Amidoalkyl Naphthols as Important Bioactive Substances and Building Blocks: A Review on the Current Catalytic Mannich-Type Synthetic Approaches
Abstract
1. Introduction
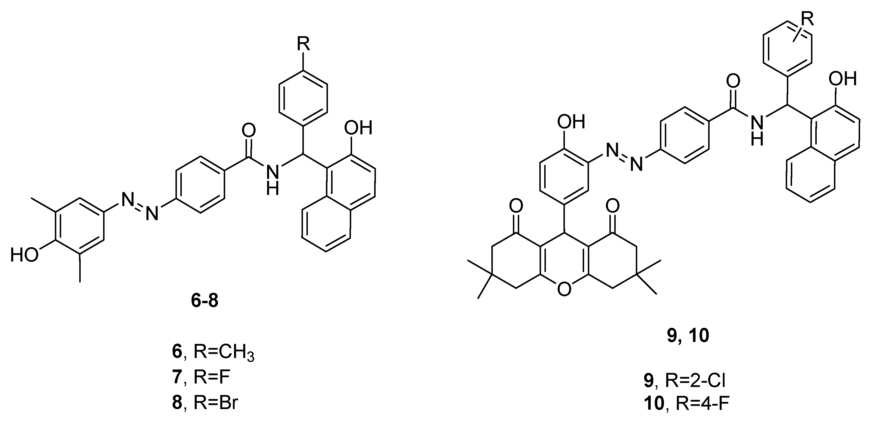
2. Amidoalkyl Naphthols as Bioactive Molecules
3. Amidoalkyl Naphthols as Building Blocks
4. Synthesis of Amidoalkyl Naphthols via Multicomponent Mannich Condensation
4.1. Homogeneous Catalysis
4.1.1. Bronsted Acids as Catalysts
| Refs. | Type of Catalyst (mol%) | Reusability (Cycles) | Substituents (Number of Products) | Reaction Medium | T, °C | Reaction Time | Yield, % |
|---|---|---|---|---|---|---|---|
| [23] | Phenylboronic acid (15) | No | R1 = Aryl R2 = Methyl, Vinyl (19) | Solvent-free | 120 | 1–7 h | 60–92 |
| [60] | Adipic acid (10) | No | R1 = Aryl R2 = Methyl, Phenyl (21) | Solvent-free | 120 | 9–76 min | 83–96 |
| [61] | Ascorbic acid (8.5) | No | R1 = Aryl R2 = Methyl, Phenyl (13) | Solvent-free | 100 | 4–12 min | 75–96 |
| [62] | 2,6-pyridinedicarboxylic acid (dipicolinic acid) (10) | Yes (3) | R1 = Propyl, Aryl R2 = Methyl, NH2 (17) | Toluene | reflux | 3.5–4.5 h | 79–96 |
| [63] | p-Toluenesulfonic acid (10) | No | R1 = Aryl R2 = Aryl (12) | PEG-400 | 100 | 20 min–4 h | 65–91 |
4.1.2. Ionic Liquids and Deep Eutectic Solvents as Catalysts
| Refs. | Type of Catalyst (mol%) | Reusability (Cycles) | Substituents (Number of Products) | Reaction Medium | T, °C | Reaction Time | Yield, % |
|---|---|---|---|---|---|---|---|
| [66] | [Et3NH][HSO4] (20) | Yes (3) | R1 = Aryl R2 = Methyl, NH2 (12) | Solvent-free | 70 | 2–25 min | 65–85 |
| [54] | Tetramethylethylene diaminium disulfonic acid chloride (7.5) | No | R1 = Aryl R2 = Alkoxyl, Alkyl, Aryl (13) | Solvent-free | 70 | 15–25 min | 92–95 |
| [67] | (SO3H)(n-Bu)3P+ FeCl4− (1) | No | R1 = Aryl R2 = Methyl, Phenyl (17) | Solvent-free | 45 | 5–30 min | 75–94 |
| [68] | [C6BIM] (SO3H)2 (FeBr3Cl)2 (0.1 g/1 mmol) | Yes (4) | R1 = Aryl R2 = Methyl, Phenyl (12) | Solvent-free | 100 | 10–20 min | 84–90 |
| [69] | Tetrakis(N-methylimidazolium-1-ylmethyl)methane tetra(hydrogen sulfate) (1.25) | No | R1 = Aryl R2 = Methyl (10) | Solvent-free | 90 | 3–15 min | 90–96 |
| [20] | Triethanolammonium acetate ionic liquid (20) | Yes (4) | R1 = Aryl, Heteroaryl R2 = Methyl, NH2 (>10) | Solvent-free | 90 | 40–85 min | 76–91 |
| [22] | Prolinium dihydrogen phosphate (10) | No | R1 = Aryl R2 = Methyl, Phenyl (23) | Solvent-free | 120 | 2 h | 70–92 |
| [70] | [CholineCl][ZnCl2]3 (20) | Yes (3) | R1 = Aryl, Furyl, Propyl, Cyclohexyl R2 = Phenyl, Chloromethyl (16) | Solvent-free | 60 | 40–80 min | 45–95 |
| [71] | Cetrimonium bromide (10) | No | R1 = Aryl, Heteroaryl R2 = Methyl, Phenyl, NH2 (24) | Water | 100 | 1–2.5 h | 81–96 |
4.2. Heterogeneous Catalysis
4.2.1. Nanomaterials as Catalysts
4.2.2. Other Types of Heterogeneous Catalysts
| Refs. | Type of Catalyst (Catalyst/Substrate Ratio) | Reusability (Cycles) | Substituents (Number of Products) | Reaction Medium | T, °C | Reaction Time | Yield,% |
|---|---|---|---|---|---|---|---|
| Nanomaterials | |||||||
| [73] | Nano-Co-[4-cholorophenyl-salicylaldimine-methylpyranopyrazole]Cl2 (5 mol%) | No | R1 = Aryl R2 = Methyl (15) | Solvent-free | 100 | 5–15 min | 85–95 |
| [74] | Nanoparticle-supported 2-(((4-(1-iminoethyl)phenyl) imino)methyl)phenol Cu(II) or Zn(II) complex (0.1 g/1 mmol) | Yes (4) | R1 = Aryl R2 = Methyl, Chloromethyl, Phenyl, NH2 (22) | Solvent-free | 80 | 40–100 min | 73–97 |
| [75] | Nickel nanoparticles (6 mg/1 mmol) | Yes (not reported) | R1 = Aryl R2 = Methyl (15) | Solvent-free | 100 | 12–40 min | 35–95 |
| [76] | Phosphotungstic acid supported on functionalized graphene oxide nanosheets (0.03 g/1 mmol) | Yes (5) | R1 = Aryl R2 = Methyl (10) | Ethanol | reflux | 10–20 min | 80–94 |
| [77] | Phosphomolybdic acid supported on functionalized graphene oxide nanosheets (3.33 mol%) | Yes (5) | R1 = Aryl R2 = Methyl (11) | Solvent-free | 100 | 2–10 min | 80–94 |
| [78] | Graphene oxide functionalized with 2-aminobenzothiazole and phosphoric acid (0.02 g/1 mmol) | Yes (5) | R1 = Aryl R2 = Methyl, NH2 (15) | Solvent-free | 70 | 15–35 min | 86–97 |
| [21] | Sulfonic acid functionalized silica-coated Fe3O4-nanoparticles (0.34 mol%) | Yes (6) | R1 = Aryl R2 = Alkyl (17) | Solvent-free | 120 | 15 min–8 h | 80–96 |
| [79] | Nano-Fe3O4@TiO2-Pr- 2AB@Cu (0.02 g/1 mmol) | Yes (7) | R1 = Aryl R2 = Methyl, Phenyl, NH2 (12) | Solvent-free | 80 | 15–25 min | 89–94 |
| [80] | Fe3O4@enamine-B(OSO3H)2 (0.015 g/1 mmol) | Yes (6) | R1 = Aryl R2 = Methyl, Phenyl, NH2 (18) | Solvent-free | 90 | 10–40 min | 84–96 |
| [81] | Dodecylbenzenesulfonic acid supported on Fe3O4-nanoparticles (0.15 g/1 mmol) | Yes (5) | R1 = Aryl R2 = Methyl, Phenyl, NH2 (15) | Solvent-free | 80 | 10–15 min | 88–92 |
| [82] | Nano-[Fe3O4@SiO2@RNHMe2][HSO4] (0.048 g/1 mmol) | Yes (3) | R1 = Aryl R2 = Methyl, Phenyl (14) | Solvent-free | 90 | 15–35 min | 89–97 |
| [83] | Pistachio-peel-derived magnetic nanoparticles (Fe3O4@C-SO3H) (0.04 g/1 mmol) | Yes (6) | R1 = Aryl R2 = Methyl, Phenyl, NH2 (12) | Solvent-free | 70 | 15–40 min | 90–100 |
| [84] | Nano-Fe3O4-hexamine (0.04 g/1 mmol) | Yes (7) | R1 = Aryl R2 = Methyl, Phenyl, NH2 (10) | Solvent-free | 60 | 5–20 min | 92–96 |
| [85] | Nano-SnO2 (0.02 g/1 mmol) | Yes (5) | R1 = Aryl R2 = Methyl (7) | Water | reflux | 15–60 min | 90–96 |
| [86] | Sulfonic acid on silica-coated cobalt ferrite nanoparticles (0.05 g/1 mmol) | Yes (10) | R1 = Aryl R2 = Methyl (7) | Solvent-free | 80 | 10–20 min | 84–96 |
| [87] | Bis(benzoyl acetone ethylene diimine) complex of nickel(II) supported on magnetite silica nanoparticles (1.5 mol%) | Yes (5) | R1 = Aryl, Hexyl R2 = Methyl, Phenyl, NH2 (11) | Solvent-free | 100 | 3.5–4 h | 86–95 |
| [88] | SBA-amino-amido-carboxylic acid (0.05 g/1 mmol) | Yes(5) | R1 = Aryl R2 = Methyl (12) | Ethanol | reflux | 10 min | 85–91 |
| [89] | KCC-1/ECH-Meg/CdCl2 (0.025 g/1 mmol) | Yes (5) | R1 = Aryl R2 = Methyl, Phenyl (12) | Solvent-free | 100 | 3–10 min | 85–98 |
| [90] | CuFe2O4/KCC-1/PMA (0.03 g/1 mmol) | Yes (5) | R1 = Aryl R2 = Methyl, Phenyl (12) | Solvent-free | 80 | 2–13 min | 82–95 |
| [91] | Phenyltetrazolethiol-based nickel complex (0.01 g/1 mmol) | Yes (7) | R1 = Aryl R2 = Methyl, Phenyl (10) | Solvent-free | 75 | 1–25 min | 74–93 |
| [92] | Pine-cone-derived carbon-based acid nanocatalyst (0.05 g/1 mmol) | Yes (4) | R1 = Aryl R2 = Methyl, Chloromethyl, Phenyl, NH2 (10) | Solvent-free | 80 | 20–30 min | 90–96 |
| Others | |||||||
| [93] | Sulfonated chitosan (0.02 g/1 mmol) | Yes (5) | R1 = Aryl R2 = Methyl (11) | Solvent-free | 80 | 8–25 min | 85–94 |
| [94] | Hydroxyapatite loaded with zinc chloride (0.05 g/1 mmol) | Yes (5) | R1 = Aryl R2 = Methyl, Phenyl, NH2 (22) | Solvent-free | 80 | 25–40 min | 86–96 |
| [95] | NaHSO4.SiO2(0.002 g/1 mmol) | Yes (not reported) | R1 = Pyrazolyl R2 = Methyl (10) | Acetic acid | 80 | 4–6 h | 70–92 |
| [96] | Zirconium silicate (0.05 g/1 mmol) | Yes (5) | R1 = Aryl R2 = Methyl, Phenyl (12) | Solvent-free | 110 | 30–40 min | 92–95 |
5. Conclusions
Author Contributions
Funding
Institutional Review Board Statement
Informed Consent Statement
Data Availability Statement
Acknowledgments
Conflicts of Interest
References
- Zaidan, R.K.; Evans, P. Strategies for the Asymmetric Construction of Pelletierine and its Use in the Synthesis of Sedridine, Myrtine, and Lasubine. Eur. J. Org. Chem. 2019, 2019, 5354–5367. [Google Scholar] [CrossRef]
- Larwood, D.J. Nikkomycin Z—Ready to Meet the Promise? J. Fungi 2020, 6, 261. [Google Scholar] [CrossRef] [PubMed]
- Hagenmaier, H.; Wolf, G.; Dähn, U.; Höhne, H.; König, W.A.; Zähner, H. Stoffwechselprodukte von Mikroorganismen. 154. Mitteilung. Nikkomycin, ein neuer hemmstoff der chitinsynthese bei pilzen. Arch. Microbiol. 1976, 107, 143–160. [Google Scholar] [CrossRef]
- Hamada, M.; Tadeuchi, T.; Kondo, S.; Ikeda, Y.; Naganawa, H.; Maeda, K.; Okami, Y.; Umezawa, H. A new antibiotic, negamycin. J. Antibiot. 1970, 23, 170–171. [Google Scholar] [CrossRef] [PubMed]
- Chandwani, A.; Shuter, J. Lopinavir/ritonavir in the treatment of HIV-1 infection: A review. Ther. Clin. Risk Manag. 2008, 4, 1023–1033. [Google Scholar] [CrossRef]
- Zeldin, R.K.; Petruschke, R.A. Pharmacological and therapeutic properties of ritonavir-boosted protease inhibitor therapy in HIV-infected patients. J. Antimicrob. Chemother. 2004, 53, 4–9. [Google Scholar] [CrossRef] [PubMed]
- Granger, B.; Albu, S. The Haloperidol Story. Ann. Clin. Psychiatry 2005, 17, 137–140. [Google Scholar] [CrossRef]
- Thase, M. Venlafaxine and Desvenlafaxine. In The American Psychiatric Association Publishing Textbook of Psychopharmacology; Schatzberg, A.F., Nemeroff, C.B., Eds.; American Psychiatric Association Publishing: Arlington, MA, USA, 2017. [Google Scholar] [CrossRef]
- Sonia, T.A.; Sharma, C.P. Diabetes mellitus—An overview. In Oral Delivery of Insulin; Elsevier: Amsterdam, The Netherlands, 2014; pp. 1–57. [Google Scholar]
- Leppert, W. Tramadol as an analgesic for mild to moderate cancer pain. Pharmacol. Rep. 2009, 61, 978–992. [Google Scholar] [CrossRef]
- Huang, M.-H.; Wu, S.-N.; Wang, J.-P.; Lin, C.-H.; Lu, S.-I.; Liao, L.-F.; Shen, A.-Y. Biological study of naphthalene derivatives with antiinflammatory activities. Drug Dev. Res. 2003, 60, 261–269. [Google Scholar] [CrossRef]
- El-Wahab, A.H.F.A. Synthesis, Reactions and Evaluation of the Antimicrobial Activity of Some 4-(p-Halophenyl)-4H-naphthopyran, Pyranopyrimidine and Pyranotriazolopyrimidine Derivatives. Pharmaceuticals 2012, 5, 0745. [Google Scholar] [CrossRef]
- Göksu, S.; Uguz, M.; Özdemir, H.; Secen, H. A Concise Synthesis and the Antibacterial Activity of 5,6-Dimethoxynaphthalene-2-carboxylic Acid. Turk. J. Chem. 2005, 29, 199–205. [Google Scholar]
- Dammak, L.; Kammoun, M.; Allouche, N.; Ammar, H.; Abid, S. Synthesis and antibacterial activity of 2-amino chromenes arising cyanoiminocoumarins and β-naphthol. Org. Commun. 2017, 10, 32–39. [Google Scholar] [CrossRef]
- Shen, A.-Y.; Wu, S.-N. Effects of 1-pyrrolidinylmethyl-2-naphthol on contractile force and ionic current in cardiac and vascular smooth myocytes. Drug Dev. Res. 1998, 44, 87–96. [Google Scholar] [CrossRef]
- Minutolo, F.; Sala, G.; Bagnacani, A.; Bertini, S.; Carboni, I.; Placanica, G.; Prota, G.; Rapposelli, S.; Sacchi, N.; Macchia, M.; et al. Synthesis of a Resveratrol Analogue with High Ceramide-Mediated Proapoptotic Activity on Human Breast Cancer Cells. J. Med. Chem. 2005, 48, 6783–6786. [Google Scholar] [CrossRef]
- Käsermann, F.; Kempf, C. Inactivation of enveloped viruses by singlet oxygen thermally generated from a polymeric naphthalene derivative. Antivir. Res. 1998, 38, 55–62. [Google Scholar] [CrossRef]
- Abou-Elmagd, W.S.I.; Hashem, A.I. Synthesis of 1-amidoalkyl-2-naphthols and oxazine derivatives with study of their antibacterial and antiviral activities. Med. Chem. Res. 2013, 22, 2005–2013. [Google Scholar] [CrossRef]
- Bananezhad, B.; Islami, M.R.; Khabazzadeh, H. Synthesis of novel amidoalkyl naphthol-based azo dyes and evaluation of their antimicrobial activities. J. Iran. Chem. Soc. 2019, 16, 865–877. [Google Scholar] [CrossRef]
- Manavi, M.A.; Nasab, M.H.F.; Dashti, F.; Moghimi, S.; Saniee, P.; Pouramiri, B.; Foroumadi, A.; Pirali-Hamedani, M. Green and one-pot synthesis of novel amidoalkyl naphthols using triethanolammonium acetate [(OHCH2CH2)3NH][OAc]) ionic liquid and their anti-H.pylori activity. Res. Chem. Intermed. 2022, 48, 4049–4062. [Google Scholar] [CrossRef]
- Rahimizadeh, R.; Mobinikhaledi, A.; Moghanian, H.; Kashaninejad, S.S. Design and synthesis of some new biologically active amidoalkyl naphthols in the presence of sulfonic acid functionalized silica-coated Fe3O4 nanoparticles. Res. Chem. Intermed. 2022, 48, 607–627. [Google Scholar] [CrossRef]
- Rode, N.R.; Tantray, A.A.; Shelar, A.V.; Patil, R.H.; Terdale, S.S. Synthesis, anti-leishmanial screening, molecular docking, and ADME study of 1-amidoalkyl 2-naphthol derivatives catalyzed by amino acid ionic liquid. Res. Chem. Intermed. 2022, 48, 2391–2412. [Google Scholar] [CrossRef]
- Boudebbous, K.; Boulebd, H.; Bensouici, C.; Harakat, D.; Boulcina, R.; Debache, A. Synthesis, Docking Study and Biological Activities Evaluation of 1-Amidoalkyl-2-naphthol Derivatives as Dual Inhibitors of Cholinesterase and α-Glucosidase. Chemistryselect 2020, 5, 5515–5520. [Google Scholar] [CrossRef]
- Boudebbous, K.; Boulebd, H.; Boulcina, R.; Bendjeddou, L.; Bensouici, C.; Merazig, H.; Debache, A. Synthesis, crystal structure, biological evaluation, docking study, and DFT calculations of 1-amidoalkyl-2-naphthol derivative. J. Mol. Struct. 2020, 1212, 128179. [Google Scholar] [CrossRef]
- Boudebbous, K.; Hamdouni, N.; Boulebd, H.; Zemamouche, W.; Boudjada, A.; Debache, A. Free radical scavenging activity and mechanisms of amidoalkyl-2-naphthol derivative: A joint experimental and theoretical study. Chem. Pap. 2021, 75, 6651–6660. [Google Scholar] [CrossRef]
- Brown, R.S.; Bennet, A.J.; Slebocka-Tilk, H. Recent perspectives concerning the mechanism of H3O+- and hydroxide-promoted amide hydrolysis. Accounts Chem. Res. 1992, 25, 481–488. [Google Scholar] [CrossRef]
- Theodorou, V.; Paraskevopoulos, G.; Skobridis, K. A mild alkaline hydrolysis of N- and N,N-substituted amides and nitriles. Arkivoc 2015, 2015, 101–112. [Google Scholar] [CrossRef]
- Das, S.; Addis, D.; Zhou, S.; Junge, K.; Beller, M. Zinc-Catalyzed Reduction of Amides: Unprecedented Selectivity and Functional Group Tolerance. J. Am. Chem. Soc. 2010, 132, 1770–1771. [Google Scholar] [CrossRef]
- Huang, P.-Q.; Geng, H. Simple, versatile, and chemoselective reduction of secondary amides and lactams to amines with the Tf2O–NaBH4 or Cp2ZrHCl–NaBH4 system. Org. Chem. Front. 2015, 2, 150–158. [Google Scholar] [CrossRef]
- Gyémánt, N.; Engi, H.; Schelz, Z.; Szatmári, I.; Tóth, D.; Fülöp, F.; Molnár, J.; Witte, P.A.M.D. In vitro and in vivo multidrug resistance reversal activity by a Betti-base derivative of tylosin. Br. J. Cancer 2010, 103, 178–185. [Google Scholar] [CrossRef] [PubMed]
- Shen, A.; Tsai, C.; Chen, C. Synthesis and cardiovascular evaluation of N-substituted 1-aminomethyl-2-naphthols. Eur. J. Med. Chem. 1999, 34, 877–882. [Google Scholar] [CrossRef]
- Cardellicchio, C.; Ciccarella, G.; Naso, F.; Perna, F.; Tortorella, P. Use of readily available chiral compounds related to the betti base in the enantioselective addition of diethylzinc to aryl aldehydes. Tetrahedron 1999, 55, 14685–14692. [Google Scholar] [CrossRef]
- Li, X.; Yeung, C.-H.; Chan, A.S.; Yang, T.-K. New 1,3-amino alcohols derived from ketopinic acid and their application in catalytic enantioselective reduction of prochiral ketones. Tetrahedron Asymmetry 1999, 10, 759–763. [Google Scholar] [CrossRef]
- Feng, J.; Bohle, D.S.; Li, C.-J. Synthesis of a new chiral amino phosphine ligand and its application in the asymmetric allylic alkylation (AAA) reaction. Tetrahedron Asymmetry 2007, 18, 1043–1047. [Google Scholar] [CrossRef]
- Damodiran, M.; Selvam, N.P.; Perumal, P.T. Synthesis of highly functionalized oxazines by Vilsmeier cyclization of amidoalkyl naphthols. Tetrahedron Lett. 2009, 50, 5474–5478. [Google Scholar] [CrossRef]
- Singh, R.; Bala, R.; Duvedi, R.; Kumar, S. Recent advances in one-pot multicomponent catalytic synthesis of amidoalkyl naphthols. Iran. J. Catal. 2015, 5, 187–206. [Google Scholar]
- Singh, R.K.; Dhiman, A.; Chaudhary, S.; Prasad, D.N.; Kumar, S. Current Progress in the Multicomponent Catalytic Synthesis of Amidoalkyl-Naphthols: An Update. Curr. Org. Chem. 2020, 24, 487–515. [Google Scholar] [CrossRef]
- Dai, J.-L.; Shao, N.-Q.; Zhang, J.; Jia, R.-P.; Wang, D.-H. Cu(II)-Catalyzed ortho-Selective Aminomethylation of Phenols. J. Am. Chem. Soc. 2017, 139, 12390–12393. [Google Scholar] [CrossRef]
- Yu, C.; Patureau, F.W. Cu-Catalyzed Cross-Dehydrogenative ortho-Aminomethylation of Phenols. Angew. Chem. Int. Ed. 2018, 57, 11807–11811. [Google Scholar] [CrossRef]
- Cao, L.; Zhao, H.; Tan, Z.; Guan, R.; Jiang, H.; Zhang, M. Ruthenium-Catalyzed Hydrogen Evolution o-Aminoalkylation of Phenols with Cyclic Amines. Org. Lett. 2020, 22, 4781–4785. [Google Scholar] [CrossRef]
- Tang, Z.; Li, D.; Yue, Y.; Peng, D.; Liu, L. Brønsted acid catalysed chemo- and ortho-selective aminomethylation of phenol. Org. Biomol. Chem. 2021, 19, 5777–5781. [Google Scholar] [CrossRef]
- Dömling, A.; Ugi, I. Multicomponent Reactions with Isocyanides. Angew. Chem. Int. Ed. 2000, 39, 3168–3210. [Google Scholar] [CrossRef]
- Bosica, G.; Baldacchino, K.; Abdilla, R.; De Nittis, R. Green organic synthesis via multicomponent reactions. Xjenza Online 2021, 9, 173–179. [Google Scholar] [CrossRef]
- Ganta, R.K.; Kerru, N.; Maddila, S.; Jonnalagadda, S.B. Advances in Pyranopyrazole Scaffolds’ Syntheses Using Sustainable Catalysts—A Review. Molecules 2021, 26, 3270. [Google Scholar] [CrossRef] [PubMed]
- Cioc, R.C.; Ruijter, E.; Orru, R.V.A. Multicomponent reactions: Advanced tools for sustainable organic synthesis. Green Chem. 2014, 16, 2958–2975. [Google Scholar] [CrossRef]
- Li, C.-J.; Trost, B.M. Green chemistry for chemical synthesis. Proc. Natl. Acad. Sci. USA 2008, 105, 13197–13202. [Google Scholar] [CrossRef]
- Li, N.; Zhang, X.; Xu, X.; Chen, Y.; Qiu, R.; Chen, J.; Wang, X.; Yin, S.-F. Synthesis and Structures of Air-Stable Binuclear Hafnocene Perfluorobutanesulfonate and Perfluorobenzenesulfonate and their Catalytic Application in C-C Bond-Forming Reactions. Adv. Synth. Catal. 2013, 355, 2430–2440. [Google Scholar] [CrossRef]
- Zare, A.; Kaveh, H.; Merajoddin, M.; Moosavi-Zare, A.R.; Hasaninejad, A.; Zolfigol, M.A. Saccharin Sulfonic Acid (SASA) as a Highly Efficient Catalyst for the Condensation of 2-Naphthol with Arylaldehydes and Amides (Thioamides or Alkyl Carbamates) Under Green, Mild, and Solvent-Free Conditions. Phosphorus Sulfur Silicon Relat. Elem. 2013, 188, 573–584. [Google Scholar] [CrossRef]
- Song, Z.; Sun, X.; Liu, L.; Cui, Y. Efficient one-pot synthesis of 1-carbamatoalkyl-2-naphthols using aluminum methanesulfonate as a reusable catalyst. Res. Chem. Intermed. 2013, 39, 2123–2131. [Google Scholar] [CrossRef]
- Patel, N.; Katheriya, D.; Dadhania, H.; Dadhania, A. Graphene oxide supported dicationic ionic liquid: An efficient catalyst for the synthesis of 1-carbamatoalkyl-2-naphthols. Res. Chem. Intermed. 2019, 45, 5595–5607. [Google Scholar] [CrossRef]
- Dadhania, H.N.; Raval, D.K.; Dadhania, A.N. Magnetically retrievable magnetite (Fe3O4) immobilized ionic liquid: An efficient catalyst for the preparation of 1-carbamatoalkyl-2-naphthols. Catal. Sci. Technol. 2015, 5, 4806–4812. [Google Scholar] [CrossRef]
- Kundu, D.; Majee, A.; Hajra, A. Zwitterionic-type molten salt: An efficient mild organocatalyst for synthesis of 2-amidoalkyl and 2-carbamatoalkyl naphthols. Catal. Commun. 2010, 11, 1157–1159. [Google Scholar] [CrossRef]
- Dehghan, M.; Davoodnia, A.; Bozorgmehr, M.R.; Bamoharram, F.F. Evaluation of catalytic activity of two newly prepared functionalized sulfonic acids ionic liquids in the synthesis of carbamatoalkyl naphthols under mild conditions. Russ. J. Gen. Chem. 2017, 87, 311–315. [Google Scholar] [CrossRef]
- Ravanshad, S.; Asvar, H.; Fouladi, F.; Pourkazemi, A.; Shamsizadeh, M.; Khalili, M.; Merajoddin, M.; Zare, A. N, N, N′, N′-tetramethylethylene-diaminium-N, N′-disulfonic acid chloride as a highly effective catalyst for the synthesis of 4H-pyrano [2, 3-c]pyrazoles, α-carbamatoalkyl-β-naphthols and α-amidoalkyl-β-naphthols. Asian J. Green Chem. 2020, 4, 173–182. [Google Scholar]
- Varga, V.; Ábrányi-Balogh, P.; Milen, M. Synthesis of Naphthoxazinones in a One-Pot Two-Step Manner by the Application of Propylphosphonic Anhydride (T3P®). Chemistry 2020, 2, 37. [Google Scholar] [CrossRef]
- Hazeri, N.; Maghsoodlou, M.T.; Habibi-Khorassani, S.M.; Aboonajmi, J.; Safarzaei, M. A Green Protocol for One-Pot Three-Component Synthesis of Amidoalkyl Naphthols Catalyzed by Succinic Acid. Chem. Sci. Trans. 2013, 2, S330–S336. [Google Scholar] [CrossRef]
- Singh, R.K.; Duvedi, R. Environment-friendly green chemistry approaches for an efficient synthesis of 1-amidoalkyl-2-naphthols catalyzed by tannic acid. Arab. J. Chem. 2018, 11, 91–98. [Google Scholar] [CrossRef]
- Toteva, M.M.; Richard, J.P. The generation and reactions of quinone methides. Adv. Phys. Org. Chem. 2011, 45, 39–91. [Google Scholar] [CrossRef]
- Miao, J. Brønsted Acid Catalyzed Carbon-Carbon Bond Forming Reactions. Ph.D. Thesis, University of Denver, Denver, CO, USA, 2018. [Google Scholar]
- Darbandi, H.; Kiyani, H. Adipic Acid as a Biodegradable Solid Acid Catalyst for One-Pot, Three Component Synthesis of 1-Amidoalkyl-2-naphthols. Curr. Organocatalysis 2020, 7, 34–43. [Google Scholar] [CrossRef]
- Sadeghi, S.H.; Moradi, L. Solvent free synthesis of amidoalkyl derivatives under green and convenient conditions. J. Heterocycl. Chem. 2022, 59, 695–703. [Google Scholar] [CrossRef]
- Govindhan, C.; Nagarajan, P.S. 2,6-Pyridinedicarboxylic Acid (PDCA) Catalyzed Improved Synthetic Approach for 1-Amidoalkyl Naphthols, Dihydropyrimidin-2(1H)-ones and Bis-indoles. Chemistryselect 2021, 6, 8716–8726. [Google Scholar] [CrossRef]
- Rezaeipour, M.; Tikdari, A.M.; Khabazzadeh, H.; Saheb, V. Synthesis of amidoalkyl naphthols in PEG-400 as a green and efficient solvent and theoretical study of their spectroscopic properties. Lett. Org. Chem. 2022, 19, 150–157. [Google Scholar] [CrossRef]
- Ratti, R. Ionic Liquids: Synthesis and Applications in Catalysis. Adv. Chem. 2014, 2014, 729842. [Google Scholar] [CrossRef]
- Ünlü, A.E.; Arıkaya, A.; Takac, S. Use of deep eutectic solvents as catalyst: A mini-review. Green Process. Synth. 2019, 8, 355–372. [Google Scholar] [CrossRef]
- Hadadianpour, E.; Pouramiri, B. Facile, efficient and one-pot access to diverse new functionalized aminoalkyl and amidoalkyl naphthol scaffolds via green multicomponent reaction using triethylammonium hydrogen sulfate ([Et3NH][HSO4]) as an acidic ionic liquid under solvent-free conditions. Mol. Divers. 2020, 24, 241–252. [Google Scholar] [CrossRef] [PubMed]
- Torabi, M.; Yarie, M.; Zolfigol, M.A.; Azizian, S. Magnetic phosphonium ionic liquid: Application as a novel dual role acidic catalyst for synthesis of 2′-aminobenzothiazolomethylnaphthols and amidoalkyl naphthols. Res. Chem. Intermed. 2020, 46, 891–907. [Google Scholar] [CrossRef]
- Keshtibanian, M.; Goodajdar, B.M. Magnetic Ionic Liquid Functionalized Sulfonic Acid: A Green and Efficient Catalyst for the One-pot Synthesis of 1-Amidoalkyl-2-Naphthols. JACR 2020, 14, 58–69. Available online: https://jacr.karaj.iau.ir/article_673087.html (accessed on 24 May 2023).
- Savari, A.; Heidarizadeh, F. New Tetradentate Acidic Catalyst for Solvent-Free Synthesis of 1- Amidoalkyl-2-Naphthols and 4,4′-(Arylmethylene)-Bis(3-Methyl-1-Phenyl-1H-Pyrazol-5-ol)s. Polycycl. Aromat. Compd. 2021, 41, 1343–1355. [Google Scholar] [CrossRef]
- Nguyen, V.T.; Nguyen, H.T.; Tran, P.H. One-pot three-component synthesis of 1-amidoalkyl naphthols and polyhydroquinolines using a deep eutectic solvent: A green method and mechanistic insight. New J. Chem. 2021, 45, 2053–2059. [Google Scholar] [CrossRef]
- Nakhate, A.; Ingale, A.; Shinde, S. Cetrimonium Bromide Promoted Efficient Multi-component Protocol for Synthesis of 1-Amidoalkyl-2-naphthols in Aqueous Medium. Asian J. Chem. 2021, 33, 1620–1630. [Google Scholar] [CrossRef]
- Chadha, U.; Selvaraj, S.K.; Ashokan, H.; Hariharan, S.P.; Paul, V.M.; Venkatarangan, V.; Paramasivam, V. Complex Nanomaterials in Catalysis for Chemically Significant Applications: From Synthesis and Hydrocarbon Processing to Renewable Energy Applications. Adv. Mater. Sci. Eng. 2022, 2022, 1552334. [Google Scholar] [CrossRef]
- Moosavi-Zare, A.R.; Goudarziafshar, H.; Nooraei, F. Preparation and characterization of nano-Co-[4-chlorophenyl-salicylaldimine-methyl pyranopyrazole]Cl2as a new Schiff base complex and catalyst for the solvent-free synthesis of 1-amidoalkyl-2-naphthols. Appl. Organomet. Chem. 2020, 34, e5252. [Google Scholar] [CrossRef]
- Ghorbani, F.; Kiyani, H.; Pourmousavi, S.A.; Ajloo, D. Solvent-free synthesis of 1-amidoalkyl-2-naphthols using magnetic nanoparticle-supported 2-(((4-(1-iminoethyl)phenyl)imino)methyl)phenol Cu (II) or Zn (II) Schiff base complexes. Res. Chem. Intermed. 2020, 46, 3145–3164. [Google Scholar] [CrossRef]
- Hakimi, F.; Oreyzi, F.S.; Fatemeh, F.B.; Golrasan, E. A new application of nickel nanoparticles as a heterogeneous catalyst for synthesis of 1-amidoalkyl-2-naphthols according to green chemistry principles. Asian J. Green Chem. 2020, 4, 134–141. [Google Scholar]
- Hoseini, Z.; Davoodnia, A.; Khojastehnezhad, A.; Pordel, M. Phosphotungstic acid supported on functionalized graphene oxide nanosheets (GO-SiC3-NH3-H2PW): Preparation, characterization, and first catalytic application in the synthesis of amidoalkyl naphthols. Eurasian Chem. Commun. 2020, 2, 398–409. [Google Scholar] [CrossRef]
- Rohaniyan, M.; Davoodnia, A.; Khojastehnezhad, A.; Beyramabadi, S.A. Catalytic evaluation of newly prepared GO-SB-H2PMo as an efficient and reusable nanocatalyst for the neat synthesis of amidoalkyl naphthols. Eurasian Chem. Commun. 2020, 2, 329–339. [Google Scholar] [CrossRef]
- Rostami, E.; Nejad, M.S.G.; Saberi, A.; Haghayeghi, S.M. An efficient and sustainable procedure for the synthesis of amidoalkyl naphthols under solvent-free conditions using a novel graphene oxide based catalyst functionalized with 2-aminobenzothiazole and phosphoric acid. Iran. J. Chem. Chem. Eng. 2022; in press. [Google Scholar]
- Mohammadizadeh, Z.N.; Hamidinasab, M.; Ahadi, N.; Bodaghifard, M.A. A Novel Hybrid Organic-Inorganic Nanomaterial: Preparation, Characterization and Application in Synthesis of Diverse Heterocycles. Polycycl. Aromat. Compd. 2020, 42, 1282–1301. [Google Scholar] [CrossRef]
- Li, F.; Zhang, J.; Wang, L.; Liu, W.; Yousif, Q.A. Solvent-free synthesis of 1-amidoalkyl-2-naphthol and 3-amino-1-phenyl-1H benzo[f]chromene-2-carbonitrile derivatives by Fe3O4@enamine-B(OSO3H)2 as an efficient and novel heterogeneous magnetic nanostructure catalyst. Polish J. Chem. Technol. 2020, 22, 9–19. [Google Scholar] [CrossRef]
- Katheriya, D.; Patel, N.; Dadhania, H.; Dadhania, A. Magnetite (Fe3O4) nanoparticles-supported dodecylbenzenesulfonic acid as a highly efficient and green heterogeneous catalyst for the synthesis of substituted quinolines and 1-amidoalkyl-2-naphthol derivatives. J. Iran. Chem. Soc. 2021, 18, 805–816. [Google Scholar] [CrossRef]
- Barzegar, M.; Zare, A. Nano-[Fe3O4@SiO2@RNHMe2][HSO4]: An effectual catalyst for the production of 1-amidoalkyl-2-naphthols. Prog. Chem. Biochem. Res. 2020, 5, 68–76. [Google Scholar] [CrossRef]
- Ghorbani, F.; Pourmousavi, S.A. Pistachio peel biomass derived magnetic nanoparticles Fe3O4@C-SO3H: A highly efficient catalyst for the synthesis of isoxazole-5(4H)-one, 1-amido alkyl-2-naphthol, pyrano[2,3-c]pyrazole and 2,3-dihydro quinazoline-4(1H)-one derivatives. Iran. J. Catal. 2022, 12, 139–157. [Google Scholar] [CrossRef]
- Bahrami, S.; Jamehbozorgi, S.; Moradi, S.; Ebrahimi, S. Synthesis of 1-amidoalkyl-2-naphthol derivatives using a magnetic nano-Fe3O4@SiO2@Hexamethylenetetramine-supported ionic liquid as a catalyst under solvent-free conditions. J. Chin. Chem. Soc. 2020, 67, 603–609. [Google Scholar] [CrossRef]
- Baghernejad, B.; Ashoori, E. One-pot Synthesis of Amidoalkyl Naphthol Derivatives as Potential Nucleoside Antibiotics and HIV Protease Inhibitors using Nano-SnO2 as an Efficient Catalyst. JACR 2021, 14, 22–30. Available online: https://jacr.karaj.iau.ir/article_677960.html (accessed on 24 May 2023).
- Afshari, M.; Gorjizadeh, M. Synthesis of 1-amidoalkyl-2-naphthol derivatives using Supported sulfonic acid on silica coated cobalt ferrite nanoparticles as a catalyst under solvent free conditions. J. Chem. React. Synth. 2022, 12, 38–44. [Google Scholar]
- Mazraati, A.; Setoodehkhah, M.; Moradian, M. Synthesis of Bis (Benzoyl Acetone Ethylene Diimine) Schiff Base Complex of Nickel (II) Supported on Magnetite Silica Nanoparticles (Fe3O4@SiO2/Schiff-Base of Ni(II)) and Using It as an Efficient Catalyst for Green Synthesis of 1-Amidoalkyl-2-Naphthols. J. Inorg. Organomet. Polym. Mater. 2022, 32, 143–160. [Google Scholar] [CrossRef]
- Davarpanah, J.; Rezaee, P.; Ghahremani, M.; Hajiabdolah, N. Synthesis of the acid–base bifunctional hybrid catalyst via covalently anchored organomoieties on to the SBA-15: A recyclable catalyst for the one-pot preparation of 1-amidoalkyl-2-naphthols. Res. Chem. Intermed. 2022, 48, 4033–4047. [Google Scholar] [CrossRef]
- Sadeghi, S.H.; Neamani, S.; Moradi, L. Immobilization of CdCl2 on filamentous silica nanoparticles as an efficient catalyst for the solvent free synthesis of some amidoalkyl derivatives. Polycycl. Aromat. Compd. 2022, 43, 1957–1973. [Google Scholar] [CrossRef]
- Sadeghi, S.H.; Yaghoobi, M.; Ghasemzadeh, M.A. CuFe2O4/KCC-1/PMA as an efficient and recyclable nanocatalyst for the synthesis of amidoalkyl derivatives under solvent-free condition. J. Organomet. Chem. 2022, 982, 122530. [Google Scholar] [CrossRef]
- Mansouri, M.; Habibi, D.; Heydari, S. The phenyltetrazolethiol-based nickel complex: A versatile catalyst for the synthesis of diverse amidoalkyl naphthols and chromenes. Res. Chem. Intermed. 2022, 48, 683–702. [Google Scholar] [CrossRef]
- Ghorbani, F.; Pourmousavi, S.A.; Kiyani, H. Synthesis and Characterization of Pine-cone Derived Carbon-based Solid Acid: A Green and Recoverable Catalyst for the Synthesis of Pyrano_ pyrazole, Amino-benzochromene, Amidoalkyl Naphthol and Thiazolidinedione Derivatives. Lett. Org. Chem. 2021, 18, 66–81. [Google Scholar] [CrossRef]
- Patil, P.G.; Sehlangia, S.; More, D.H. Chitosan-SO3H (CTSA) an efficient and biodegradable polymeric catalyst for the synthesis of 4,4′-(arylmethylene)bis(1H-pyrazol-5-ol) and α-amidoalkyl-β-naphthol’s. Synth. Commun. 2020, 50, 1696–1711. [Google Scholar] [CrossRef]
- Azzallou, R.; Ouerghi, O.; Geesi, M.H.; Riadi, Y.; Taleb, M.A.; Mamouni, R.; Lazar, S.; Kaiba, A.; Kamal, M.; Villain, S. Bovine bone-derived natural hydroxyapatite-supported ZnCl2 as a sustainable high efficiency heterogeneous biocatalyst for synthesizing amidoalkyl naphthols. J. Phys. Chem. Solids 2022, 163, 110533. [Google Scholar] [CrossRef]
- Perci, S.H.; Jayanthi, S.; Monisha, P.; Gunasundari, K.; Pramesh, M. Synthetic Strategy to Amido Alkyl Naphthols from Pyrazole Aldehydes using Silica Supported NaHSO4.SiO2 as an efficient Heterogeneous Catalyst. Orient. J. Chem. 2022, 38, 1024–1030. [Google Scholar] [CrossRef]
- Dipake, S.S.; Gadekar, S.P.; Thombre, P.B.; Lande, M.K.; Rajbhoj, A.S.; Gaikwad, S.T. ZS-1 Zeolite as a Highly Efficient and Reusable Catalyst for Facile Synthesis of 1-amidoalkyl-2-naphthols Under Solvent-Free Conditions. Catal. Lett. 2022, 152, 755–770. [Google Scholar] [CrossRef]











Disclaimer/Publisher’s Note: The statements, opinions and data contained in all publications are solely those of the individual author(s) and contributor(s) and not of MDPI and/or the editor(s). MDPI and/or the editor(s) disclaim responsibility for any injury to people or property resulting from any ideas, methods, instructions or products referred to in the content. |
© 2023 by the authors. Licensee MDPI, Basel, Switzerland. This article is an open access article distributed under the terms and conditions of the Creative Commons Attribution (CC BY) license (https://creativecommons.org/licenses/by/4.0/).
Share and Cite
Petkov, H.; Simeonov, S.P. Amidoalkyl Naphthols as Important Bioactive Substances and Building Blocks: A Review on the Current Catalytic Mannich-Type Synthetic Approaches. Appl. Sci. 2023, 13, 6616. https://doi.org/10.3390/app13116616
Petkov H, Simeonov SP. Amidoalkyl Naphthols as Important Bioactive Substances and Building Blocks: A Review on the Current Catalytic Mannich-Type Synthetic Approaches. Applied Sciences. 2023; 13(11):6616. https://doi.org/10.3390/app13116616
Chicago/Turabian StylePetkov, Hristo, and Svilen P. Simeonov. 2023. "Amidoalkyl Naphthols as Important Bioactive Substances and Building Blocks: A Review on the Current Catalytic Mannich-Type Synthetic Approaches" Applied Sciences 13, no. 11: 6616. https://doi.org/10.3390/app13116616
APA StylePetkov, H., & Simeonov, S. P. (2023). Amidoalkyl Naphthols as Important Bioactive Substances and Building Blocks: A Review on the Current Catalytic Mannich-Type Synthetic Approaches. Applied Sciences, 13(11), 6616. https://doi.org/10.3390/app13116616

