Next Article in Journal
Biomechanical Investigation of Patient-Specific Porous Dental Implants: A Finite Element Study
Previous Article in Journal
Earthquake Damage Index and Fragility Analysis of Steel Damper for Seismic Isolation Bridge
 
 
Font Type:
Arial Georgia Verdana
Font Size:
Aa Aa Aa
Line Spacing:
Column Width:
Background:
Article

Absence of Weak Localization Effects in Strontium Ferromolybdate

by
Gunnar Suchaneck
1,* and
Evgenii Artiukh
2
1
TU Dresden, Institute of Solid-State Electronics, 10602 Dresden, Germany
2
SSPA (Scientific-Practical Materials Research Centre of NAS of Belarus), Cryogenic Research Division, 220072 Minsk, Belarus
*
Author to whom correspondence should be addressed.
Appl. Sci. 2023, 13(12), 7096; https://doi.org/10.3390/app13127096
Submission received: 12 May 2023 / Revised: 4 June 2023 / Accepted: 9 June 2023 / Published: 13 June 2023

Abstract

Sr2FeMoO6-δ (SFMO) double perovskite is a promising candidate for room-temperature spintronic applications, since it possesses a half-metallic character (with theoretically 100% spin polarization), a high Curie temperature of about 415 K and a low-field magnetoresistance (LFMR). The magnetic, resistive and catalytic properties of the double perovskite SFMO are excellent for spintronic (non-volatile memory), sensing, fuel cell and microwave absorber applications. However, due to different synthesis conditions of ceramics and thin films, different mechanisms of electrical conductivity and magnetoresistance prevail. In this work, we consider the occurrence of a weak localization effect in SFMO commonly obtained in disordered metallic or semiconducting systems at very low temperatures due to quantum interference of backscattered electrons. We calculate the quantum corrections to conductivity and the contribution of electron scattering to the resistivity of SFMO. We attribute the temperature dependence of SFMO ceramic resistivity in the absence of a magnetic field to the fluctuation-induced tunneling model. We also attribute the decreasing resistivity in the temperature range from 409 K to 590 K to adiabatic small polaron hopping and not to localization effects. Neither fluctuation-induced tunneling nor adiabatic small polaron hopping favors quantum interference. Additionally, we demonstrate that the resistivity upturn behavior of SFMO cannot be explained by weak localization. Here, the fitted model parameters have no physically meaningful values, i.e., the fitted weak localization coefficient (B′) was three orders of magnitude lower than the theoretical coefficient, while the fitted exponent (n) of the electron–electron interaction term (CnTn) could not be assigned to a specific electron-scattering mechanism. Consequently, to the best of our knowledge, there is still no convincing evidence for the presence of weak localization in SFMO.

1. Introduction

Ordered double perovskite oxides of the general formula A2BB′O6 have drawn scientific interest for several decades to due to their interesting magnetic properties and their high potential for use in novel electronic devices. Recently, we published a review on resistivity and tunnel magnetoresistance in double perovskite [1]. Compounds with high spin polarization dramatically enhance spintronic device performance and are required for a new generation of non-volatile memories [2,3]. The room-temperature magnetization and large dielectric response of SFMO enable intriguing applications as microwave absorbers [4,5]. Superior catalytic properties, as well as stability in both oxidizing and reducing atmospheres, enable the use of SFMO not only as an anode but also as a cathode and in symmetrical solid oxide fuel cells. SOFC provides both electron and ionic conductivity, extending the triple-phase boundary compared to purely electronic or purely ionic conductors. These properties can be tailored to a particular application by the substitution of different metal cations at different sites on SFMO lattices. Moreover, iron-rich SFMO materials are excellent catalysts in hydrocarbon oxidation and can prevent carbon deposition due to their ability to exchange lattice oxygen with the gaseous phase. They are also sulfur-tolerant. This opens the way to direct hydrocarbon-fueled SOFCs, eliminating the need for external fuel reforming and sulfur removal components. As such, SOFCs can be greatly simplified and operate with much higher overall efficiency, contributing to a solution to the lack of energy in our modern world [6]. The huge magnetic entropy change at the ferromagnetic transition makes SFMO a candidate for magnetocaloric cooling [7,8].
In a disordered electronic system, the electron motion is diffusive due to scattering at non-uniformities. Weak localization is a physical effect that occurs in disordered electronic systems at very low temperatures. This effect manifests itself as a correction (Δσ) to the conductivity (or, correspondingly, the resistivity) of a metal or semiconductor arising in cases in which the mean free path (l) is in the order of the wavelength (λF = 2π/kF) of the carrier wavefunctions, i.e., kFl~1, with kF denoting the Fermi wave vector. The weak localization correction comes from quantum interference of backscattered electrons. Labeling all the trajectories according to the time (t) it takes for a classical particle to go around a loop, the classical probability (dP) that the diffusing particle returns into the phase volume (dV) at a given time (t) is given by [9] (p. 153)
d P = d V ( 4 π D t ) d / 2
where P is the probability that a quantum mechanical particle will return to the starting point (the wave functions of both time-reversed paths constructively interfere with each other), D = vF2τ/d is the diffusion constant, τ is the elastic scattering time and d is the dimension. The relevant phase volume can be estimated as vF dt (δρδφ)d−1 [10,11], where vF = (2EF/me)1/2 is the Fermi velocity; EF is the Fermi energy; me is the electron mass; δρ and δφ characterize the transverse distance between electron trajectories 1 and 2 at the intersection point, respectively; and δφ is the intersection angle between the two trajectories. For the interference between paths 1 and 2 to be effective, the uncertainty relation should hold:
p F δ ρ δ ϕ = k F δ ρ δ ϕ = h
where pF = mevF is the Fermi momentum, and h is the Planck constant. This leads to a relative change in conductivity of two- and three-dimensional systems, yielding [9] (p. 183):
δ σ 2 D σ 0 = 2 π k F l e ln l Φ l e , Δ σ 3 D σ 0 = 3 2 ( k F l e ) 2
where σ0 is the residual low-temperature conductivity taken as the Drude conductivity, i.e., σDr = e2neτe/me, as determined by the relaxation time (τ) of the dominating charge-scattering mechanism, e is the electron charge, ne is the electron density, τe is the elastic scattering time and me is the electron mass. In Equation (3), the negative sign is due to the fact that the returning trajectory should arrive at the intersection point with the momentum almost opposite to the initial trajectory. This means that interference lowers the conductivity. Note that for small sizes (b), the volume (Dt)d/2 should be replaced by (Dt)d/2b3−d, since the charge carrier has a chance to diffuse repeatedly from one wall to the other, and the probability of finding it at any point across films or wires limited in size is the same [12]. However, we are considering macroscopic sizes rather than sizes of the order of atomic distances. The lower cutoff (τe) is justified by the fact that within a given time (τe), no elastic scattering occurs, resulting in no closed trajectories. The upper limit is given by [13]:
τ Φ 1 ( T D d / 2 N 0 a 3 d ) 2 / ( 4 d ) ,
where D = (vF2τe/d) is the diffusion constant, N0 is the one-spin density of states and d is the characteristic sample dimension. The phase coherence time (τϕ) defines the phase coherence length (lϕ = (ϕ)1/2). This yields conductivity corrections for two- and three-dimensional systems, which, in terms of quantum conductance (e2/h), amounts to [9] (p. 282):
Δ σ 2 D = 2 e 2 π h ln l φ l e = e 2 π h ln ( l φ l e ) 2 , Δ σ 3 D = e 2 π h ( 1 l e 1 l φ ) ,
where le is the mean free path of the electron.
Temperature modifies the phase coherence length (lϕ), as well as the weak localization correction. The temperature dependence of lφ can be described as [14,15]
1 l ϕ 2 ( T ) = 1 l ϕ 2 ( 0 ) + A e e T p 1 + A e p T p 2 ,
where lφ(0) is the zero-temperature phase coherence length, and AeeTp1 and AepTp2 represent the contributions of two different dephasing mechanisms, e.g., electron–electron (ee) and electron–phonon (ep) interactions, respectively. Note that the temperature exponents p1 and p2 change fundamentally with the system dimensionality [16]. If electron–electron interaction is the dominant dephasing mechanism (also denoted as Nyquist dephasing mechanism), this gives rise to τeeTp, with values of p equal to 0.66, and 1 for d = 1 and d = 2, respectively [9] (chapter 13.6.4), [13]. For d = 3, Equation (4) yields p = 2, while the result in [9] (p. 509) is p = 1.5. The electron–phonon interaction decoherence mechanism would provide a temperature dependence of the dephasing time (τϕT−3) [17]. Typically, one finds that τφτepTp with the exponent of temperature p ≈ 2–4 [16].
In metals and semiconductors at low temperatures, quasielastic (small energy transfer) electron–electron scattering is the dominant dephasing process. Assuming only one dephasing process and accounting for the fact that lφ(0) is in the order of 50 nm to several micrometers, that is, usually lφ(0) >> lφ(T) [14,15,18,19,20], a simplified approximation formula is given by [19]:
1 l ϕ 2 ( T ) A T p 1 ,
where p1 = 1 represents quasielastic electron–electron scattering, in agreement with experimental results reported in Bi2Te3 thin films [21], 50 nm-thick Cd3As2 films [19], Bi2Te3 single crystals [15] and MoxW1-xTe2+δ ultrathin films [22]. As a result, for quasielastic electron–electron scattering, we obtain:
l φ 2 = l φ 2 ( T 0 ) T 0 T ,
Consequently, Equation (5) transforms to
Δ σ 2 D , W L = e 2 π h ln ( l ϕ 2 ( T 0 ) l e 2 T 0 T ) = e 2 π h ln ( l e 2 l ϕ 2 ( T 0 ) T T 0 ) = e 2 π h [ ln ( l e 2 l ϕ 2 ( T 0 ) ) + ln ( T T 0 ) ] δ σ 3 D , W L = e 2 π ( 1 l e 1 l ϕ ) = e 2 π l e + e 2 π l ϕ ( T 0 ) ( T T 0 ) 1 / 2
Finally, the total bulk conductivity consisting also two-dimensional contributions under high magnetic fields is written as:
σ ( T ) = σ 0 + A ln ( T T 0 ) + B ( T T 0 ) 1 / 2 ,
where
σ 0 = σ D e 2 π h b ln ( l ϕ 2 ( T 0 ) l e 2 ) e 2 π h l e ,
and the coefficients:
A = e 2 π h b ,   B = e 2 π h l ϕ ( T 0 ) ,
where b is the effective thickness of the 2D layer introduced to convert a 2D conductivity to a 3D conductivity. A minimum of conductivity appears only when the second right-side term in Equation (10) changes sign, i.e.,
B = 2 A ( T max / T 0 ) 1 / 2 = T 0 = T max 2 A ,
with regard to Equation (10), quantum correction to residual conductivity may be written as [23]:
Δ σ ( T ) = A ln T + B T 1 / 2 ,
Assuming that Matthiessen’s rule holds and representing resistivity as a sum of elastic and inelastic contributions, where the latter increase with increasing temperature due to a power law (e.g., a term such as CTn), the resistivity data can be fitted to [24,25]:
ρ ( T ) = 1 σ 0 + A ln T + B T 1 / 2 + C n T n ,
where n is equal to 3/2, 2, 3, depending on the dominant scattering mechanism [26].
Separate conductivity quantum correction terms in the form of A′lnT and BT1/2 were introduced by Kumar et al. for La0.7Ca0.3MnO3 [27]. The first term (A′lnT) was also attributed also to the Kondo effect [28]. In order to account for higher-order scattering mechanisms and to extend the analytical description to higher temperatures, an additional term (CTn) was included. The electron–electron interaction term (BT1/2) was also applied to La0.7−xYxSr0.3MnO3 (0 ≤ x ≤ 0.2) ceramics with a thickness of 1 mm [29], La0.7A0.3MnO3 (A = Ca, Sr, Ba) ceramics [30] and La0.6Re0.1Ca0.3MnO3 (Re = Pr, Sm, Gd, Dy) ceramics with a thickness of 1 mm—all three of which were prepared by conventional solid-state reaction [31]—as well as to SrRuO3 thin films with a thickness of 6 to 8 nm deposited by pulsed laser deposition onto (100)SrTiO3 substrates [24], ultrathin La0.7Sr0.3MnO3 films (3.5 to 40 nm) deposited by molecular beam epitaxy [25] and metallic SrRuO3 and LaNiO3 thin films deposited by pulsed laser deposition with a thickness of 6 and 240 nm, respectively [32].
In the case of La0.7Sr0.3MnO3 ultrathin film, crossover from T1/2 to lnT behavior in the low-temperature resistivity dependence with decreasing thicknesses was attributed to a change in the dimensionality of the system, from 3D for samples thicker than 20 nm to 2D in the limit of ultrathin samples. The origin of this effect is that in the case of a film thickness greater than the Landau orbit length (LH = (ħ/2eB)1/2), the system behaves essentially as 3D, while the opposite electron confinement results in 2D behavior of the system. In the case of 3D metallic and ferromagnetic SrRuO3 and metallic and paramagnetic LaNiO3 epitaxial thin films, the term BT1/2 was split into two terms; in the 3D case, the first term (b1Tp/2) accounts for the weak localization, and the b2T1/2 term stands for the renormalized electron–electron interaction quantum corrections [33]. In the 2D case, both these quantum corrections to conductivity have a similar temperature dependence. Here, only an lnT term remains. The quantum correction of conductivity in metallic LaNi1-xCoxO3 (0 ≤ x ≤ 0.75) below 2 K follows a power law (BTm), where, away from the metal–insulator transition (x ≤ 0.4), m takes a value of m = 0.3…0.4. Such power-law conductivities are also observed on the metallic side of the metal–insulator transition for other ABO3 oxides [34].
In this work, we attributed the temperature dependence of the SFMO ceramic resistivity in the absence of a magnetic field to the fluctuation-induced tunneling model and the decrease in resistivity in the temperature range of 409 K to 590 K and not to localization effects but to adiabatic small polaron hopping. Neither fluctuation-induced tunneling nor adiabatic small polaron hopping favors quantum interference. We also demonstrate that the resistivity upturn behavior of SFMO cannot be explained by the weak localization effect.

2. Methods

First, we estimate the coefficient (A′) in Equation (15). Taking lΦ < 0.46 nm at room temperature [35] and b = 20 nm [25], the ratio of the coefficients A′/B′ are in the order of 10−2. Because for arguments larger than one, the natural logarithm function is smaller than the root function, the logarithmic term can be neglected. A further indication of small A′ coefficients arises from the depth of the conductance minimum, i.e., the difference between ρ(0) and ρ(Tmin), which changes with increasing magnetic flux [27]. Values larger than 35 mΩ·cm in the absence of a magnetic field and down to 2.4 mΩ·cm at 7 T [36] yield coefficients of A′ = 10−2 ·ρ(0) − ρ(Tmin)) [28,37]. In La0.7Sr0.3MnO3 ultrathin films (3.5 to 40 nm) deposited by molecular beam epitaxy [25], the agreement of fits of conductivity data to Equation (15) with only the A′lnT term (B′ = 0) was much worse than in the case with only the BT1/2 term (A′= 0). Therefore, in the following, we neglect the term A′lnT. This corresponds to the common practice of describing similar materials, such as La0.7−xYxSr0.3MnO3 (0 ≤ x ≤ 0.2) ceramics with 1 mm thickness prepared by conventional solid-state reaction [29], La0.7A0.3MnO3 (A = Ca, Sr, Ba) ceramics prepared by conventional solid-state reaction [30] and SrRuO3 thin films with a thickness of 6 to 8 nm deposited by pulsed laser deposition onto (100)SrTiO3 substrates [24].
The coefficient B′ is given by [23]:
B = 0.0309 e 2 k D = 2.72149 Ω 1 K 1 / 2 s 1 / 2 D [ m 2 / s ] .
where ħ = h/2π is the Planck constant expressed in J s radian−1. For a mean free path (le) of 0.46 nm at room temperature [35] and a carrier relaxation time (τ) of 1.6 × 10−14 s [38], the carrier diffusion constant is 1.32 × 10−5 m2 s−1, yielding a coefficient of B′ ≈ 748 Ω−1 m−1 K−1/2, in satisfactory agreement with values of B′ ≈ 360…500 Ω−1 m−1 K−1/2 in (Ni0.5Zr0.5)1-xAlx metallic glasses [39] and with a universal value of B′ ≈ 600 Ω−1 m−1 K−1/2 of amorphous and disordered metals [40].
The coefficient Cn is calculated as follows. We start with Drude conductivity:
ρ D = k F n e e 2 l e ,
where ne is the electron density, and e is the electron charge. Taking ne = 1.1 × 1028 m−3 [41], we obtain ħkF = 4.8 × 10−25 Jsm−1 and
ρ D = 1.87 10 15 Ω m l e [ m ] ,
We assume electron mean free paths of le = 0.46 nm and 1.11 nm at room temperature and 4 K, respectively, calculated according to the ordinary Hall coefficient [35]. This yields ρD = 4.07 µΩm at room temperature and ρD = 1.68 µΩm at 4 K, in satisfactory agreement with experimental data on single-crystal SFMO reported in [42]. Now, we assume that in a ferromagnetic state below room temperature, magnetic scattering controls electrical transport in SFMO at low temperatures [35]. The mean free path of electrons scattered by a spin wave with energy (Eσ) traveling through the bcc I4/mmm lattice in thermal equilibrium at a temperature (T) is given by [43]:
l e = S 2 V 1 / 3 θ 7 / 2 π ζ ( 3 / 2 ) ( E σ / k T ) 0.38 S 9 / 2 a ( J k T ) 5 / 2 ,
where S is the effective spin (Seff = (SFeSMo)1/2 = (1/2·5/2)1/2 = 1.118), V is the unit cell volume, θ is a dimensionless temperature, ζ is the Rieman zeta function, a is the lattice constant and J is the exchange constant of the 180° Fe–O–Fe interaction, amounting to −25 K [44,45]. Finally, we arrive at:
ρ D = 2.413 10 9 T 5 / 2 Ω m ,
Compared to the experimental value of R2.5 = 1.4 × 10−11 ΩmK−5/2 in a relation (ρ = ρ0 + R2.5T2.5), the calculated value of R2.5 is overestimated by almost two orders of magnitude, in part due to the approximation of the Fermi surface as a sphere and the disregard of additional sd transitions in transition metals, which reduce the mean free path [1]. The value of R2.5 may also be lowered by assuming a higher effective spin.

3. Results and Discussion

Strontium ferromolybdate (Sr2FeMo6-δ, SFMO) is a half-metallic, ferrimagnetic compound with a saturation magnetization of 4 µB/f.u [36]. However, SFMO does not exhibit a general metallic conductivity mechanism. In the absence of a magnetic field, the temperature dependence of the conductivity of SFMO ceramics [36] is well-described by the fluctuation-induced tunneling (FIT) model 46, e.g., by the presence of conducting grains separated by nanosized energy barriers where large thermal voltage fluctuations occur when the capacitance of an intergrain junction is in the order of 0.1 fF. Here, tunneling occurs between large metallic grains via the intergrain junctions with a width (w) and area (A). The FIT model is specified by three parameters [46]: (i) the temperature (T1) characterizing the electrostatic energy of a parabolic potential barrier,
k T 1 = A w ε o E 0 2 2 ,
where k is the Boltzmann constant and the characteristic field (E0) is determined by:
E 0 = 4 V 0 e w ;
(ii) the temperature (T0) representing T1 divided by the tunneling constant,
T 0 = T 1 ( π χ w 2 ) 1 ,
with the reciprocal localization length of the wave function
χ = 2 m * V 0 2 ,
where m*e is the effective electron mass; and (iii) the residual resistivity (ρ0). The resulting resistivity of this model is then given by [46]:
ρ ( T ) = ρ 0 exp ( T 1 T 0 + T ) ,
In our case, the model parameters amount to T0 = 141.1 K, T1 = 25.6 K and σ0 = 1/ρ0 = 37.16 S/cm (cf. Figure 1). The FIT model was recently applied to intergrain tunneling in polycrystalline Sr2CrMoO6 and Sr2FeMoO6 ceramics [47], half-metallic double perovskite Sr2BB′O6 (BB′–FeMo, FeRe, CrMo, CrW, CrRe) ceramics [48] and in Ba2FeMoO6 thin films [49].
One feature attributed to weak localization in SFMO ceramics is the decrease in resistivity in the temperature range between 405 K and 590 K [50]. This resistivity behavior is considered more in detail below. According to [50], the resistivity behavior of vacuum-annealed SFMO ceramics above room temperature is separated into three regions: (i) from 300 K up to the Curie temperature of about 405 K, the electrical resistivity increases with temperature and shows metallic behavior; (ii) above 405 K up to approximately 590 K, the resistivity decreases with temperature; and (iii) finally, from 590 K up to 900 K, the resistivity increases as the material becomes metallic again [50].
Another report on the electrical resistivity of SFMO indicates metallic behavior up to 420 K, a decrease in resistivity in the temperature range of 420–820 K and reversion to metallic behavior between 820 and 1120 K [51]. A similar resistivity behavior with a resistivity maximum at about 450 K—far above the Curie temperature of ~330 K [52]—was obtained for Ba2FeMoO6-δ, while Ca2FeMoO6-d shows solely metallic behavior in the whole temperature range of 320–1120 K [51].
A more detailed consideration of the reported resistivity behavior of Sr2FeMoO6-δ and Ba2FeMoO6-δ above TC [50,51] reveals a convincing fit to the adiabatic small polaron hopping model [53] (Figure 2). In the small polaron model, electrical conduction of perovskites at higher temperatures, i.e., above a certain transition temperature, occurs as a result of small polarons moving through the lattice by thermally activated jumps between neighboring sites. The transition temperature from small polaron motion in a conduction band to small polaron hopping was estimated to be in the order of θD/2 (with θD the Debye temperature), which amounts to 338 K for SFMO [54]. The adiabatic small polaron hopping model yields a resistivity of [53]
ρ = ρ 0 T exp ( E a k T ) ,
where Ea is the thermal activation energy. The obtained Ea values are 0.045–0.08 eV for Sr2FeMoO6-δ and about 0.13 eV for Ba2FeMoO6-δ and are in the order of the values of other perovskites and double perovskites, i.e., La1-xSrxCo1-yFeyO3 [55], Sr1.6Sm0.4MgMoO6-δ, Sr1.4Sm0.6MgMoO6-δ and Sr1.2Sm0.8MgMoO6-δ [56], as well as Sr2Fe1.5Mo0.5O6-δ and Sr2Fe1.5Mo0.5-xNbxO6-δ [57].
Weak localization effects were taken into account in order to explain the presence of minima in the ρT curves of perovskite oxides exhibiting metallic conductivity [25,27,33,58,59]. It has been suggested [29,30] that the resistivity minimum and, consequently, the resistivity upturn at lower temperatures arise from the competition of two contributions—one usual increase combined with a decrease with the increase in the temperature of the other. In Equation (15), the corresponding terms are (B′lnT)−1 and CnTn. The resistivity-versus-temperature plots of SFMO ceramics in a magnetic field [36] are very similar to those of La0.7Ca0.3MnO3 and La0.7Sr0.3MnO3 thin films [25,27]. A resistivity minimum also appears in polycrystalline SFMO ceramics at low temperatures [36], which was explained by weak localization [59]. In this case, a quantum correction term (AWTp/2) [25,59] was added to the residual resistivity (σ0), and an electron interaction term (ApTn) was added to the resistivity. A similar approach was applied to perovskite ceramics (LaNixCo1-xO3 and NaxTayW1-yO3 [60], La0.5Pb0.5MnO3 and La0.5Pb0.5MnO3 ceramics containing 10 at.% Ag in a dispersed form [23]).
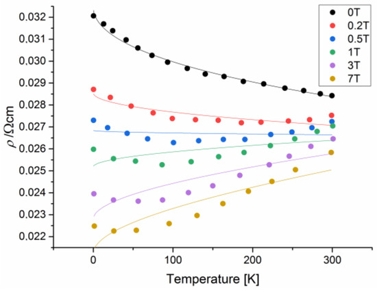
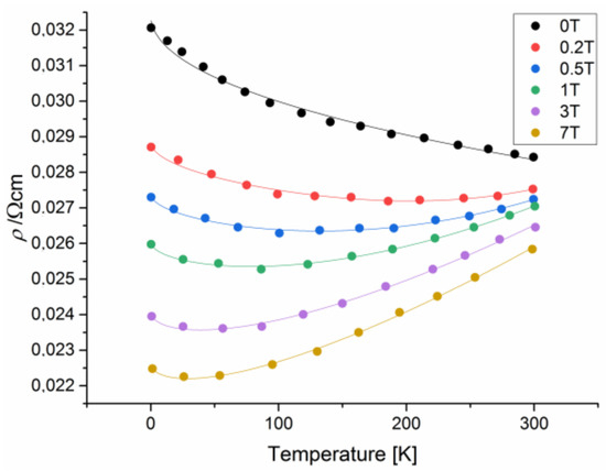
To evaluate the origin of the low-temperature resistivity minimum in SFMO, we fitted the experimental data [36] to Equation (15), assuming A′ = 0 (Figure 3, Table 1). The increase in the σ0(B) values corresponds to a negative magnetoresistance obtained in ferrimagnetic SFMO ceramics, which arises due to the suppression of spin disorder by the magnetic field [35,36,50]. The fitted σ0 values describe a power-law magnetic flux dependence of the magnetoresistance (−MRBm) with a power of m = 0.284. This value lies in between the values of m = 0.5 for metallic behavior and electron–electron interaction in the temperature range between the temperature of minimum resistivity and the Curie temperature and m = 0.1 for semiconducting conductivity behavior, both at high magnetic fluxes [61]. The fitted B′ values are three orders of magnitude lower than those calculated above. Consequently, the elastic scattering time should be reduced by six orders of magnitude. This is physically nonsensical. Furthermore, the CnTn term does not correspond to physically meaningful quantities. The values of the exponent (n) cannot be attributed to a specific electron-scattering mechanism. On the other hand, electron scattering should sufficiently change depending on the magnetic flux. When assuming n = 2 for electron–electron scattering and assuming Cn = 2.16 × 10−11 ΩmK2 from [41], the fit becomes of much worse quality (Figure 4). Here, a satisfactory fit occurs only for B = 0. Assuming n = 2.5 and the value of Cn in Equation (20), the fit is even worse, with no satisfactory fit, even for B = 0.
Figure 3. Fit of the conductivity data of Sr2FeMoO6 [36] to Equation (15) assuming A′ = 0.
Figure 3. Fit of the conductivity data of Sr2FeMoO6 [36] to Equation (15) assuming A′ = 0.
Applsci 13 07096 g003
Table 1. Fit of the parameters of Equation (15) to the experimental data reported in [36] assuming A′ = 0.
Table 1. Fit of the parameters of Equation (15) to the experimental data reported in [36] assuming A′ = 0.
B, Tσ0, Sm−1B′, Sm−1K−1/2Cn, ΩmKnn
030870.222−1.37 × 10−50.61
0.234640.1746.09 × 10−123.31
0.536490.1613.75 × 10−92.29
138390.1661.15 × 10−71.77
341500.2352.21 × 10−61.34
744140.2703.73 × 10−61.22
Figure 4. Fit of the conductivity data of Sr2FeMoO6 [36] to Equation (15) assuming A′ = 0, Cn = 2.16 × 10−11 and n = 2.
Figure 4. Fit of the conductivity data of Sr2FeMoO6 [36] to Equation (15) assuming A′ = 0, Cn = 2.16 × 10−11 and n = 2.
Applsci 13 07096 g004
Thus, the only possible conclusion is that the resistivity upturn at low temperatures in Sr2FeMoO6 ceramics cannot be modeled by weak localization correction due to quantum interference. Note that neither fluctuation-induced tunneling nor adiabatic small polaron hopping provides favorable conditions for quantum interference of backscattered electrons.

4. Conclusions

Herein, we related the temperature dependence of SFMO resistivity in the absence of a magnetic field to the fluctuation-induced tunneling model. The decrease in resistivity above the resistivity maximum around the Curie temperature is attribute to adiabatic small polaron hopping instead of localization effects. Neither fluctuation-induced tunneling nor adiabatic small polaron hopping favors quantum interference. This is evidenced by the observation that the resistivity upturn behavior of SFMO cannot be explained by weak localization. Here, the fitted model parameters have no physically meaningful values, i.e., the fitted weak localization coefficient (B′) was three orders of magnitude lower than the theoretical value, while the fitted exponents (n) of the electron–electron interaction term (CnTn) could not be assigned to a specific electron-scattering mechanism. Consequently, to the best of our knowledge, there is still no convincing evidence for the presence of weak localization in SFMO.

Author Contributions

Conceptualization, G.S.; methodology, G.S.; software, E.A.; validation, G.S. and E.A.; formal analysis, G.S.; investigation, G.S. and E.A.; resources, G.S.; data curation, E.A.; writing—original draft preparation, G.S.; writing—review and editing, E.A.; visualization, E.A.; supervision, G.S.; project administration, G.S.; funding acquisition, G.S. All authors have read and agreed to the published version of the manuscript.

Funding

This work was funded by the EU project H2020-MSCA-RISE-2017-778308-SPINMULTIFILM.

Institutional Review Board Statement

Not applicable.

Informed Consent Statement

Not applicable.

Data Availability Statement

The original contributions presented in this study are included in the article. Further inquiries can be directed to the corresponding author.

Acknowledgments

The authors thank N. Sobolev (University Aveiro) for valuable discussions on the topic of this work.

Conflicts of Interest

The authors declare no conflict of interest.

References

  1. Suchaneck, G.; Artiukh, E.; Gerlach, G. Resistivity and tunnel Magnetoresistance in double-perovskite strontium rerromolybdate ceramics. Phys. Status Solidi B 2022, 259, 2200012. [Google Scholar] [CrossRef]
  2. Kumar, N.; Khurana, G.; Katiyar, R.S.; Gaur, A.; Kotnala, R.K. Double Perovskite Sr2FeMoO6: A Potential Candidate for Room Temperature Magnetoresistance Device Applications. In Magnetic Sensors—Development Trends and Applications; Asfour, A., Ed.; Intech: London, UK, 2017. [Google Scholar] [CrossRef]
  3. Bibes, M.; Bouzehouane, K.; Barthélémy, A.; Besse, M.; Fusil, S.; Bowen, M.; Seneor, P.; Carrey, J.; Cros, V.; Vaurès, A.; et al. Tunnel Magnetoresistance in Nanojunctions Based on Sr2FeMoO6. Appl. Phys. Lett. 2003, 83, 2629–2631. [Google Scholar] [CrossRef]
  4. Feng, X.; Chen, J.; Shen, Y. Preparation and microwave absorption property of Sr2FeMoO6 powder. Trans. Nanjing Univ. Aeronaut. Astronaut. 2017, 34, 205–210. [Google Scholar]
  5. Shen, Y.; Liu, S.; Cheng, Y.; Yan, S.; He, J.; Deng, L.; Luo, H. Unravelling the Electromagnetic Behavior in Ordered Double-Perovskite Sr2FeMoO6. J. Electron. Mater. 2022, 51, 3430–3437. [Google Scholar] [CrossRef]
  6. Suchaneck, G.; Artiukh, A. Nonstoichiometric Strontium Ferromolybdate as an Electrode Material for Solid Oxide Fuel Cells. Inorganics 2022, 10, 230. [Google Scholar] [CrossRef]
  7. Erchidi Elyacoubi, A.S.; Masrour, R.; Jabar, A.; Ellouze, M.; Hlil, E.K. Magnetic properties and magnetocaloric effect in double Sr2FeMoO6 perovskites. Mater. Res. Bull. 2018, 99, 132–135. [Google Scholar] [CrossRef]
  8. Hamad Mahmoud, A. Magnetocaloric effect in Sr2FeMoO6/Ag composites. Process. Appl. Ceram. 2015, 9, 11–15. [Google Scholar] [CrossRef]
  9. Akkermans, A.; Montambaux, G. Mesoscopic Physics of Electrons and Photons; Cambridge University Press: Cambridge, UK, 2007. [Google Scholar]
  10. Aleiner, I.L.; Altshuler, B.L.; Gershenson, M.E. Interaction effects and phase relaxation in disordered systems. Waves Random Media 1999, 9, 201–239. [Google Scholar] [CrossRef]
  11. Senz, V. Quantum Transport in Interacting Two-Dimensional Systems. Ph.D. Thesis, ETH, Zürich, Switzerland, March 2002; p. 25. [Google Scholar] [CrossRef]
  12. Abrikosov, A. Fundamentals of the Theory of Metals; Elsevier: Amsterdam, The Netherlands, 1988; p. 213. [Google Scholar]
  13. Altshuler, B.L.; Aronov, A.G.; Khmelnitzky, D.E. Effects of electron-electron collisions with small energy transfers on quantum localization. J. Phys. C Solid State Phys. 1982, 15, 7367–7386. [Google Scholar] [CrossRef]
  14. Xu, G.; Wang, W.; Zhang, X.; Du, Y.; Liu, E.; Wang, S.; Wu, G.; Liu, Z.; Zhang, X.X. Weak Antilocalization Effect and Noncentrosymmetric Superconductivity in a Topologically Nontrivial Semimetal LuPdBi. Sci. Rep. 2014, 4, 5709. [Google Scholar] [CrossRef] [PubMed]
  15. Shrestha, K.; Chou, M.; Graf, D.; Yang, H.D.; Lorenz, B.; Chu, C.W. Extremely large nonsaturating magnetoresistance and ultrahigh mobility due to topological surface states in the metallic Bi2Te3 topological insulator. Phys. Rev. B Condens. Matter Mater. Phys. 2017, 95, 195113. [Google Scholar] [CrossRef]
  16. Lin, J.J.; Bird, J.P. Recent experimental studies of electron dephasing in metal and semiconductor mesoscopic structures. J. Phys. Condens. Matter 2002, 14, R501–R596. [Google Scholar] [CrossRef]
  17. Rammer, J.; Schmid, A. Destruction of phase coherence by electron-phonon interactions in disordered conductors. Phys. Rev. B Condens. Matter Mater. Phys. 1986, 34, 1352–1355. [Google Scholar] [CrossRef]
  18. Sahnoune, A.; Strom-Olsen, J.O. Weak localization and enhanced electron-electron interaction in amorphous Ca70(Mg,Al)30. Phys. Rev. B Condens. Matter Mater. Phys. 1989, 39, 7561–7566. [Google Scholar] [CrossRef]
  19. Zhao, B.; Cheng, P.; Pan, H.; Zhang, S.; Wang, B.; Wang, G.; Xiu, F.; Song, F. Weak antilocalization in Cd3As2 thin films. Sci. Rep. 2016, 6, 22377. [Google Scholar] [CrossRef] [PubMed]
  20. Islam, S.; Bhattacharyya, S.; Nhalil, H.; Banerjee, M.; Richardella, A.; Kandala, A.; Sen, D.; Samarth, N.; Elizabeth, S.; Ghosh, A. Low-temperature saturation of phase coherence length in topological insulators. Phys. Rev. B Condens. Matter Mater. Phys. 2019, 99, 245407. [Google Scholar] [CrossRef]
  21. Dey, R.; Pramanik, T.; Roy, A.; Rai, A.; Guchhait, S.; Sonde, S.; Movva, H.C.P.; Colombo, L.; Register, L.F.; Banerjee, S.K. Strong spin-orbit coupling and Zeeman spin splitting in angle dependent magnetoresistance of Bi2Te3. Appl. Phys. Lett. 2014, 104, 223111. [Google Scholar] [CrossRef]
  22. Mathew, R.J.; Inbaraj, C.R.P.; Sankar, R.; Hudie, S.M.; Nikam, R.D.; Tseng, C.-A.; Lee, C.-H.; Chen, Y.-T. High unsaturated room-temperature magnetoresistance in phase-engineered MoxW1-xTe2+δ ultrathin films. J. Mater. Chem. C 2019, 7, 10996. [Google Scholar] [CrossRef]
  23. Rozenberg, E.; Auslender, M.; Felner, I.; Gorodetsky, G. Low-temperature resistivity minimum in ceramic manganites. J. Appl. Phys. 2000, 88, 2578–2582. [Google Scholar] [CrossRef]
  24. Herranz, G.; Martínez, B.; Fontcuberta, J.; Sánchez, F.; Ferrater, C.; García-Cuenca, M.V.; Varela, M. Enhanced electron-electron correlations in nanometric SrRuO3 epitaxial films. Phys. Rev. B Condens. Matter Mater. Phys. 2003, 67, 174423. [Google Scholar] [CrossRef]
  25. Maritato, L.; Adamo, C.; Barone, C.; De Luca, G.M.; Galdi, A.; Orgiani, P.; Petrov, A.Y. Low-temperature resistivity of La0.7Sr0.3MnO3 ultra thin films: Role of quantum interference effects. Phys. Rev. B Condens. Matter Mater. Phys. 2006, 73, 094456. [Google Scholar] [CrossRef]
  26. Lee, P.A.; Ramakrishnan, T.V. Disordered electronic systems. Rev. Mod. Phys. 1985, 57, 287–337. [Google Scholar] [CrossRef]
  27. Kumar, D.; Sankar, J.; Narayan, J.; Singh, R.K.; Majumdar, A.K. Low-temperature resistivity minima in colossal magnetoresistive La0.7Ca0.3MnO3 thin films. Phys. Rev. B Condens. Matter Mater. Phys. 2002, 65, 094407. [Google Scholar] [CrossRef]
  28. Kondo, J. Resistance minimum in dilute magnetic alloys. Prog. Theor. Phys. 1964, 32, 37–49. [Google Scholar] [CrossRef]
  29. Barman, A.; Ghosh, M.; Biswas, S.; De, S.K.; Chatterjee, S. Electrical and magnetic properties of La0.7-xYxSr0.3MnO3 (0 ≤ x ≤ 0:2) perovskite at low temperature. J. Phys. Condens. Matter 1998, 10, 9799–9811. [Google Scholar] [CrossRef]
  30. Tiwari, A.; Rajeev, K.P. Low-temperature electrical transport in La0.7A0.3MnO3, (A: Ca, Sr, Ba). Solid State Commun. 1999, 111, 33–37. [Google Scholar] [CrossRef]
  31. Barman, A.; Ghosh, M.; Biswas, S.; De, S.K.; Chatterjee, S. Electrical properties of La0.6Re0.1Ca0.3MnO3 (Re = Pr, Sm, Gd, Dy) at low temperature. Solid State Commun. 1998, 106, 691–694. [Google Scholar] [CrossRef]
  32. Herranz, G.; Sánchez, F.; Martínez, B.; Fontcuberta, J.; García-Cuenca, M.V.; Ferrater, C.; Varela, M.; Levy, P. Weak localization effects in some metallic perovskites. Eur. Phys. J. B 2004, 40, 439–444. [Google Scholar] [CrossRef]
  33. Herranz, G.; Sánchez, F.; Fontcuberta, J.; Laukhin, V.; Galibert, J.; García-Cuenca, M.V.; Ferrater, C.; Varela, M. Magnetic field effect on quantum corrections to the low-temperature conductivity in metallic perovskite oxides. Phys. Rev. B Condens. Matter Mater. Phys. 2005, 72, 014457. [Google Scholar] [CrossRef]
  34. Raychaudhuri, A.K.; Rajeev, K.P.; Srikanth, H.; Mahendiran, R. Low temperature studies on normal perovskite oxides: Role of correlation and disorder. Phys. B Condens. Mat. 1994, 197, 124–132. [Google Scholar] [CrossRef]
  35. Westerburg, W. Spinpolarisierter Transport in Epitaktischen Manganoxid und Doppelperowskitschichten. Ph.D. Thesis, Universität Mainz, Mainz, Germany, October 2000. [Google Scholar]
  36. Kobayashi, K.I.; Kimura, T.; Sawada, H.; Terakura, K.; Tokura, Y. Room-Temperature Magnetoresistance in an Oxide Material with an Ordered Double-Perovskite Structure. Nature 1998, 395, 677–680. [Google Scholar] [CrossRef]
  37. Knook, B. De Anomale Electrische Weerstand van een Aantal Cu-, Ag-, en Au-Legeringen. Ph.D. Thesis, University of Leiden, Leiden, The Netherlands, April 1962. [Google Scholar]
  38. Mazur, D.; Gray, K.E.; Zasadzinski, J.F.; Ozyuzer, L.; Beloborodov, I.S.; Zheng, H.; Mitchell, J.F. Redistribution of the density of states due to Coulomb interactions in La2−2xSr1+2xMn2O7. Phys. Rev. B Condens. Matter Mater. Phys. 2007, 76, 193102. [Google Scholar] [CrossRef]
  39. Nath, T.K.; Majumdar, A.K. Quantum interference effects in (Ni0.5Zr0.5)1-xAlx metallic glasses. Phys. Rev. B Condens. Matter Mater. Phys. 2007, 55, 5554–5557. [Google Scholar] [CrossRef]
  40. Cochrane, R.W.; Strom-Olsen, J.O. Scaling behavior in amorphous and disordered metals. Phys. Rev. B Condens. Matter Mater. Phys. 1984, 29, 1088–1090. [Google Scholar] [CrossRef]
  41. Tomioka, Y.; Okuda, T.; Okimoto, Y.; Kumai, R.; Kobayashi, K.; Tokura, Y. Magnetic and Electronic Properties of a Single Crystal of Ordered Double Perovskite. Phys. Rev. B Condens. Matter Mater. Phys. 2000, 61, 422–427. [Google Scholar] [CrossRef]
  42. Yanagihara, H.; Salamon, M.B.; Lyanda-Geller, Y.; Xu, S.; Moritomo, Y. Magnetotransport in double perovskite Sr2FeMoO6: Role of magnetic and nonmagnetic disorder. Phys. Rev. B Condens. Matter Mater. Phys. 2001, 64, 214407. [Google Scholar] [CrossRef]
  43. Dyson, F.J. General Theory of Spin-Wave Interactions. Phys. Rev. 1956, 102, 1217–1230. [Google Scholar] [CrossRef]
  44. Motida, K.; Miyahara, S. On the 90° exchange interaction between cathions (Cr3+, Mn2+, Fe3+ and Ni2+) in oxides. J. Phys. Soc. Jpn. 1970, 28, 1188–1196. [Google Scholar] [CrossRef]
  45. Voogt, F.C.; Palstra, T.T.M.; Niesen, L.; Rogojanu, O.C.; James, M.A.; Hibma, T. Superparamagnetic behavior of structural domains in epitaxial ultrathin magnetite films. Phys. Rev. B Condens. Matter Mater. Phys. 1998, 57, R8107–R8110. [Google Scholar] [CrossRef]
  46. Sheng, P.; Sichel, E.K.; Gittleman, J.I. Fluctuation-induced tunneling conduction in carbon-polyvinylchloride composites. Phys. Rev. Lett. 1978, 40, 1197–2000. [Google Scholar] [CrossRef]
  47. Fisher, B.; Genossar, J.; Chashka, K.B.; Patlagan, L.; Reisner, G.M. Remarkable power-law temperature dependencies of inter-grain conductivity. Solid State Commun. 2006, 137, 641–644. [Google Scholar] [CrossRef]
  48. Fisher, B.; Genossar, J.; Chashka, K.B.; Patlagan, L.; Reisner, G.M. Inter-grain tunneling in the half-metallic double-perovskites Sr2BB′O6(BB′ = FeMo, FeRe, CrMo, CrW, CrRe). Proc. EPJ Web Conf. 2014, 75, 01001. [Google Scholar] [CrossRef]
  49. Granville, S.; Farrell, I.L.; Hyndman, A.R.; McCann, D.M.; Reeves, R.J.; Williams, G.V.M. Indications of spin polarized transport in Ba2FeMoO6 thin films. arXiv 2017, arXiv:1707.01208. Available online: http://arxiv.org/abs/1707.01208 (accessed on 14 April 2023).
  50. Niebieskikwiat, D.; Sánchez, R.; Caneiro, A.; Morales, L.; Vásquez-Mansilla, M.; Rivadulla, F.; Hueso, L. High-Temperature Properties of the Double Perovskite: Electrical Resistivity, Magnetic Susceptibility, and ESR. Phys. Rev. B Condens. Matter Mater. Phys. 2000, 62, 3340–3345. [Google Scholar] [CrossRef]
  51. Zhang, L.; Zhou, Q.; He, Q.; He, T. Double-Perovskites A2FeMoO6-δ (A = Ca, Sr, Ba) as Anodes for Solid Oxide Fuel Cells. J. Power Source 2010, 195, 6356–6366. [Google Scholar] [CrossRef]
  52. Maignan, A.; Raveau, B.; Martin, C.; Hervieu, M. Large Intragrain Magnetoresistance above Room Temperature in the Double Perovskite Ba2FeMoO6. J. Solid State Chem. 1999, 144, 224–227. [Google Scholar] [CrossRef]
  53. Emin, D.; Holstein, T. Studies of Small-Polaron Motion IV. Adiabatic Theory of the Hall Effect. Ann. Phys. 1969, 53, 439–520. [Google Scholar] [CrossRef]
  54. Okuda, T.; Kobayashi, K.-I.; Tomioka, Y.; Tokura, Y. Anomalous low-temperature specific heat around the metal-insulator transition in ordered double-perovskite alloys Sr2Fe(Mo1-yWy)O6 (0 ≤ y ≤ 1). Phys. Rev. B Condens. Matter Mater. Phys. 2003, 68, 144407. [Google Scholar] [CrossRef]
  55. Tai, L.W.; Nasrallah, M.M.; Anderson, H.U.; Sparlin, D.M.; Sehlin, S.R. Structure and Electrical Properties of La1-xSrxCo1-yFeyO3. Part 2. The System La1-xSrxCo0.2Fe0.8O3. Solid State Ion. 1995, 76, 273–283. [Google Scholar] [CrossRef]
  56. Zhang, L.; He, T. Performance of Double-Perovskite Sr2−xSmxMgMoO6-δ as Solid-Oxide Fuel-Cell Anodes. J. Power Source 2011, 196, 8352–8359. [Google Scholar] [CrossRef]
  57. Hou, M.; Sun, W.; Li, P.; Feng, J.; Yang, G.; Qiao, J.; Wang, Z.; Rooney, D.; Feng, J.; Sun, K. Investigation into the Effect of Molybdenum-Site Substitution on the Performance of Sr2Fe1.5Mo0.5O6-δ for Intermediate Temperature Solid Oxide Fuel Cells. J. Power Source 2014, 272, 759–765. [Google Scholar] [CrossRef]
  58. Auslender, M.; Kar’kin, A.E.; Rozenberg, E. Low-temperature resistivity minima in single-crystalline and ceramic La0.8Sr0.2MnO3: Mesoscopic transport and intergranular tunneling. J. Appl. Phys. 2001, 89, 6639–6641. [Google Scholar] [CrossRef]
  59. Kalanda, N.; Demyanov, S.; Yarmolich, M.; Petrov, A.; Sobolev, N. Electric transport characteristics of Sr2FeMoO6–δ ceramics with structurally inhomogeneous surfaces. In Proceedings of the 2nd International Workshop on Advanced Magnetic Oxides (IWAMO), Aveiro, Portugal, 24–25 November 2021; p. 24. [Google Scholar]
  60. Raychaudhuri, A.K.; Rajeev, K.F.; Srikanth, H.; Gayathri, N. Metal-insulator transition in perovskite oxides: Tunneling experiments. Phys. Rev. B Condens. Matter Mater. Phys. 1995, 51, 7421–7428. [Google Scholar] [CrossRef]
  61. Saloaro, M.; Majumdar, S.; Huhtinen, H.; Paturi, P. Absence of traditional magnetoresistivity mechanisms in Sr2FeMoO6 thin films grown on SrTiO3, MgO and NdGaO3 substrates. J. Phys. Condens. Matter 2012, 24, 366003. [Google Scholar] [CrossRef] [PubMed]
Figure 1. Fitting of the conductivity data of SFMO ceramics at zero magnetic flux [36] to the fluctuation-induced tunneling model [46]. Fitting parameters are T0 = 141.1 K, T1 = 25.6 K and σ0 = 37.16 S/cm.
Figure 1. Fitting of the conductivity data of SFMO ceramics at zero magnetic flux [36] to the fluctuation-induced tunneling model [46]. Fitting parameters are T0 = 141.1 K, T1 = 25.6 K and σ0 = 37.16 S/cm.
Applsci 13 07096 g001
Figure 2. Fitting of the conductivity data of Sr2FeMoO6 ceramics between 405 K and 590 K [50], as well as those of Sr2FeMoO6 ceramics between 420 and 870 K and Ba2FeMoO6 ceramics between 520 and 1120 K [51], to the adiabatic small polaron hopping model [53].
Figure 2. Fitting of the conductivity data of Sr2FeMoO6 ceramics between 405 K and 590 K [50], as well as those of Sr2FeMoO6 ceramics between 420 and 870 K and Ba2FeMoO6 ceramics between 520 and 1120 K [51], to the adiabatic small polaron hopping model [53].
Applsci 13 07096 g002
Disclaimer/Publisher’s Note: The statements, opinions and data contained in all publications are solely those of the individual author(s) and contributor(s) and not of MDPI and/or the editor(s). MDPI and/or the editor(s) disclaim responsibility for any injury to people or property resulting from any ideas, methods, instructions or products referred to in the content.

Share and Cite

MDPI and ACS Style

Suchaneck, G.; Artiukh, E. Absence of Weak Localization Effects in Strontium Ferromolybdate. Appl. Sci. 2023, 13, 7096. https://doi.org/10.3390/app13127096

AMA Style

Suchaneck G, Artiukh E. Absence of Weak Localization Effects in Strontium Ferromolybdate. Applied Sciences. 2023; 13(12):7096. https://doi.org/10.3390/app13127096

Chicago/Turabian Style

Suchaneck, Gunnar, and Evgenii Artiukh. 2023. "Absence of Weak Localization Effects in Strontium Ferromolybdate" Applied Sciences 13, no. 12: 7096. https://doi.org/10.3390/app13127096

APA Style

Suchaneck, G., & Artiukh, E. (2023). Absence of Weak Localization Effects in Strontium Ferromolybdate. Applied Sciences, 13(12), 7096. https://doi.org/10.3390/app13127096

Note that from the first issue of 2016, this journal uses article numbers instead of page numbers. See further details here.

Article Metrics

Back to TopTop