Next Article in Journal
Interactive Guiding Sparse Auto-Encoder with Wasserstein Regularization for Efficient Classification
Previous Article in Journal
Optimized Feature Learning for Anti-Inflammatory Peptide Prediction Using Parallel Distributed Computing
 
 
Font Type:
Arial Georgia Verdana
Font Size:
Aa Aa Aa
Line Spacing:
Column Width:
Background:
Article

Study on the Classification and Identification Methods of Surrounding Rock Excavatability Based on the Rock-Breaking Performance of Tunnel Boring Machines

1
College of Water Conservancy and Civil Engineering, Xinjiang Agricultural University, Urumqi 830052, China
2
Xinjiang Key Laboratory of Hydraulic Engineering Security and Water Disasters Prevention, Urumqi 830052, China
3
Xinjiang Erqis River Investment and Development (Group) Co., Ltd., Urumqi 830000, China
*
Author to whom correspondence should be addressed.
Appl. Sci. 2023, 13(12), 7060; https://doi.org/10.3390/app13127060
Submission received: 25 May 2023 / Revised: 7 June 2023 / Accepted: 9 June 2023 / Published: 12 June 2023

Abstract

Rock mass conditions are extremely sensitive to tunnel boring machine (TBM) tunneling. Therefore, establishing a surrounding rock excavatability (SRE) classification system applicable to TBM tunnels. Accurately and intelligently identifying excavatability grades can also facilitate efficient TBM tunneling and intelligent construction. Specific excavation and penetration rates were used to evaluate SRE. Their correlations with geological and tunneling parameters were explored using the field data from two water conveyance tunnels in China with different lithologies. A high-precision empirical SRE classification system was constructed using TOPSIS for multi-objective decision-making, and it was verified using engineering cases. An intelligent identification model for SRE grades in the stable phase of a TBM excavation cycle was established using 12,382 TBM rock-breaking datasets and deep forest models. Ten characteristic parameters, e.g., total thrust, were selected as model input features. Hyperparameter optimization was achieved using the grid search method. Deep forest was compared with decision tree, random forest, support vector classifier, and deep neural network. The contribution of the model’s features was measured using random forest. The main conclusions are as follows: the proposed SRE classification method is feasible and matches well with the actual excavation. In the intelligent identification of SRE classification, the accuracy and F1 scores when using deep forest were 96.33% and 0.9581, respectively. Deep forest exhibited better grade identification performance than the four models. Among the ten input features, penetration is the most important feature for the model’s input, while the top shield cylinder rod’s chamber pressure is the least important. The findings can provide some references for SRE classification and prediction and intelligent TBM control.

1. Introduction

With the rapid construction of railway, hydraulic, subway, and subsea tunnels, tunnel boring machines (TBMs) play an important role in tunnel construction because of their advantages over traditional drilling and blasting methods: high safety, high efficiency, and environmentally friendly nature [1,2]. However, TBM construction requires more demanding geological conditions. Under appropriate surrounding rock excavatability (SRE) conditions, TBMs can achieve high rock-breaking efficiency. Once encountering hard surrounding rock with good integrity, TBM shows serious rolling disc cutter wear and low tunneling efficiency [3,4]. This can easily increase budgets and cause construction delays [5]. In addition, the excavation can also cause significant disturbance to the surrounding rock’s stability [6,7]. Therefore, proposing an SRE classification system for TBM tunneling and realizing the accurate and intelligent identification of excavatability classification are significant in order to adjust tunneling parameters and control construction costs.
TBM tunneling processes can be characterized by surrounding rock–machine interactions. Thus, TBM tunneling parameters, e.g., penetration and cutterhead torque, significantly interact with the surrounding rock, and many effective studies are available [8]. For example, Pourhashemi et al. [9] established the relationship between TBM tunneling and geological parameters and found that surrounding rock strength was proportional to the field penetration index (FPI). Hassanpour et al. [10] reported that FPI had a linear proportional relationship with rock strength. Liu et al. [11] used TBM tunneling parameters to predict the geological parameters of surrounding rock based on neural networks and simulated annealing algorithms. Armaghani et al. [12] used rock parameters to predict the penetration rate of TBMs based on artificial neural networks. These studies indicate that TBM tunneling parameters and the geological information of surrounding rock can invert each other. Thus, surrounding rock properties can be analyzed using the parameters based on the rock-breaking performance of TBMs.
Considering the significant interaction between TBM tunneling parameters and rock mass, various effective methods have been proposed to establish relationships between TBM tunneling parameters and geological parameters. Traditional surrounding rock classification methods, such as rock mass rating (RMR), tunneling quality index (Q-system), and basic quality index (BQ) systems, have difficulty guiding TBM construction effectively [13]. Therefore, some methods have been proposed for surrounding rock classification and performance prediction for TBM tunneling, such as the Colorado School of Mines (CSM) model, the Norwegian University of Science and Technology (NTNU) model, the QTBM model, the rock mass excavatability (RME) rating and classification system, and the robust classification method (RCM) [14,15,16,17,18]. All these methods have addressed the problem that traditional surrounding rock classification methods cannot cope with TBM construction to a certain extent, with better performances. In terms of SRE, some different models have also been proposed. For example, Hamidi et al. [19], Hassanpour et al. [20], and Delisio et al. [21] used FPI as the evaluation index and considered various geological parameters, such as total hardness, uniaxial compressive strength of rock (Rc), rock quality designation (RQD), structural surface conditions, structural surface spacing, and the angle between the tunnel and structural surface, to some extent in order to build their models. In addition, specific penetration and penetration were also used as evaluation indexes for SRE evaluation and prediction [22,23,24]. It should be noted that the existing models involve many factors and have complicated application processes. SRE is mainly evaluated using a single index.
With the rapid development of artificial intelligence technology in recent years, techniques such as machine learning have achieved certain results in obtaining laws between TBM tunneling parameters and surrounding rock information due to their powerful ability to deal with nonlinear problems. For example, Wu et al. [25] demonstrated nonlinear relationships between TBM tunneling parameters and surrounding rock parameters based on deep neural networks, effectively identifying rock mass conditions. Zhang et al. [26] used a support vector classifier as the prediction modeler of geological conditions and achieved satisfactory prediction accuracy. Yu et al. [27] and Liu et al. [28] used the semi-supervised learning method and the long short-term memory network based on the global attention mechanism to observe surrounding rock types, respectively, achieving good performance. Thus, machine learning algorithms can be used to identify SRE. This can enable more accurate identification of SRE and provides more accurate guidance and evaluation for TBM construction.
This paper aims to propose a set of universal excavatability classification systems for surrounding rocks. In order to increase the practicality of this system, machine learning algorithms were used to achieve accurate and continuous intelligent identification of the SRE classification. Therefore, this paper comprehensively analyzed the correlations between TBM tunneling parameters and geological information using TBM field data and the technique for order preference by similarity to an ideal solution (TOPSIS) method and established an SRE classification system based on TBM rock-breaking performances. This system is not influenced by a single evaluation index and has high practicality. The classification system was also verified by engineering cases. The SRE perception model based on deep forest (DF) was constructed using grid search for hyperparameter optimization, incorporating prior knowledge. This model was used to identify SRE in order to reduce the limitations of the proposed system and intelligently perceive SRE grades. Then, this model was compared with four well-developed machine learning models, i.e., decision tree, random forest, support vector classifier, and deep neural network. In addition, the contributions of input features were measured using the random forest (RF) method to explore their influences on the model. The findings can provide more accurate and rapid access to the characteristics of surrounding rocks at the tunnel face of TBM tunneling when engineers cannot observe the surrounding rock in real time. It is important for avoiding construction risks, controlling construction costs, and improving TBM tunneling efficiency and intelligent construction. This paper is organized as follows: following the Introduction, Section 2 briefly describes the project’s overview, data sources, and data processing and research methods; Section 3 proposes and validates the SRE classification process based on the rock-breaking performance of TBMs and analyzes the feasibility of DF as an intelligent identification method; Section 4 presents the limitations and discussion; Section 5 provides the concluding remarks.

2. Materials and Methods

2.1. Project Overview and Data Acquisition

Phase II of a water supply project in Xinjiang, China (KS Tunnel) is 283.41 km long and is being constructed with a cluster of 11 TBMs. KS Tunnel is the longest among all water conveyance tunnels under construction and completed worldwide. This tunnel has an average and maximum burial depth of 428 m and 774 m, respectively, and is a typical deep burial ultra-long water conveyance tunnel. According to the geological survey, the strata lithology exposed along KS Tunnel is mainly characterized as Paleozoic Silurian, Devonian, Carboniferous, and Variscan Orogen intrusive rocks. The surrounding rocks of the tunnel are mainly Type II and III hard rock, accounting for 42.65% and 43.91%, respectively. Most KS Tunnel sections are in fresh rock with underdeveloped fractures. Their surrounding rocks are blocky and thickly laminated. Groundwater mainly comprises bedrock fracture water with a low flow rate.
In this paper, the surrounding rock data obtained from KS Tunnel contained sedimentary and igneous rocks. In order to establish reliable SRE classification criteria, metamorphic rock data were also needed. Therefore, the metamorphic rock data from the water conveyance tunnel project in Lanzhou, China, was used [29]. Figure 1 shows the geological profiles of the two projects. The geological condition information and main TBM parameters are shown in Table 1. The surrounding rock parameters of KS Tunnel were obtained based on field sampling, laboratory testing and preliminary engineering investigations. Figure 2a–c show the processes of acquiring parameters related to the uniaxial compressive strength of rock. For the sample test, we used a rock pressure tester. We set the loading rate as 0.2~1.0 MPa/s according to “Section 3.2.5” of the “Code for Rock Tests in Water and Hydropower Projects” (SL264-2020). TBM tunneling parameters were obtained in real time using a computer. In addition, stake numbers were used to correspond geological data to TBM tunneling parameters. In addition, KS Tunnel was constructed using a cluster of 11 TBMs due to the overall hard and intact geological conditions; thus, an open-type TBM was used. The geological conditions of the Lanzhou water conveyance tunnel were not suitable for an open-type TBM compared to KS Tunnel, with a relatively large average burial depth. Therefore, a double-shield-type TBM was used.

2.2. TBM Tunneling Big Data Preprocessing

2.2.1. Characterization and Extraction of TBM Rock-Breaking Data

Figure 3 shows that TBM tunneling can be divided into several excavation cycles during operation. However, there is a large amount of invalid data between the excavation cycles, i.e., the shutdown phase. Therefore, it is necessary to eliminate invalid data with the following rejection principle:
f ( x ) = T   ×   n   ×   v   ×   F
f ( x ) = 0 , S h u t d o w n   s e c t i o n f ( x ) 0 , T u n n e l i n g   s e c t i o n
where T is the cutterhead torque, n is the cutterhead rotational speed, v is the advance rate, and F is the total thrust.
Despite the shutdown phase, a complete TBM excavation cycle can be divided into four phases, startup, ascending, stable, and end, with the first three phases presented in Figure 4 [8]. Since all parameters in the end phase dropped sharply to 0, they were not included. At the moment of interactions between the TBM cutterhead and the surrounding rock, the advance rate significantly decreased to develop a concave down point due to vibration responses. The cutterhead torque and thrust increased significantly, indicating the beginning of the ascending phase after the startup phase. When the data in the ascending phase stabilized, the stable phase occurred. It should be noted that the total thrust increased with time in the startup phase because the TBM cutterhead has not yet touched the surrounding rock. The cutterhead needed to be pushed forward to the surrounding rock, and the total thrust started to increase. When the advance rate in the startup phase gradually increased, the total thrust also increased with time. In this study, the data in the stable phase were used to analyze the relationship between surrounding rock information and excavatability evaluation indexes during TBM tunneling. Therefore, a scientific and feasible division principle is needed to identify the stable phase in a complete excavation cycle.
If a complete excavation cycle except the stable phase is considered as a whole, the overall fluctuation interval can be determined, i.e., between 0 and the value at the stable phase. Therefore, the data of a complete excavation cycle can be divided into two categories: stable and other phases. Based on this feature, the K-means clustering algorithm was introduced to identify the stable phase in the excavation cycle. K-means clustering is an unsupervised learning clustering algorithm that is widely used in data mining, and the simple implementation process is shown in Figure 5. The basic principle is to iterate to find the minimum distance between each data point and its cluster centroid and then to assign the data points to the nearest clusters [30]. Figure 6 shows the clustering results of the cutterhead torque in a complete excavation cycle. The K-means clustering algorithm effectively separated the data in the stable phase from that in other phases, and only two arrays of 819 arrays showed clustering errors within a small range (Figure 6). Therefore, the K-means clustering algorithm can meet the requirements of this study.

2.2.2. TBM Outlier Processing

During TBM operation, several data indicators, e.g., cutterhead torque and a total of 186 thrusts, were generated per second. However, due to sensor failure, anomalous geological conditions, and electromagnetic interference, TBM data collected by the monitoring system may have outliers, such as the cutterhead’s torque shown in Figure 4 [27]. In order to ensure data quality, outliers need to be appropriately processed.
Outlier detection methods include distance-based, density-based, and statistical analysis methods [31,32]. It should be noted that distance- and density-based identification methods are time-consuming and are not suitable for large datasets from TBM tunneling [27]. In addition, normally distributed data are required if the 3σ-rule of the statistical analysis method is used [33]. However, Figure 7 shows that the distribution of the four TBM tunneling parameters in the Q–Q plot differed significantly from reference function y = x, indicating that large TBM tunneling big data did not strictly obey a normal distribution. Thus, the 3σ-rule method can cause some errors. In summary, this study used box plots to detect outliers. The irregular relationship shown in Figure 7 is because of the following: (1) The TBM tunneling process was complex and variable, and the datasets of its tunneling parameters showed skewness. Taking the cutterhead torque dataset in Figure 7a as an example, the coefficient of skewness of the cutterhead torque dataset was calculated as −1.36 (less than −1). This indicates that the cutterhead torque dataset showed a highly negative skewness phenomenon. The kurtosis value was calculated as 1.43, which was less than 3 (the kurtosis value of the dataset that strictly obeys normal distribution is 3, and skewness is 0). This indicates that the cutterhead torque dataset distribution was flatter than the normal distribution. This synthetically illustrated the irregular relationship in Figure 7 when using Q–Q plots for the normality test. It also proves again that the above four tunneling parameters did not strictly obey the normal distribution. (2) Due to the complexity and variability of geological conditions, abnormal sensors, and electromagnetic interference during TBM tunneling, many outliers may occur in one tunneling cycle. This was common and unavoidable. These outlier datasets also showed irregular relationships during the normality test.
Box plots can detect outliers and graphically demonstrate the degree of dispersion and distribution of univariate data, such as the median, upper quartile, and lower quartile of datasets. An explanation of the distribution of box plots is shown in Figure 8. Figure 9 shows the data distribution of the cutterhead torque in the stable phase (Figure 4), clearly showing the median, mean, and upper and lower quartiles of the dataset; cutterhead torque outliers were accurately identified. Therefore, the box plot method is suitable for outlier detection in this paper.

2.3. Methodology

2.3.1. Calculation Principle of the BQ Index

The BQ rock mass classification standard focuses on Rc and the intactness index of rock mass (Kv) to calculate the BQ index [34]:
B Q = 100 + 3 R c + 250 K v
where BQ is the basic quality of rock mass. The following requirements need to be met:
(1)
If Rc > 90Kv + 30, Rc = 90Kv + 30 and the initial Kv should be substituted into Equation (3).
(2)
If Kv > 0.04Rc + 0.4, Kv = 0.04Rc + 0.4 and the initial Rc should be substituted into Equation (3).
However, in one of the three situations (groundwater occurrence, rock mass stability affected by structural surface, or high ground stress) encountered inside tunnels, BQ values need to be calibrated following the provisions of the Standard for Engineering Classification of Rock Masses (GBT50218-2014) [34].

2.3.2. Calculation Principles of TOPSIS

TOPSIS is an evaluation method that combines the impact of multiple indicators [35]. Based on the distance between the measured value and the ideal solution, i.e., closeness, alternatives are evaluated and ranked: The better the alternative, the smaller the deviation from the ideal solution. Thus, closeness is used to determine the SRE classification threshold of the TBM construction section. The following steps can be used to classify SRE [36].
(1) The initial evaluation index matrix is constructed. If there are m samples and n evaluation indexes, the initial evaluation index matrix can be expressed as
R = ( x i j ) m n
where xij is the sample value, and R is the initial evaluation index matrix.
(2) The normalized evaluation index matrix is constructed. In order to eliminate the dimensional variability of different indicators, the initial evaluation index matrix needs to be normalized:
  • Benefit-type indicators:
r i j = x i j   m i n ( x i j ) m a x ( x i j )     m i n ( x i j )
  • Cost-type indicators:
r i j = m a x ( x i j )     x i j m a x ( x i j )     m i n ( x i j )
  • The final normalized matrix can be expressed as
V = ( v i j ) m n = r 11 r 12 r 1 n r 21 r 22 r 2 n r m 1 r m 2 r m n
(3) The positive and negative ideal solutions of the normalized decision matrix are determined:
V + = [ m a x ( v i j ) ] = [ v 1 + , v 2 + , , v n + ] V = [ m i n ( v i j ) ] = [ v 1 , v 2 , , v n ]
where V+ and V are the positive and negative ideal solutions, respectively.
(4) the closeness coefficient is calculated:
T = D i D i + D i +
D i + = j = 1 n ( v i j   v j + ) 2 D i = j = 1 n ( v i j   v j ) 2
where T is the closeness, Di+ is the distance between the scheme and the positive ideal solution, and Di is the distance between the scheme and the negative ideal solution.
(5) SRE classification is then determined. According to Steps (1)~(4), the closeness between the sample parameters and the excavatability classification boundary is calculated to achieve SRE classification.

2.3.3. Deep Forest (DF) Algorithm

DF is a multi-layer supervised algorithm based on decision trees. This algorithm is inspired by deep learning, and the overall framework consists of a cascade forest connected by layers and multi-grained scanning. DF has better performance compared to other decision-tree-based integrated learning algorithms and is applicable to differently sized training data [37]. DF has fewer hyperparameters and is easier for engineers to understand and control. Therefore, DF has higher data training efficiency, and the model is less prone to problems such as overfitting and underfitting during SRE grade identification. This can improve the accuracy of SRE grade identification and the generalization ability of the model.
Multi-grained scanning is a technique that fully processes features. The data samples are passed through multi-scale sliding windows to obtain multiple feature subsamples. Then, multiple representation vectors are obtained using different RF transformations. Finally, they are concatenated to obtain the augmented feature vector matrix for the current multi-grained scanning [37]. It is assumed in Figure 10 that the original input contains ten features, and the sliding window size is set as 3 with a sliding step of 1. For three-class classification problems, each forest will generate 24 3-dimensional feature vectors and finally generate a 48-dimensional feature vector after concatenation.
Cascade forest expands the feature matrix by adding new augmented feature matrices using multi-grained scanning. Each layer of the cascade forest is augmented by a combination of RF and complete random forest (CRF) for its generalization capability, as shown in Figure 11. Both RF and CRF are integrated learning consisting of multiclass decision trees, and the main principles of both algorithms have been described in detail in the previous literature [38,39]. The difference mainly lies in the different strategies for dividing the eigenvalues of decision trees. RF selects the optimal eigenvalue division point according to principles, such as the Gini coefficient, while CRF selects a random eigenvalue division.
Each forest is computed to produce an n-dimensional (n refers to the classification category) vector, reflecting the percentage of different categories on the leaf nodes. The n-dimensional vector is then merged with the original data to form a new training feature vector, which is used as input for the next cascade level, as shown in Figure 11 and Figure 12. The cascade forest obtains the final prediction result from the mean of the probability vectors in the last level.
It should be noted that cascade forest evaluates the performance of the entire model on the validation set when extending new levels. If there is no significant improvement, the training process stops. Therefore, the number of levels in the cascade model is determined adaptively for different training data sizes. In addition, cascade forest does not introduce new hyperparameters when increasing the model’s depth. Thus, the overall number of hyperparameters is relatively lower, which is conducive to building and training the model.

3. Results

3.1. Surrounding Rock Excavatability Classification Based on Rock-Breaking Data

Figure 13 shows the detailed research process of Section 3.1.

3.1.1. Selection of Surrounding Rock Excavatability Evaluation Indexes

According to previous studies on FPI, the specific penetration (SP) and specific excavation rate (SER) are the available indicators for evaluating SRE in TBM tunneling [23,40,41]:
F P I = F n P
S P = 1 F P I = P F n
S E R = A   ×   S P = A   × P F n
where Fn is the average thrust of a single cutter and is calculated as the ratio of the total thrust to the total number of rolling disc cutters, P is the penetration, and A is the cross-sectional area of the tunnel. These three indicators can all be used to evaluate SRE. It should be noted that SER is the ratio of the excavation volume per revolution to the single cutter thrust. Therefore, SER was selected as the SRE evaluation index in this study.
During the construction of KS Tunnel, according to the mechanical indexes of the surrounding rock, the rock mass types can be categorized into five classes in the order from hard rock to soft rock: II, IIIa, IIIb, IV, and V. Based on the data in the stable phase of TBM operation in KS Tunnel, the correlation between SER and thrust under different surrounding rock types was analyzed (Figure 14). Figure 11 shows that the SER of Class IV and V surrounding rock fluctuated within a wide range. Therefore, errors may occur when determining rock mass excavatability only by using SER. It is worth noting that the penetration rate (PR) of TBMs shows the surrounding rock’s information in terms of penetration efficiency and can be used as an important indicator of rock resistance to rock-breaking cutter and rolling disc cutter wear [15]. Figure 15 and Figure 16 also show that PR showed coefficient of determination values (R2) of 0.8098 and 0.8248 with respect to Rc and Kv, respectively, indicating that PR correlated well with the characteristics of the surrounding rock. Therefore, in this study, PR was used as another SRE evaluation index to analyze the actual relationships between TBM parameters and geological conditions. PR is expressed as
P R = 60 R P M   ×   P 1000
where RPM is the cutterhead rotational speed (revolutions per minute).

3.1.2. Construction of a Surrounding Rock Excavatability Classification System Based on the BQ Index

SER and PR were used to establish a comprehensive SRE evaluation system in this study. However, the classification basis for SER and PR is still lacking. Thus, the BQ rock mass classification method was used as a reference in this study.
The BQ rock mass classification method is a surrounding rock classification method that is commonly used in China, and it can evaluate surrounding rock stability from three aspects: rock, rock mass structure, and rock mass strength parameters. Factors affecting surrounding rock stability are comprehensively considered [33]. However, in TBM tunnels, in addition to surrounding rock stability, TBM parameters and artificially controlled tunneling parameters significantly affect the rapid tunneling of TBMs. It is also known that PR is positively correlated with thrust at the same rock mass class. However, under the traditional BQ rock mass classification method, no clear correlation between PR and thrust was found in the same rock class [42]. Therefore, the conventional BQ rock mass classification method still needs to be improved for the SRE classification of TBM tunnels.
As a reflection of interactions between TBM disc cutters and surrounding rock, penetration can effectively reflect the geological information under different surrounding rock conditions. Therefore, the concept of BQ SRE classification is to explore the intrinsic association between BQ values and penetration and determine the law between SRE and TBM parameters in order to establish a comprehensive system applicable to TBM tunnels.
Using the rock mass classification in constructing KS Tunnel as a benchmark, 10,754 penetration datasets were collected in the stable phase during TBM tunneling, containing a variety of lithologies and five surrounding rock types (Classes II, IIIa, IIIb, IV, and V). In order to expand the data breadth, data were collected at a frequency of 60 Hz, as shown in Table 2.
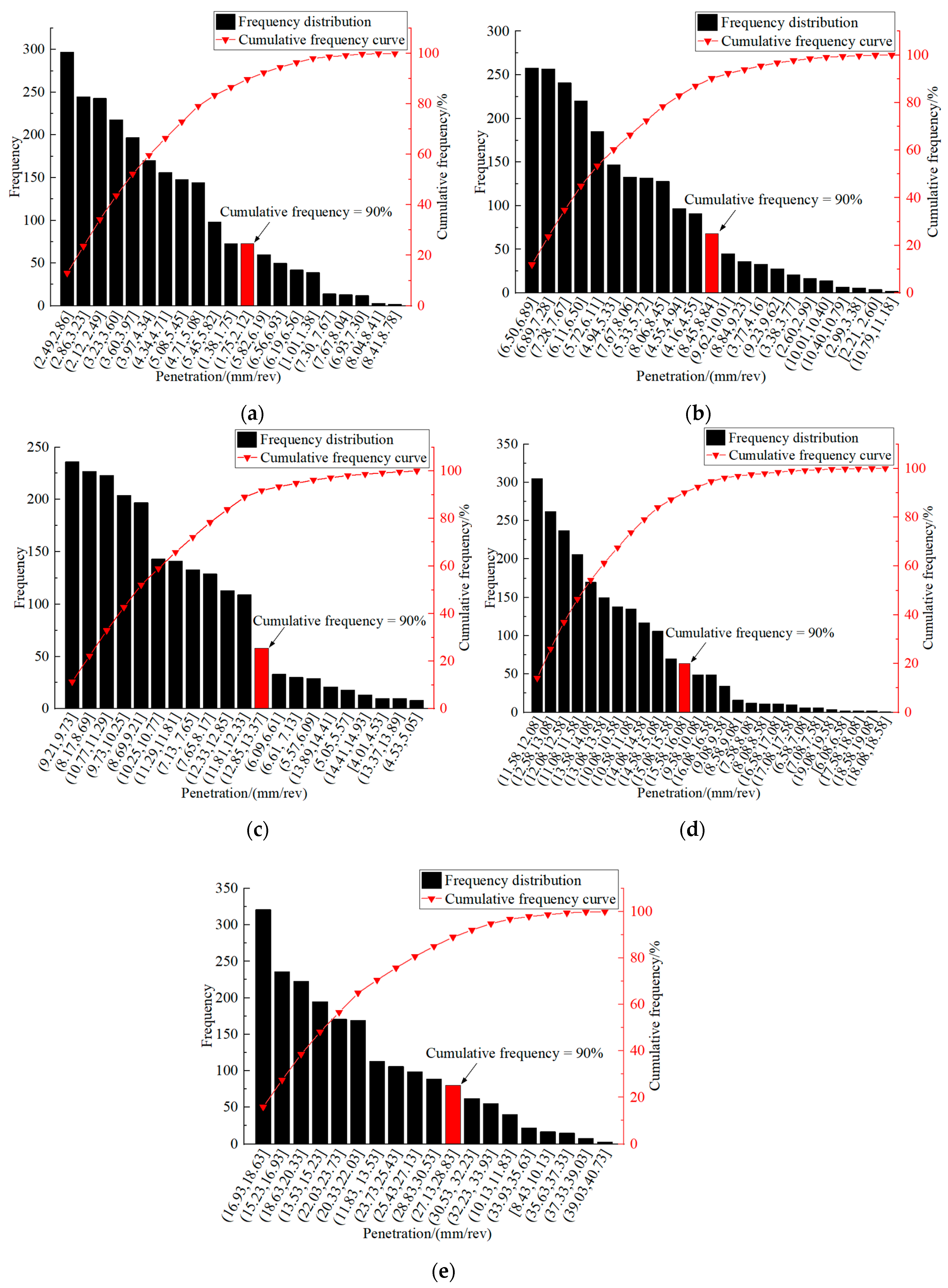
Table 2 shows that the distribution of penetration data under different surrounding rock classes was discrete, with significant overlaps between adjacent rock mass classes. In order to improve data representativeness, this paper automatically sorted and determined the final penetration range according to the principle of the highest frequency of the subinterval to which each class belongs. The specific division process is as follows: (1) sorting the data under each rock mass class by the frequency of subintervals using the Pareto chart; (2) determining the threshold at a cumulative frequency of 90% using the cumulative frequency curve; (3) determining the upper and lower limits of the intervals within the cumulative frequency of 90% as the final penetration range of each class. The Pareto chart and cumulative frequency curves of individual surrounding rock classes are shown in Figure 17.
For example, Figure 17a shows that the penetration threshold for the cumulative frequency of 90% was (1.75, 2.12], and the upper and lower limits were 1.38 and 5.82, respectively. Therefore, the penetration range for Class II surrounding rock was determined as (1.38, 5.82]. In addition, Figure 17 shows that the intervals were continuous after the combination of overlapping subintervals under different surrounding rock classes at a cumulative frequency of 90%. The final penetration ranges under individual classes are shown in Table 3. Table 3 indicates that the penetration ranges under individual classes can be effectively reduced using the above method in order to conform to the actual excavation to the maximum extent. However, Class V surrounding rock had a more discrete penetration distribution than the other four rock types due to fracturing, soft texture, and low integrity.
The intrinsic correlation between BQ values and penetration was investigated to achieve BQ-based SRE classification. Statistical analyses of penetration and BQ values were performed using field data and Equation (3) (Figure 18). A fitted equation (R2 = 0.8325) was derived (Equation (15)). Analysis of variance was used to verify the significance of the model. The calculated significance was 0.000 (p < 0.01), indicating significant correlations, and the fitted model was accurate and reliable. Finally, the average penetrations for individual rock mass classes in Table 3 were substituted into Equation (15) to obtain the BQ SRE classification for TBM tunnels, as shown in Table 4:
P   =   38.5 e ( B Q   /   331.22 ) 1.751 B Q = 331.22 l n P + 1.751 / 38.5
where P is the penetration.
Table 4 shows that as the SRE grade increases from 1 to 6; i.e., when the BQ value increases, the corresponding SRE decreases. As the fracturing degree of the surrounding rock decreases, rock hardness gradually increases; thus, the cutter wear is increasingly exacerbated.

3.1.3. Establishment of TOPSIS-Based Surrounding Rock Excavatability Classification Criteria

The BQ values of the two projects with different surrounding rock conditions were calculated. The SER and PR values in the corresponding stable phases were analyzed. Finally, BQ was fitted with SER and PR (Figure 19 and Figure 20), with R2 = 0.8209 and 0.8001, respectively, indicating good correlations. The optimal fitting equations are expressed as Equations (16) and (17). Analysis of variance shows that the significance values of Equations (16) and (17) were 0.000 (<0.01). This indicates that the fitting performance was excellent, and the models were accurate and reliable.
S E R = 13.5779 e ( B Q / 184.7545 ) + 0.0098
P R = 0.0073 B Q + 6.0691
With BQ values as the independent variable, six classification intervals of SER and PR were calculated using Equations (16) and (17). Thus, an SER evaluation and classification system was established for the TBM construction section, incorporating geological and tunneling parameters (Table 5). When SER is at Grade L-1, the rock is mostly soft, exhibiting fractures and low strength; TBMs have small rolling disc cutter wear losses and high rock-breaking efficiency; the surrounding rock shows good overall excavatability. As the SER grade increases from L-1 to L-6, rock strength and integrity gradually increase; the TBM rock-breaking efficiency decreases; SRE decreases.
Actual TBM excavation was used to further verify the rationality of the proposed system. However, in practice, the system in Table 5 may encounter a problem in that SER and PR indicate different grades at the same moment of excavation. This problem can cause ambiguity when determining the grade. Therefore, a method that fuses these two indicators for evaluation is needed before example validation. In this study, TOPSIS was used to avoid this problem.
According to the principle of TOPSIS, the classification boundaries of individual grades in Table 5 were used as samples. By calculating the SRE closeness of each grade, the final TOPSIS-based classification is shown in Figure 21. To better illustrate the TOPSIS-based SRE classification criteria, sample closeness and classification closeness were compared using some excavation data. For example, the closeness values of the 23rd and 36th samples were calculated as 0.3625 and 0.5203, lying within the range of 0.2985~0.4079 and 0.4079~0.6194, respectively. Thus, the SRE grades were determined as L-3 and L-2, respectively. In addition, the SRE evaluation indexes selected in this study were all positive indexes; i.e., SRE increases as SER and PR increase.
From Figure 21, the classification intervals of Grades L-1, L-2, and L-6 were larger than those of L-3~L-5. This is because of the following. (1) For L-1 and L-6, some limits of their BQ ranges are uncertain. This results in wider BQ ranges and thus larger classification intervals for L-1 and L-6 (particularly more significant for L-1). (2) The actual surrounding rocks involved in Grades L-1 and L-2 have a relatively soft texture and low integrity. Table 5 shows that the penetration distribution was broader for the surrounding rocks with the above characteristics (Classes IV and V). Therefore, L-1 and L-2 exhibited a wider penetration distribution compared with L-3~L-5, further leading to a relatively larger classification interval for these grades.

3.1.4. Validation of Surrounding Rock Excavatability Classification Criteria

KS Tunnel was used as the research object, with some TBM sections selected for analysis. The average values of TBM tunneling parameters of the corresponding construction sections and the TOPSIS closeness of SRE were calculated, as shown in Table 6.
To verify the classification results in Table 6, the surrounding rock classification used for KS Tunnel was used as a benchmark for evaluating the actual SRE. The actual surrounding rock types of individual samples were compared with the calculated SRE classification, as shown in Figure 22.
Figure 22 indicates that the SRE grades of samples 1, 3, and 4 were classified as L-1~L-2, showing that the excavatability was “very good~good”. The actual excavation shows that these three samples belonged to Class V. The actual excavation of KS Tunnel Class-V surrounding rock (Figure 23a) shows that this kind of surrounding rock had low integrity, hardness, and stability, requiring complicated and strict initial support. However, Class V surrounding rock was easy for rolling-disc-cutter rock breaking and had the best excavatability. This is consistent with the calculated SRE grade. The SRE grades of samples 2, 5, 6, and 7 lie within L-2~L-3, and the corresponding surrounding rock type was Class IV. Figure 23b shows that rock stability, integrity, and hardness were only better than those of Class V surrounding rock, i.e., lower excavatability than those of Class V surrounding rock. This indicates that the classification results calculated for samples 2, 5, 6, and 7 were accurate. The actual surrounding rock of samples 8~10 belonged to IIIb and had higher integrity and hardness than those of Class IV and V rock types shown in Figure 23c. Therefore, Class IIIb surrounding rock had lower excavatability than Classes IV and V rocks. The SRE classification results in Figure 22 show that samples 8~10 were consistent with the actual situation. From Figure 23d,e, the integrity and stability of IIIa surrounding rock were only second to Class II surrounding rock. This indicates that among the five surrounding rock types, Class IIIa and II surrounding rocks had lower excavatability, and particularly, Class II surrounding rock had the lowest excavatability. Figure 22 shows that the actual rock types of samples 11–12 were Class IIIa, with an excavatability grade of L-5. The actual surrounding rock type of samples 13–15 was Class II, with an excavatability grade of L-6. In summary, the classification results of all 15 samples were consistent with the actual situation, indicating that the adopted SRE criteria were accurate.

3.2. Surrounding Rock Excavatability Identification Based on Deep Forest

Machine learning algorithms, i.e., deep forest, were used to identify the proposed SRE grade. This process aims to ensure that the established classification system is not limited to relying on SER and PR only in practice and to achieve continuous and accurate intelligent identification.

3.2.1. Data Cleaning, Data Normalization, and Model Feature Selection

The data used to train, validate, and test the model in this section were from the KS Tunnel project, containing 12,382 datasets of Classes II, IIIa, IIIb, IV, and V surrounding rocks.
According to Section 2.2, the data from the stable phase of TBM tunneling were identified and extracted, and the outliers were rejected. Due to the influence of adverse geological conditions, there were many short-cycle data of the excavation cycle in TBM tunneling. Therefore, this paper eliminated excavation cycle data with a duration of fewer than 600 s to improve the accuracy of tunneling parameters. To improve the prediction performance and convergence speed, the data need to be normalized by
x n = x     x m i n x m a x   x m i n
where xn is the normalized data; xmin and xmax represent the minimum and maximum values of the parameters, respectively.
Rational model input features are a key step in identifying SRE. It has been shown that the total thrust can reflect the surrounding rock hardness and the thrust required for the current excavation. The pressure of the top shield can reflect the contact pressure generated when different lithologies gather outside the top shield structure. The gripper force state can reflect the reaction force of TBMs during tunneling in different lithologies. In addition, the torque applied to the rolling disc cutter can reflect the torque produced by the disc cutter rock breaking on the cutter rotational axis. The cutterhead rotational speed, advance rate, and penetration can reflect the overall rock-breaking efficiency of the disc cutter [28,43]. Therefore, the selected input features included the total thrust (K1), top shield cylinder rod chamber pressure (K2), top shield cylinder rodless chamber pressure (K3), gripping force (K4), gripper pump pressure (K5), cutterhead torque (K6), cutterhead rotational speed (K7), penetration (K8), advance rate (K9), and propulsion pump pressure (K10).

3.2.2. Model Evaluation Indexes and Hyperparameter Optimization

This study is characterized as a classification problem. Therefore, accuracy and F1 score were used to evaluate the model’s performance [28]:
A c c u r a c y = T P + T N T P + T N + F P + F N
F 1 = 2 P R P + R
P = T P T P + F P
R = T P T P + F N
where TP and TN indicate true positive and true negative, respectively; FP and FN indicate false positive and false negative, respectively; P is precision; R is recall.
In order to improve model performance, hyperparameter optimization is a key step for obtaining the optimal combination of model parameters. Grid search is a common hyperparameter optimization method. However, this method requires an exhaustive search of a predefined hyperparameter grid and, thus, is time-consuming to run. To address this shortcoming, this paper adopted the method of selecting hyperparameter ranges with prior knowledge to reduce the computational overhead. The specific steps of hyperparameter optimization using grid search are shown in Figure 24.
Each set of hyperparameters was subjected to a 5-fold cross-validation as a judging criterion for the grid search. The 5-fold cross-validation process (Figure 25) is described as follows: (1) The training set is divided into five subsets; (2) four subsets are used as new training sets, one is used as the validation set, and each subset needs to be used as a validation set once; (3) the accuracy scores of each validation set are summed and averaged in order to obtain the final model’s accuracy score.
In this paper, only the hyperparameters involved in the cascade forest were searched for optimization. This is because the number of input features, i.e., ten, used in this study was small; thus, multi-grained scanning was not required. The performance of the cascade forest is powerful enough. After the optimization, the hyperparameter optimization of the cascade forest experienced six iterations. Figure 26 shows the optimization process of each iteration. Figure 27 shows the optimal accuracy of each iteration by 5-fold cross-validation. According to Figure 26 and Figure 27, as the search step for the 1st~6th iterations decreased, the optimal score gradually increased from 0.9598 to 0.9608. The optimal model hyperparameters are shown in Table 7. It should be noted that the cascade layer is adaptive according to the early stopping strategy. Thus, the value of “max_layer” has a slight effect on the model.

3.2.3. Prediction Results of DF

In this study, 80% of data was used for model training, and 20% was used for model testing. The model was trained using optimal hyperparameters after data extraction, outlier processing, and normalization. The final hyperparameters of DF are presented in Table 8. A total of three cascade forest layers were adaptively applied. A 10-fold cross-validation was performed during the training process, with a similar principle to the above 5-fold cross-validation. The final model performance was analyzed using the confusion matrix. The evaluation indexes, such as model accuracy and F1 score, can be obtained, as shown in Figure 28 and Table 9.
Based on Figure 28 and Equations (19) and (20), DF achieved a prediction accuracy of 96.33% with an F1 score of 0.9581 on the test set. Table 9 indicates that the model showed the best performance when identifying Grade L-6 surrounding rocks. F1 score, recall, and precision were 0.9764, 0.9872, and 0.9659, respectively. This means that the average accuracy of a sample predicted as Grade L-6 was 96.59%, with 98.72% successfully identified as Grade L-6 and only 1.28% identified as other grades. Grades L-5 and L-3 were second only to Grade L-6 in terms of identification results, with F1 scores of 0.9709 and 0.9692, respectively. The F1 scores of Grade L-1 and L-2 were similar, with a difference of 0.0003. Grade L-4 had the lowest detection rate of 0.9300 and F1 score of 0.9419 among all grades. In summary, it can be observed that the model had better identification performance for higher SRE grades, i.e., higher identification ability for L-5 and L-6 surrounding rocks with poor excavatability and more severe rolling disc cutter wear. This may be because the sample space can affect the effectiveness of predicting different SRE grades. The model’s feature parameters had fewer overlaps and more significant parameter characteristics in higher grades. The classification boundaries during identification were more clearly defined, inducing different classification performances. However, this is related to the actual surrounding rock characteristics during excavation; thus, it is difficult to eliminate this deficiency from model training. Overall, DF can effectively learn and identify SRE grades with good applicability.

3.2.4. Influence of Input Features on the Model

It has been shown that the RF-based feature metric can effectively assess the impacts of individual features on the model’s performance [44]. Therefore, this section used the Gini coefficient (Equation (23)) based on RF to measure feature importance. A higher score indicates a greater contribution to the model. The importance scores and rankings of the ten features of the model are shown in Figure 29:
G i n i ( p ) = 1 l = 1 l p l 2
where l is the SRE classification grade, and Pl is the probability of a sample being classified for the lth class.
Figure 29 shows that features K8 (penetration) and K9 (advance rate) contributed the most to model performance, with importance scores of 0.2619 and 0.2473, respectively, while K1 (total thrust) scored 0.1298, second only to K8 and K9. In contrast, K3 (the top shield cylinder rod chamber pressure) contributed the least to model performance, with a score of only 0.0268. In terms of SRE classification, K8 and K1 were the two intermediate parameters with significant contributions to model performance. The algorithm was able to identify this law, indicating the feasibility of using these SRE classification criteria. From a practical perspective, the value of K9 was artificially manipulated in practice according to the changes in the surrounding rock during the excavation. K9 was more significantly related to SRE and therefore had a relatively significant contribution to the model’s performance.

3.2.5. Comparison of Different Models

Other machine learning models can also solve the classification identification problem of SRE grades. Therefore, the same dataset was used for SRE classification using four well-developed machine learning algorithms: decision tree (DT), RF, support vector classifier (SVC), and deep neural network (DNN). These four algorithms were validated by hyperparameter optimization with 5-fold cross-validation. Table 10 shows the hyperparameter ranges and optimal values, and Figure 30 shows the confusion matrices. Table 11 shows the value of the main hyperparameters of DT, RF, SVC, and DNN. Based on the confusion matrices of individual algorithms, the performances of individual algorithms were calculated and compared with DF, as shown in Figure 31.
Figure 31 shows that among the five algorithms, DF achieved the best prediction with an accuracy of 0.9633 and an F1 score of 0.9581. In contrast, the DNN algorithm had the worst performance, with “precision/F1 scores” of “0.9080/0.8883”. This is because the random features and samples for the DF decision tree in dealing with nonlinear problems reduced the variance and overfitting of the model. DNN may be affected by problems such as local minima or gradient disappearance when dealing with nonlinear problems, thus affecting model performance. DF improved the stability and robustness of the model via integrated learning and performed better for data samples of different sizes. In addition, RF was second only to DF in terms of the model performance, with “accuracy/F1 scores” of “0.9576/0.9517”. Although DF and RF are both characterized as integrated learning algorithms, DF has a deeper integration of decision trees than RF, with a stronger generalization ability. Therefore, it is feasible to use DF as an intelligent identification method for SRE classification perception.
In addition, Figure 31 shows that all five models achieved good results overall, with accuracies above 0.9080. This was related to model performance, hyperparameter optimization, and data samples. Data sample labels are an important part of the dataset and significantly affect model training. This dataset label was benchmarked with the SRE classification system proposed in this paper. Therefore, it is more rational to use this system for rock mass excavatability classification. This can provide a reference for TBM tunnels of similar lithology.

4. Discussion

(1)
The research results of this paper can be applied to actual construction and inspire practitioners. Due to its special characteristics, the cutterhead cuts the entire tunnel face during TBM tunneling, completely isolating the staff from the tunnel face. As a result, it is impossible to directly monitor the front surrounding rock during construction comprehensively; thus, quickly and accurately testing and evaluating the quality characteristics of the surrounding rock in the field are difficult. In this paper, we proposed a classification system for surrounding rock excavatability based on TBM rock-breaking parameters, and a method for the intelligent identification of this system was proposed. The system can be used to quickly and accurately identify surrounding rock excavatability in the field using real-time TBM excavation data. This allows the staff to quickly adjust TBM tunneling parameters and determine the wear of the rolling disc cutter. In addition, to avoid the limitations of the system proposed in this paper, i.e., the need to calculate fixed SER and PR indicators, we proposed using deep forest algorithms to achieve continuous and accurate intelligent identifications of surrounding rock excavatability. The research study in this paper is important for avoiding construction risks, controlling construction costs, improving TBM tunneling efficiency, and achieving TBM intelligent construction.
(2)
Generally, SRE varies continuously. Therefore, real-time TBM tunneling parameters can identify the SRE in a certain area behind the tunnel face and thus achieve the prediction of SRE. However, the actual excavation and geological conditions need to be combined with different projects to make reasonable judgments. It should be noted that the system and intelligent identification method established in this paper are applicable to the stable phase of TBM excavation cycles (Section 2.2.1).
(3)
The SRE classification system based on TOPSIS has consistent default index weights and should be reasonably analyzed for this problem in a subsequent study (Section 3.1.3). The lithologies involved in the data include tuffaceous sandstone, sand conglomerate, granite, mudstone, quartz diorite, quartz schist, metamorphic andesite, and sandstone (Section 2.1). This system can provide a reference for TBM tunnel projects with similar lithologies. Further testing and optimization are needed for projects with different lithologies.
(4)
The intelligent identification model of SRE based on DF in this paper does not use multi-grained scanning in its structure (Section 3.2.2). However, whether multi-grained scanning is needed for input feature dimensions that are different from the model in this paper depends on the actual model situation.
(5)
The analysis of model performance reveals that surrounding rocks with good excavatability had lower identification accuracy than surrounding rocks with poor excavatability due to the overlapping data of surrounding rock tunneling parameters (Section 3.2.3). Further research is needed to eliminate or reduce the effect of data overlapping.
(6)
For projects with different geological conditions, the SRE process in Figure 13 can be referred to (Section 3.1). In the actual excavation, for rock mass with poor SRE (high hardness and intactness), excavation parameters should be adjusted in a timely manner, and worn cutters should be replaced to improve the utilization rate of TBM tunneling. In addition, for rock mass with high intactness, hardness, and brittleness, rockburst should be a focus of attention. For rock mass with good SRE (soft and fracturing rock), timely support should be provided to improve excavation efficiency.

5. Conclusions

In this study, correlations between geological parameters and tunneling parameters were analyzed based on the field data of the KS Water Conveyance Tunnel in Xinjiang, China, and the water conveyance tunnel project in Lanzhou, China. An empirical SRE classification system was established, and the applicability of the proposed system was verified using engineering examples. An integrated learning model based on prior knowledge with grid search was proposed to optimize DF and was used as an intelligent identification method for SRE. The performance of various machine learning models was compared, and their influencing features were analyzed. The following main conclusions are drawn.
(1) The use of SER to only evaluate SRE can cause certain errors for fractured and poorly integrated surrounding rocks (Classes IV and V). Thus, PR can be used as another evaluation parameter. This can reduce random errors due to single-index characterization.
(2) The correlations between evaluation indexes (SER and PR) and geological parameters (BQ values) were analyzed using statistical analysis. The fitted curves with high accuracies (R2 = 0.8209 and 0.8001) were obtained. Thus, an SRE classification system based on multi-objective decision-making TOPSIS was proposed and validated using 15 samples from the TBM tunneling sections of KS Tunnel. The validation results were consistent with the field excavation situation, confirming the effectiveness of the proposed system. This system can provide a reference for TBM tunnels with the same lithologies.
(3) Ten TBM tunneling parameters were used as input features of the model. Then, after six iterations of hyperparameter optimization with manual presetting and grid search, the proposed DF-based intelligent identification model for SRE had an accuracy and F1 score of 96.33% and 0.9581, respectively. The proposed model exhibited higher performance than the commonly used DT, RF, SVC, and DNN algorithms. In addition, TBM tunneling parameter data did not strictly follow a normal distribution. Therefore, during outlier processing, using the commonly used 3 σ -rule can cause some errors. Therefore, this paper used the box plot method to deal with outliers. The K-means algorithm was also used to extract TBM data in the stable phase, with good performance.
(4) Feature importance was measured using RF. The results show that among the ten input features, penetration and advance rate contributed the most to the model, with contribution scores of 0.2619 and 0.2473, respectively. The top shield cylinder rod chamber pressure contributed the least to model performance, with a score of 0.0268 only.

Author Contributions

Conceptualization, J.Z., K.S. and H.M.; methodology, J.Z., K.S. and H.S.; software, J.Z.; validation, J.Z., R.S., T.F., Z.L. and H.M.; investigation, J.Z. and K.S.; data curation, J.Z., H.M. and Z.L.; writing—original draft preparation, J.Z. and K.S.; supervision, K.S.; funding acquisition, K.S. and J.Z. All authors have read and agreed to the published version of the manuscript.

Funding

This research was funded by the Xinjiang Key Laboratory of Hydraulic Engineering Security and Water Disasters Prevention, grant number ZDSYS-YJS-2022-08.

Institutional Review Board Statement

Not applicable.

Informed Consent Statement

Not applicable.

Data Availability Statement

The data that support the findings of this study are available upon request from the corresponding author. The data of K.S. Tunnel are not publicly available due to privacy or ethical restrictions. The data of the Lanzhou water conveyance project in China are available in the cited article.

Acknowledgments

We would like to thank engineers Zhiqiang Ren and Zhao Liu at Xinjiang Erzis River Investment and Development (Group) Co., Ltd. for providing the data and thank Xinjiang Key Laboratory of Hydraulic Engineering Security and Water Disasters Prevention for funding the test.

Conflicts of Interest

The authors declare no conflict of interest.

References

  1. Liu, Q.; Huang, X.; Gong, Q.; Du, L.; Pan, Y.; Liu, J. Application and development of hard rock TBM and its prospect in China. Tunn. Undergr. Space Technol. 2016, 57, 33–46. [Google Scholar] [CrossRef]
  2. Liu, Q.; Liu, J.; Pan, Y.; Kong, X.; Hong, K. A case study of TBM performance prediction using a Chinese rock mass classification system—Hydropower Classification (HC) method. Tunn. Undergr. Space Technol. 2017, 65, 140–154. [Google Scholar] [CrossRef]
  3. Gong, Q.; Yin, L.; Ma, H.; Zhao, J. TBM tunnelling under adverse geological conditions: An overview. Tunn. Undergr. Space Technol. 2016, 57, 4–17. [Google Scholar] [CrossRef]
  4. Liu, Q.; Wang, X.; Huang, X.; Yin, X. Prediction model of rock mass class using classification and regression tree integrated AdaBoost algorithm based on TBM driving data. Tunn. Undergr. Space Technol. 2020, 106, 103595. [Google Scholar] [CrossRef]
  5. Li, J.; Jing, L.; Zheng, X.; Li, P.; Yang, C. Application and outlook of information and intelligence technology for safe and efficient TBM construction. Tunn. Undergr. Space Technol. 2019, 93, 103097. [Google Scholar] [CrossRef]
  6. Fattah, M.Y.; Shlash, K.T.; Salim, N.M. Effect of Reduced k0 Zone on Time-Dependent Analysis of Tunnels. Adv. Civ. Eng. 2011, 2021, 963502. [Google Scholar]
  7. Fattah, M.Y.; Shlash, K.T.; Salim, N.M. Settlement Trough Due to Tunneling in Cohesive Ground. Indian Geotech. J. 2011, 41, 64–75. [Google Scholar]
  8. Xu, C.; Liu, X.; Wang, E.; Wang, S. Prediction of tunnel boring machine operating parameters using various machine learning algorithms. Tunn. Undergr. Space Technol. 2021, 109, 103699. [Google Scholar] [CrossRef]
  9. Pourhashemi, S.M.; Ahangari, K.; Hassanpour, J.; Eftekhari, S. TBM performance analysis in very strong and massive rocks; case study: Kerman water conveyance tunnel project, Iran. Geomech. Geoengin. 2022, 17, 1110–1122. [Google Scholar] [CrossRef]
  10. Hassanpour, J.; Vanani, A.A.G.; Rostami, J.; Cheshomi, A. Evaluation of common TBM performance prediction models based on field data from the second lot of Zagros water conveyance tunnel (ZWCT2). Tunn. Undergr. Space Technol. 2016, 52, 147–156. [Google Scholar] [CrossRef]
  11. Liu, B.; Wang, R.; Zhao, G.; Guo, X.; Wang, Y.; Li, J.; Wang, S. Prediction of rock mass parameters in the TBM tunnel based on BP neural network integrated simulated annealing algorithm. Tunn. Undergr. Space Technol. 2020, 95, 103103. [Google Scholar] [CrossRef]
  12. Armaghani, D.J.; Koopialipoor, M.; Marto, A.; Yagiz, S. Application of several optimization techniques for estimating TBM advance rate in granitic rocks. J. Rock Mech. Geotech. Eng. 2019, 11, 779–789. [Google Scholar] [CrossRef]
  13. Salimi, A.; Rostami, J.; Moormann, C. Application of rock mass classification systems for performance estimation of rock TBMs using regression tree and artificial intelligence algorithms. Tunn. Undergr. Space Technol. 2019, 92, 103046. [Google Scholar] [CrossRef]
  14. Xue, Y.; Zhao, F.; Zhao, H.; Zhao, H.; Li, X.; Diao, Z. A new method for selecting hard rock TBM tunnelling parameters using optimum energy: A case study. Tunn. Undergr. Space Technol. 2018, 78, 64–75. [Google Scholar] [CrossRef]
  15. Bruland, A. Hard Rock Tunnel Boring. Ph.D. Thesis, Norwegian University of Science and Technology, Trondheim, Norway, 1998. [Google Scholar]
  16. Barton, N. TBM Tunnelling in Jointed and Faulted Rock, 1st ed.; CRC Press: Rotterdam, The Netherlands, 2000; pp. 170–175. [Google Scholar]
  17. Bieniawski, Z.T.; Celada, B.; Galera, J.M. TBM excavatability: Prediction and machine-rock interaction. In Proceedings of the Rapid Excavation and Tunneling Conference, Toronto, ON, Canada, 2007; Available online: www.zhangqiaokeyan.com/academic-conference-foreign_rapid-excavation-tunneling-conference-2007-retc-2007-toronto_thesis/020511633341.html (accessed on 10 January 2023).
  18. Rispoli, A.; Ferrero, A.M.; Cardu, M. From exploratory tunnel to base tunnel: Hard rock TBM performance prediction by means of a stochastic approach. Rock Mech. Rock Eng. 2020, 53, 5473–5487. [Google Scholar] [CrossRef]
  19. Hamidi, J.K.; Shahriar, K.; Rezai, B.; Rostami, J. Performance prediction of hard rock TBM using rock mass rating ( RMR) system. Tunn. Undergr. Space Technol. 2010, 25, 333–345. [Google Scholar] [CrossRef]
  20. Hassanpour, J.; Rostami, J.; Khamehchiyan, M.; Bruland, A. Developing new equations for TBM performance prediction in carbonate-argillaceous rocks: A case history of Nowsood water conveyance tunnel. Geomech. Geoengin. 2009, 4, 287–297. [Google Scholar] [CrossRef]
  21. Delisio, A.; Zhao, J.; Einstein, H.H. Analysis and prediction of TBM performance in blocky rock conditions at the Lötschberg Base Tunnel. Tunn. Undergr. Space Technol. 2013, 33, 131–142. [Google Scholar] [CrossRef]
  22. Ribacchi, R.; Fazio, A.L. Influence of rock mass parameters on the performance of a TBM in a gneissic formation. Rock Mech. Rock Eng. 2005, 38, 105–127. [Google Scholar] [CrossRef]
  23. Farrokh, E.; Rostami, J.; Laughton, C. Study of various models for estimation of penetration rate of hard rock TBMs. Tunn. Undergr. Space Technol. 2012, 30, 110–123. [Google Scholar] [CrossRef]
  24. Song, K.; Yang, H.; Wang, Z. A hybrid stacking framework optimized method for TBM performance prediction. Bull. Eng. Geol. Environ. 2023, 82, 27. [Google Scholar] [CrossRef]
  25. Wu, Z.; Wei, R.; Chu, Z.; Liu, Q. Real-time rock mass condition prediction with TBM tunneling big data using a novel rock–machine mutual feedback perception method. J. Rock Mech. Geotech. 2021, 13, 1311–1325. [Google Scholar] [CrossRef]
  26. Zhang, Q.; Liu, Z.; Tan, J. Prediction of geological conditions for a tunnel boring machine using big operational data. Automat. Constr. 2019, 100, 73–83. [Google Scholar] [CrossRef]
  27. Yu, H.; Tao, J.; Qin, C.; Xiao, D.; Sun, H.; Liu, C. Rock mass type prediction for tunnel boring machine using a novel semi-supervised method. Measurement 2021, 179, 109545. [Google Scholar] [CrossRef]
  28. Liu, Z.; Li, L.; Fang, X.; Qi, W.; Shen, J.; Zhou, H.; Zhang, Y. Hard-rock tunnel lithology prediction with TBM construction big data using a global-attention-mechanism-based LSTM network. Automat. Constr. 2021, 125, 103647. [Google Scholar] [CrossRef]
  29. Jiang, X. Research on Double Shielded TBM Performance Prediction Based on Field Measured Data. Bachelor’s Thesis, Zhengzhou University, Zhengzhou, China, 2020. (In Chinese). [Google Scholar]
  30. Sinaga, K.P.; Yang, M.S. Unsupervised K-means clustering algorithm. IEEE Access 2020, 8, 80716–80727. [Google Scholar] [CrossRef]
  31. Shin, H.J.; Eom, D.H.; Kim, S.S. One-class support vector machines—An application in machine fault detection and classification. Comput. Ind. Eng. 2005, 48, 395–408. [Google Scholar] [CrossRef]
  32. Tang, B.; He, H. A local density-based approach for outlier detection. Neurocomputing 2017, 241, 171–180. [Google Scholar] [CrossRef]
  33. Wang, H.; Bah, M.J.; Hammad, M. Progress in outlier detection techniques: A survey. IEEE Access 2019, 7, 107964–108000. [Google Scholar] [CrossRef]
  34. GB/T 50218–2014; Standard for Engineering Classification of Rock Masses. The National Standards Compilation Group of People’s Republic of China: Beijing, China, 2014; pp. 8–12. (In Chinese)
  35. Behzadian, M.; Otaghsara, S.K.; Yazdani, M.; Ignatius, J. A state-of the-art survey of TOPSIS applications. Expert. Syst. Appl. 2012, 39, 13051–13069. [Google Scholar] [CrossRef]
  36. Chen, P. Effects of normalization on the entropy-based TOPSIS method. Expert. Syst. Appl. 2019, 136, 33–41. [Google Scholar] [CrossRef]
  37. Zhou, Z.H.; Feng, J. Deep forest. Natl. Sci. Rev. 2019, 6, 74–86. [Google Scholar] [CrossRef]
  38. Sun, J.; Yu, H.; Zhong, G.; Dong, J.; Zhang, S.; Yu, H. Random shapley forests: Cooperative game-based random forests with consistency. IEEE Trans. Cybern. 2020, 52, 205–214. [Google Scholar] [CrossRef] [PubMed]
  39. Liu, F.T.; Ting, K.M.; Yu, Y.; Zhou, Z.H. Spectrum of variable-random trees. J. Artif. Intell. Res. 2008, 32, 355–384. [Google Scholar] [CrossRef]
  40. Zhang, X.P.; Xie, W.Q.; Liu, Q.S.; Yang, X.M.; Tang, S.H.; Wu, J. Development and application of an in-situ indentation testing system for the prediction of tunnel boring machine performance. Int. J. Rock Mech. Min. Sci. 2021, 147, 104899. [Google Scholar] [CrossRef]
  41. Ma, T.; Jin, Y.; Liu, Z.; Prasad, Y.K. Research on Prediction of TBM Performance of Deep-Buried Tunnel Based on Machine Learning. Appl. Sci. 2022, 12, 6599. [Google Scholar] [CrossRef]
  42. Xue, Y.D.; Li, X.; Diao, Z.X.; Zhao, F. A novel classification method of rock mass for TBM tunnel based on penetration performance. China J. Rock Mech. Geotech. 2018, 37, 3382–3391. (In Chinese) [Google Scholar]
  43. Li, J.B. TBM Structure and Application, 1st ed.; China Communications Press: Beijing, China, 2019; pp. 43–101. [Google Scholar]
  44. Li, J.; Li, P.; Guo, D.; Li, X.; Chen, Z. Advanced prediction of tunnel boring machine performance based on big data. Geosci. Front. 2021, 12, 331–338. [Google Scholar] [CrossRef]
Figure 1. Geological profiles of the study area.
Figure 1. Geological profiles of the study area.
Applsci 13 07060 g001
Figure 2. Processes of acquiring parameters related to the uniaxial compressive strength of rock: (a) field sampling; (b) rock core samples; (c) laboratory tests.
Figure 2. Processes of acquiring parameters related to the uniaxial compressive strength of rock: (a) field sampling; (b) rock core samples; (c) laboratory tests.
Applsci 13 07060 g002
Figure 3. Multiple TBM tunneling phases and shutdown phases.
Figure 3. Multiple TBM tunneling phases and shutdown phases.
Applsci 13 07060 g003
Figure 4. The first three segments of the TBM operation segment (start-up, ascending, and stable).
Figure 4. The first three segments of the TBM operation segment (start-up, ascending, and stable).
Applsci 13 07060 g004
Figure 5. Visualization of the K-means clustering principle.
Figure 5. Visualization of the K-means clustering principle.
Applsci 13 07060 g005
Figure 6. K-means clustering example (cutterhead torque as an example).
Figure 6. K-means clustering example (cutterhead torque as an example).
Applsci 13 07060 g006
Figure 7. Normality test of four TBM tunneling indexes: (a) cutterhead torque; (b) cutterhead rotational speed; (c) advance rate; (d) total thrust.
Figure 7. Normality test of four TBM tunneling indexes: (a) cutterhead torque; (b) cutterhead rotational speed; (c) advance rate; (d) total thrust.
Applsci 13 07060 g007
Figure 8. Principle of the box plot method.
Figure 8. Principle of the box plot method.
Applsci 13 07060 g008
Figure 9. Box plot method used to identify outliers of the cutterhead torque in Figure 4.
Figure 9. Box plot method used to identify outliers of the cutterhead torque in Figure 4.
Applsci 13 07060 g009
Figure 10. Multi-granularity scanning structure (three classifications).
Figure 10. Multi-granularity scanning structure (three classifications).
Applsci 13 07060 g010
Figure 11. Cascade forest structure.
Figure 11. Cascade forest structure.
Applsci 13 07060 g011
Figure 12. Forest decision process (three classifications).
Figure 12. Forest decision process (three classifications).
Applsci 13 07060 g012
Figure 13. Surrounding rock excavatability classification process.
Figure 13. Surrounding rock excavatability classification process.
Applsci 13 07060 g013
Figure 14. Distribution characteristics of SER and the total thrust of five different surrounding rock classifications.
Figure 14. Distribution characteristics of SER and the total thrust of five different surrounding rock classifications.
Applsci 13 07060 g014
Figure 15. Correlation between Rc and PR.
Figure 15. Correlation between Rc and PR.
Applsci 13 07060 g015
Figure 16. Correlation between Kv and PR.
Figure 16. Correlation between Kv and PR.
Applsci 13 07060 g016
Figure 17. Penetration Pareto charts of different surrounding rock classifications: (a) Class II; (b) Class IIIa; (c) Class IIIb; (d) Class IV; (e) Class V.
Figure 17. Penetration Pareto charts of different surrounding rock classifications: (a) Class II; (b) Class IIIa; (c) Class IIIb; (d) Class IV; (e) Class V.
Applsci 13 07060 g017
Figure 18. Correlation between penetration and BQ.
Figure 18. Correlation between penetration and BQ.
Applsci 13 07060 g018
Figure 19. Correlation between SER and BQ.
Figure 19. Correlation between SER and BQ.
Applsci 13 07060 g019
Figure 20. Correlation between PR and BQ.
Figure 20. Correlation between PR and BQ.
Applsci 13 07060 g020
Figure 21. TOPSIS surrounding rock excavatability classification criteria.
Figure 21. TOPSIS surrounding rock excavatability classification criteria.
Applsci 13 07060 g021
Figure 22. Comparison of the surrounding rock excavatability and actual surrounding rock classification.
Figure 22. Comparison of the surrounding rock excavatability and actual surrounding rock classification.
Applsci 13 07060 g022
Figure 23. Five surrounding rock classes at construction sites: (a) Class V; (b) Class IV (c) Class IIIb; (d) Class IIIa; (e) Class II.
Figure 23. Five surrounding rock classes at construction sites: (a) Class V; (b) Class IV (c) Class IIIb; (d) Class IIIa; (e) Class II.
Applsci 13 07060 g023
Figure 24. Hyperparameter optimization process.
Figure 24. Hyperparameter optimization process.
Applsci 13 07060 g024
Figure 25. Five-fold cross-validation structure.
Figure 25. Five-fold cross-validation structure.
Applsci 13 07060 g025
Figure 26. Hyperparameter six-round iterative process.
Figure 26. Hyperparameter six-round iterative process.
Applsci 13 07060 g026
Figure 27. Optimal accuracies for individual iterations.
Figure 27. Optimal accuracies for individual iterations.
Applsci 13 07060 g027
Figure 28. Confusion matrix for DF test set.
Figure 28. Confusion matrix for DF test set.
Applsci 13 07060 g028
Figure 29. Importance scores of different input features for surrounding rock excavatability prediction.
Figure 29. Importance scores of different input features for surrounding rock excavatability prediction.
Applsci 13 07060 g029
Figure 30. The confusion matrices of the four models on the test set: (a) DT; (b) RF; (c) SVC; (d) DNN.
Figure 30. The confusion matrices of the four models on the test set: (a) DT; (b) RF; (c) SVC; (d) DNN.
Applsci 13 07060 g030
Figure 31. Classification performances of DT, RF, SVC, DNN, and DF.
Figure 31. Classification performances of DT, RF, SVC, DNN, and DF.
Applsci 13 07060 g031
Table 1. Geological characteristics and TBM parameters of tunnel projects.
Table 1. Geological characteristics and TBM parameters of tunnel projects.
Project ParametersKS Tunnel in Xinjiang, ChinaWater Conveyance Tunnel Project in Lanzhou, China
Tunnel length/(km)283.4131.57
Mean buried depth/(m)428500
Rock typesTuffaceous sandstone, granite, quartz diorite, andesiteQuartz diorite, quartz schist, granite, metamorphic andesite and sandstone
TBM typesOpen full-face TBMDouble-shield TBM
Number of rolling cutters4837
Cutter diameter/(m)75.48
Rated torque/(kN·m)44103458
Maximum thrust/(kN)19,07622,160
Cutterhead rotating speed/(r/min)0~10.90~10.3
Table 2. Penetration statistics table of different rock mass classes.
Table 2. Penetration statistics table of different rock mass classes.
ClassData SizePenetration Range/(mm/rev)Mean/(mm/rev)Standard Deviation
II22971.01~8.743.761.41
IIIa21702.21~10.896.651.44
IIIb20854.01~14.879.81.9
IV21756.08~19.4912.581.84
V20278.43~39.9520.656.01
Table 3. Penetration ranges for different rock mass classifications.
Table 3. Penetration ranges for different rock mass classifications.
ClassRange of Penetration/(mm/rev)Mean/(mm/rev)
II1.38~5.823.55
IIIa4.16–8.846.58
IIIb7.13–12.859.86
IV10.08–16.0812.66
V11.83–28.8319.3
Table 4. Surrounding rock excavatability grade classification based on the BQ value.
Table 4. Surrounding rock excavatability grade classification based on the BQ value.
BQ-Based Excavatability ClassificationBQ
1<200
2325~200
3397~325
4507~397
5657~507
6>657
Table 5. Surrounding rock excavatability classification based on SER and PR.
Table 5. Surrounding rock excavatability classification based on SER and PR.
Excavatability GradeBQSER/(m3·rev−1·cutter·kN−1)PR/(m/h)Excavatability Description
L-1<200>4.6>4.6excellent
L-2325~2004.6~2.34.6~3.7good
L-3397~3252.3~1.63.7~3.2fair
L-4507~3971.6~0.93.2~2.4poor
L-5657~5070.9~0.42.4~1.3very poor
L-6>657<0.4<1.3extremely poor
Table 6. Engineering validations.
Table 6. Engineering validations.
SampleMileageRock TypesSER/(m3·rev−1·Cutter·kN−1)PR/(m/h)ClosenessGrade
164 + 781.46~64 + 786.52Tuffaceous sandstone11.07071.97470.6352L-1
268 + 415.99~68 + 694.9Glutenite2.16334.30260.4212L-2
364 + 497.34~64 + 499.9Tuffaceous sandstone5.12181.22310.4309L-2
464 + 499.9~64 + 506.1Tuffaceous sandstone5.47771.04230.4437L-2
568 + 285.55~68 + 310.98Glutenite2.03463.87600.3865L-3
668 + 585.69~68 + 602.26Glutenite2.13263.85560.3905L-3
768 + 735.53~68 + 751.03Glutenite2.40023.41250.3764L-3
864 + 709.74~64 + 728.58Tuffaceous sandstone1.92222.59920.2932L-4
964 + 865.99~64 + 877.1Tuffaceous sandstone2.66211.67820.2847L-4
1064 + 877.1~64 + 888.66Tuffaceous sandstone1.61062.02120.2351L-4
1159 + 198.28~59 + 205.67Tuffaceous sandstone0.90561.54100.1619L-5
1259 + 205.67~59 + 222.28Tuffaceous sandstone0.89402.27560.2174L-5
1345 + 274.00~45 + 280.16Granite0.18890.75600.0703L-6
1445 + 714.69~45 + 722.97Granite0.23870.54000.0536L-6
1546 + 223.21~46 + 231.43Andesite0.49151.33560.1279L-6
Table 7. DF grid search and parameter optimization.
Table 7. DF grid search and parameter optimization.
ModelParametersSelected ValuesOptimal Values
DFnEstimators1~64
nTrees[60, 100, 140, 180, 200, 215, 220, 225, 226~234,
235, 240, 245, 250, 255, 260, 270, 280]
227
Max layer2020
Max depth[5, 10, 13~20]16
Min samples leaf[1, 2, 3, 4, 7]1
Table 8. Model final hyperparameters of DF.
Table 8. Model final hyperparameters of DF.
ModelParametersValues
DFnEstimators4
nTrees227
Max layer20
Max depth16
Min samples leaf1
Min samples split2
Predictorforest
Criteriongini
Bin subsample200,000
Bin typepercentile
nBins255
nTolerant rounds2
Table 9. Prediction results of surrounding rock excavatability.
Table 9. Prediction results of surrounding rock excavatability.
GradeRecallPrecisionF1 Score
L-10.92090.97060.9451
L-20.92770.96250.9448
L-30.97200.96650.9692
L-40.95430.93000.9419
L-50.96660.97530.9709
L-60.98720.96590.9764
Average0.95480.96180.9581
Table 10. Grid search and optimal parameters of classifiers.
Table 10. Grid search and optimal parameters of classifiers.
ModelKey ParametersSelected ValuesOptimal Values
DTMax depth[10, 15, 20, 25, 30]20
Min samples leaf[1, 2, 3, 4, 5]1
Min samples split[2, 3, 4, 5, 6]2
RFnEstimators[50, 100, 150, 200, 300]150
Max depth[10, 15, 20, 25, 30]25
Min samples split[2, 3, 4]2
Min samples leaf[1, 2, 3, 5]1
Max features[auto,sqrt,log2]auto
SVCkernel[Linear,poly,rbf,sigmoid]poly
C[0.25, 0.5, 1, 2, 4, 8, 16]16
DNNHidden layer sizes[(10,), (20,), (30,), (10, 10), (20, 10), (30, 20)](30, 20)
activation[relu,tanh.logistic]relu
learning_rate[constant,invscaling,adaptive]adaptive
alpha[0.001, 0.01, 0.1]0.001
Table 11. Hyperparameter values of DT, RF, SVC, and DNN.
Table 11. Hyperparameter values of DT, RF, SVC, and DNN.
ModelParametersValues
DTMax depth20
Min samples leaf1
Min samples split2
Max featuresNone
Criteriongini
Class weightNone
Max leaf nodesNone
RFnEstimators150
Max depth25
Min samples split2
Min samples leaf1
Max featuresauto
Criteriongini
BootstrapTrue
Class weightNone
Max leaf nodesNone
Max samplesNone
Oob scoreFalse
SVCKernelpoly
C16
Gammascale
Degree3
Class weightNone
Decision function shapeovr
Tol0.001
Max iter−1
DNNHidden layer sizes(30, 20)
Activationrelu
Learning rateadaptive
Alpha0.001
Batch sizeauto
Learning rate init0.001
Solveradam
Beta 10.9
Beta 20.999
Early stoppingFalse
Momentum0.9
Nesterovs momentumTrue
Tol0.0001
Disclaimer/Publisher’s Note: The statements, opinions and data contained in all publications are solely those of the individual author(s) and contributor(s) and not of MDPI and/or the editor(s). MDPI and/or the editor(s) disclaim responsibility for any injury to people or property resulting from any ideas, methods, instructions or products referred to in the content.

Share and Cite

MDPI and ACS Style

Zhang, J.; Shi, K.; Majiti, H.; Shan, H.; Fu, T.; Shi, R.; Lu, Z. Study on the Classification and Identification Methods of Surrounding Rock Excavatability Based on the Rock-Breaking Performance of Tunnel Boring Machines. Appl. Sci. 2023, 13, 7060. https://doi.org/10.3390/app13127060

AMA Style

Zhang J, Shi K, Majiti H, Shan H, Fu T, Shi R, Lu Z. Study on the Classification and Identification Methods of Surrounding Rock Excavatability Based on the Rock-Breaking Performance of Tunnel Boring Machines. Applied Sciences. 2023; 13(12):7060. https://doi.org/10.3390/app13127060

Chicago/Turabian Style

Zhang, Jianming, Kebin Shi, Hadelibieke Majiti, Hongze Shan, Tao Fu, Renyi Shi, and Zhipeng Lu. 2023. "Study on the Classification and Identification Methods of Surrounding Rock Excavatability Based on the Rock-Breaking Performance of Tunnel Boring Machines" Applied Sciences 13, no. 12: 7060. https://doi.org/10.3390/app13127060

APA Style

Zhang, J., Shi, K., Majiti, H., Shan, H., Fu, T., Shi, R., & Lu, Z. (2023). Study on the Classification and Identification Methods of Surrounding Rock Excavatability Based on the Rock-Breaking Performance of Tunnel Boring Machines. Applied Sciences, 13(12), 7060. https://doi.org/10.3390/app13127060

Note that from the first issue of 2016, this journal uses article numbers instead of page numbers. See further details here.

Article Metrics

Back to TopTop