜ k can be obtained as
P ˜ k = Γ k + d i a g 1 t k i θ i n + 2 Ω k i 1 | i = 1 l ,
in which Γ k = Γ k , 1 + Γ k , 2 + Γ k , 2 T + Γ k , 3 . The matrices Γ k , 1 , Γ k , 2 , and Γ k , 3 in the formula are equal to
Γ k , 1 = σ 1 , k 1 2 P k k 1 , 1 σ 1 , k 1 σ 1 , k l P k k 1 , l σ 1 , k l σ 1 , k 1 P k k l , 1 σ 1 , k l 2 P k k l , l , Γ k , 2 = 0 σ 1 , k 1 σ 2 , k l P ¯ k k 1 1 , l σ 1 , k l σ 2 , k 1 P ¯ k k 1 l , 1 0 , Γ k , 3 = σ 2 , k 1 2 P k k 1 1 , 1 σ 2 , k 1 σ 2 , k l P k k 1 1 , l σ 2 , k l σ 2 , k 1 P k k 1 l , 1 σ 2 , k l 2 P k k 1 l , l , σ 1 , k i = t k i r k i + 1 t k i , σ 2 , k i = t k i 1 r k i .
Then, we consider the state estimation errors of the following dynamic system.
X k + 1 = A ^ k i X k + B ^ 1 , k i u k + B ^ 2 , k i w k , y k i = C ¯ k i X k + g k i , 1 i l .
The following relationships can be easily obtained
X k + 1 X ^ k + 1 | k + 1 i = I + P k + 1 | k i C ¯ k + 1 i T R k + 1 i 1 C ¯ k + 1 i 1 × A ^ k i X k X ^ k | k i + B ^ 2 , k i w k P k + 1 | k i 1 + C ¯ k + 1 i T R k + 1 i 1 C ¯ k + 1 i 1 × C ¯ k + 1 i T R k + 1 i 1 v k + 1 i , X k + 1 X ^ k + 1 | k i = A ^ k i X k X ^ k | k i + B ^ 2 , k i w k .
According to the above equation, the explicit expressions for the three pseudo mutual covariance matrices P k + 1 k + 1 i , j , P ¯ k + 1 k i , j , and P k + 1 k i , j in (11) can be derived as follows
P k + 1 | k + 1 i , j = I P k + 1 k i C ¯ k + 1 i T × C ¯ k + 1 i P k + 1 k i C ¯ k + 1 i T + R k + 1 i 1 C ¯ k + 1 i × A ^ k i P k k i , j A ^ k j T + B ^ 2 , k i Q k B ^ 2 , k j T × I P k + 1 k j C ¯ k + 1 j T × C ¯ k + 1 j P k + 1 k j C ¯ k + 1 j T + R k + 1 j 1 C ¯ k + 1 j T , ( i j )
P ¯ k + 1 k i , j = I + P k + 1 k i C ¯ k + 1 i T R k + 1 i 1 C ¯ k + 1 i 1 × A ^ k i P k k i , j A ^ k j T + B ^ 2 , k i Q k B ^ 2 , k j T ,
P k + 1 k i , j = A ^ k i P k k i , j A ^ k j T + B ^ 2 , k i Q k B ^ 2 , k j T ,
P k + 1 | k + 1 i , i = I P k + 1 | k i C ¯ k + 1 i T × C ¯ k + 1 i P k + 1 | k i C ¯ k + 1 i T + R k + 1 i 1 C ¯ k + 1 i × A ^ k i P k | k i , i A ^ k i T + B ^ 2 , k i Q k B ^ 2 , k i T × I P k + 1 k i C ¯ k + 1 i T × C ¯ k + 1 i P k + 1 k i C ¯ k + 1 i T + R k + 1 i 1 C ¯ k + 1 i T + C ¯ k + 1 i T R k + 1 i 1 C ¯ k + 1 i + P k + 1 | k i 1 1 C ¯ k + 1 i T R k + 1 i 1 × C ¯ k + 1 i C ¯ k + 1 i T R k + 1 i 1 C ¯ k + 1 i + P k + 1 | k i 1 1 T ,
in which P k + 1 | k i , i = P k + 1 | k i , i , j = 1 , , N . P k + 1 | k + 1 i is a pseudo-covariance matrix in robust state estimation. Thus, there is P k + 1 | k + 1 i , i P k + 1 | k + 1 i .

4. Some Properties of the Fusion Estimator

This section has the goal of investigating the steady-state properties of event-triggered robust fusion estimators for multi-sensor systems with deterministic inputs, random packet drops, and state delays. Assume that the modelling errors ε k , j in this section are within the set ε , ε = ε ε k , j 1 , j = 1 , 2 , , l } . The matrices A 1 , k 0 0 n × n ( d 1 ) A 2 , k 0 I n d 0 n d × n , B 2 , k 0 0 n × d n , and C k i 0 0 m × d n are denoted as M k , F k , and O k i , respectively. In addition, the following assumptions need to be made.
(A) A 1 , k 0 , A 2 , k 0 , B 1 , k 0 , B 2 , k 0 , C k i 0 , R k i , Q k , S k i , T 1 , k i , T 2 , k i , and γ k i are time-invariant.
(B) The uncertain linear system of (1) is exponentially stable in the sense of Lyapunov and the matrices A 1 , k ε k , A 2 , k ε k , B 1 , k ε k , B 2 , k ε k , C k i ε k , Π k , R k i , Q k are bounded whenever k > 0 and ε k ε .
(C) For every sensor node, M k , N k i is detectable and the following matrix pair is detectable
M k T λ k i S k i T I n ( d + 1 ) + λ k i T 2 , k i Q k T 2 , k i T 1 T 2 , k i Q k F k T I n ( d + 1 ) + λ k i Q k 1 2 T 2 , k i T T 2 , k i Q k 1 2 1 2 Q k 1 2 F k T T ,
where N k i = R k i 1 2 O k i λ k i S k i .
Theorem 1
([15]). Suppose that Assumptions (A), (B), and (C) hold and that each sensor transmits local estimate X ^ k | k i according to the event-triggered transmission strategy. If the weight matrix Ω k i of the sensor node satisfies the condition
Ω k i ω i I
for some positive real number ω i , the estimation error X k X ^ k | k is consistently bounded for any possible choice of X ˜ k | k i , k Z + , which means
lim k sup E X k X ^ k | k 2 < + .
Proof of Theorem 1.
Let X ¯ k | k be the estimate obtained at time k through Y ¯ k instead of Y k , Y ¯ k = col σ 1 , k i X ^ k k i + σ 2 , k i X ^ k k 1 i i = 1 l , which gives
X ^ k | k = X ¯ k | k + H T P ˜ k 1 H 1 H T P ˜ k 1 Y k Y ¯ k ,
so we have
E X k X ^ k k 2 2 E X k X ¯ k k 2 + 2 H T P ˜ k 1 H 1 H T P ˜ k 1 2 × E Y k Y ¯ k 2 .
Taking into account the first term on the right-hand side in (15), since X ¯ k | k is based on the vector y ¯ k , the following inequality can be obtained
E X k X ¯ k | k 2 t r H T P ˜ k 1 H 1 .
According to Assumptions (A), (B), and (C), then P k | k i , i is convergent, and P ¯ k | k 1 i , j i j and P k | k 1 i , i are also convergent [33]. The estimation error has a bounded covariance matrix at each k. This indicates that Γ k is converged, and the estimation error covariance matrix is bounded.
From the inequality condition in Theorem 1 and the remainder of P ˜ k , we can obtain
t r 1 t k i θ i n + 2 Ω k i 1 = 1 t k i θ i n + 2 t r Ω k i 1 1 t k i θ i n + 2 ω i .
Hence, the uniform boundedness of E X k X ¯ k k 2 can be obtained by (16). Now it is only necessary to prove that the second part of the right-hand side of inequality (15) is uniform boundedness. Under the inequality condition in Theorem 1, it can be obtained as
X ^ k k i X ¯ k k i Ω k i 2 ω i X ^ k k i X ¯ k k i 2 .
When t k i = 0 , it means that there is X ^ k | k i X ¯ k | k i Ω k i 2 θ i . Furthermore, it can be obtained that X ^ k | k i X ¯ k | k i 2 θ i / ω i , then Y k Y ¯ k 2 Σ i = 1 l θ i / ω i . The proof is done. □
To minimize the volume of the non-transported region, X ¯ k | k i and Ω k i can be appropriately denoted as
X ¯ k | k i = X ^ k | k 1 i = A ^ k 1 i X ^ k 1 | k 1 i , Ω k i = 1 t r P ˜ k | k 1 i P ˜ k | k 1 i 1 ,
in which P ˜ k | k 1 i = A ¯ k 1 σ 1 , k 1 i P k 1 k 1 i , i + σ 2 , k 1 i P k 1 k 2 i + 1 t k 1 i θ i n + 2 Ω k 1 i 1 A ¯ k 1 T + B ^ 2 , k 1 i Q ^ k 1 i B ^ 2 , k 1 i T . Two methods exist for determining the local prediction of X k as per (19). The first method utilized in this paper is a local estimation based on sensor nodes. This fusion estimation method does not necessitate broadcasting but requires each sensor node to retain past information. The second method is based on the k 1 moment fusion estimation X ^ k 1 | k 1 .

5. Numerical Simulations

This section cites the tractor–car system detailed in [34], shown in Figure 2, and extends it to a multi-sensor system for sample simulations. The performance of the derived robust fusion estimator is demonstrated through comparison with the fusion estimator for the Kalman filter based on actual and nominal parameters using the same fusion method across two distinct sets of numerical simulations with modelling errors (fixed or not) and varying transmission rates and packet drop rates. This numerical simulation consists of two sensors. For each set, 500 time experiments were conducted, with 200 moments designated for each set, generating 200 input–output data pairs. In the simulations, the overall average estimated error variance E X k X ^ k k 2 1 500 f = 1 500 X k X ^ k k ( f ) 2 is computed for each moment, and the implementation of event-triggered and occurrence of packet drops are displayed.
Since the vehicle steering and directional angles in the tractor-car system are nonlinear, they can be linearized and expressed as
x k + 1 1 = 1.0000 v k L x k 1 + v k L 0.2296 x k d 1 + 0.1764 + v k L x k 2 + 0.1764 + v k L x k d 2 + 0.9804 + v k L w k 1 + 0.9804 + v k L u k 1 , x k + 1 2 = 1.0000 v k L x k 2 + v k L 0.2296 x k d 2 + 0.9804 + v k L w k 2 + 0.9804 + v k L u k 2 ,
in which x k 1 , x k 2 , u k , w k , x k d 1 , and x k d 2 are the direction angle of the tractor, the direction angle of the car, the tractor steering angle, the process noise, d-step time-delay for state 1, and d-step time-delay for state 2, respectively. x k is the state vector, x k = x k 1 x k 2 T . L, k, and v denote the length of the tractor, the sampling period, and the constant speed, respectively. Considering the system errors at linearization in the form of modelling errors ε k substituted into the system model, the matrix parameters are obtained as
A 1 , k ε k = 1.0000 v k L 0.1764 + v k L + ε k 0.0000 1.0000 v k L , A 2 , k ε k = v k L 0.2296 0.1764 + v k L + ε k 0.0000 v k L 0.2296 , B 1 , k ε k = 0.9804 + v k L 0.0000 0.0000 0.9804 + v k L , B 2 , k ε k = 0.9804 + v k L 0.0000 0.0000 0.9804 + v k L .
In the numerical simulation, each parameter is taken as L = 500 cm , k = 0.1 s, and v = 98 cm / s , and a two-step state delay system was used. The matrix parameters are as follows
A 1 , k ε k = 0.9804 0.196 + 1.99 ε k 0.0000 0.9804 , A 2 , k ε k = 0.2100 0.196 + 1.99 ε k 0.0000 0.2100 ,
B 1 , k ε k = 1.0000 0.0000 0.0000 1.0000 , B 2 , k ε k = 1.0000 0.0000 0.0000 1.0000 ,
C k 1 ε k = 1.0000 1.0000 , C k 2 ε k = 0.4000 0.5000 ,
R k 1 = 1.0000 , R k 2 = 1.0000 ,
Q k = 1.9608 0.0195 0.0195 1.9605 , Π 0 = 1.0000 0.0000 0.0000 1.0000 , u k = 1.0000 0.1000 .
The packet drop process r k i is assumed to be a stationary Bernoulli process. A constant value of 0.7300 is assigned to the filter design parameter γ k i .
In Case 1, the modeling errors ε k are assumed to be a fixed value of −0.8508. The transmission and packet drop rates for both sensors are set to 0.8 and 0.2, respectively. Figure 3a illustrates the fusion estimation error over time, demonstrating that the robust fusion estimator proposed in this study outperforms the fusion estimator for the Kalman filter based on nominal parameters by approximately 7.800 dB. Figure 3b,c depict the transmission of the two sensors and the packet drops of the communication channel, respectively. To clearly reflect the execution of the event-triggered, t k i is inverted, and r k i is treated similarly. Note that the plots of event-triggered realizations and packet drops here are from one of the 500 experiments used.
The modelling errors ε k are generated randomly and independently, conforming to a normal distribution with a truncation. The mean, standard variance, and truncation values of the normal distribution are set to 0.0000 , 1.0000 , and 1.0000 , respectively. Figure 4a illustrates that the derived estimator surpasses the performance of the Kalman filter based on nominal parameters, and it can be seen from the 200th moment that the estimator derived in this paper is 5.8600 (dB) lower than the nominal parameter-based Kalman filter. Figure 4b,c show the realization of the sensor transmission and the channel packet drop over 200 moments, respectively.
In Case 2, the derived robust fusion estimator is tested using different transmission and packet drop rates. The modelling errors are the same as in Case 1 with a truncated normal distribution. Based on the analysis of Figure 5, it is evident that the derived estimator exhibits effective and reliable operation even under diverse transmission rates generated by the employed event-triggered transmission strategy. However, variations in transmission rates give rise to disparities in estimation performance, a well-studied phenomenon. This can be attributed to the fact that higher transmission rates are associated with improved estimator performance. As the transmission rate increases, the fusion center receives a greater volume of estimation values, thereby leading to more accurate results. A reasonable analysis of Figure 6 demonstrates that the derived estimator effectively maintains its reliability even under diverse packet drop rates. Nonetheless, differing packet drop rates introduce disparities in estimation performance, which is a valid observation. Higher packet drop rates correspond to inferior estimation performance. When compared to Figure 5, it is apparent that the variation in estimation performance is greater for different packet drop rates than for different transmission rates.
As can be seen from the two sets of simulations, the proposed robust fusion estimator exhibits relatively better performance compared to the fusion estimator that ignores uncertainty. The derived robust fusion estimator is still applicable when the selection of modelling errors is not limited to the particular structure. The results show that the method is an effective multi-sensor fusion method in practical applications.

6. Conclusions

In this paper, the effects of deterministic inputs and state delays present in the system are considered based on the study of robust fusion estimators for multi-sensor systems with uncertainty, random packet drops, and transmission constraints. The main contribution of this paper is the derivation of a robust fusion estimator for multi-sensor systems with state delays and external inputs, which penalizes the sensitivity of estimation errors to model uncertainty while minimizing nominal estimation errors and their sensitivity. Model conversion is performed utilizing the state augmentation technique. The event-triggered transmission strategy and the random packet drops generated by channel unreliability are considered. The pseudo-cross-covariance matrix is updated accordingly. This paper delivers robust proof of the fusion estimator of estimation errors being uniformly bounded. Two sets of numerical simulations are executed to illustrate the practical implications of the proposed method, using a tractor–car system as a demonstrative example. The numerical simulation results show that the estimation performance of the updated estimator is better than the fusion estimator for the Kalman filter based on nominal parameters. Since the modelling errors are not restricted to a specific structure, the proposed fusion estimator has a wide range of applicability. In addition, follow-up work on the tractor–car system example is still in progress, and the further stage is to apply the algorithm designed in this investigation to a practical case.

Author Contributions

Conceptualization, X.D. and H.L.; methodology, X.D.; software, X.D.; validation, H.L.; formal analysis, X.D.; investigation, X.D.; resources, H.Y. and H.L.; data curation, H.Y.; writing—original draft preparation, X.D.; writing—review and editing, X.D.; visualization, H.Y. and H.L.; supervision, H.Y. and H.L.; project administration, H.Y. and H.L.; funding acquisition, H.Y. and H.L. All authors have read and agreed to the published version of the manuscript.

Funding

This work is supported by the National Natural Science Foundation of China under grant number 61873138; by the Shandong Provincial Natural Science Foundation under grant number ZR2019MF063 and ZR2020MF064.

Institutional Review Board Statement

Not applicable.

Informed Consent Statement

Not applicable.

Data Availability Statement

Not applicable.

Conflicts of Interest

The authors declare no conflict of interest.

Abbreviations

The following abbreviations are used in this manuscript:
c o l [ ] The stacking vector or matrix
E [ ] The mathematical expectation
f [ ] The probability density function
M T The stacking vector or matrix
N ( · ; σ , Ω ) The notation for the Gaussian probability density function with mean σ and covariance Ω
t r The trace of the matrix

Appendix A. Derivation of Robust State Estimation

In order to reduce the sensitivity of the estimation performance to the modelling error, the following cost function can therefore be minimized
J α k i = γ k i α k i Φ k i 2 + H k i ( 0 , 0 ) α k i β k i ( 0 , 0 ) Ψ k i 2 + 1 γ k i j = 1 l e k i ε k , ε k + 1 ε k , j 2 + e k i ε k , ε k + 1 ε k + 1 , j 2 ε k = 0 ε k + 1 = 0 ,
in which Ψ k i = R k + 1 i 1 , H k i ε k , ε k + 1 = C ¯ k + 1 i ε k + 1 A ¯ k ε k B ¯ 2 , k ε k , β k i ε k , ε k + 1 = y k + 1 i C ¯ k + 1 i ε k + 1 A ¯ k ε k X ^ k k i + B ¯ 1 , k ε k u k , Φ k i = diag P k k i 1 , Q i 1 , α k i = c o l { X k
X ^ k k i , w k } , e k i ε k , ε k + 1 = y k + 1 i C ¯ k + 1 i ε k + 1 A ¯ k ε k X ^ k k i + B ¯ 1 , k ε k u k C ¯ k + 1 i ε k + 1 A ¯ k ε k
B ¯ 2 , k ε k α k i .
From Φ k i and Ψ k i , J α k i is a strictly convex function when 0 < γ k i 1 . Letting δ J ( α k i ) δ α k i = 0 , the global unique minimum is obtained
Φ k i + H k i ( 0 , 0 ) T Ψ k i H k i ( 0 , 0 ) + 1 γ k i γ k i S k i T 2 , k i T S k i T 2 , k i α k , o p t i = H k i ( 0 , 0 ) T Ψ k i β k i ( 0 , 0 ) 1 γ k i γ k i S k i T 2 , k i T S k i X ^ k k i + T 1 , k i u k .
The initial state X 0 is estimated such that e 0 i ε 0 = y 0 i C ¯ 0 i ε 0 X 0 and the cost function is J α 0 i = γ 0 i X 0 Π 0 1 2 + y 0 i C ¯ 0 i ε 0 X 0 R 0 i 1 2 + 1 γ 0 i j = 1 l e 0 i ε 0 ε 0 , j 2 ε 0 = 0 .
The following initial state estimate and initial estimation error covariance matrix can be obtained
P 0 | 0 i = C ¯ 0 i ( 0 ) T R 0 i 1 C ¯ 0 i ( 0 ) + Π ^ 0 i 1 1 , X ^ 0 | 0 i = P 0 | 0 i C ¯ 0 i ( 0 ) T R 0 i 1 y 0 i ,
in which Π ^ 0 i = Π 0 1 + μ 0 i j = 1 l C ¯ 0 i ε 0 T ε 0 , j C ¯ 0 i ε 0 ε 0 , j ε 0 = 0 1 .
Define H ^ k i , T ^ 2 , k i , X ˜ k k + 1 i , α k , o p t i , P ^ k k i 1 , and Q ^ k i 1 as C k + 1 i ( 0 ) A ¯ k ( 0 ) B ^ 2 , k i ( 0 ) , T 2 , k i μ k i S k i P ^ k k i S k i T T 2 , k i , X ^ k k + 1 i + μ k i P ^ k k i S k i T T 2 , k i w ^ k k + 1 , c o l X ^ k k + 1 i X ^ k k i , w ^ k k + 1 , and P k k i 1 + μ k i S k i T S k i , Q k 1 + μ k i T 2 , k i T I + μ k i S k i P k k i S k i T 1 T 2 , k i .
It is known by the following algebraic relation
P k k i 1 0 0 Q i 1 + μ k i S k i T 2 , k i T S k i T 2 , k i = I 0 μ k i T 2 , k i T S k i P ^ k k i I P ^ k k i 1 0 0 Q ^ k i 1 I μ k i P ^ k k i S k i T T 2 , k i 0 I .
Substituting the above equation into (A1) and multiplying Equation (A1) left by, it gives
I 0 μ k i T 2 , k i T S k i P ^ k | k i I 1 P k k i 1 0 0 Q k 1 + H k i ( 0 , 0 ) T Ψ k i H k i ( 0 , 0 ) + μ k i S k i T T 2 , k i T S k i T 2 , k i α k , o p t i = I 0 μ k i T 2 , k i T S k i P ^ k | k i I H k i ( 0 , 0 ) T Ψ k i β k i ( 0 , 0 ) μ k i S k i T T 2 , k i T S k i X ^ k | k i + T 1 , k i u k ,
P ^ k k i 1 0 0 Q ^ k i 1 + A ¯ k T ( 0 ) μ k i T 2 , k i T S k i P ^ k k i A ¯ k T ( 0 ) + B ¯ 2 , k T ( 0 ) C k + 1 i ( 0 ) T Ψ k i × C k + 1 i ( 0 ) A ¯ k ( 0 ) μ k i A ¯ k ( 0 ) P ^ k k i S k i T T 2 , k i + B ¯ 2 , k ( 0 ) × X ^ k k + 1 i + μ k i P ^ k k i S k i T T 2 , k i T w ^ k k + 1 X ^ k k i w ^ k k + 1 = A ¯ k T ( 0 ) μ k i T 2 , k i T S k i P ^ k k i A ¯ k T ( 0 ) + B ¯ 2 , k T ( 0 ) C k + 1 i ( 0 ) T Ψ k i y k + 1 i C k + 1 i ( 0 ) A ¯ k ( 0 ) X ^ k k i + B ¯ 1 , k ( 0 ) u k μ k i S k i T μ k i T 2 , k i T S k i P ^ k | k i S k i T + T 2 , k i T S k i X ^ k k i + T 1 , k i u k .
Defining B ^ 2 , k T ( 0 ) , T ^ 2 , k i , and X ˜ k k i as B ^ 2 , k i ( 0 ) = B ¯ 2 , k ( 0 ) μ k i A ¯ k ( 0 ) P ^ k k i S k i T T 2 , k i , T ^ 2 , k i = T 2 , k i μ k i S k i P ^ k k i S k i T T 2 , k i , and X ^ k k + 1 i + μ k i P ^ k k i S k i T T 2 , k i w ^ k k + 1 , respectively, to simplify (A2), we can obtain
P ^ k k i 1 0 0 Q ^ k i 1 + H ^ k i T Ψ k i H ^ k i X ˜ k k + 1 i X ^ k k i w ^ k k + 1 = H ^ k i T Ψ k i y k + 1 i C k + 1 i ( 0 ) A ¯ k ( 0 ) X ^ k k i + B ¯ 1 , k ( 0 ) u k μ k i S k i T T 2 , k i T S k i X ^ k k i + T 1 , k i u k .
From (A3), we have
X ˜ k , k + 1 i = X ^ k | k i + P ^ k | k i A ¯ k T ( 0 ) C k + 1 i ( 0 ) T R k + 1 i 1 × y k + 1 i C k + 1 i ( 0 ) B ¯ 1 , k ( 0 ) u k + A ¯ k ( 0 ) X ˜ k k + 1 i + B ^ 2 , k i ( 0 ) w ^ k k + 1 μ k i P ^ k k i S k i T S k i X ^ k k i + T 1 , k i u k w ^ k | k + 1 = Q ^ k i B ^ 2 , k i ( 0 ) T C k + 1 i ( 0 ) T R k + 1 i 1 × y k + 1 i C k + 1 i ( 0 ) B ¯ 1 , k ( 0 ) u k + A ¯ k ( 0 ) X ˜ k k + 1 i + B ^ 2 , k i ( 0 ) w ^ k k + 1 μ k i Q ^ k i T ^ 2 , k i T S k i X ^ k | k i + T 1 , k i u k .
Define the variable X ˜ k + 1 k + 1 i = A ¯ k ( 0 ) X ˜ k k + 1 i + B ^ 2 , k i ( 0 ) w ^ k k + 1 + B ¯ 1 , k ( 0 ) u k . Bringing (A4) into X ˜ k + 1 k + 1 i , we obtain
X ˜ k + 1 k + 1 i = B ¯ 1 , k ( 0 ) u k + A ¯ k ( 0 ) X ˜ k k i + A ¯ k ( 0 ) P ^ k k i A ¯ k T ( 0 ) + B ^ 2 , k i ( 0 ) Q ^ k i B ^ 2 , k i ( 0 ) T × C k + 1 i ( 0 ) T R k + 1 i 1 y k + 1 i C k + 1 i ( 0 ) X ^ k + 1 k + 1 i μ k i A ¯ k ( 0 ) P ^ k k i S k i T + B ^ 2 , k i ( 0 ) Q ^ k i T 2 , k i T S k i X ^ k k i + T 1 , k i u k .
Letting P k + 1 k i = A ¯ k ( 0 ) P ^ k k i A ¯ k T ( 0 ) + B ^ 2 , k i ( 0 ) Q ^ k i B ^ 2 , k i ( 0 ) T , (A5) can be transformed into the form of (A6)
I + P k + 1 k i C k + 1 i ( 0 ) T R k + 1 i 1 C k + 1 i ( 0 ) X ˜ k + 1 k + 1 i = B ¯ 1 , k ( 0 ) u k + A ¯ k ( 0 ) X ^ k k i + P k + 1 k i C k + 1 i ( 0 ) T R k + 1 i 1 y k + 1 i μ k i A ¯ k ( 0 ) P ^ k k i S k i T + B ^ 2 , k i ( 0 ) Q ^ k i T 2 , k i T S k i X ^ k k i + T 1 , k i u k .
According to the matrix inverse lemma ( A + B C D ) 1 = A 1 A 1 B D A 1 B + C 1 1 D A 1 , the following procedure can be obtained
P k + 1 k + 1 i = P k + 1 k i P k + 1 k i C ¯ k + 1 i ( 0 ) T R k + 1 i + C ¯ k + 1 i ( 0 ) P k + 1 k i C ¯ k + 1 i ( 0 ) T 1 C ¯ k + 1 i ( 0 ) P k + 1 | k i .
(A6) can be changed to
I + P k + 1 k i C k + 1 i ( 0 ) T R k + 1 i 1 C k + 1 i ( 0 ) X ˜ k + 1 k + 1 i = B ¯ 1 , k ( 0 ) μ k i A ¯ k ( 0 ) P ^ k k i S k i T + B ^ 2 , k i ( 0 ) Q ^ k i T 2 , k i T T 1 , k i u k + A ¯ k ( 0 ) μ k i A ¯ k ( 0 ) P ^ k k i S k i T + B ^ 2 , k i ( 0 ) Q ^ k i T 2 , k i T S k i X ^ k k i + P k + 1 k i C k + 1 i ( 0 ) T R k + 1 i 1 y k + 1 i .
Thus, the matrices A ^ k i ( 0 ) and B ^ 1 , k i ( 0 ) can be defined as
A ^ k i ( 0 ) = A ¯ k ( 0 ) μ k i B ^ 2 , k i ( 0 ) Q ^ k i T 2 , k i T S k i I μ k i P ^ k k i S k i T S k i , B ^ 1 , k i ( 0 ) = B ¯ 1 , k ( 0 ) μ k i A ¯ k ( 0 ) P ^ k k i S k i T + B ^ 2 , k i ( 0 ) Q ^ k i T 2 , k i T T 1 , k i .
Thus (A5) can be simplified as
X ˜ k + 1 k + 1 i = A ^ k i ( 0 ) X ^ k k i + B ^ 1 , k i ( 0 ) u k + P k + 1 k + 1 i C ¯ k + 1 i ( 0 ) T R k + 1 i 1 × y k + 1 i C ¯ k + 1 i ( 0 ) A ^ k i ( 0 ) X ^ k k i + B ^ 1 , k i ( 0 ) u k .
(A7) is similar to the form described in [29], so that X ˜ k + 1 k + 1 i can be specified as X ^ k + 1 k + 1 i .
The derivation is complete.

References

  1. Li, A.; Cao, J.; Li, S.; Huang, Z.; Wang, J.; Liu, G. Map Construction and Path Planning Method for a Mobile Robot Based on Multi-Sensor Information Fusion. Appl. Sci. 2022, 12, 2913. [Google Scholar] [CrossRef]
  2. Han, Y.; Sun, H.; Lu, Y.; Zhong, R.; Ji, C.; Xie, S. 3D Point Cloud Generation Based on Multi-Sensor Fusion. Appl. Sci. 2022, 12, 9433. [Google Scholar] [CrossRef]
  3. Bai, H.; Yu, B.; Gu, W. Research on position sensorless control of rdt motor based on improved smo with continuous hyperbolic tangent function and improved feedforward PLL. J. Mar. Sci. Eng. 2023, 11, 642. [Google Scholar] [CrossRef]
  4. Qin, J.; Du, J.; Li, J. Adaptive finite-time trajectory tracking event-triggered control scheme for underactuated surface vessels subject to input saturation. IEEE Trans. Intell. Transp. Syst. 2023, 1–13. [Google Scholar] [CrossRef]
  5. Qin, J.; Du, J. Minimum-learning-parameter-based adaptive finite-time trajectory tracking event-triggered control for underactuated surface vessels with parametric uncertainties. Ocean Eng. 2023, 271, 113634. [Google Scholar] [CrossRef]
  6. Sun, S.; Ma, J. Linear estimation for networked control systems with random transmission delays and packet dropouts. Inf. Sci. 2014, 269, 349–365. [Google Scholar] [CrossRef]
  7. Wei, Y.; Sun, S. Recursive distributed fusion estimation for multi-sensor systems with missing measurements, multiple random transmission delays and packet losses. Signal Process. 2023, 204, 108829. [Google Scholar] [CrossRef]
  8. Ma, J.; Sun, S. Centralized Fusion Estimators for Multisensor Systems with Random Sensor Delays, Multiple Packet Dropouts, and Uncertain Observations. IEEE Sens. J. 2013, 13, 1228–1235. [Google Scholar] [CrossRef]
  9. Shen, Q.; Liu, J.; Zhou, X.; Qin, W.; Wang, L.; Wang, Q. Centralized Fusion Methods for Multi-Sensor System with Bounded Disturbances. IEEE Access 2019, 7, 141612–141626. [Google Scholar] [CrossRef]
  10. Sun, S. Distributed Optimal Linear Fusion Predictors and Filters for Systems with Random Parameter Matrices and Correlated Noises. IEEE Trans. Signal Process. 2020, 68, 1064–1074. [Google Scholar] [CrossRef]
  11. Wang, R.; Sun, S. Distributed Matrix-Weighted Fusion Consensus Filtering with Two-Stage Filtering for Sensor Networks. IEEE Sens. J. 2023, 23, 5003–5013. [Google Scholar] [CrossRef]
  12. Caballero-Águila, R.; Hermoso-Carazo, A.; Linares-Pérez, J. Networked distributed fusion estimation under uncertain outputs with random transmission delays, packet losses and multi-packet processing. Signal Process. 2019, 156, 71–83. [Google Scholar] [CrossRef]
  13. Li, L.; Fan, M.; Xia, Y.; Geng, Q. Dynamic Event-Triggered Feedback Fusion Estimation for Nonlinear Multi-Sensor Systems with Auto/Cross-Correlated Noises. IEEE Trans. Signal Inf. Process. Over Netw. 2022, 8, 868–882. [Google Scholar] [CrossRef]
  14. Wang, X.; Lemmon, M.D. Event-Triggering in Distributed Networked Control Systems. IEEE Trans. Automat. Contr. 2011, 56, 586–601. [Google Scholar] [CrossRef]
  15. Battistelli, G.; Benavoli, A.; Chisci, L. Data-driven communication for state estimation with sensor networks. Automatica 2012, 48, 926–935. [Google Scholar] [CrossRef]
  16. Trimpe, S.; D’Andrea, R. Event-based state estimation with variance-based triggering. In Proceedings of the 2012 IEEE 51st IEEE Conference on Decision and Control (CDC), Maui, HI, USA, 10–13 December 2012; pp. 6583–6590. [Google Scholar] [CrossRef]
  17. Maity, D.; Baras, J.S. Optimal Event-Triggered Control of Nondeterministic Linear Systems. IEEE Trans. Automat. Control 2020, 65, 604–619. [Google Scholar] [CrossRef]
  18. Yu, H.; Chen, T.; Hao, F. A New Event-Triggered Control Scheme for Stochastic Systems. IEEE Trans. Automat. Control 2023, 68, 1463–1478. [Google Scholar] [CrossRef]
  19. Meng, F.; Gao, J.; Liu, H. Robust State Estimation for Time-Delay Linear Systems with External Inputs. IEEE Access 2021, 9, 106540–106549. [Google Scholar] [CrossRef]
  20. Ren, J. LMI-Based Fault Detection Filter Design for A Class of Neutral System with Time Delay in States. In Proceedings of the 2006 6th World Congress on Intelligent Control and Automation, Dalian, China, 21–23 June 2006; Volume 2, pp. 5581–5585. [Google Scholar] [CrossRef]
  21. Wang, Y.; Liu, H.; Li, X. A Novel Method for Stability Analysis of Time-Varying Delay Systems. IEEE Trans. Automat. Control 2021, 66, 1422–1428. [Google Scholar] [CrossRef]
  22. Zhang, H.; Zhang, D.; Xie, L. An innovation approach to H∞ prediction for continuous-time systems with application to systems with delayed measurements. Automatica 2004, 40, 1253–1261. [Google Scholar] [CrossRef]
  23. Wu, Z.; Shi, P.; Su, H.; Chu, J. State estimation for discrete-time neural networks with time-varying delay. Int. J. Syst. Sci. 2012, 43, 647–655. [Google Scholar] [CrossRef]
  24. Frezzatto, L.; Oliveira, R.C.; Peres, P.L. H∞ non-minimal filter design in finite frequency ranges for discrete-time Takagi–Sugeno fuzzy systems with time-varying delays. J. Franklin Inst. 2020, 357, 622–634. [Google Scholar] [CrossRef]
  25. Wang, J.; Mao, Y.; Li, Z.; Gao, J.; Liu, H. Robust Fusion Estimation for Multisensor Uncertain Systems with State Delay Based on Data-Driven Communication Strategy. IEEE Access 2020, 8, 151888–151897. [Google Scholar] [CrossRef]
  26. Liu, H.; Yu, H. Event-triggered robust state estimation for wireless sensor networks. Asian J. Control 2020, 22, 1649–1658. [Google Scholar] [CrossRef]
  27. Sayed, A.H. A framework for state-space estimation with uncertain models. IEEE Trans. Automat. Control 2001, 46, 998–1013. [Google Scholar] [CrossRef]
  28. Xu, H.; Mannor, S. A Kalman Filter Design Based on the Performance/Robustness Tradeoff. IEEE Trans. Automat. Control 2009, 54, 1171–1175. [Google Scholar] [CrossRef]
  29. Zhou, T. Sensitivity Penalization Based Robust State Estimation for Uncertain Linear Systems. IEEE Trans. Automat. Control 2010, 55, 1018–1024. [Google Scholar] [CrossRef]
  30. Liu, H.; Zhou, T. Robust state estimation for uncertain linear systems with random parametric uncertainties. Sci. China Inf. Sci. 2016, 60, 157–169. [Google Scholar] [CrossRef]
  31. Zienkiewicz, O.C.; Zhu, J.Z. A simple error estimator and adaptive procedure for practical engineerng analysis. Int. J. Numer. Methods Eng. 1987, 24, 337–357. [Google Scholar] [CrossRef]
  32. Li, X.; Zhu, Y.; Wang, J.; Han, C. Optimal linear estimation fusion .I. Unified fusion rules. IEEE Trans. Inf. Theory 2003, 49, 2192–2208. [Google Scholar] [CrossRef]
  33. Zhou, T.; Liang, H. On asymptotic behaviors of a sensitivity penalization based robust state estimator. Syst. Control Lett. 2011, 60, 174–180. [Google Scholar] [CrossRef]
  34. Zhang, Z.; Yao, M.; Gao, J.; Liu, H. State Estimation of Discrete-Time T–S Fuzzy Systems Based on Robustness Ideas. Int. J. Fuzzy Syst. 2023, 25, 2007–2019. [Google Scholar] [CrossRef]
Figure 1. Block diagram of the multi-sensor system with state delay.
Figure 1. Block diagram of the multi-sensor system with state delay.
Applsci 13 08778 g001
Figure 2. The tractor–car system.
Figure 2. The tractor–car system.
Applsci 13 08778 g002
Figure 3. ···∗···: the fusion estimator for the Kalman filter based on actual parameters; ···×···: the fusion estimator for the Kalman filter based on nominal parameters; —◯—: the method of this paper; □: sensor 1; ◯: sensor 2. Data transmission rate: 0.8. Packet drop rate: 0.2. Modelling errors ε k = 0.8508.
Figure 3. ···∗···: the fusion estimator for the Kalman filter based on actual parameters; ···×···: the fusion estimator for the Kalman filter based on nominal parameters; —◯—: the method of this paper; □: sensor 1; ◯: sensor 2. Data transmission rate: 0.8. Packet drop rate: 0.2. Modelling errors ε k = 0.8508.
Applsci 13 08778 g003
Figure 4. ···∗···: the fusion estimator for the Kalman filter based on actual parameters; ···×···: the fusion estimator for the Kalman filter based on nominal parameters; —◯—: the method of this paper; □: sensor 1; ◯: sensor 2. Transmission rate: 0.8. Packet drop rate: 0.2. The modelling errors ε k are taken to a normal distribution with truncations.
Figure 4. ···∗···: the fusion estimator for the Kalman filter based on actual parameters; ···×···: the fusion estimator for the Kalman filter based on nominal parameters; —◯—: the method of this paper; □: sensor 1; ◯: sensor 2. Transmission rate: 0.8. Packet drop rate: 0.2. The modelling errors ε k are taken to a normal distribution with truncations.
Applsci 13 08778 g004
Figure 5. —∘—: transmission rate 0.4; —∗—: transmission rate 0.8. Packet drop rate: 0.2. The modelling errors ε k are taken to a normal distribution with truncations.
Figure 5. —∘—: transmission rate 0.4; —∗—: transmission rate 0.8. Packet drop rate: 0.2. The modelling errors ε k are taken to a normal distribution with truncations.
Applsci 13 08778 g005
Figure 6. —∘—: packet drop rate 0.8; —∗—: packet drop rate 0.4. Transmission rate: 0.2. The modelling errors ε k are taken to a normal distribution with truncations.
Figure 6. —∘—: packet drop rate 0.8; —∗—: packet drop rate 0.4. Transmission rate: 0.2. The modelling errors ε k are taken to a normal distribution with truncations.
Applsci 13 08778 g006
Table 1. Multi-sensor system state.
Table 1. Multi-sensor system state.

ET t k i = 0 t k i = 1
PD
r k i = 0 No transmissionPacket drop
r k i = 1 -Normal
Disclaimer/Publisher’s Note: The statements, opinions and data contained in all publications are solely those of the individual author(s) and contributor(s) and not of MDPI and/or the editor(s). MDPI and/or the editor(s) disclaim responsibility for any injury to people or property resulting from any ideas, methods, instructions or products referred to in the content.

Share and Cite

MDPI and ACS Style

Du, X.; Liu, H.; Yu, H. Event-Triggered Robust Fusion Estimation for Multi-Sensor Time-Delay Systems with Packet Drops. Appl. Sci. 2023, 13, 8778. https://doi.org/10.3390/app13158778

AMA Style

Du X, Liu H, Yu H. Event-Triggered Robust Fusion Estimation for Multi-Sensor Time-Delay Systems with Packet Drops. Applied Sciences. 2023; 13(15):8778. https://doi.org/10.3390/app13158778

Chicago/Turabian Style

Du, Xiaolei, Huabo Liu, and Haisheng Yu. 2023. "Event-Triggered Robust Fusion Estimation for Multi-Sensor Time-Delay Systems with Packet Drops" Applied Sciences 13, no. 15: 8778. https://doi.org/10.3390/app13158778

APA Style

Du, X., Liu, H., & Yu, H. (2023). Event-Triggered Robust Fusion Estimation for Multi-Sensor Time-Delay Systems with Packet Drops. Applied Sciences, 13(15), 8778. https://doi.org/10.3390/app13158778

Note that from the first issue of 2016, this journal uses article numbers instead of page numbers. See further details here.

Article Metrics

Back to TopTop