Abstract
As an important component in seismic isolation bridges, steel dampers should have excellent low-cycle fatigue performance. This paper performs destructive tests of two types of steel dampers to accurately evaluate the fatigue damage of steel dampers under earthquake action. The damage index of steel dampers under the combined effect of cumulative energy dissipation and maximum deformation is established based on the damage states’ development during the testing process, which can characterize the degree and state of damage of steel dampers under earthquake action. The seismic performance of a seismic isolation continuous girder bridge is evaluated using the frequency statistical method of incremental dynamic analysis beyond the designated functional state, and the fragility analysis of steel dampers was carried out. The results show that the faster the loading rate, the more susceptible steel dampers are to fatigue failure. Under the design earthquake, the basic state of most dampers enters the energy dissipation state, realizing the seismic design goal of protecting bridge piers. The results indicate that the dampers’ overall performance state is slightly damaged, and the fatigue failure of steel dampers is not prominent in most earthquake cases.
1. Introduction
Using steel dampers has been proven to be one of the most effective methods for protecting bridges from earthquakes. Due to their stable performance, low maintenance costs, and high predictability, steel dampers have been widely utilized in bridge design for seismic isolation [1]. Various types of steel dampers, such as X-shaped [2], triangular [3], tapered [4], C-shaped [5], S-shaped [6], and E-shaped [7], have been developed and improved over time. The energy dissipation of metal dampers mainly depends on the non-elastic deformation of the metal, which may lead to fatigue damage after multiple cycles in an earthquake. In particular, strong aftershocks may occur after large earthquakes. For example, Kyushu Island experienced three strong tremors within three days of the 2016 Kumamoto earthquake [7,8]. Therefore, steel dampers should have excellent low-cycle fatigue performance, and scholars have paid increasing attention to their damage assessment. The damage process of steel dampers is essentially the accumulation and development of the produced plastic deformation. Evaluating the damage level of steel dampers solely based on the number of cycles in the hysteresis curve is empirical and cannot directly reflect the damage severity. In order to solve this issue, Ou Jinping [9] defined a damage index for steel dampers in steel frame structures, considering both the cumulative energy dissipation and maximum deformation effects of the component. Wang Tong [10] defined a strain level-based damage index for steel damper bearing according to the combined effects of cumulative energy dissipation and maximum deformation in the Park-Ang model [11]. Zhou Lianxu [12] evaluated the low-cycle fatigue performance of triangular steel dampers employed in bridge design under different earthquake excitations using the shaking table test of the Sutong Bridge as a background based on the improved strain counting method, cumulative inelastic strain method, and equivalent hysteresis energy method. However, these three methods did not consider the non-cumulative circulatory damage generated by the steel damper when it undergoes unidirectional maximum deformation. Generally, the low-cycle fatigue damage of steel dampers under earthquake is recognized to be the combined effect of cumulative cyclic and maximum deformation effects. The required cumulative inelastic strain (CIS) value generally exceeds 0.7 [13,14], and the ratio of the area enclosed by the hysteresis curve to that enclosed by the hysteresis curve at the design displacement should exceed 30 [15].
The fragility analysis can effectively evaluate the reliability of bridge components under earthquakes, and some scholars have utilized it to assess the performance of devices in seismically isolated design bridges [16,17]. Agrawal [18] adopted a steel continuous girder bridge as an example and demonstrated the effectiveness of viscous damping devices in promoting the bridges’ seismic performance by forming fragility curves. Xiang [19] utilized a continuous girder bridge with lead-rubber bearings as an example and discussed the seismic performance of bridge structures with four devices, including elastic-plastic cables, viscous damping devices, frictional damping devices, and shape memory alloys. Gao [20] employed a continuous girder bridge to analyze the fragility of non-isolated and seismically isolated design bridges. However, the damaged state grading of friction pendulum bearings was relatively coarse, and further refinement and improvement of quantitative indicators are still required. Scholars have not well-developed the corresponding evaluation system for seismic damage of seismic isolation devices while analyzing their seismic performance, and the performance classification is also relatively coarse. Moreover, there are few studies on the fragility analysis of steel dampers in seismic isolation bridges. This paper takes the damage index of steel dampers as the research objective, quantitatively evaluates the damage degree of dampers, and studies the probability of various levels of damage occurring in steel dampers under different levels of an earthquake. The goal is to provide a basis for selecting steel damper parameters in designing seismic isolation bridges.
2. Steel Damper Experiment
2.1. Specimen Parameters
This study chooses cylindrical and E-shaped steel dampers as the research subjects. These two types of steel dampers exhibit clear mechanical behavior, simple construction, and stable performance. They are less influenced by factors such as processing accuracy and installation errors. Specifically, cylindrical dampers allow for bidirectional vibration control and are widely used in seismic isolation bridges, making them highly representative choices for investigation. The common cylindrical steel damper device is shown in Figure 1a. In practical engineering applications, the bottom plate and upper plate are connected to the pier and girder, respectively. When a relative displacement occurs between the pier and the girder, the upper plate induces the movement of the spherical head, causing deformation in the cylindrical damper and generating horizontal damping force. The typical E-shaped steel damper device is shown in Figure 1b. The upper connecting plate is connected to the middle limb, while the lower connecting plate is connected to the two side limbs. The upper and lower connecting plates are installed on the pier and girder, respectively. When a relative displacement occurs between the girder and the pier, the upper connecting plate drives the movement of the middle limb, causing deformation in the E-shaped damper and generating horizontal damping force.
Figure 1.
Connection device and mechanical diagram. (a) Cylindrical steel damper (b) E-shaped steel damper.
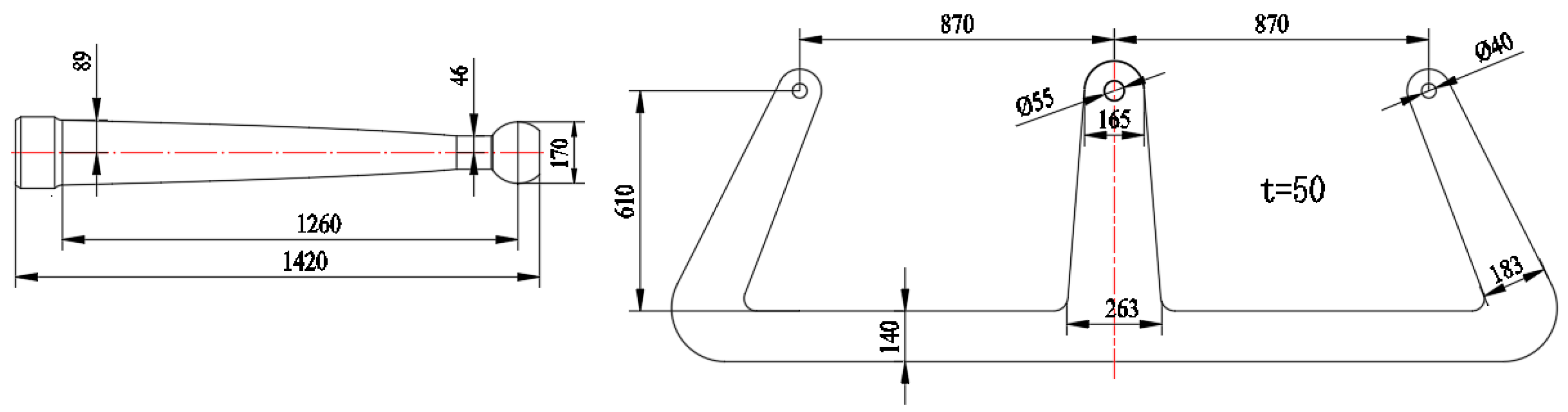
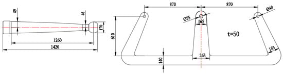
The cylindrical and E-type steel dampers were designed with the same mechanical parameters. The yield stress of the steel damper is 345 Mpa, the design yield force is 150 KN, and the design displacement is ±300 mm. Figure 2 shows the steel damper dimensions. The number of each type of damper is two. The dimensions of Cylindrical Specimens #1 & #2 and E-shaped specimens #1 & #2 are identical.
Figure 2.
The steel damper dimensions.
2.2. Loading Schemes
The loading configurations for the cylindrical steel damper and E-shaped steel damper are illustrated in Figure 3. The loading rule follows the reference of Chinese standards, which specifies that analyzing the mechanical behavior of dampers requires loading at four displacement levels, which are 0.25Δd, 0.5Δd, 1Δd, and 1.2Δd. The corresponding number of cycles for each displacement level is 5, 5, 10, and 1 cycle, respectively. And then, under the displacement of 1Δd, the dampers are cyclically loaded until failure to analyze their fatigue performance. The average speed of all loading steps should not be less than 2 mm/s. For the E-shaped specimens, loading is performed according to the requirements of the standard. Considering the rapid deformation rate of steel dampers under an earthquake, the loading speed is increased in the 5th loading step. The difference between Specimen #1 and Specimen #2 lies in the loading rate of the 5th loading step, aiming to analyze the effect of the loading rate on fatigue performance. As for the cylindrical specimens, there is a slight deviation in the loading displacement compared to the standard, but it generally achieves the objective of analyzing the fatigue performance of the dampers. After increasing the loading rate in the 4th loading step, it is found that the loading device has the remaining capacity, so the loading speed is further increased in the 5th loading step. The loading scheme is presented in Table 1.
Figure 3.
Experimental loading process. (a) Cylindrical steel damper (b) E-shaped steel damper.
Table 1.
Loading scheme of steel dampers.
2.3. Test Results
The failed steel dampers are shown in Figure 4. The cylindrical #1 specimen failed after 54 cycles under the designed displacement, while the cylindrical #2 specimen failed after 41 cycles under a higher loading rate. The failure locations and modes were the same. The E-shaped #1 specimen failed after 40 cycles under the designed displacement, while the E-shaped #2 specimen failed after 33 cycles under a higher loading rate, with both failures occurring in the middle of the cross beam. Figure 5 shows the force-displacement curves for the four specimens with full hysteresis curves, which can withstand multiple cycles of reciprocating loads under the designed displacement, meeting the earthquake requirements. The experimental results indicate that the faster the loading rate, the more likely the specimen is to experience fatigue failure.

Figure 4.
Damage phenomenon of steel dampers. (a) Cylindrical #1 (b) Cylindrical #2 (c) E-shape #1 (d) E-shape #1.
Figure 5.
Force-displacement curves of steel dampers. (a) Cylindrical #1 (b) Cylindrical #2 (c) E-shape #1 (d) E-shape #2.
3. Steel Damper Damage Indexes
3.1. Relationship between Strain and Displacement
After choosing the strain-based damage assessment, since the displacement response is easier to obtain than the strain response in practical engineering, the quantitative relationship between the strain and displacement of the steel dampers should be determined. The theoretical relationships between the displacement and strain of the cylindrical and E-shaped steels are obtained through a plane section assumption, as shown in Equation (1) [4] and Equation (2) [21].
where F is the damping force, δ is the displacement of the steel damper, l is the height of the steel damping element, εmax is the maximum strain at the bending side surface of the steel damper, and σy is the steel’s yield strength.
where β = 2(a/a1)3 + (a/a2)3, δy is the yield displacement of the steel damper, h is the height of the middle limb, l is the length of the cross beam on one side, a, a1, and a2 are the widths of the cross beam, middle limb, and side limb, respectively, εy is the steel’s yield strain, and εmax is the maximum strain on the steel damper’s surface, as shown Figure 6.
Figure 6.
Schematic diagram of the E-shaped steel damper.
Theoretical equations only apply to the steel dampers’ state before entering the initial yield. After significant yielding of the steel damper, especially after entering large deformation, there is a nonlinear relationship between its corresponding displacement and strain, which can be calculated through numerical models. Figure 6 shows the strain-displacement curves of two types of steel damper obtained by theoretical equations and numerical models, respectively, where the strain values extracted by numerical models are the maximum strain response values in the damper energy dissipation region. As shown in Figure 7, Equations (1) and (2) underestimate the strain response of the damper to varying degrees, leading to an overestimation of the number of horizontal reciprocating loadings that the damper can withstand when using theoretical equations for design. Figure 6 also includes the experimental measurement values of the strain response, which began to fail close to 10,000 microstrains due to factors such as strain gauge adhesion. However, the experimental measurement values were compatible with both the approximate and numerical solutions of theoretical equations.
Figure 7.
Relationship between strain and displacement of the steel damper. (a) Cylindrical (b) E-shape.
The strain-displacement curves of the cylindrical and E-shaped steel dampers obtained through numerical modeling in Figure 6 were fitted. Equations (3) and (4) establish the relationship between the two.
3.2. Evaluation Using CIS Indexes
Equation (5) gives the corresponding calculation method of cumulative inelastic strain (CIS) for various situations in the reciprocating loading process.
where g(δ) is a function of strain and peak displacement, (Δεp)n is the CIS of the damper at the nth cycle, δn+ is the peak displacement at the nth cycle, and δn− is the trough displacement at the nth cycle.
Installation gaps in the experimental setup and the expansion and contraction of relevant components during the loading process can cause a specific deviation between the actual deformation value of the steel damper and the target loading value. Based on the experimental measurement data, the CIS values of the two types of steel dampers were calculated using Equation (5) according to the actual deformation in the dampers. The relevant parameters are shown in Table 2.
Table 2.
Steel damper experimental data.
As shown in Table 2, as the loading rate decreases, the steel dampers can withstand more cycles and have a larger CIS value. On the other hand, the dampers can withstand more cycles and have a larger CIS value for steel with a higher elongation rate under similar loading speeds. Therefore, the ductility of the steel should be further considered when evaluating the damage of dampers under the mentioned deformation level. The index of elongation can reflect this capacity to some extent. The ratio of the CIS to the steel elongation is listed in Table 2. It can be seen that the ratio (CIS/λ) of the #1 cylindrical damper and #2 E-shaped damper with faster loading speed is 11.4, while this ratio is close to 14 for the #2 cylindrical damper and #1 E-shaped damper with the slower loading speed.
The relationship between strain displacement may differ for different steel dampers, while the corresponding CIS values should be essentially the same for the same ductile capacity of the steel when it is destroyed. The relative movement speed between the pier and the girder under common earthquakes is generally higher than two mm/s or four mm/s. Usually, it ranges from 10 mm/s to 1000 mm/s, and the actual elongation rate of common steel is about 30%. The CIS value is chosen as 3.49. When the cumulative damage exceeds this threshold, it is considered that the damper has suffered significant damage or failure.
According to the yield state of steel and the performance state of the damper in operation, combined with the observed conditions in the experiment and the experimental results, the steel damper is divided into five performance levels, where their corresponding CIS values are shown in Table 3. The cumulative inelastic strain at the onset of yielding is defined as CIS1. In contrast, the cumulative inelastic strain after the steel damper completes the loading steps (Figure 8) specified in the Chinese standard [22] is defined as CIS2. The cumulative inelastic strain corresponding to minor cracks in the steel damper is defined as CIS3, as shown in Figure 9. The cumulative inelastic strain corresponding to severe cracks or even fracture in the steel damper is defined as CIS4, as shown in Figure 3.
Table 3.
Damage threshold value of steel damper under the cumulative hysteresis effect.
Figure 8.
Steel damper loading process required by the Chinese standard.
Figure 9.
The state of the E-shaped damper at the threshold value CIS3.
3.3. Evaluation Based on Maximum Deformation Index
The unidirectional maximum displacement capacity of steel dampers is directly related to the ultimate strain of the steel. Huang Junfei [23] established a complete stress-strain model by collecting stress-strain curves from 141 sets of tensile tests on carbon steel, and statistically regressed the Equation for the ultimate strain of steel, as shown in Equation (6).
In the regression equation, ε0.2 is the strain value at σ0.2, σ0.2 is the stress value corresponding to the residual strain of 0.2%, e is the ratio of σ0.2 to E0, where E0 is the initial elastic modulus, and the recommended range for e is 0.0017~0.0035. Thus, the ultimate strain of steel εu is determined to be in the range of 0.008~0.14. Since more ductile steel is preferred for the damper design, the conservative value of the ultimate strain is taken as 0.1.
Like the CIS-based evaluation, the performance state of steel dampers is divided into five levels when evaluated by the maximum deformation index. Table 4 shows the detailed threshold values and their corresponding performance state descriptions according to the yield condition of the steel and the design requirements at the Chinese standard level [22], as well as the experimental phenomena. Here, ε1 is the yield strain of general steel, ε2 is the strain value corresponding to 1.0 times the design displacement of the steel damper, ε3 is the strain value corresponding to 1.2 times the design displacement of the steel damper, and ε4 is the ultimate strain of the steel.
Table 4.
Damage limit value of damper under the maximum deformation effect.
3.4. Combined Assessment of Cumulative Inelastic Strain and Maximum Deformation
This paper establishes the comprehensive damage index D of the steel damper, considering the damage assessment criteria of the cumulative inelastic strain effect and the maximum deformation effect simultaneously.
where cis represents the cumulative inelastic strain of the damper during the earthquake, CISu is the ultimate cumulative inelastic strain that the damper can withstand, ε represents the maximum strain of the damper during the earthquake, εu is the ultimate strain that the damper can withstand, and β is a coefficient, which is taken as 2 in this case [9]. Refer to the definition of steel damper’s damage threshold values under the combined action of cumulative inelastic strain effect and maximum deformation effect in Table 3 and Table 4. The comprehensive damage index’s threshold values are calculated from Equation (7), as shown in Table 5.
Table 5.
Comprehensive damage indexes and performance status of the steel damper.
4. Fragility Analysis of Steel Dampers in Bridges Designed for Seismic and Isolation
4.1. Bridge Model
A continuous girder bridge of seismic isolation design with a span of 4 × 50 m was taken as an example. In order to consider the contribution of the adjacent bridge stiffness and mass to the transition pier of the target bridge and realistically simulate the possible collision behavior, the adjacent bridge structure was established in the model at the same time. The analysis software adopts OpenSeeS 3.2.0, with beam elements used for the girders, bridge piers, and foundation. The MinMax material model was utilized to simulate the failure behavior of the fuse pins in the seismic isolation bearings. The mechanical behavior of the frictional component of the bearings and the steel dampers is modeled using a bilinear model. A parallel combination of a spring element with a contact stiffness of kl and a damping element with a damping coefficient of C is adopted to simulate the collision effect at the girder ends. The centralized parameter model proposed by Boulanger [24] is employed to model the pile-soil interaction. For the four-span structure under study, the bridge piers are numbered from left to right as #1, #2, #3, #4, and #5. For the longitudinal direction of the bridge, an isolation bearing with fuse pins and a steel damper device is installed on the pier top of #3, and steel damper devices are installed on the #2 pier and #4 pier. For the transverse direction of the bridge, seismic isolation bearings with fuse pins and steel damper devices are installed on the #2 pier, #3 pier, and #4 pier. Figure 10 describes the numerical model of the overall bridge example.
Figure 10.
The numerical model of the overall bridge.
4.2. Ground Motions Selection
This study adopts the Peak Ground Acceleration (PGA) as the ground motion intensity index. Based on the geological conditions of the bridges, a total of 170 natural earthquake records were selected from the PEER (Pacific Earthquake Engineering Research Center) ground motion database [25], and an additional 30 artificial waves were generated. The selected earthquakes generally have a magnitude of 6 or higher, an epicentral distance of 10 km or greater, and shear wave velocities in the soil layer at a depth of 30 m ranging from 180 m/s to 360 m/s. Figure 11 shows the distribution of ground motions, including the magnitude, epicenter distance, and PGA distributions.
Figure 11.
Distribution of ground motions. (a) Distribution of magnitude and epicentral distance (b) Distribution of PGA.
4.3. Analysis Method
This paper adopts a frequency-based statistical method based on incremental dynamic analysis to analyze the exceedance of specified functional states. Unlike the traditional methods, this method does not require any approximation assumptions or fitting of data points. In contrast, this method counts the number of times the specified damage state is reached or exceeded to obtain the failure probability at the specified functional state, as shown in Equation (8).
where P represents the probability that the component reaches or exceeds the specified functional state; EDP is the seismic demand value of the selected engineering parameters; LSj represents the capacity value of the jth specified functional state; IM is the ground motion intensity index; nj represents the number of times the jth specified functional state is reached or exceeded; N represents the total number of calculations.
4.4. Result Analysis
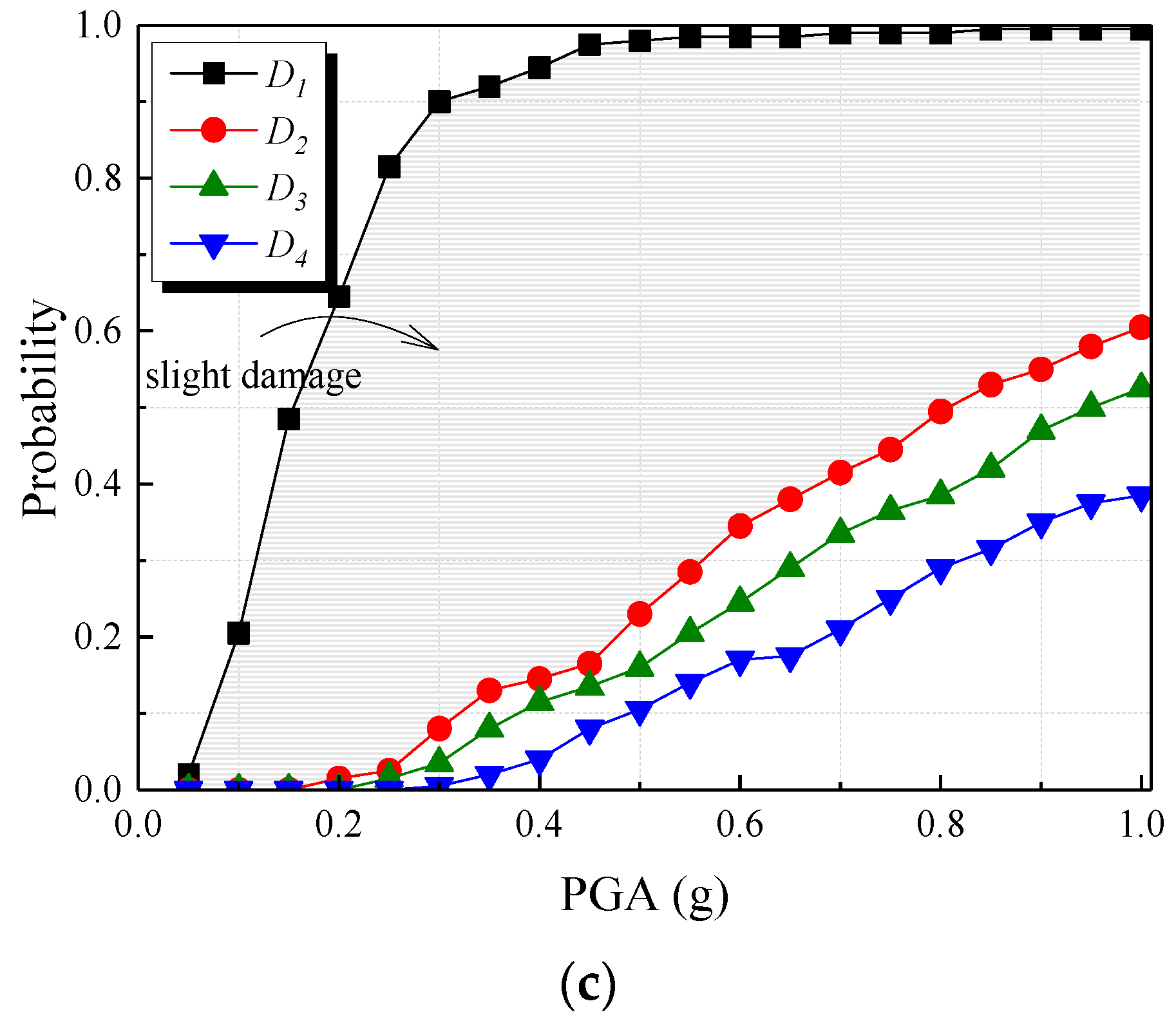
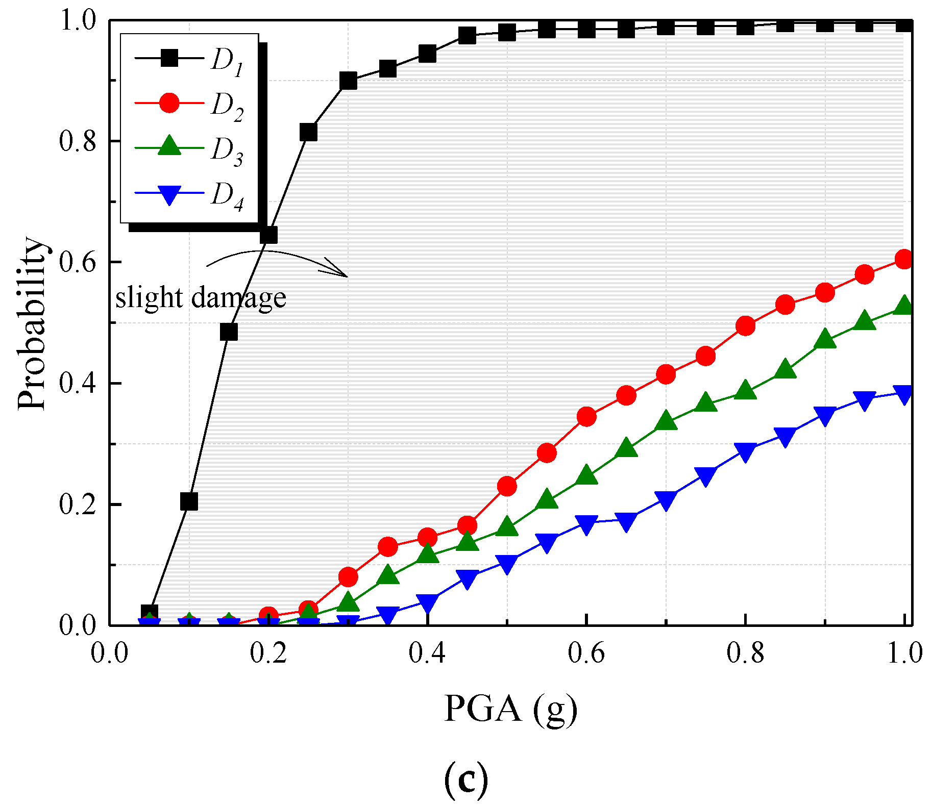
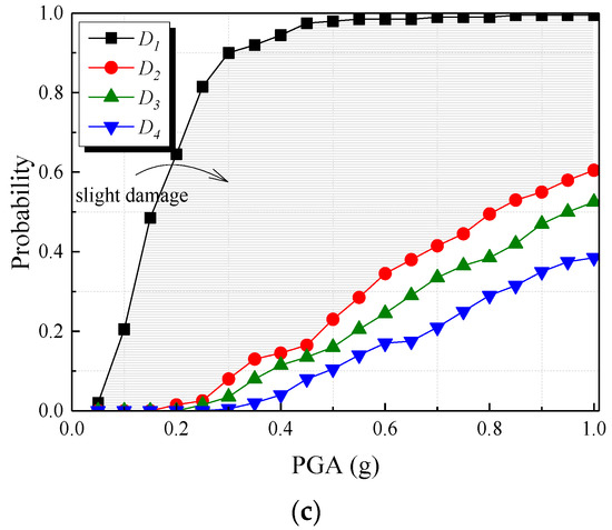
Figure 12 shows the fragility curves of the steel dampers installed in the longitudinal direction of the bridge, where the slight damage state is the primary performance state under the design earthquake. Taking the steel damper on the #2 pier as an example, at PGA = 0.15 g, the probability of moderate or higher damage (D ≥ 0.206) occurring in the steel damper is zero. Even under higher seismic actions (PGA = 0.4 g), the probability of moderate or higher damage occurring is only 14.5%. The probability of experiencing serious or higher damage is 11.5%, and the probability of complete destruction is 4%. At PGA = 0.85, moderate or higher damage begins to dominate, with a probability of 52.5%, a probability of severe or higher damage of 41%, and a probability of complete destruction of 31%.

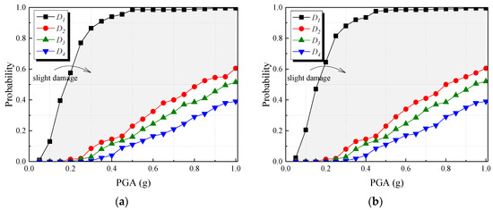
Figure 12.
Fragility curves of steel dampers in the transverse direction. (a) Steel dampers on Pier #2 (b) Steel dampers on Pier #3 (c) Steel dampers on Pier #4.
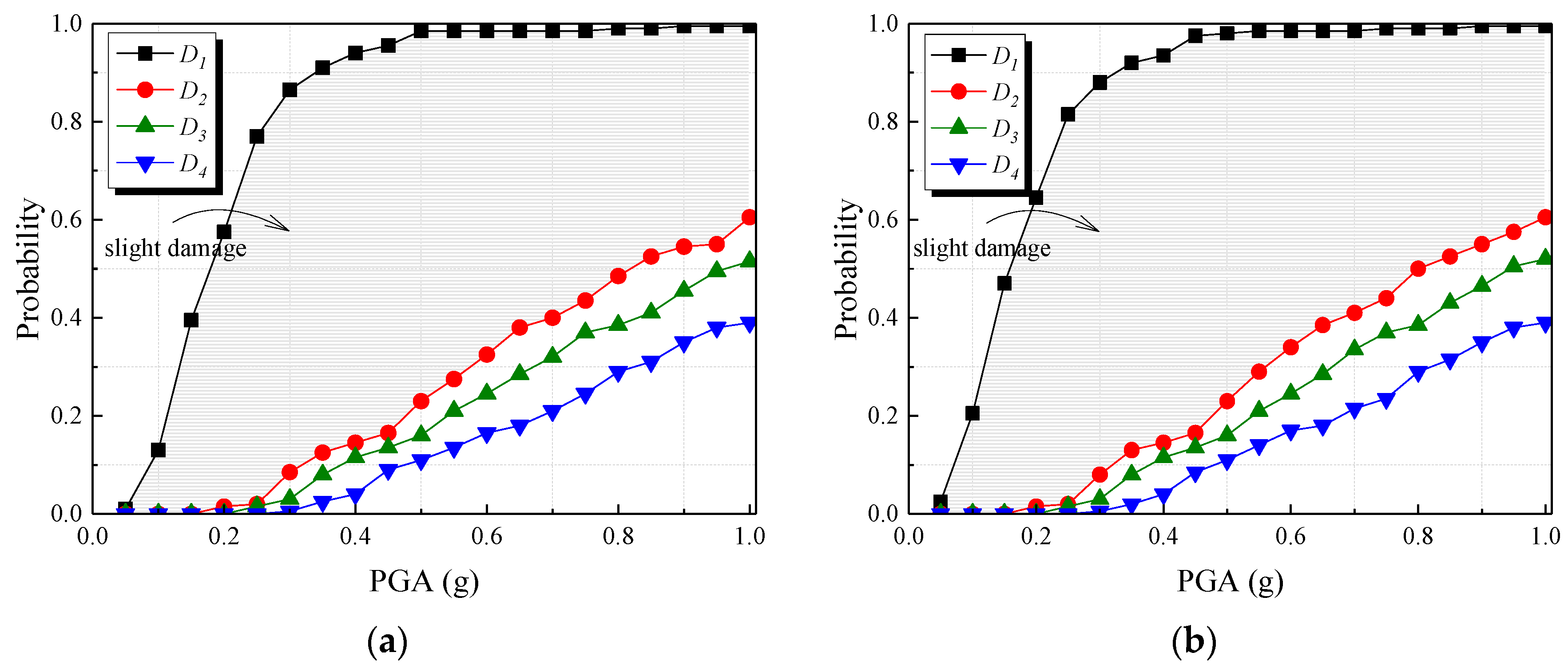
Figure 13 shows the fragility curves of the steel dampers installed in the transverse direction of the bridge, which is similar to the situation in the longitudinal direction. Steel dampers installed along the transverse direction of the bridge also exhibit a high seismic performance reserve in the slight damage state. Taking the steel damper on the #2 pier as an example, at PGA = 0.15 g, the probability of moderate or higher damage (D ≥ 0.206) occurring in the steel damper is zero. Even under higher seismic actions (PGA = 0.4 g), the probability of moderate or higher damage occurring is only 13.5%. The probability of experiencing serious or higher damage is 11.5%, and the probability of complete destruction is 6%. At PGA = 0.85, moderate or higher damage begins to dominate, with a probability of 51.5%, a probability of severe or higher damage of 43.5%, and a probability of complete destruction of 33%. In most seismic scenarios, the fatigue damage of the steel dampers is not a prominent issue.
Figure 13.
Fragility curves of steel dampers in the longitudinal direction. (a) Steel dampers on Pier #2 (b) Steel dampers on Pier #2 (c) Steel dampers on Pier #2.
5. Conclusions
This paper establishes the threshold values of damage indexes for steel dampers based on the cumulative energy dissipation and maximum deformation joint effect, which can characterize the degree and state of damage of steel dampers under the action of an earthquake, providing a basis for the design and fatigue damage assessment of steel dampers. The proposed damage indexes are employed to perform the fragility analysis of steel dampers. The results indicate that all dampers enter the energy dissipation state under the design earthquake. However, they are not destroyed and can maintain the working state to realize the seismic design purpose of protecting piers.
The steel dampers are generally in a slight damage state under the design earthquake, and the fatigue failure problem of steel dampers is not prominent in most earthquake cases. The high deformation capacity of steel dampers compared with the seismic demand allows for a reserve of low-damage performance, enabling slight damage to become the primary damage state of steel dampers in bridge structures under earthquake loading. In engineering design, the designer can adjust the device parameters according to the design goals.
Author Contributions
Conceptualization, H.G. and J.W.; methodology, H.G.; software, M.L.; validation, M.L., H.G. and J.W.; formal analysis, H.G.; investigation, M.L.; resources, J.W.; data curation, H.G.; writing—original draft preparation, M.L.; writing—review and editing, Z.D. and H.Y.; visualization, M.L. and Z.D.; supervision, J.W.; project administration, J.W. and H.Y.; funding acquisition, J.W. All authors have read and agreed to the published version of the manuscript.
Funding
This work was financially supported by the National Natural Science Foundation of China (Grant No. 52078384) and China’s National Key Research and Development Program (Grant No. 2018YFC1504306).
Institutional Review Board Statement
Not applicable.
Informed Consent Statement
Not applicable.
Data Availability Statement
Not applicable.
Conflicts of Interest
The authors declare no conflict of interest.
References
- Javanmardi, A.; Ibrahim, Z.; Ghaedi, K.; Ghadim, H.B.; Hanif, M.U. State-of-the-art review of metallic dampers: Testing, development and implementation. Arch. Computat. Methods Eng. 2020, 27, 455–478. [Google Scholar] [CrossRef]
- Xie, L.Y.; Tong, Y.J.; Xue, S.T.; Wang, B. Experimental study and damage analysis of X-shaped soft steel dampers. Prog. Steel Build. Struct. 2022, 24, 59–64. (In Chinese) [Google Scholar]
- Khoshkalam, M.; Mortezagholi, M.H.; Zahrai, S.M. Proposed modification for ADAS damper to eliminate axial force and improve seismic performance. J. Earthq. Eng. 2022, 26, 5130–5152. [Google Scholar] [CrossRef]
- Tyler, R.G. Tapered steel energy dissipators for earthquake resistant structures. Bull. N. Z. Natl. Soc. Earthq. Eng. 1978, 11, 282–294. [Google Scholar] [CrossRef]
- Farsi, A.; Amiri, H.R.; Dehghan Manshadi, S.H. An innovative C-shaped yielding metallic dampers for steel structures. Structures 2021, 34, 4254–4268. [Google Scholar] [CrossRef]
- Guo, W.; Zhai, Z.P. Seismic control of high-speed railway bridge using S-shaped steel damping friction bearing. Smart Struct. Syst. 2022, 30, 479–500. [Google Scholar]
- Feng, D.M.; Li, A.Q.; Guo, T. Seismic control of a single-tower extradosed railway bridge using the E-Shaped steel damping bearing. Soil Dyn. Earthq. Eng. 2020, 136, 106249. [Google Scholar] [CrossRef]
- Kato, A.; Nakamura, K.; Hiyama, Y. The 2016 Kumamoto earthquake sequence. Proc. Jpn. Acad. 2016, 92, 358–371. [Google Scholar] [CrossRef] [PubMed]
- Ou, J.P.; Niu, D.T.; Wang, G.Y. Fuzzy dynamic reliability analysis and design of multi-story nonlinear seismic steel structures. Earthq. Eng. Eng. Vib. 1990, 04, 27–37. (In Chinese) [Google Scholar]
- Wang, T.; Wang, Y.; Xie, X.; Zhang, H. Seismic susceptibility of steel damping bearings for railroad seismically isolated bridges with unequal height piers. J. Zhejiang Univ. Eng. Ed. 2014, 48, 1909–1916. (In Chinese) [Google Scholar]
- Park, Y.J.; Ang, A.H.S. Mechanistic seismic damage model for reinforced concrete. J. Struct. Eng. 1985, 111, 722–739. [Google Scholar] [CrossRef]
- Zhou, L.X.; Wang, X.W.; Ye, A.J. Low cycle fatigue performance investigation on Transverse Steel Dampers for bridges under ground motion sequences using shake-table tests. Eng. Struct. 2019, 196, 109328. [Google Scholar] [CrossRef]
- Wang, C.L.; Usami, T.; Funayama, J. Improving low-cycle fatigue performance of high-performance buckling-restrained braces by toe-finished method. J. Earthq. Eng. 2012, 16, 1248–1268. [Google Scholar] [CrossRef]
- Wang, C.L.; Usami, T.; Funayama, J.; Imase, F. Low-cycle fatigue testing of extruded aluminium alloy buckling-restrained braces. Eng. Struct. 2013, 46, 294–301. [Google Scholar] [CrossRef]
- JGT297-2013; Ministry of Housing and Urban-Rural Development of the People’s Republic of China. Technical Regulations for Energy Dissipation and Vibration Reduction in Buildings. China Construction Industry Press: Beijing, China, 2013. (In Chinese)
- Yasmin, T.; Chourasia, A.; Bhattacharyya, S.K.; Parashar, J. Fragility analysis for seismic vulnerability assessment of buildings: A review. Int. Res. J. Eng. Technol. 2015, 2, 502–508. [Google Scholar]
- Aghaeidoost, V.; Muntasir Billah, A.H.M. Sensitivity of seismic fragility of base-isolated bridges to lead rubber bearing modeling technique. Struct. Control Health Monit. 2022, 29, e2971. [Google Scholar] [CrossRef]
- Agrawal, A.K.; Ghosn, M.; Alampalli, S.; Pan, Y. Seismic fragility of retrofitted multispan continuous steel bridges in New York. J. Bridge Eng. 2012, 17, 562–575. [Google Scholar] [CrossRef]
- Xiang, N.; Alam, M.S. Comparative seismic fragility assessment of an existing isolated continuous bridge retrofitted with different energy dissipation devices. J. Bridge Eng. 2019, 24, 04019070. [Google Scholar] [CrossRef]
- Gao, N. Research on Seismic Vulnerability Analysis of Large-Span Continuous Girder Bridges. Master’s Thesis, Southwest Jiaotong University, Chengdu, China, 2017. (In Chinese). [Google Scholar]
- Wang, H.; Zhou, R.; Zong, Z.H.; Wang, C.; Li, A.Q. Study on seismic response control of a single-tower self-anchored suspension bridge with elastic-plastic steel damper. Sci. China Technol. Sci. 2012, 55, 1496–1502. [Google Scholar] [CrossRef]
- JT/T843-2012; Ministry of Transport of the People’s Republic of China. Elastoplastic Steel Vibration Isolation Bearings for Highway Bridges. People’s Traffic Press: Beijing, China, 2012. (In Chinese)
- Huang, J.F. Full Stress-Strain Model for Structural Carbon Steel. Master’s Thesis, Central South University, Changsha, China, 2011. (In Chinese). [Google Scholar]
- Boulanger, R.W.; Curras, C.J.; Kutter, B.L.; Wilson, D.W.; Abghari, A. Seismic soil-pile-structure interaction experiments and analyses. J. Geotech. Geoenviron. Eng. 1999, 125, 750–759. [Google Scholar] [CrossRef]
- PEER (Pacific Earthquake Engineering Research Center). PEER Ground Motion Database. Available online: https://ngawest2.berkeley.edu/ (accessed on 1 June 2018).
Disclaimer/Publisher’s Note: The statements, opinions and data contained in all publications are solely those of the individual author(s) and contributor(s) and not of MDPI and/or the editor(s). MDPI and/or the editor(s) disclaim responsibility for any injury to people or property resulting from any ideas, methods, instructions or products referred to in the content. |
© 2023 by the authors. Licensee MDPI, Basel, Switzerland. This article is an open access article distributed under the terms and conditions of the Creative Commons Attribution (CC BY) license (https://creativecommons.org/licenses/by/4.0/).














