Sign in to use this feature.

Years

Between: -

Subjects

remove_circle_outline
remove_circle_outline
remove_circle_outline
remove_circle_outline
remove_circle_outline
remove_circle_outline

Journals

Article Types

Countries / Regions

Search Results (38)

Search Parameters:
Keywords = loess tunnel

Order results
Result details
Results per page
Select all
Export citation of selected articles as:
18 pages, 7001 KB  
Article
Numerical Study of Symmetry in Tunneling-Induced Soil Arch
by Haoran Meng, Yao Li, Houxian Chen, Xuchao Du, Xingli Chen, Haoyu Zhang and Francisco López-Almansa
Symmetry 2025, 17(12), 2167; https://doi.org/10.3390/sym17122167 - 16 Dec 2025
Viewed by 272
Abstract
This paper addresses the issue of stress redistribution in surrounding soil during the construction of shallow-buried, large-section loess tunnels. Using the Luochuan Tunnel as a case study, we employ the FLAC 3D numerical simulation method to investigate the effects of advanced pipe roof [...] Read more.
This paper addresses the issue of stress redistribution in surrounding soil during the construction of shallow-buried, large-section loess tunnels. Using the Luochuan Tunnel as a case study, we employ the FLAC 3D numerical simulation method to investigate the effects of advanced pipe roof support on the stability of the surrounding soil. The results demonstrate that advanced pipe umbrella reduces the stress release amplitude at the vault by 50% compared to the unsupported condition, due to a “pre-support-load bearing mechanism”, while promoting orderly stress recovery. The “longitudinal beam effect” and “transverse arch effect” of soils effectively suppress the plastic zone area of the surrounding soil from 413.3 m2 (unsupported) to 95.0 m2, achieving a reduction exceeding 77%. Furthermore, the pipe umbrella support facilitates the formation of a more efficient “active soil arch”, which exhibits distinct symmetrical characteristics. The arch’s stress distribution and spatial structure both follow symmetrical patterns, significantly enhancing the self-stabilizing capacity of the surrounding soil. As a result, the height of the stress release zone at the tunnel excavation face and the surrounding soil stability areas is reduced by 45.9% and 63.3%, respectively, compared to the unsupported condition. This study also establishes a Pasternak elastic foundation beam model that accounts for the spatiotemporal effects of support, elucidating the mechanism of pipe umbrella support and providing a theoretical foundation for the design and construction risk control of shallow large-section loess tunnels. Full article
(This article belongs to the Special Issue Asymmetry and Symmetry in Infrastructure)
Show Figures

Figure 1

24 pages, 6444 KB  
Article
The Deformation Characteristics and Patterns of Adjacent Existing Metro Structures Caused by Foundation Pit Excavation Under Different Support Forms
by Zhitong Mao, Tian Ding, Fengchao Hu, Shuaihua Ye, Linzhao Ding, Rong Shu, Xiaoning Zhang and Minghua Song
Buildings 2025, 15(22), 4178; https://doi.org/10.3390/buildings15224178 - 19 Nov 2025
Cited by 1 | Viewed by 373
Abstract
With the continuous development of cities, underground space has become increasingly crowded, making the efficient and safe utilization of underground space an urgent issue to address. At present, research on foundation pit construction adjacent to existing subway structures mainly focuses on the impact [...] Read more.
With the continuous development of cities, underground space has become increasingly crowded, making the efficient and safe utilization of underground space an urgent issue to address. At present, research on foundation pit construction adjacent to existing subway structures mainly focuses on the impact of pit excavation on tunnels. While these studies have established a basic understanding of how pit excavation affects tunnels, research on adjacent subway stations and tunnels is nearly nonexistent—especially regarding the impact of the coupling effect between stations and tunnels during the excavation process. Additionally, most studies are conducted in soft soil areas, with no research yet on the impact in loess areas. To study the impact of foundation pit construction on subway tunnels and stations and reveal their coupling mechanism, model tests and numerical simulations were conducted based on actual engineering conditions. The model box had dimensions of 1.5 m in length, 1 m in width, and 1.2 m in height, while numerical simulations adopted the same dimensions as the actual project. Two different support structures—pile-anchor support and double-row pile support—were used for separate research and comparative analysis. The results show that with the increase in excavation depth, the foundation pit unloading effect becomes increasingly obvious. The pressure borne by both support structures increases, and the disturbance to the subway structure also becomes more significant. The maximum disturbance of tunnel earth pressure under the double-row pile support is 7.92 kPa, which is 224% higher than that under the pile-anchor support. The impacts on the subway tunnel and station under the double-row pile support are significantly greater than those under the pile-anchor support. Additionally, affected by the station, the locations of maximum tunnel deformation are not at the positions corresponding to the center of the foundation pit, but offset 10 m away from the station. Both the station and the tunnel exhibit a certain degree of uplift deformation, and the tunnel has significant convergence deformation in the horizontal direction. The maximum disturbance of the bending moment under the double-row pile support is 101.87 N·m, which is 19.8% higher than that under the pile-anchor support. This study reveals the coupling mechanism of the impact of adjacent foundation pit excavation on subway structures (including subway stations and tunnels) and presents the corresponding causes and phenomena, and it is of great significance for the development of related projects in loess areas and the protection of subway structures. Full article
(This article belongs to the Section Architectural Design, Urban Science, and Real Estate)
Show Figures

Figure 1

14 pages, 10601 KB  
Article
Utility Tunnel Settlement Monitoring Using Distributed Fiber Optic and Ground Penetrating Radar Technologies
by Jinyong Li, Dingfeng Cao, Tao Xiao and Chunyan Wang
Sensors 2025, 25(22), 6964; https://doi.org/10.3390/s25226964 - 14 Nov 2025
Viewed by 671
Abstract
Settlement and deformation of multi-purpose utility tunnels (MUTs) are critical factors affecting their structural integrity and service life; however, effective identification methods remain limited. This study proposes a comprehensive approach integrating Brillouin frequency domain analysis (BOFDA), fiber Bragg grating (FBG), and ground penetrating [...] Read more.
Settlement and deformation of multi-purpose utility tunnels (MUTs) are critical factors affecting their structural integrity and service life; however, effective identification methods remain limited. This study proposes a comprehensive approach integrating Brillouin frequency domain analysis (BOFDA), fiber Bragg grating (FBG), and ground penetrating radar (GPR) technologies, which was successfully applied to an MUT comprising three tanks in Baiyin City, Gansu Province, China. BOFDA enables precise localization of settlement points, FBG-based dislocation meters facilitate posture recognition of the MUT, and GPR is employed for detailed analysis of settlement causes. The results indicate that MUT deformation primarily manifests as displacement at joint locations, supplemented by deformation of the tunnel structure itself. Rotation, even settlement, and uneven settlement were identified through three FBG-based dislocation meters installed on the top and side walls. The primary causes of MUT settlement include mudstone compression and collapse of loess. Full article
(This article belongs to the Section Optical Sensors)
Show Figures

Figure 1

18 pages, 3398 KB  
Article
Mechanical Properties of Frozen Loess Subject to Directional Shear Effects from Multiple Principal Stress Directions
by Jianhong Fang, Chenwei Wang, Binlong Zhang and Qingzhi Wang
Eng 2025, 6(10), 271; https://doi.org/10.3390/eng6100271 - 10 Oct 2025
Viewed by 486
Abstract
Frozen loess is extensively distributed across seasonally frozen regions, where its mechanical behavior plays a critical role in the stability of engineering structures such as foundations, tunnels, and slopes. While the temperature-dependent strength characteristics of frozen soils have been widely investigated under conventional [...] Read more.
Frozen loess is extensively distributed across seasonally frozen regions, where its mechanical behavior plays a critical role in the stability of engineering structures such as foundations, tunnels, and slopes. While the temperature-dependent strength characteristics of frozen soils have been widely investigated under conventional triaxial conditions, their response to variations in principal stress direction and intermediate principal stress under complex loading paths remains poorly understood. This study addresses this gap through a series of directional shear tests on frozen loess, examining the effects of principal stress direction angle (α) and intermediate principal stress coefficient (b) at different temperatures. The results demonstrate that lower negative temperatures (−5 °C, −10 °C, and −15 °C) markedly enhance both axial and shear strength compared with normal temperature (20 °C). Increasing α leads to a progressive reduction in axial strength, highlighting the strong influence of stress orientation on deformation characteristics. Higher values of b also reduce axial strength, but their impact on shear strength is limited. Overall, the influence of α and temperature on the strength of frozen loess is considerably more pronounced than that of b. These findings provide new insights into the mechanical behavior of frozen loess under non-traditional stress paths, offering practical implications for the design, safety evaluation, and stability control of geotechnical structures in cold regions. Full article
(This article belongs to the Section Chemical, Civil and Environmental Engineering)
Show Figures

Figure 1

20 pages, 15944 KB  
Article
Discrete Element Method Simulation of Loess Tunnel Erosion
by Haoyang Dong, Xian Li, Weiping Wang and Mingzhu An
Water 2025, 17(7), 1020; https://doi.org/10.3390/w17071020 - 31 Mar 2025
Cited by 1 | Viewed by 1101
Abstract
The phenomenon of tunnel erosion is quite common in the Loess Plateau. Tunnel erosion can cause disasters such as landslides, mudslides, and ground collapses, resulting in significant economic losses and posing a threat to people’s safety. Therefore, understanding the evolution mechanism of tunnel [...] Read more.
The phenomenon of tunnel erosion is quite common in the Loess Plateau. Tunnel erosion can cause disasters such as landslides, mudslides, and ground collapses, resulting in significant economic losses and posing a threat to people’s safety. Therefore, understanding the evolution mechanism of tunnel erosion not only helps to analyze and predict the development law of erosion but also has a certain guiding role in engineering activities. Many scholars (including our team) have conducted field investigations and statistical analysis on the phenomenon of tunnel erosion in loess; however, these studies still have shortcomings in visual quantitative analysis. The combination of the Discrete Element Method (DEM) and Computational Fluid Dynamics (CFD) has significant advantages in studying soil seepage and erosion. Based on existing experimental research, this article combines the Discrete Element Method (DEM) with Computational Fluid Dynamics (CFD) to establish a CFD-DEM coupled model that can simulate tunnel erosion processes. In this model, by changing the working conditions (vertical cracks, horizontal cracks, and circular holes) and erosion water pressure conditions (200 Pa, 400 Pa, 600 Pa), the development process of tunnel erosion and changes in erosion rate are explored. The results indicate that during the process of fluid erosion, the original vertical crack, horizontal crack, and circular hole-shaped tunnels all become a circular cave. The increase in erosion water pressure accelerates the erosion rate of the model, and the attenuation rate of the particle contact force chain also increases, resulting in a decrease in the total erosion time. During the erosion process, the curve of the calculated erosion rate shows a pattern of slow growth at first, then rapid growth, before finally stabilizing. The variation law of the erosion rate curve combined with the process of tunnel erosion can roughly divide the process of tunnel erosion into three stages: the slow erosion stage, the rapid erosion stage, and the uniform erosion stage. Full article
Show Figures

Figure 1

14 pages, 14473 KB  
Article
Research on the Settlement Patterns of Tunnel-Surrounding Rock Under Groundwater Conditions
by Haining Liu, Tianyi Wang, Wenjia Ma, Minglei Kang, Yunyou Fu and Tingsong Yan
Appl. Sci. 2025, 15(7), 3796; https://doi.org/10.3390/app15073796 - 30 Mar 2025
Cited by 1 | Viewed by 1215
Abstract
In the current excavation of water diversion tunnels, significant challenges such as water inrush, rockburst, and large deformations continue to persist. Consequently, research on the stability of the surrounding rock after tunnel excavation is of great scientific importance. To address the impact of [...] Read more.
In the current excavation of water diversion tunnels, significant challenges such as water inrush, rockburst, and large deformations continue to persist. Consequently, research on the stability of the surrounding rock after tunnel excavation is of great scientific importance. To address the impact of groundwater on tunnel-surrounding rock deformation under complex geological conditions, this study utilizes a combination of field monitoring and numerical simulation. Specifically, the research simulates the excavation process under both groundwater and non-groundwater conditions. Systematically, it analyzes the deformation patterns of tunnel-surrounding rock under groundwater conditions. The findings reveal the following: (1) Settlement and excavation mileage exhibit a clear trend of “steep decline, gradual decline, stable,” both stabilizing around 35 m after the excavation reaches the monitoring cross-section. Changes in groundwater levels, whether rising or falling, can either accelerate or delay the point at which settlement stability is achieved. (2) The numerical simulation settlement curves closely align with the field monitoring curves, with simulated settlement values slightly exceeding the monitored results. However, the error rate between the two remains below 20%, indicating the reliability of the method. (3) Groundwater significantly impacts water-sensitive strata such as loess and sandstone, with maximum settlement values at the tunnel vault and ground surface under groundwater conditions being 2 to 3 times those observed in the absence of groundwater. This study provides a scientific basis for optimizing tunnel design and construction processes. Future research should focus on refining the numerical simulation model, by incorporating additional monitoring data for validation and enhancing the safety of tunnel construction. Full article
Show Figures

Figure 1

26 pages, 8171 KB  
Article
Guarantee Rate Statistics and Product-Moment Correlation Analysis of the Optimal Deformation Allowance for Loess Tunnel in China
by Xinyu Qian, Junling Qiu, Jinxing Lai and Yuhang Liu
Appl. Sci. 2025, 15(5), 2451; https://doi.org/10.3390/app15052451 - 25 Feb 2025
Cited by 12 | Viewed by 1308
Abstract
The relevant value standards for reserved deformation of tunnels with different types of loess soil are not yet perfect. Through mathematical statistics, literature research, and other methods, 148 monitoring sections of loess tunnels with different soil types were investigated. Pearson, Kendall, and Spearman [...] Read more.
The relevant value standards for reserved deformation of tunnels with different types of loess soil are not yet perfect. Through mathematical statistics, literature research, and other methods, 148 monitoring sections of loess tunnels with different soil types were investigated. Pearson, Kendall, and Spearman correlation coefficients were used to analyze the influence of surrounding rock grade, moisture content, and burial depth on the deformation law of tunnels, providing reference for the value of reserved deformation for loess tunnels. The research results indicate that: (1) The correlation between soil type and convergence around the tunnel is strong, followed by excavation span, and the correlation between moisture content and burial depth is weak. Therefore, the design of reserved deformation should focus on considering the soil type and excavation span. (2) For loess tunnel sections with class IV surrounding rock, the deformation allowance for cohesive loess and silty loess tunnel sections can be set within 15 cm, and for sandy loess, it can be set within 15–20 cm. (3) For the loess tunnel section with V-grade surrounding rock, the deformation margin can be determined as follows: viscous loess within 15–20 cm, silty loess within 15 cm, and sandy loess within 35–47.5 cm. (4) The moisture content is mainly distributed between 11% and 23%. It is worth noting that in sandy loess sections, the influence of moisture content on tunnel arch settlement is more significant compared to cohesive loess and silty loess sections. (5) The settlement of the arch crown is affected by changes in coverage depth and has discreteness. When the deformation margin is set to 16 cm, the assurance rate can reach 84.6%. Finally, the rationality of the proposed reserved deformation amount was verified through engineering practice. The research results can provide reference for related similar projects. Full article
Show Figures

Figure 1

16 pages, 9079 KB  
Article
Study on the Wake Characteristics of the Loess Plateau Terrain Based on Wind Tunnel Experiment
by Yulong Ma, Shoutu Li, Deshun Li, Zhiteng Gao, Xingduo Guo and Qingdong Ma
Energies 2025, 18(4), 958; https://doi.org/10.3390/en18040958 - 17 Feb 2025
Cited by 1 | Viewed by 1009
Abstract
The northwest region of China’s loess plateau is an important area for wind power development. However, the unclear understanding of the evolution mechanism of the near-ground atmospheric boundary layer (ABL), which is influenced by its unique geomorphological features, has compromised the safety and [...] Read more.
The northwest region of China’s loess plateau is an important area for wind power development. However, the unclear understanding of the evolution mechanism of the near-ground atmospheric boundary layer (ABL), which is influenced by its unique geomorphological features, has compromised the safety and stability of wind turbine operations. To address this challenge, wind tunnel experiments were conducted to investigate the mean and turbulent characteristics of wake flow generated by mountains in the loess plateau. The results indicate that the terrain significantly affects both the average velocity deficit and turbulence intensity distribution within the wake. Specifically, topographic features dominate turbulent energy transfer and modulate coherent structures in the inertial subrange. Additionally, the scale of these features enhances turbulence energy input at corresponding scales in the fluctuating wind speed spectrum, leading to a non-decaying energy interval within the inertial subregion. Full article
(This article belongs to the Section A3: Wind, Wave and Tidal Energy)
Show Figures

Figure 1

26 pages, 8047 KB  
Article
A Case Study on Fuzzy Analytic Hierarchy Process Analysis of Factors Influencing the Stability of Surrounding Rock in Water-Rich Loess Tunnels and Corresponding Disposal Strategies
by Xin Ren, Tianhu He, Pengfei He, Feng Yue and Bo Yang
Appl. Sci. 2025, 15(4), 1835; https://doi.org/10.3390/app15041835 - 11 Feb 2025
Cited by 1 | Viewed by 1138
Abstract
Tunnel excavation in water-rich and saturated loess layers often encounters a series of engineering disasters, including surface settlement, large deformations of surrounding rock, collapses, water inrushes, mud inrushes, and lining cracks. This paper presents an analogy of 16 cases of instability and collapse [...] Read more.
Tunnel excavation in water-rich and saturated loess layers often encounters a series of engineering disasters, including surface settlement, large deformations of surrounding rock, collapses, water inrushes, mud inrushes, and lining cracks. This paper presents an analogy of 16 cases of instability and collapse of surrounding rock during the excavation of water-rich loess tunnels in China’s loess regions. The weight of influence of various factors affecting the stability of surrounding rocks has been analyzed based on the Fuzzy Analytic Hierarchy Process (FAHP), addressing the engineering challenges encountered during the construction of the Tuanjie Tunnel. Measures such as deep well-point dewatering of the surface, reinforcement of locking foot anchors, and construction treatment with large arch feet are proposed. The effectiveness of these treatments is then monitored and analyzed. The results show that after 30 days of dewatering, the average water content of the surrounding rock decreased from 28.8% to 22.3%, transforming the surrounding rock from a soft plastic state to a hard plastic state. Phenomena such as mud inrushes at the tunnel face and water seepage through the lining are significantly reduced, and the self-stabilizing capacity of the surrounding rock is markedly improved. By optimizing the excavation method and enhancing support parameters, the construction progress rate for Grade VI surrounding rock has increased from 10–15 m per month to 40 m per month, validating the effectiveness of the proposed measures. Full article
Show Figures

Figure 1

17 pages, 4593 KB  
Article
Parameter Study and Engineering Verification of the Hardening Soil Model with Small-Strain Stiffness for Loess in the Xi’an Area
by Jiayuan Hu and Qinwen Du
Appl. Sci. 2025, 15(3), 1278; https://doi.org/10.3390/app15031278 - 26 Jan 2025
Cited by 5 | Viewed by 1914
Abstract
With the advancement of the construction of urban underground spaces, it is inevitable that new tunnels will pass through existing pipelines. To ensure the safety and stability of these pipelines, it is essential to strictly control the impact of shield tunneling. The hardening [...] Read more.
With the advancement of the construction of urban underground spaces, it is inevitable that new tunnels will pass through existing pipelines. To ensure the safety and stability of these pipelines, it is essential to strictly control the impact of shield tunneling. The hardening soil model with small-strain stiffness (HSS) comprehensively accounts for the small-strain behavior of soil, and the calculated results are closer to the values measured in engineering compared to those of other models. Consequently, it has been widely adopted in the development and utilization of underground spaces. The selection of parameters for the HSS model is particularly critical when performing numerical simulations. This article establishes the proportional relationships between the small-strain moduli of the HSS model in the loess region of Xi’an through standard consolidation tests, triaxial consolidation drained shear tests, and triaxial consolidation drained loading−unloading shear tests. Additionally, an empirical formula for the static lateral pressure coefficient applicable to loess was derived and validated through engineering examples. Full article
Show Figures

Figure 1

23 pages, 11842 KB  
Article
Reasonable Support Parameters for Loess Tunnel Under Different Water Contents: A Case Study
by Hao Chen, Yanbin Luo, Jianxun Chen, Hui Chen, Yanfeng Li, Pengkun Wang and Lele Guo
Appl. Sci. 2025, 15(2), 885; https://doi.org/10.3390/app15020885 - 17 Jan 2025
Cited by 1 | Viewed by 1004
Abstract
Due to the unique structural characteristics of loess, the strength of loess is significantly influenced by the water content. Therefore, different support parameters should be used for loess tunnels constructed in different water content strata. This paper takes the Fengshouling Tunnel as a [...] Read more.
Due to the unique structural characteristics of loess, the strength of loess is significantly influenced by the water content. Therefore, different support parameters should be used for loess tunnels constructed in different water content strata. This paper takes the Fengshouling Tunnel as a case study, studying the reasonable primary support parameters under different water contents using the surrounding rock strength test, on-site monitoring, and numerical simulation software analysis. The research findings indicate that the strength of the surrounding rock is functionally related to its water content, with the cohesive force c exhibiting an exponential relationship and the angle of internal friction φ showing a linear relationship, and that the cohesive force c is more affected by changes in water content than the internal friction angle φ. The crown settlement of the loess tunnel exceeds the horizontal convergence, and the deformation behavior can be categorized into three distinct stages: rapid growth, continuous growth, and slow growth. Concurrently, the primary support structure mainly bears compressive stress. On the basis of considering structural safety and engineering economy, for tunnels with a general water content (10~17%), it is recommended to use I18 steel ribs spaced 60 cm apart and C25 shotcrete with a 24 cm thickness; for high water content (17~25%), it is recommended to use I20a steel ribs, also spaced 60 cm apart, complemented by C25 shotcrete increased to a 26 cm thickness; for situations with an extremely high water content (≥25%), it is recommended to reinforce the surrounding rock with curtain grouting and use steel ribs with the same 60 cm spacing, along with C25 shotcrete maintained at a 26 cm thickness. This paper proposes reasonable support parameters for loess tunnels applicable to different water contents. These results can provide guidance and specific reference for loess tunnels under different water content strata. Full article
(This article belongs to the Special Issue Advances in Tunnel and Underground Construction)
Show Figures

Figure 1

19 pages, 7425 KB  
Article
Study on Engineering Properties and Mechanism of Loess Muck Grouting Materials
by Zhenxu Wu, Chaoliang Ye, Benguo He, Fengxu Cao and Tao Zhang
Buildings 2024, 14(11), 3400; https://doi.org/10.3390/buildings14113400 - 25 Oct 2024
Viewed by 1343
Abstract
Shield tunneling generates a massive amount of muck, and achieving the on-site reuse of muck is an urgent need in the field of shield tunneling. This study, based on a section of the Xianyang diversion tunnel in a loess stratum, aims to optimize [...] Read more.
Shield tunneling generates a massive amount of muck, and achieving the on-site reuse of muck is an urgent need in the field of shield tunneling. This study, based on a section of the Xianyang diversion tunnel in a loess stratum, aims to optimize the mix ratios of loess muck grouting materials to meet specific performance requirements. Laboratory tests were conducted to analyze the effects of the bentonite content and water–solid ratio on the properties of grout. The engineering properties, cost, and environmental impact of the optimized loess muck grouting materials were compared with those of traditional grouting materials. Additionally, XRD, SEM, and CT were employed to investigate the solidification mechanism of loess muck grouting materials. The results show that the bleeding rate, setting time, fluidity, and consistency of loess muck grouting materials decreased with increasing bentonite content, while these properties increased as the water–solid ratio rose. The compressive strength reached 0.26 MPa and 1.05 MPa at 3 d and 28 d, respectively. Compared to traditional grouting materials, the economic cost and carbon emissions of loess muck grouting materials were reduced by 49.46% and 37.17%, respectively. As the curing time increased, gel filling and particle agglomeration reduced the number of pores. The dense microstructure is the primary factor for the improvement of strength. Full article
(This article belongs to the Section Building Materials, and Repair & Renovation)
Show Figures

Figure 1

13 pages, 3085 KB  
Article
Study on the Impact of Groundwater and Soil Parameters on Tunnel Deformation and Sensitivity Analysis
by Yongxin Li, Zhimin Zhang, Jinyu Dong, Bobo Wang and Chuang Wang
Appl. Sci. 2024, 14(18), 8196; https://doi.org/10.3390/app14188196 - 12 Sep 2024
Cited by 2 | Viewed by 1555
Abstract
Based on the Xiaolangdi North Bank Irrigation Area Project, this study combines numerical simulation and BP neural network methods to investigate the sensitivity of tunnel soil and its parameter inversion under continuous heavy rainfall. The research results indicate that changes in water-level and [...] Read more.
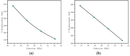
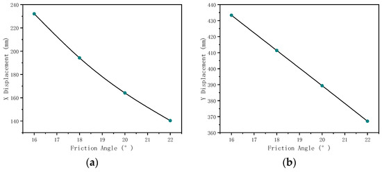
Based on the Xiaolangdi North Bank Irrigation Area Project, this study combines numerical simulation and BP neural network methods to investigate the sensitivity of tunnel soil and its parameter inversion under continuous heavy rainfall. The research results indicate that changes in water-level and soil strength parameters have a significant impact on the deformation of tunnel surrounding rock. By comparing the sensitivity factors of different parameters, the main parameter sensitivities affecting the displacement of tunnel surrounding rock were determined to be water level, internal friction angle, and cohesion. The mechanical characteristics of the tunnel construction process were analyzed using finite difference method numerical analysis software FLAC3D, and the results were used as a sample dataset for inversion analysis. Through neural network inverse analysis based on orthogonal design method, the cohesion and internal friction angle of loess layer ④, loess layer ④-1, and loess layer ⑤ were determined, and the data of groundwater level elevation were obtained. Field applications proved the effectiveness and rationality of this method. Full article
Show Figures

Figure 1

23 pages, 7639 KB  
Article
Experimental Study on the Water Absorption, Compaction Effect, and Pull-Out Bearing Characteristics of Water-Absorbing and Compaction Anchoring Bolts
by Xin Ren, Tianhu He, Feng Yue and Pengfei He
Appl. Sci. 2024, 14(16), 6960; https://doi.org/10.3390/app14166960 - 8 Aug 2024
Cited by 3 | Viewed by 1715
Abstract
In response to a series of engineering disasters encountered during the excavation and support construction of loess tunnels, considering the issues of water enrichment in surrounding rock induced by excavation disturbance and system bolt failure, drawing on the concepts of lime pile composite [...] Read more.
In response to a series of engineering disasters encountered during the excavation and support construction of loess tunnels, considering the issues of water enrichment in surrounding rock induced by excavation disturbance and system bolt failure, drawing on the concepts of lime pile composite foundation and composite bearing arch, and based on the principle of the New Austrian Tunneling Method (NATM) that fully mobilizes and leverages the self-supporting capacity of surrounding rock, this study comprehensively considers the wetting and stress adjustment processes of the surrounding rock after excavation disturbance in loess tunnels. By adopting the technical principle of “water absorption and densification of shallow surrounding rock, suspension and anchoring of deep surrounding rock, and composite arch bearing”, a new type of water-absorbing, densifying, and anchoring bolt was developed that can reduce the water content of surrounding rock while enhancing its resistance. To further investigate the water absorption, densification effect, and pull-out bearing characteristics of this new bolt, laboratory model tests were conducted, examining the temperature, pore water pressure, densification stress of the soil around the bolt, as well as the physical properties of the soil in the consolidation zone. The test results indicate that a cylindrical heat source forms around the water-absorbing, densifying, and anchoring bolt, significantly inducing the thermal consolidation of the surrounding soil. The variations in temperature, pore water pressure, and densification stress of the soil around the bolt truly reflect the qualitative patterns of hydro-thermal–mechanical changes during the water absorption, curing, and exothermic reaction processes. The water absorption and densification segment of the bolt effectively enhances the density of the soil in the water absorption, densification, and consolidation zone, improving soil strength parameters. Compared to traditional mortar-bonded bolts, the water-absorbing, densifying, and anchoring bolt exhibits a greater pull-out bearing capacity. The research findings provide important guidance for the theoretical design and engineering application of this new type of bolt. Full article
Show Figures

Figure 1

17 pages, 5523 KB  
Article
Construction Stability Analysis and Field Monitoring of Shallowly Buried Large-Section Tunnels in Loess Strata
by Fang Zheng, Wenqiang Li, Zhanping Song, Jiahui Wang, Yuwei Zhang, Naifei Liu, Kehui Xiao and Yan Wang
Water 2024, 16(15), 2192; https://doi.org/10.3390/w16152192 - 2 Aug 2024
Cited by 6 | Viewed by 1994
Abstract
Reasonable excavation step footage and lining support timing are highly important for improving tunnel construction efficiency and ensuring construction safety. Taking the Huanxian No. 1 Tunnel of the Xi-Yin railway as the basis of this study, a 3D numerical model was established using [...] Read more.
Reasonable excavation step footage and lining support timing are highly important for improving tunnel construction efficiency and ensuring construction safety. Taking the Huanxian No. 1 Tunnel of the Xi-Yin railway as the basis of this study, a 3D numerical model was established using MIDAS GTS NX290 finite element software. This model was used to investigate the deformation and force characteristics of the tunnel-surrounding rock and support structures under three different excavation footages and four different lining construction timings; the numerical results were then compared with the on-site monitoring results. This research aimed to determine reasonable excavation parameters for the three-bench seven-step excavation method used in shallowly buried loess tunnels. The results revealed positive correlations between the excavation step footage and surface subsidence, crown subsidence, and clearance convergence. An excavation footage of 3 m could balance construction efficiency and safety effectively. Keeping the secondary lining construction time unchanged, the early closure of the initial support was beneficial for reducing the force on the secondary lining. Keeping the early closure time of the initial support unchanged, the early construction of the secondary lining would lead to an increase in the force on the secondary lining. The initial support of the tunnel is recommended to be closed as early as possible, and the construction of the secondary lining should be shifted by 21 m behind the upper step palm surface. By comparing the on-site monitoring data with the numerical simulation results, similar trends were observed, providing reference and guidance for the subsequent construction of large-section tunnels in shallowly buried loess formations. Full article
Show Figures

Figure 1

Back to TopTop