A Numerical Simulation of the Underwater Supersonic Gas Jet Evolution and Its Induced Noise
Abstract
1. Introduction
2. Numerical Methods
2.1. Mathematical Method
2.2. Numerical Scheme
2.3. Initial and Boundary Conditions
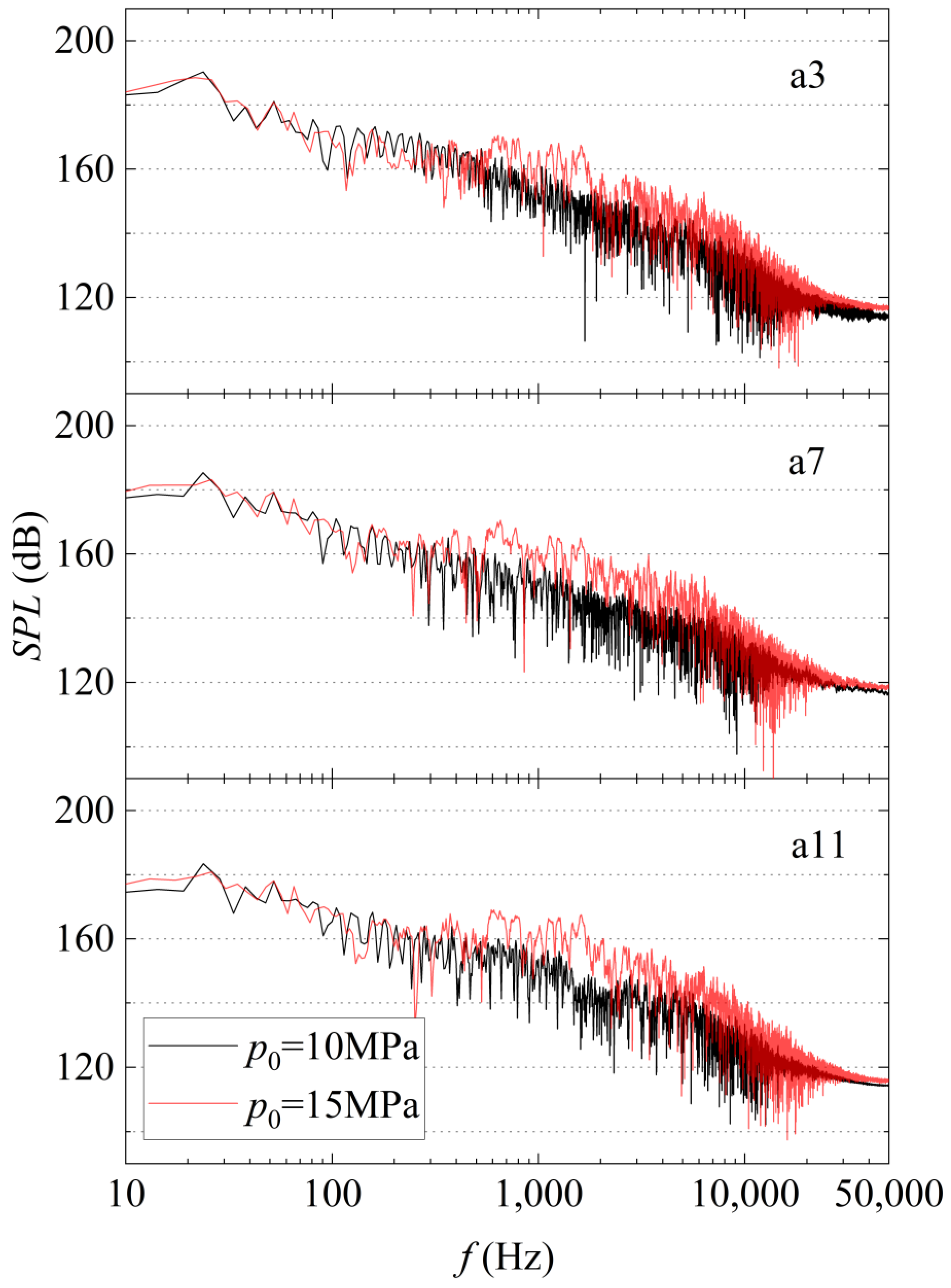
3. Results and Discussion
3.1. Verification with the Experimental Results
3.2. The Development of Underwater Supersonic Jets
3.3. Noise Radiation Characteristics
4. Conclusions
- During the initial stage of an underwater jet, the supersonic jet forms a continuously expanding gas bubble enveloped in water, and high-frequency noise is generated by the interaction of the shockwaves formed by the supersonic jet. As the jet reaches its maximum length, the impact force gradually weakens, and the gas bubble ruptures and transforms into a conical jet. Consequently, the high-frequency noise transitions into low-frequency noise.
- When the gas bubble detaches from the nozzle, jet necking occurs at the nozzle outlet, leading to intense jet instability and severe pressure fluctuations. The closer the jet is to full expansion, the more severe the disturbance the jet is subjected to.
- After the jet transforms into a conical jet, the pressure fluctuations along the centerline of the jet exhibit three peaks. The first two peaks within the core area of the jet correspond to shock interaction in a supersonic jet, which is amplified by the two-phase interaction. The third peak corresponds to the streamwise location where the local Mach number approaches unity, indicating that the jet is most unstable at the sonic point.
- In cases with equal water depth, the overall trend of the sound pressure and sound pressure level spectrum of the under-expanded and fully expanded jets remains consistent. In particular, the low-frequency noise in both cases is almost identical. However, the high-frequency noise (above 400 Hz) in the under-expanded jet is greater than in the fully expanded jet. Thus, the OASPL of the under-expanded jet is also larger.
Author Contributions
Funding
Institutional Review Board Statement
Informed Consent Statement
Data Availability Statement
Conflicts of Interest
Nomenclature
| Dt | Throat diameter of the nozzle | H | Water depth |
| D* | Throat diameter of the nozzle in the experiment | pb | Outlet pressure |
| γ | Heat ratio | p0/pb | Nozzle pressure ratio (NPR) |
| Md | Design Mach number | θ | Angle with jet direction |
| Ae/At | Expansion ratio | SPL | Sound pressure level |
| p0 | Total pressure at the nozzle inlet | OASPL | Overall sound pressure level |
| T0 | Total temperature at the nozzle inlet |
References
- Zhang, J.; Xia, Z.; Huang, L.; Ma, L. Review of underwater two-phase propulsion technology. J. Ship Mech. 2020, 24, 1507–1516. [Google Scholar]
- Cieslinski, J.T.; Mosdorf, R. Gas bubble dynamics-experiment and fractal analysis. Int. J. Heat Mass Transf. 2005, 48, 1808–1818. [Google Scholar] [CrossRef]
- Mori, K.; Ozawa, Y.; Sano, M. Characterization of gas jet behavior at a underwater orifice in liquid metal. Trans. Iron Steel Inst. Jpn. 1982, 22, 377–384. [Google Scholar] [CrossRef]
- McNallan, M.J.; King, T.B. Fluid dynamics of vertical underwater gas jets in liquid metal processing systems. Metall. Trans. B 1982, 13, 165–173. [Google Scholar] [CrossRef]
- Chen, K.; Richter, H.J. Instability analysis of the transition from bubbling to jetting in a gas injected into a liquid. Int. J. Multiph. Flow 1997, 23, 699–712. [Google Scholar] [CrossRef]
- Shi, H.H.; Guo, Q.; Wang, C.; Wang, X.G.; Zhang, L.T.; Dong, R.; Jia, H. Experiments on the relationship between bulging and back-attack of underwater supersonic gas jets. Chin. J. Theor. Appl. Mech. 2010, 6, 1206–1210. [Google Scholar]
- Weiland, C.; Vlachos, P.P. Round gas jets underwater in water. Int. J. Multiph. Flow 2013, 48, 46–57. [Google Scholar] [CrossRef]
- Tang, Y.; Li, S.; Liu, Z.; Sui, X.; Wang, N. Research on thrust fluctuation characteristics of underwater solid rocket motor. J. Solid Rocket. Technol. 2016, 39, 476–481. [Google Scholar]
- Zhang, C.; Yu, W.; Wang, B. Research on the initial flow field characteristics of underwater supersonic gas jets. Acta Armamentarii 2018, 39, 961–968. [Google Scholar]
- Wang, L.; Liu, Y.; Li, D.; Wu, Q.; Wang, G. Numerical study of underwater supersonic gas jets for solid rocket engine. Acta Armamentarii 2019, 40, 1161–1170. [Google Scholar]
- Zhang, X.; Li, S.; Yang, B.; Wang, Y.; Tong, Y.; Wang, N. Analysis of the Flow Instability of Supersonic Gaseous Jets for Submarine Vehicles Working in Deep Water. Acta Armamentarii 2019, 40, 2385–2398. [Google Scholar]
- Hou, Z.; Huang, X.; Li, N.; Weng, C. Two-dimensional numerical simulation of underwater high-speed gas jet and complex wave system. J. Unmanned Undersea Syst. 2020, 28, 67–74. [Google Scholar]
- Cao, J.; Lu, C.J.; Li, J. Research on dynamic characteristics of underwater superasonic gas jets. J. Hydrodyn. 2009, 24, 575–582. [Google Scholar]
- Hao, Z.; Wang, L.; Wu, D. Numerical simulation of high speed jet flow field of under water jet propulsion craft. J. Zhejiang Univ. 2010, 44, 408–412. [Google Scholar]
- Zhang, X.; Li, S.; Yu, D.; Yang, B.; Wang, N. The evolution of interfaces for underwater supersonic gas jets. Water 2020, 12, 488. [Google Scholar] [CrossRef]
- Gan, X.; Jia, Y.; Lu, C.; Cao, J.Y. Research on numerical simulation of combustion gas jet under water. J. Solid Rocket. Technol. 2009, 32, 23–26. [Google Scholar]
- Fronzeo, M.; Kinzel, M.P. An Investigation of Compressible Gas Jets Underwater into Water. In Proceedings of the 46th AIAA Fluid Dynamics Conference, Washington, DC, USA, 13–17 June 2016. [Google Scholar]
- Bie, H.Y.; Ye, J.J.; Hao, Z.R. Effect of nozzle geometry on characteristics of submerged gas jet and bubble noise. J. Lab. Autom. 2016, 21, 652–659. [Google Scholar] [CrossRef]
- Xu, W.; Lai, Z.; Wu, D.; Wang, L. Acoustic emission characteristics of underwater gas jet from a horizontal exhaust nozzle. Appl. Acoust. 2013, 74, 845–849. [Google Scholar] [CrossRef]
- Liu, J.; Qin, S.; Wu, D. Acoustic Analyses on Jet-Bubble Formation Based on 3D Numerical Simulations. In Proceedings of the INTER-NOISE and NOISE-CON Congress and Conference Proceedings, Hamburg, Germany, 21 August 2016; Institute of Noise Control Engineering: Reston, VA, USA, 2016; pp. 1459–1467. [Google Scholar]
- Miao, T.; Liu, J.; Qin, S.; Chu, N.; Wu, D.; Wang, L. The flow and acoustic characteristics of underwater gas jets from large vertical exhaust nozzles. J. Low Freq. Noise Vib. Act. Control. 2018, 37, 74–89. [Google Scholar] [CrossRef]
- Cong, S.; Liu, J. Experimental study on bubble acoustic characteristics of elliptical nozzles. In Proceedings of the E3S Web of Conferences, EDP Sciences, Online, 5 August 2021; Volume 299, p. 01009. [Google Scholar]
- Liu, J.; Cong, S.; Song, Y.; Chen, S.; Wu, D. Flow structure and acoustics of underwater imperfectly expanded supersonic gas jets. Shock. Waves 2022, 32, 283–294. [Google Scholar] [CrossRef]
- Ffowcs, W.J.E.; Hawkings, D.L. Sound generation by turbulence and surfaces in arbitrary motion. Philos. Trans. R. Soc. Lond. Ser. A Math. Phys. Sci. 1969, 264, 321–342. [Google Scholar]
- Zhong, Q.; Jiao, Z.; Nie, W.; Li, Y.; Gu, N. Numerical investigation of mass transfer behavior of a gas–liquid two-phase Taylor flow in a microchannel by a volume-of-fluid multiphase flow system. Int. J. Mech. Syst. Dyn. 2022, 2, 253–264. [Google Scholar] [CrossRef]
- Hong, B.; Hu, C.; Xing, H. A modified method considering vortex effect for modelling unsteady cavitating flows. Acta Mech. Sin. 2023, 39, 322399. [Google Scholar] [CrossRef]
- Zhang, H.; Guo, Z.Q.; Wang, R.Q.; Chen, Z.H.; Huang, Z.G. Initial flow characteristics of an underwater supersonic gas jet. J. Vib. Shock. 2019, 38, 88–93. [Google Scholar]
- Luo, X.; Li, Q.; Zhang, Z.; Zhang, J. Research on the underwater noise radiation of high pressure water jet propulsion. Ocean. Eng. 2021, 219, 108438. [Google Scholar] [CrossRef]
- Meneveau, C.; Lund, T.S.; Cabot, W.H. A Lagrangian dynamic subgrid-scale model of turbulence. J. Fluid Mech. 1996, 319, 353–385. [Google Scholar] [CrossRef]
- Chin, C.; Li, M.; Harkin, C.; Rochwerger, T.; Chan, L.; Ooi, A.; Risborg, A.; Soria, J. Investigation of the flow structures in supersonic free and impinging jet flows. J. Fluids Eng. 2013, 135, 031202. [Google Scholar] [CrossRef]
- Chan, L.; Chin, C.; Soria, J.; Ooi, A. Large eddy simulation and Reynolds-averaged Navier-Stokes calculations of supersonic impinging jets at varying nozzle-to-wall distances and impinging angles. Int. J. Heat Fluid Flow 2014, 47, 31–41. [Google Scholar] [CrossRef]















| Total Pressure at Nozzle Inlet p0 (MPa) | Total Temperature at Nozzle Inlet T0 (K) | Water Depth H (m) | NPR p0/pb | |
|---|---|---|---|---|
| Under-expansion condition | 15 | 2300 | 20 | 50.45 |
| Full expansion condition | 10 | 2300 | 20 | 33.63 |
| OASPL | Measuring Point A | Measuring Point B | Measuring Point C |
|---|---|---|---|
| Experimental results | 190 | 189 | 184 |
| Simulation results of the present work | 195.3 | 195.9 | 193.3 |
| Relative error | +2.8% | +3.7% | +5.1% |
Disclaimer/Publisher’s Note: The statements, opinions and data contained in all publications are solely those of the individual author(s) and contributor(s) and not of MDPI and/or the editor(s). MDPI and/or the editor(s) disclaim responsibility for any injury to people or property resulting from any ideas, methods, instructions or products referred to in the content. |
© 2023 by the authors. Licensee MDPI, Basel, Switzerland. This article is an open access article distributed under the terms and conditions of the Creative Commons Attribution (CC BY) license (https://creativecommons.org/licenses/by/4.0/).
Share and Cite
Yu, W.; Wang, B.; Zhang, C. A Numerical Simulation of the Underwater Supersonic Gas Jet Evolution and Its Induced Noise. Appl. Sci. 2023, 13, 8336. https://doi.org/10.3390/app13148336
Yu W, Wang B, Zhang C. A Numerical Simulation of the Underwater Supersonic Gas Jet Evolution and Its Induced Noise. Applied Sciences. 2023; 13(14):8336. https://doi.org/10.3390/app13148336
Chicago/Turabian StyleYu, Wei, Baoshou Wang, and Chun Zhang. 2023. "A Numerical Simulation of the Underwater Supersonic Gas Jet Evolution and Its Induced Noise" Applied Sciences 13, no. 14: 8336. https://doi.org/10.3390/app13148336
APA StyleYu, W., Wang, B., & Zhang, C. (2023). A Numerical Simulation of the Underwater Supersonic Gas Jet Evolution and Its Induced Noise. Applied Sciences, 13(14), 8336. https://doi.org/10.3390/app13148336

