A Study on the Fracture of Cementitious Materials in Terms of the Rate of Acoustic Emissions in the Natural Time Domain
Abstract
1. Introduction
2. The Rate of Generation of Acoustic Hits (F-Function) in the Natural Time Domain
3. The Specimens and the Experimental Protocols
4. Experimental Results and Discussion
4.1. Intact Cement Mortar Specimens under Three-Point Bending
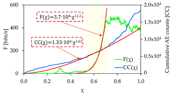
4.2. Notched Cement Mortar Beams under Three-Point Bending
4.2.1. Unreinforced Specimen (R0)
4.2.2. Specimen Reinforced with Short Metallic Fibers (RM)
5. Discussion and Concluding Remarks
5.1. Comparative Consideration of the Tests with Intact Beams (Tests RL1 and RL2)
5.2. Comparative Consideration of the Tests with Notched Beams (Tests R0 and RM)
5.3. Comparative Consideration of the F(χ) and F(Χ) Approaches for the Determination of the Time Series in Natural Time
5.4. Concluding Remarks
Author Contributions
Funding
Institutional Review Board Statement
Informed Consent Statement
Data Availability Statement
Conflicts of Interest
References
- Grosse, C.U.; Ohtsu, M. Acoustic Emission Testing; Springer: Berlin/Heidelberg, Germany, 2008. [Google Scholar]
- Grosse, C.U. Introduction. In Acoustic Emission Testing; Grosse, C.U., Ohtsu, M., Aggelis, D.G., Shiotani, T., Eds.; Springer Tracts in Civil Engineering; Springer: Cham, Switzerland, 2022. [Google Scholar]
- Sagar, R.V.; Prasad, B.K.R. A review of recent developments in parametric based acoustic emission techniques applied to concrete structures. Nondestruct. Test. Eval. 2012, 27, 47–68. [Google Scholar] [CrossRef]
- Aggelis, D.G.; Soulioti, D.V.; Sapouridis, N.; Barkoula, N.M.; Paipetis, A.S.; Matikas, T.E. Acoustic emission characterization of the fracture process in fibre reinforced concrete. Constr. Build. Mater. 2011, 25, 4126–4131. [Google Scholar] [CrossRef]
- Vidya Sagar, R.; Prasad, R.V.; Raghu Prasad, B.K.; Rao, M.V.M.S. Microcracking and fracture process in cement mortar and concrete: A comparative study using acoustic emission technique. Exp. Mech. 2013, 53, 1161–1175. [Google Scholar] [CrossRef]
- Kourkoulis, S.K.; Pasiou, E.D.; Dakanali, I.; Stavrakas, I.; Triantis, D. Notched marble plates under tension: Detecting pre-failure indicators and predicting entrance to the “critical stage. Fatigue Fract. Eng. Mater. Struct. 2018, 41, 776–786. [Google Scholar] [CrossRef]
- Triantis, D.; Kourkoulis, S.K. An alternative approach for representing the data provided by the acoustic emission technique. Rock Mech. Rock Eng. 2018, 51, 2433–2438. [Google Scholar] [CrossRef]
- Triantis, D.; Pasiou, E.D.; Stavrakas, I.; Kourkoulis, S.K. Hidden affinities between electric and acoustic activities in brittle materials at near-fracture load levels. Rock Mech. Rock Eng. 2022, 55, 1325–1342. [Google Scholar] [CrossRef]
- Zhang, J.-Z.; Zhou, X.-P.; Zhou, L.-S.; Berto, F. Progressive failure of brittle rocks with non-isometric flaws: Insights from acousto-optic-mechanical (AOM) data. Fatigue Fract. Eng. Mater. Struct. 2019, 42, 1787–1802. [Google Scholar] [CrossRef]
- Wang, X.; Wang, E.; Liu, X. Damage characterization of concrete under multi-step loading by integrated ultrasonic and acoustic emission techniques. Constr. Build. Mater. 2019, 221, 678–690. [Google Scholar] [CrossRef]
- Ge, Z.; Sun, Q. Acoustic emission characteristics of gabbro after microwave heating. Int. J. Rock. Mech. Min. 2021, 138, 104616. [Google Scholar] [CrossRef]
- Huang, J.; Liao, Z.; Hu, Q.; Song, Z.; Wang, X. Fracture mechanism of tight sandstone under high and complex 3-D stress compression: Insights from acoustic emission. J. Petrol. Sci. Eng. 2022, 208, 109635. [Google Scholar] [CrossRef]
- Loukidis, A.; Triantis, D.; Stavrakas, I.; Pasiou, E.D.; Kourkoulis, S.K. Detecting criticality by exploring the acoustic activity in terms of the “Natural-Time” concept. Appl. Sci. 2022, 12, 231. [Google Scholar] [CrossRef]
- Varotsos, P.A.; Sarlis, N.V.; Skordas, E.S. Spatio-temporal complexity aspects on the interrelation between seismic electric signals and seismicity. Proc. Athens Acad. 2001, 76, 294–321. [Google Scholar]
- Varotsos, P.A.; Sarlis, N.V.; Skordas, E.S. Long-range correlations in the electric signals that precede rupture. Phys. Rev. E 2002, 66, 011902. [Google Scholar] [CrossRef]
- Varotsos, P.A.; Sarlis, N.V.; Skordas, E.S. Attempt to distinguish electric signals of a dichotomous nature. Phys. Rev. E 2003, 68, 031106. [Google Scholar] [CrossRef]
- Varotsos, P.A.; Sarlis, N.V.; Skordas, E.S. Natural time analysis: The new view of time. In Precursory Seismic Electric Signals, Earthquakes and Other Complex Time-Series; Springer: Berlin/Heidelberg, Germany, 2011. [Google Scholar]
- Vallianatos, F.; Michas, G.; Benson, P.; Sammonds, P. Natural time analysis of critical phenomena: The case of acoustic emissions in triaxially deformed Etna basalt. Phys. A 2013, 392, 5172–5178. [Google Scholar] [CrossRef]
- Hloupis, G.; Stavrakas, I.; Vallianatos, F.; Triantis, D. A preliminary study for prefailure indicators in acoustic emissions using wavelets and natural time analysis. Proc. Inst. Mech. Eng. Part L J. Mater. Des. Appl. 2016, 230, 780–788. [Google Scholar] [CrossRef]
- Kourkoulis, S.K.; Pasiou, E.D.; Loukidis, A.; Stavrakas, I.; Triantis, D. Comparative assessment of criticality indices extracted from acoustic and electrical signals detected in marble specimens. Infrastructures 2022, 7, 15. [Google Scholar] [CrossRef]
- Loukidis, A.; Perez-Oregon, J.; Pasiou, E.D.; Kourkoulis, S.K.; Sarlis, N.V.; Triantis, D. Natural time analysis of acoustic emissions before fracture: Results compatible with the Bak-Tang-Wiesenfeld model. Europhys. Lett. 2022, 139, 12004. [Google Scholar] [CrossRef]
- Niccolini, G.; Potirakis, S.M.; Lacidogna, G.; Borla, O. Criticality hidden in acoustic emissions and in changing electrical resistance during fracture of rocks and cement-based materials. Materials 2020, 13, 5608. [Google Scholar] [CrossRef]
- Loukidis, A.; Pasiou, E.D.; Sarlis, N.V.; Triantis, D. Fracture analysis of typical construction materials in natural time. Phys. A Stat. Mech. Appl. 2020, 547, 123831. [Google Scholar] [CrossRef]
- Loukidis, A.; Pasiou, E.D.; Sarlis, N.V.; Triantis, D. Similarity of fluctuations of acoustic emissions in natural time. Procedia Struct. Integr. 2020, 25, 195–200. [Google Scholar] [CrossRef]
- Loukidis, A.; Perez-Oregon, J.; Pasiou, E.D.; Sarlis, N.V.; Triantis, D. Similarity of fluctuations in critical systems: Acoustic emissions observed before fracture. Phys. A Stat. Mech. Appl. 2021, 566, 125622. [Google Scholar] [CrossRef]
- Friedrich, L.F.; Cezar, É.S.; Colpo, A.B.; Tanzi, B.N.R.; Sobczyk, M.; Lacidogna, G.; Niccolini, G.; Kosteski, L.E.; Iturrioz, I. Long-range correlations and natural time series analyses from acoustic emission signals. Appl. Sci. 2022, 12, 1980. [Google Scholar] [CrossRef]
- Gadhiya, S.; Patel, T.N.; Shah, D. Bendable concrete: A review. Int. J. Struct. Civ. Eng. Res. 2015, 4, 141–147. [Google Scholar]
- Sivakumar, A.; Santhanam, M. Mechanical properties of high strength concrete reinforced with metallic and non-metallic fibres. Cement Concrete Comp. 2007, 29, 603–608. [Google Scholar] [CrossRef]
- Ahmad, S.; Umar, A. Fibre-reinforced self-compacting concrete: A review. In IOP Conference Series: Materials Science and Engineering; IOP Publishing: Bristol, UK, 2018; Volume 377. [Google Scholar]
- RamyaSree, P.; Chandra, A.; Bhasker, M.; Swami, B.L.P. Study of compressive and flexural strength of fibrous triple blended high strength concrete with fly ash and condensed silica fume. Int. J. Res. Eng. Technol. 2015, 4, 149–155. [Google Scholar]
- Qureshi, A.U. Advances in Civil Engineering Materials; Concepts Books Publication: Sagar, India, 2022. [Google Scholar]
- Sathish Kumar, V.; Ganesan, N.; Indira, P.V.; Murali, G.; Vatin, N.I. flexural behaviour of hybrid fibre-reinforced ternary blend geopolymer concrete beams. Sustainability 2022, 14, 5954. [Google Scholar] [CrossRef]
- Loukidis, A.; Stavrakas, I.; Triantis, D. Electrical methods for sensing damage in cement mortar beams combined with acoustic emissions. Materials 2022, 15, 4682. [Google Scholar] [CrossRef]
- Chai, M.; Hou, X.; Zhang, Z.; Duan, Q. Identification and prediction of fatigue crack growth under different stress ratios using acoustic emission data. Int. J. Fatigue 2022, 160, 106860. [Google Scholar] [CrossRef]
- Ozevin, D.; Kessler, S. The dependence of acoustic emission behavior on prior fatigue loading history. Front. Built Environ. 2022, 8, 981327. [Google Scholar] [CrossRef]















| N Values of Acoustic Hits | ||||||||||
|---|---|---|---|---|---|---|---|---|---|---|
| Time (t) | t1 | t2 | …. | tn | …. | ti−n+1 | …. | ti | …. | tN |
| n successive values of acoustic hits | ||||||||||
| Load | …. | …. | …. | |||||||
| IT (δτ) | δτ1 = t1 | δτ2 | …. | δτn | …. | δτi−n+1 | …. | δτi = t1 − ti−1 | …. | δτN |
| f | f1 | f2 | …. | fn | …. | fi−n+1 | …. | …. | fN | |
| NT | …. | …. | …. | …. | ||||||
| Calculating the (N – n + 1) values of the F-function and of the Load (L) vs the Natural Time (Χ) | ||||||||||
| F function | …. | Fi−n+1 | …. | …. | ||||||
| Time (τ) | …. | τi−n+1 | …. | …. | ||||||
| ΝΤ (Χ) | …. | Xi−n+1 | …. | …. | ||||||
| Load (L) | …. | Li−n+1 | …. | …. | ||||||
| Sample | ||||
|---|---|---|---|---|
| A | m | A | m | |
| LR1 | 269 | 8.0 | 247 | 8.0 |
| LR2 | 193 | 6.6 | 177 | 6.5 |
| R0 | 5 × 104 | 12.5 | 3.7 × 104 | 12.2 |
| RM (peak 1) (peak 2) | 7.8 × 106 687 | 7.5 6.9 | 6.1 × 106 641 | 7.2 6.8 |
Disclaimer/Publisher’s Note: The statements, opinions and data contained in all publications are solely those of the individual author(s) and contributor(s) and not of MDPI and/or the editor(s). MDPI and/or the editor(s) disclaim responsibility for any injury to people or property resulting from any ideas, methods, instructions or products referred to in the content. |
© 2023 by the authors. Licensee MDPI, Basel, Switzerland. This article is an open access article distributed under the terms and conditions of the Creative Commons Attribution (CC BY) license (https://creativecommons.org/licenses/by/4.0/).
Share and Cite
Triantis, D.; Stavrakas, I.; Loukidis, A.; Pasiou, E.D.; Kourkoulis, S.K. A Study on the Fracture of Cementitious Materials in Terms of the Rate of Acoustic Emissions in the Natural Time Domain. Appl. Sci. 2023, 13, 6261. https://doi.org/10.3390/app13106261
Triantis D, Stavrakas I, Loukidis A, Pasiou ED, Kourkoulis SK. A Study on the Fracture of Cementitious Materials in Terms of the Rate of Acoustic Emissions in the Natural Time Domain. Applied Sciences. 2023; 13(10):6261. https://doi.org/10.3390/app13106261
Chicago/Turabian StyleTriantis, Dimos, Ilias Stavrakas, Andronikos Loukidis, Ermioni D. Pasiou, and Stavros K. Kourkoulis. 2023. "A Study on the Fracture of Cementitious Materials in Terms of the Rate of Acoustic Emissions in the Natural Time Domain" Applied Sciences 13, no. 10: 6261. https://doi.org/10.3390/app13106261
APA StyleTriantis, D., Stavrakas, I., Loukidis, A., Pasiou, E. D., & Kourkoulis, S. K. (2023). A Study on the Fracture of Cementitious Materials in Terms of the Rate of Acoustic Emissions in the Natural Time Domain. Applied Sciences, 13(10), 6261. https://doi.org/10.3390/app13106261

