Safety Analysis of Secondary Lining of Yulinzi Tunnel Based on Field Monitoring
Abstract
1. Introduction
2. Project Overview
- (1)
- The tunnel was surrounded by rock with low strength, classified as Class V rock. Due to the large amount of seepage, the self-bearing capacity of the surrounding rock was reduced. Tests showed that the soil moisture content was between 21% and 28%, with an average of 23.8%;
- (2)
- The deformation of the surrounding rock of the tunnel was large. The average settlement of the left line of the tunnel was 361.04 mm, and the maximum settlement could reach 904.6 mm; the average settlement of the right line was 235.15 mm, and the maximum settlement could reach 473.1 mm. The reserved deformation value of the tunnel design was exceeded, which caused serious damage to the primary support structure of the tunnel, distortion of the steel frame, cracking of the shotcrete, and severe violation of the primary support;
- (3)
- Through on-the-spot investigation, cracks in different degrees were observed in the secondary lining structure of the Yulinzi Tunnel within 1–2 years, as shown in Figure 1. Field statistics found that there were many circumferential cracks at the side walls and vaults of the tunnel. The width of the cracks at the tunnel arch and arch foot was usually less than 0.5 mm, and a few cracks exceed 1 mm in width The pictured crack was a longitudinal crack; the width of the crack at the inverted arch could reach up to 3 mm, and the crack length can reach up to 48 m.
3. Data Monitoring
3.1. Monitoring Program
3.2. Monitoring Equipment
3.2.1. Smart String-Type Steel Stress Meter
- (1)
- Accuracy Calibration Test of Steel Bar Stress Meter
- (2)
- Installation of measuring equipment
3.2.2. The Data Acquisition and Transmission Module
3.3. Sensor Deployment
3.4. Data Collection
4. Analysis of Test Results
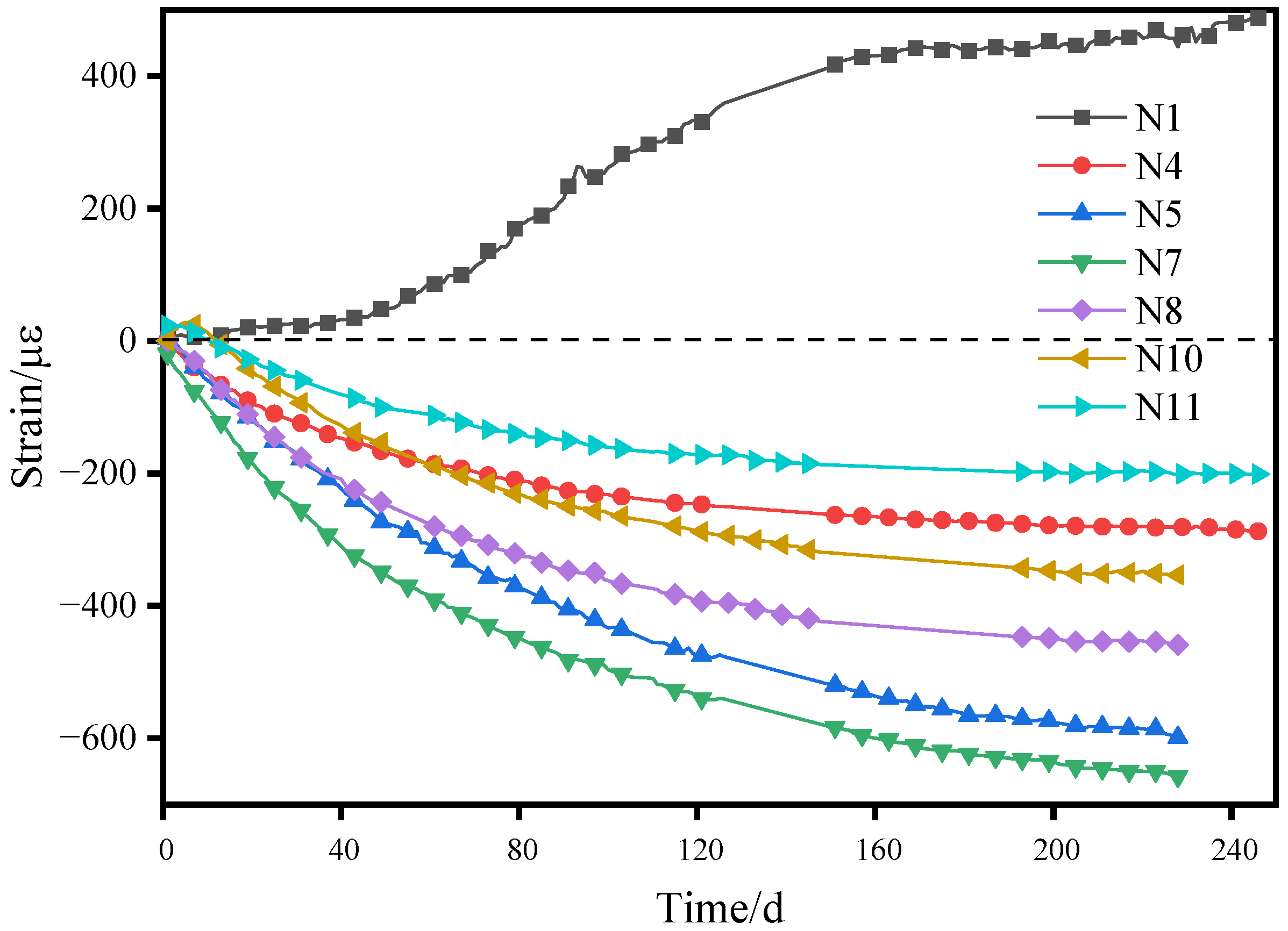
4.1. Change the Law of Secondary Lining Strain
4.2. Calculation of Internal Force and Safety Factor
4.2.1. Calculation Idea of Section Internal Force
- (1)
- Deformation coordination introduces the assumption of plane section. The assumption of the plane section refers to the assumption that the average strain distribution of concrete and longitudinal reinforcing bars within the height range of a concrete structural member along the positive section is linear after the member is subjected to forces. This assumption is applicable to eccentrically compressed members where each section satisfies this assumption during the load-bearing process;
- (2)
- Assume synchronous deformation of steel bar and surrounding concrete when deformation is coordinated. Ribbed steel bars are used in reinforced concrete, and there is significant friction between the steel bar surface and the concrete. During the structural loading process, the relative displacement between the steel bars and the concrete is very small. Therefore, it can be approximately assumed that the compressive strain of the steel bars is equal to the strain value of the corresponding position in the concrete;
- (3)
- Neglect the tensile strength of the concrete in the tension zone when the internal force is balanced. The tensile stress in concrete is very small, and once the concrete cracks, the tensile zone of the concrete no longer bears the load. Only the concrete near the neutral axis still bears partial tensile stress, but due to its small lever arm, the internal moment it bears can be neglected in the calculation process. Assuming the stress–strain relationship of the concrete in the compression zone as a rectangle.
- (4)
- Introduce the ideal elastic-plastic assumption of steel bars when the internal force is balanced. The reinforcement stress obeys Hooke’s law before reaching the yield stress; After reaching the yield stress, the stress remains unchanged.
4.2.2. Calculation Method of the Safety Factor
4.3. Variation Law of Section Internal Force
4.3.1. Required Measured Parameters
4.3.2. Time-Varying Law of Axial Force of the Secondary Lining
4.3.3. Time-Varying Law of Bending Moment of the Secondary Lining
4.4. Safety Evaluation of the Secondary Lining
4.5. Regression Analysis
5. Numerical Simulation Analysis of Long-Term Stress on Secondary Lining
5.1. Surrounding Rock Constitutive Model and Parameters
5.2. Analysis of Numerical Simulation Results
5.2.1. Deformation Analysis of Secondary Lining
5.2.2. Internal Force Analysis of Secondary Lining
6. Conclusions
- (1)
- Based on field monitoring, strain change data of tunnel lining reinforcement over 9 months were obtained. The strain of the secondary lining reinforcement generally showed a development process of rapid increase in the early stage and slow growth in the later stage. However, the strain change curve in the arch waist and arch foot areas was more complex due to the influence of factors such as the bearing of the early structural self-weight, concrete shrinkage creep, formwork trolley load, and stress concentration;
- (2)
- Based on the basic assumptions in “Structural Design Principles”, a unified calculation Equation for the axial force and bending moment of concrete under different eccentric compression states was established;
- (3)
- The axial force and bending moment of the lining section were asymmetrically distributed in space, and the axial force and bending moment of the lower structure of the secondary lining were much larger than those of the upper structure. The main reason is that the disturbance caused by the excavation of the left and right holes caused the inconsistency of the loose range of the surrounding rock on both sides of the section and the smaller lateral pressure coefficient of the surrounding rock leads to a large difference between the vertical load and horizontal load of the surrounding rock. The development of axial force and bending moment showed a trend of increasing with time, which was basically consistent with the change rule of lining reinforcement strain, and overall showed a “fast first, slow later” characteristic;
- (4)
- The final safety factors of the vault D1 and arch foot D7 were 2.49 and 2.37, respectively, close to the critical value of the safety factor, which were the dangerous areas in the secondary lining section. The development of the safety factor over time is in good agreement with the change rule of the exponential function. The correlation coefficients of the regression analysis results of the seven measuring points were all above 0.99, verifying the reliability of using the exponential function to predict the future safety factor of the tunnel. The predicted safety factor values of the two dangerous areas at the vault and arch foot were both greater than the critical value of the safety factor, which can reasonably predict that the Yulinzi Tunnel will still be in a safe state in the future.
- (5)
- The deformation and internal force changes of the secondary lining of the tunnel in the next 100 years were obtained through numerical simulation. In the initial stage of force, the secondary lining experienced significant sinking of the arch crown, rising of the arch springing, and extrusion deformation in the horizontal direction. Over time, the vertical direction of the structure showed an overall sinking trend, with a settlement of 51 mm over 100 years. The time-dependent characteristics of the stress of the structure and the time-dependent characteristics of the calculated safety factor measured in the field are “first fast then slow, and finally tend to be stable”, which conforms to the change law of the Exponential function.
Author Contributions
Funding
Institutional Review Board Statement
Informed Consent Statement
Data Availability Statement
Conflicts of Interest
References
- Kruse, G.A.M.; Dijkstra, T.A.; Schokking, F. Effects of soil structure on soil behaviour: Illustrated with loess, glacially loaded clay and simulated flaser bedding examples. Eng. Geol. 2007, 91, 34–45. [Google Scholar] [CrossRef]
- Dijkstra, T.A.; Smalley, I.J.; Rogers, C.D.F. Particle packing in loess deposits and the problem of structure collapse and hydroconsolidation. Eng. Geol. 1995, 40, 49–64. [Google Scholar] [CrossRef]
- Derbyshire, E.; Meng, X.M.; Wang, J.T.; Zhou, Z.Q.; Li, B.X. Collapsible Loess on the Loess Plateau of China. Genes. Prop. Collapsible Soils 1995, 267–293. [Google Scholar]
- Reznik, Y.M. Influence of physical properties on deformation characteristics of collapsible soils. Eng. Geol. 2007, 92, 27–37. [Google Scholar] [CrossRef]
- Han, G.W.; Liu, B.; Fan, H. Mechanical characteristics of tunnel lining structure in shallow-buried loess area. Chin. J. Rock Mech. Eng. 2007, 26, 3250–3256. [Google Scholar]
- Lai, H.P.; Yang, X.H.; Lin, Y.G. Analysis on lining cracks of highway tunnel in loess area. J. Chang’an Univ. 2007, 27, 45–49. [Google Scholar]
- Wang, Y.Q.; Wang, K.; Liu, T.; Qiu, J.L.; Dong, W.W. Analysis of Structural Bearing Property of Loess Tunnel Based on Safety Degree. J. Archit. Civ. Eng. 2015, 32, 66–72. [Google Scholar]
- Weng, X.L.; Sun, Y.F.; Zhang, Y.W.; Niu, H.S.; Liu, X.; Dong, Y.L. Physical modeling of wetting-induced collapse of shield tunneling in loess strata. Tunn. Undergr. Space Technol. 2019, 90, 208–219. [Google Scholar] [CrossRef]
- Lai, J.X.; Qiu, J.L.; Niu, F.Y.; Fan, H.B.; Wang, K. The effects of treatment of collapses in shallow-buried loess tunnels with unsymmetrical loading. Mod. Tunn. Technol. 2017, 54, 194–201. [Google Scholar]
- Liu, Y.Y.; Lai, H.P. Experimental study on lining cracking of shallow buried loess tunnel under the simulation of effect of slide surface immersion. Appl. Sci. 2020, 10, 6080. [Google Scholar] [CrossRef]
- Kontogianni, V.; Stiros, S. Induced deformation during tunnel excavation: Evidence from geodetic monitoring. Eng. Geol. 2005, 79, 115–126. [Google Scholar] [CrossRef]
- Bagherbandi, M. Deformation monitoring using different least squares adjustment methods: A simulated study. KSCE J. Civ. Eng. 2016, 20, 855–862. [Google Scholar] [CrossRef]
- Wang, C.H. Calculation Method for Surrounding Rock Pressure of a Loess Highway Tunnel with an Extra-Large Section. Mod. Tunn. Technol. 2015, 52, 175–181. [Google Scholar]
- Qu, H.F.; Yang, C.C.; Zhu, H.H.; Wang, H.L.; Yang, Y.M. Research and development on surrounding rock pressure of road tunnel. Chin. J. Undergr. Space Eng. 2007, 3, 536–543. [Google Scholar]
- Qiu, J.L.; Lu, Y.Q.; Lai, J.X.; Guo, C.X.; Wang, K. Failure behavior investigation of loess metro tunnel under local-high-pressure water environment. Eng. Fail. Anal. 2020, 115, 106431. [Google Scholar] [CrossRef]
- Wang, G.; Qiu, W.G.; Shen, Z.J.; Gong, L. Deformation Law and Mechanical Mechanism of Deep Buried Old Loess Tunnel. Chin. J. Undergr. Space Eng. 2021, 17, 1916–1925. [Google Scholar]
- Lai, J.X.; Fan, H.B.; Lai, H.P.; Xie, Y.L.; Hu, Z.; Qiu, J.L.; Cao, N.Q. In-situ monitoring and analysis of tunnel deformation law in weak loess. Rock Soil Mech. 2015, 36, 2003. [Google Scholar]
- Zhao, Y.; He, H.W.; Li, P.F. Key techniques for the construction of high-speed railway large-section loess tunnels. Engineering 2018, 4, 254–259. [Google Scholar] [CrossRef]
- Luo, Y.B.; Chen, J.X.; Zhou, S.; Li, J.Z.; Liu, W.W. Mechanical characteristics of primary support of large span loess highway tunnel: A case study in Shaanxi Province, Loess Plateau, NW China primary. Tunn. Undergr. Space Technol. 2020, 104, 103532. [Google Scholar] [CrossRef]
- Li, P.F.; Zhao, Y.; Zhou, X.J. Displacement characteristics of high-speed railway tunnel construction in loess ground by using multi-step excavation method. Tunn. Undergr. Space Technol. 2016, 51, 41–55. [Google Scholar] [CrossRef]
- Song, W.L.; Lai, H.P.; Liu, Y.Y.; Yang, W.H.; Zhu, Z.D. Field and laboratory study of cracking and safety of secondary lining for an existing highway tunnel in loess ground. Tunn. Undergr. Space Technol. 2019, 88, 35–46. [Google Scholar] [CrossRef]
- Xue, X.H.; Xie, Y.L.; Zhou, X.X. Study on the life-cycle health monitoring technology of water-rich loess tunnel. Adv. Mater. Sci. Eng. 2019, 2019, 9461890. [Google Scholar] [CrossRef]
- Xu, G.W.; He, C.; Chen, Z.Q.; Yang, Q.H. Progressive failure process of secondary lining of a tunnel under creep effect of surrounding rock. Tunn. Undergr. Space Technol. 2019, 90, 76–98. [Google Scholar] [CrossRef]
- Xu, G.W.; He, C.; Yang, Q.H.; Wang, B. Transversely isotropic creep behavior of phyllite and its influence on the long-term safety of the secondary lining of tunnels. Eng. Geol. 2020, 278, 105834. [Google Scholar] [CrossRef]
- Zhao, Z.C.; Xie, Y.L.; Yang, X.H.; Li, Y.Y. Observation research on the mechanical characteristic of highway tunnel lining in loess. China J. Highw. Transp. 2004, 14, 66–69. [Google Scholar]
- Ye, J.S. Principle of Structural Design; People’s Communications Publishing House: Beijing, China, 2014; 593p. [Google Scholar]
- JTG D70-2004; Code for Design of Highway Tunnel. Chongqing Transportation Research and Design Institute: Chongqing, China, 2004.
- Huang, R.B. Study on the Load Transfer Law of Tunnel Lining Considering Loess Creep. Ph.D. Dissertation, Xi’an University of Science and Technology, Xi’an, China, 2018. [Google Scholar]























| Sensor Number | Test Number | 0 (MPa) | 50 (MPa) | 100 (MPa) | 150 (MPa) | 200 (MPa) | K |
|---|---|---|---|---|---|---|---|
| N1 | 1 | 0.0000 | 49.9234 | 100.0677 | 149.9911 | 200.1354 | 0.2209 |
| 2 | 0.0000 | 49.7025 | 100.2886 | 150.2120 | 199.9145 | ||
| W1 | 1 | 0.0000 | 50.0346 | 100.0692 | 150.1038 | 200.1384 | 0.2166 |
| 2 | 0.0000 | 50.0346 | 100.2858 | 150.1038 | 199.9218 | ||
| N4 | 1 | 0.0000 | 49.9968 | 99.9936 | 149.9904 | 199.9872 | 0.2232 |
| 2 | 0.0000 | 49.9968 | 100.3964 | 149.9904 | 199.7640 | ||
| W4 | 1 | 0.0000 | 50.0000 | 100.0000 | 150.0000 | 200.0000 | 0.2000 |
| 2 | 0.0000 | 50.0000 | 100.2000 | 150.0000 | 199.8000 | ||
| N5 | 1 | 0.0000 | 50.1052 | 99.9916 | 150.0968 | 199.9832 | 0.2188 |
| 2 | 0.0000 | 50.1052 | 100.2104 | 150.0968 | 199.7644 | ||
| W5 | 1 | 0.0000 | 50.0792 | 99.9462 | 150.0254 | 200.1046 | 0.2122 |
| 2 | 0.0000 | 49.8670 | 100.1584 | 150.2376 | 199.8924 | ||
| N7 | 1 | 0.0000 | 50.3040 | 99.9792 | 149.8640 | 199.9584 | 0.2096 |
| 2 | 0.0000 | 50.0944 | 99.9792 | 150.0736 | 199.9584 | ||
| W7 | 1 | 0.0000 | 50.0460 | 100.0920 | 149.9185 | 199.9645 | 0.2195 |
| 2 | 0.0000 | 50.0460 | 100.0920 | 149.9185 | 199.7450 | ||
| N8 | 1 | 0.0000 | 50.3040 | 99.9792 | 149.8640 | 199.9584 | 0.2096 |
| 2 | 0.0000 | 50.0944 | 99.9792 | 150.0736 | 199.9584 | ||
| W8 | 1 | 0.0000 | 50.2272 | 99.9936 | 149.7600 | 199.9872 | 0.2304 |
| 2 | 0.0000 | 49.9968 | 99.9936 | 149.9904 | 199.9872 | ||
| N10 | 1 | 0.0000 | 50.0400 | 100.0800 | 150.1200 | 199.9376 | 0.2224 |
| 2 | 0.0000 | 49.8176 | 100.3024 | 150.3424 | 199.7152 | ||
| W10 | 1 | 0.0000 | 50.1860 | 99.9356 | 149.6852 | 200.0894 | 0.2182 |
| 2 | 0.0000 | 50.0594 | 99.9356 | 149.6852 | 200.0894 | ||
| N11 | 1 | 0.0000 | 50.4212 | 99.9768 | 149.7488 | 199.7372 | 0.2164 |
| 2 | 0.0000 | 50.6376 | 99.9768 | 149.3160 | 199.9536 | ||
| W11 | 1 | 0.0000 | 50.0400 | 100.0800 | 149.8976 | 199.9376 | 0.2224 |
| 2 | 0.0000 | 50.0400 | 100.3024 | 149.8976 | 199.7152 | ||
| Maximum error | 0.000 | 0.6376 | 0.3964 | 0.3424 | 0.1384 |
| Position | Measure Point | Tension and Compression Situation (Initial Results) | Tension and Compression Situation (Final Results) | Final Monitoring Value (με) |
|---|---|---|---|---|
| Vault | W1 | Compression | Compression | 301 |
| N1 | Tension | Tension | 488 | |
| Arch Shoulder | W4 | Compression | Compression | 63 |
| W11 | Compression | Compression | 68 | |
| N4 | Compression | Compression | 288 | |
| N11 | Compression | Compression | 201 | |
| Arch Waist | W5 | Compression | Tension | 70 |
| W10 | Compression | Tension | 140 | |
| N5 | Tension | Compression | 599 | |
| N10 | Tension | Compression | 353 | |
| Arch Foot | W7 | Compression | Tension | 57 |
| W8 | Tension | Compression | 15 | |
| N7 | Compression | Compression | 657 | |
| N8 | Compression | Compression | 459 |
| Position | Height (cm) | Thickness of the Reinforcement Protective Layer (cm) | Stress State |
|---|---|---|---|
| Vault | 70 | 5 | large eccentric compression |
| Arch shoulder | 80 | 5 | large eccentric compression |
| Arch Waist | 100 | 10 | small eccentric compression |
| Arch Foot | 100 | 10 | small eccentric compression |
| Position | Measure Point | Safety Factor Final Calculated Value | Safety Factor Final Predicted Value | Fitting Function | R2 |
|---|---|---|---|---|---|
| Vault | 1 | 2.48857 | 2.83421 | 0.99761 | |
| Arch shoulder | 4 | 5.51259 | 5.46581 | 0.99881 | |
| 11 | 7.68418 | 8.13949 | 0.99710 | ||
| Arch Waist | 5 | 2.60743 | 2.81752 | 0.99850 | |
| 10 | 4.4429 | 4.91474 | 0.99804 | ||
| Arch Foot | 7 | 2.37227 | 2.36814 | 0.99951 | |
| 8 | 3.38962 | 3.35028 | 0.99542 |
| Density (kg/m3) | Elastic Modulus (MPa) | Poisson’s Ratio | Thickness (m) | |
|---|---|---|---|---|
| Primary support | 2360 | 2.95 × 1010 | 0.2 | 0.2 |
| Secondary lining | 2400 | 3.25 × 1010 | 0.2 | 0.7 |
| Mechanical Parameters | Formation Type | Parameter Value |
|---|---|---|
| Density (kg/m3) | Loess Strata | 2135 |
| Elastic Modulus (MPa) | Loess Strata | 3.7.65 |
| Poisson’s ratio | Loess Strata | 0.33 |
| Cohesion (kPa) | Loess Strata | 27.04 |
| Angle of internal friction | Loess Strata | 6.34 |
| GM (kPa) | Loess Strata | 27.44 |
| HM (kPa·h) | Loess Strata | 343.75 |
| GK (kPa) | Loess Strata | 10.95 |
| HK (kPa·h) | Loess Strata | 20.69 |
Disclaimer/Publisher’s Note: The statements, opinions and data contained in all publications are solely those of the individual author(s) and contributor(s) and not of MDPI and/or the editor(s). MDPI and/or the editor(s) disclaim responsibility for any injury to people or property resulting from any ideas, methods, instructions or products referred to in the content. |
© 2023 by the authors. Licensee MDPI, Basel, Switzerland. This article is an open access article distributed under the terms and conditions of the Creative Commons Attribution (CC BY) license (https://creativecommons.org/licenses/by/4.0/).
Share and Cite
Wu, Y.; Zhuang, G.; Liang, W.; Huang, L. Safety Analysis of Secondary Lining of Yulinzi Tunnel Based on Field Monitoring. Appl. Sci. 2023, 13, 8328. https://doi.org/10.3390/app13148328
Wu Y, Zhuang G, Liang W, Huang L. Safety Analysis of Secondary Lining of Yulinzi Tunnel Based on Field Monitoring. Applied Sciences. 2023; 13(14):8328. https://doi.org/10.3390/app13148328
Chicago/Turabian StyleWu, Yimin, Guangzheng Zhuang, Weiming Liang, and Le Huang. 2023. "Safety Analysis of Secondary Lining of Yulinzi Tunnel Based on Field Monitoring" Applied Sciences 13, no. 14: 8328. https://doi.org/10.3390/app13148328
APA StyleWu, Y., Zhuang, G., Liang, W., & Huang, L. (2023). Safety Analysis of Secondary Lining of Yulinzi Tunnel Based on Field Monitoring. Applied Sciences, 13(14), 8328. https://doi.org/10.3390/app13148328
