The Effect of Freezing Raw Material on the Quality Changes and Safety of Salted Anchovies (Engraulis encrasicolus, Linnaeus, 1758) at Cold Storage Conditions
Abstract
1. Introduction
2. Materials and Methods
2.1. Chemicals and Reagents
2.2. Sampling Plan and Sample Preparations
2.3. Salting and Storage Procedures
2.4. Sensory Analysis
2.5. Analysis of Moisture and Salt Contents, aw and pH
2.6. Analysis of Chemical Spoilage Parameters
2.7. Analysis of Biogenic Amines
2.8. Microbiological Analysis
2.9. Statistical Analysis
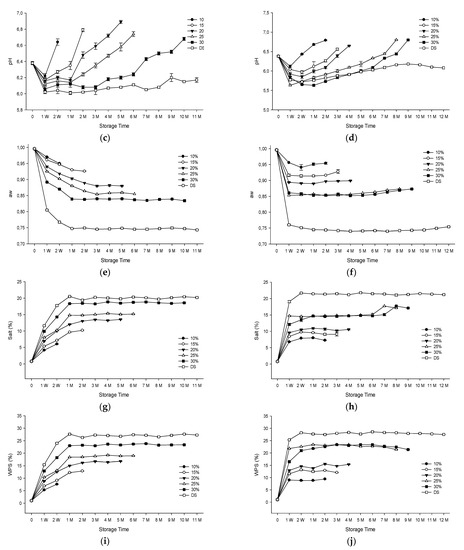
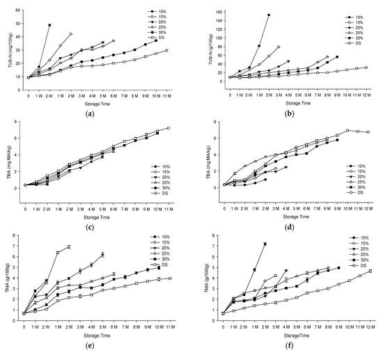
3. Results and Discussion
4. Conclusions
Supplementary Materials
Author Contributions
Funding
Institutional Review Board Statement
Informed Consent Statement
Data Availability Statement
Acknowledgments
Conflicts of Interest
References
- Sahin, C.; Akin, S.; Hacimurtazaoglu, N.; Mutlu, C.; Verep, B. The stock parameter of anchovy (Engraulis encrasicolus) population on the coasts of the Eastern Black Sea: Reason and implications in declining of anchovy population during the 2004–2005 and 2005–2006 fishing seasons. Fresenius Environ. Bull. 2008, 17, 2159–2169. [Google Scholar]
- FAO. Fisheries Statistics, Rome, Italy. 2022. Available online: https://www.fao.org/fishery/en/aqspecies/2106/en (accessed on 6 April 2023).
- TUIK. Turkish Statistical Institute, State Fisheries Statistics. In Turkey: TUIK.; 2020. Available online: http://www.tuik.gov.tr (accessed on 6 April 2023).
- FISHBASE. 2021. Available online: http://www.fishbase.org/search.php (accessed on 6 April 2023).
- Tufan, B.; Koral, S.; Köse, S. Changes during fishing season in the fat content and fatty acid profile of edible muscle, liver and gonads of anchovy (Engraulis encrasicolus) caught in the Turkish Black Sea. Int. J. Food Sci. Technol. 2011, 10, 439–443. [Google Scholar] [CrossRef]
- FAO/WHO. Food and Agriculture Organization of the United Nations. FAO/INFOODS Global Food Composition Database for Fish and Shellfish Version 1.0-uFiSh1.0. Rome, Italy. 2016. Available online: https://www.fao.org/3/i6655e/i6655e.pdf (accessed on 7 April 2023).
- Martinez, A.; Gildberg, A. Autolytic degradation of belly tissue in anchovy (Engraulis encrasicholus). Food Sci. Technol. 1988, 23, 185–194. [Google Scholar] [CrossRef]
- Köse, S.; Gökoğlu, N.; Mol Tokay, S.; Baygar, T.; Pembe Özer, N.; Arık Çolakoğlu, F.; Meriç, İ.; Alçiçek, Z. Türkiye’deki su ürünleri işleme sektörünün durumu, sorunları ve çözüm önerileri. In Proceedings of the Ziraat Mühendisleri Odası, VII., Teknik Kongresi, Ankara, Turkey, 1–4 September 2010; pp. 821–852. [Google Scholar]
- Montaner, M.I.; Zugarramurdi, A. Influence of anchovy quality on yield and productivity in salting plants. J. Food Qual. 1995, 18, 69–82. [Google Scholar] [CrossRef]
- Rello, F.J.; Adroher, F.J.; Benítez, R.; Valero, A. The fishing area as a possible indicator of the infection by anisakids in anchovies (Engraulis encrasicolus) from southwestern Europe. Int. J. Food Microbiol. 2009, 129, 277–281. [Google Scholar] [CrossRef]
- Anastasio, A.; Smaldone, G.; Cacace, D.; Marrone, R.; Voi, A.L.; Santoro, M.; Cringoli, G.; Pozio, E. Inactivation of Anisakis pegreffii larvae in anchovies (Engraulis encrasicolus) by salting and quality assessment of finished product. Food Control 2016, 64, 115–119. [Google Scholar] [CrossRef]
- Guardone, L.; Nucera, D.M.; Lodora, L.B.; Tinacci, L.; Acutis, P.L.; Guidi, A.; Armani, A. Anisakis spp. larvae in different kinds of ready to eat products made of anchovies (Engraulis encrasicolus) sold in Italian supermarkets. Int. J. Food Microbiol. 2018, 268, 10–18. [Google Scholar] [CrossRef]
- Sánchez-Alonso, I.; Carballeda-Sangiao, N.; González-Muñoz, M.; Navas, A.; Arcos, S.C.; Mendizábal, A.; Cuesta, F.; Careche, M. Freezing kinetic parameters influence allergenic and infective potential of Anisakis simplex L3 present in fish muscle. Food Control 2020, 118, 107373. [Google Scholar] [CrossRef]
- EC Directive. L 338/12 EN Official Journal of the European Union. Commission Regulation (EC) No 2073/2005 of 15 November 2005 on Microbiological Criteria for Foodstuffs. Available online: https://eur-lex.europa.eu/legal-content/EN/ALL/?uri=CELEX%3A32005R2073 (accessed on 8 March 2023).
- EFSA. Panel on Biological Hazards (BIOHAZ); Scientific Opinion on risk assessment of parasites in fishery products. EFSA J. 2010, 8, 1543. [Google Scholar] [CrossRef]
- FDA. Fish & Fisheries Products Hazards & Controls Guide, 2nd ed.; FDA, Office of Seafood: Washington, DC, USA, 2020; p. 276. [Google Scholar]
- Sigurgisladottir, S.; Ingvarsdottir, H.; Torrissen, O.J.; Cardinal, M.; Hafsteinsson, H. Effects of freezing/thawing on the microstructure and the texture of smoked Atlantic salmon (Salmo salar). Food Res. Int. 2000, 33, 857–865. [Google Scholar] [CrossRef]
- Szymczak, M. Comparison of physicochemical and sensory changes in fresh and frozen herring (Clupea harrengus L.) during marinating. J. Sci. Food Agri. 2010, 91, 68–74. [Google Scholar] [CrossRef] [PubMed]
- Szymczak, M.; Kołakowski, E.; Felisiak, K. Influence of salt concentration on properties of marinated meat from fresh and frozen herring (Clupea harengus L.). Int. J. Food Sci. Technol. 2012, 47, 282–289. [Google Scholar] [CrossRef]
- Oliver, A.P.; Esteban, M.M.; Pascual, C.C.; Canales, E.T. Informe del Comite Científico de la Agencia Espanola de Seguridad Alimentaria y Nutricion (AESAN) sobre medidas para reducir el riesgo asociado a la presencia de Anisakis. Rev. Del Com. Científico De La AESAN 2007, 6, 59–66. [Google Scholar]
- Deng, J.C. Effect of freezing and frozen storage on salt penetration into fish muscle immersed in brine. J. Food Sci. 1977, 42, 348–351. [Google Scholar] [CrossRef]
- Mendes, R.; Goncalves, A.; Nunes, M.L. Changes in free amino acids and biogenic amines during ripening of fresh and frozen sardine. J. Food Biochem. 1999, 23, 295–306. [Google Scholar] [CrossRef]
- Koral, S.; Köse, S. The effect of using frozen raw material and different salt ratios on the quality changes of dry salted Atlantic bonito (lakerda) at two storage conditions. Food Health 2018, 4, 213–230. [Google Scholar] [CrossRef]
- Karaçam, H.; Kutlu, S.; Köse, S. Effect of salt concentrations and temperature on the quality and shelf-life of brined anchovies. Int. J. Food Sci. Technol. 2002, 37, 19–28. [Google Scholar] [CrossRef]
- Hernandez-Herrero, M.M.; Roig-Sagues, A.X.; Lopez-Sabater, E.I.; Rodriguez-Jerez, J.J.; Mora-Ventura, M.T. Influence of raw fish quality on some physicochemical and microbial characteristics as related to ripening of salted anchovies (Engraulis encrasicholus L.). J. Food Sci. 2002, 67, 2631–2640. [Google Scholar] [CrossRef]
- Archer, M. Sensory Assessment Score Sheets for Fish and Shell Fish; Research & Development Department of Seafish; Torry & QIM: England, UK, 2010; 58p. [Google Scholar]
- AOAC. Moisture in Meat and Poultry Products. In Official Methods of Analysis of AOAC International; Cunniff, P., Ed.; Official Method 985; AOAC International: Arlington, VA, USA, 1995; p. 14. [Google Scholar]
- Rohani, A.C.; Arup, M.J.; Zahrah, T. Brining parameters for the processing of smoked river carp (Leptobarbus hoevenii). J. Sci. Food Agri. 2010, 38, 51–61. [Google Scholar]
- Losikoff, M. Clostridium botulinum concerns. In International Smoked Seafood Conference Proceedings, Proceedings of the International Smoked Seafood Conference, Alaska, AK, USA, 5–7 March 2008; Kramer, D.E., Brown, L., Eds.; Alaska Sea Grant College Program, University of Alaska Fairbanks: Alaska, AK, USA, 2008. [Google Scholar]
- Minegishi, Y.; Tsukamasa, Y.; Miake, K.; Shimasaki, T.; Imai, C.; Sugiyama, M.S.; Hinano, H. Water activity and microflora in commercial vacuum-packed smoked salmons. Food Hyg. Saf. Sci. 1995, 36, 442–446. [Google Scholar] [CrossRef]
- Goulas, A.E.; Kontominas, M.G. Effect of salting and smoking method on the keeping quality of chub mackerel (Scomber japonicus): Biochemical and sensory attributes. Food Chem. 2005, 93, 511–520. [Google Scholar] [CrossRef]
- Smith, G.; Hole, M.; Hanson, S.W. Assessment of lipid oxidation in Indonesian salted-dried marine catfish (Arius thalassinus). J. Sci. Food Agric. 1992, 51, 193–205. [Google Scholar] [CrossRef]
- Boland, F.E.; Paige, D.D. Collaborative study of a method for the determination of trimethylamine nitrogen in fish. JAOAC 1971, 54, 725–727. [Google Scholar] [CrossRef]
- Köse, S.; Kaklıkkaya, N.; Koral, S.; Tufan, B.; Buruk, K.C.; Aydın, F. Commercial test kits and the determination of histamine in traditional (ethnic) fish products evaluation against an EU accepted HPLC method. Food Chem. 2011, 125, 1490–1497. [Google Scholar] [CrossRef]
- Köse, S. Investigation into Toxins and Pathogens Implicated in Fish Meal Production. Ph.D. Thesis, Loughborough University of Technology, Loughborough, UK, 1993. [Google Scholar]
- Niven, C.F., Jr.; Jeffrey, M.B.; Corlett, D.A., Jr. Different plating medium for quantitative detection of histamine-producing bacteria. Appl. Environ. Microbiol. 1981, 41, 321–322. [Google Scholar] [CrossRef]
- Gürgün, V.; Halkman, A.K. Mikrobiyolojide Sayım Yöntemleri; Gıda Teknolojisi Derneği: Ankara, Turkey, 1990; 146p. [Google Scholar]
- Sokal, R.R.; Rohlf, F.J. Introduction to Biostatistics; W.H. Freeman and Company: New York, NY, USA, 1987. [Google Scholar]
- Yapar, A. Üç farklı tuz konsantrasyonu kullanılarak hazırlanan tuzlanmis hamsi (Engraulis encrasicolus)’lerde kalite değisimi. Turk. J. Vet. Anim. Sci. 1999, 23, 441–445. [Google Scholar]
- Besteiro, I.; Rodrígues, C.J.; Tilvejar, C.; Pascual, C. Selection of attributes for the sensory evaluation of anchovies during the ripening process. J. Sens. Stud. 2000, 15, 65–77. [Google Scholar] [CrossRef]
- Czerner, M.; Yeannes, M.I. Bacterial contribution to salted anchovy (Engraulis anchoita Hubbs & Marinni, 1935) ripening process. J. Aquat. Food Prod. Technol. 2014, 23, 102–114. [Google Scholar]
- Koral, S.; Tufan, B.; Ščavničar, A.; Kočar, D.; Pompe, M.; Köse, S. Investigation of the contents of biogenic amines and some food safety parameters of various commercially salted fish products. Food Control 2013, 32, 597–606. [Google Scholar] [CrossRef]
- Köse, S. Evaluation of seafood safety health hazards for traditional fish products: Preventive measures and monitoring issues. Turk. J. Fish. Aquat. Scien. 2010, 10, 139–160. [Google Scholar]
- Huss, H.H. Fresh Fish Quality and Quality Changes; FAO Danish International Development Agency: Rome, Italy, 1988; pp. 43–45. [Google Scholar]
- Besteiro, I.; Rodrígues, C.J.; Tilvejar, C.; Pascual, C. Chymotrypsin and general proteolytic activities in muscle of Engraulis encrasicolus and Engraulis anchoita during the ripening process. Eur. Food Res. Technol. 2000, 210, 414–418. [Google Scholar] [CrossRef]
- Del Valle, C.E.; Filsinger, B.E.; Yeannes, M.I.; Soule, C.L. Shelf life of brine refrigerated anchovies (Engraulis anchoita) for canning. J. Food Sci. 1984, 49, 180–182. [Google Scholar] [CrossRef]
- EC Directive. Commission Regulation (EU) No 1019/2013 of 23 October 2013 Amending Annex I to Regulation (EC) No 2073/2005 as Regards Histamine. Off. J. Eur. Union 2013, 282, 46–47. Available online: https://eur-lex.europa.eu/legal-content/EN/TXT/%20PDF/?uri=CELEX:32013R1019&from=EN (accessed on 8 April 2023).
- Massa, A.E.; Manca, E.; Yeannes, M.I. Development of quality index method for anchovy (Engraulis anchoita) stored in ice: Assessment of its shelf-life by chemical and sensory methods. Food Sci. Technol. Int. 2012, 18, 339–351. [Google Scholar] [CrossRef] [PubMed]
- Connell, J.J. Control of Fish Quality, 4th ed.; Fishing News Books; A Division of Blackwell Science Ltd.: Oxford, UK, 1995; 245p. [Google Scholar]
- Shiriskar, D.S.; Khedkar, G.D.; Lior, D. Production of salted and pressed anchovies (Stolephorus sp.) and its quality evaluation during storage. J. Food Sci. Technol. 2013, 50, 1172–1178. [Google Scholar] [CrossRef] [PubMed]
- Rodriguez-Jerez, J.J.; Lopez-Sabater, E.I.; Roig-Sagues, A.X.; Mora-Ventura, M.T. Evolution of histidine decarboxylase bacterial groups during the ripening of Spanish semi-preserved anchovies. J. Vet. Med. Ser. B. 1993, 40, 533–543. [Google Scholar] [CrossRef]
- ICMSF (International Commission for the Microbiological Specifications for Foods). Microorganisms in Foods 6, Microbial Ecology of Food Commodities, 2nd ed.; Kluwer Academic/Plenum Publishers: New York, NY, USA, 2005; pp. 174–249. [Google Scholar]
- Mohamed, S.B.; Mendes, R.; Slama, R.B.; Oliveira, P.; Silva, H.A.; Bakhrouf, A. Changes in bacterial counts and biogenic amines during the ripening of salted anchovy (Engraulis encrasicholus). J. Food Nutr. Res. 2016, 4, 318–326. [Google Scholar] [CrossRef]
- Aponte, M.; Blaiotta, G.; Francesca, N.; Moschetti, G. Could halophilic archaea improve the traditional salted anchovies (Engraulis encrasicholus) safety and quality? Lett. Appl. Microbiol. 2010, 51, 697–703. [Google Scholar] [CrossRef]
- Alfonzo, A.; Randazzo, W.; Barbera, M.; Sannino, C.; Corona, O.; Settanni, L.; Moschetti, G.; Santulli, A.; Francesca, N. Effect of salt concentration and extremely halophilic archaea on the safety and quality characteristics of traditional salted anchovies. J. Aquat. Food Prod. Technol. 2017, 26, 620–637. [Google Scholar] [CrossRef]
- Yeannes, M.I.; Ameztoy, I.M.; Ramirez, E.E.; Felix, M.M. Culture alternative medium for the growth of extreme halophilic bacteria in fish products. Ciênc. Tecnol. Aliment., Campinas. 2011, 31, 561–566. [Google Scholar] [CrossRef]
- Rodtong, S.; Nawong, S.; Yongsawatdigul, J. Histamine accumulation and histamine-forming bacteria in Indian anchovy (Stolephorus indicus). Food Microbiol. 2005, 22, 475–482. [Google Scholar] [CrossRef]
- El Filali, F.; Hanoune, S.; Moukrim, A.; Kaaya, A.; Bou’mhandi, N. Histamine and microbiological changes during storage of semi-preserved anchovies. Afr. J. Microbiol. Res. 2016, 10, 1455–1459. [Google Scholar]
- Pons-Sánchez-Cascado, S.; Veciana-Nogues, M.T.; Bover-Cid, S.; Marine-Font, A.; Vidal-Carou, M.C. Volatile and biogenic amines, microbiological counts, and bacterial amino acid decarboxylase activity throughout the salt-ripening process of anchovies (Engraulis encrasicholus). J. Food Prot. 2005, 68, 1683–1689. [Google Scholar] [CrossRef] [PubMed]
- Rodriguez-Jerez, J.J.; Lopez-Sabater, E.I.; Hernandez-Herrero, M.M.; Mora-Ventura, M.T. Histamine, putrescine and cadaverine formation in Spanish salted semipreserved anchovies as affected by time/temperature. J. Food Sci. 1994, 59, 993–997. [Google Scholar] [CrossRef]
- Tapingkae, W.; Tanasupawat, S.; Parkin, K.L.; Benjakul, S.; Visessanguan, W. Degradation of histamine by extremely halophilic archaea isolated from high salt-fermented fishery products. Enzyme Microb. Technol. 2010, 46, 92–99. [Google Scholar] [CrossRef]
- Veciana-Nogués, M.T.; Mariné-Font, A.; Vidal-Carou, M.C. Changes in biogenic amines during the storage of Mediterranean anchovies immersed in oil. J. Agric.Food Chem. 1997, 45, 1385–1389. [Google Scholar] [CrossRef]
- Veciana-Nogués, M.T.; Albala-Hurtado, S.; Mariné-Font, A.; Vidal-Carou, M.C. Changes in biogenic amines during the manufacture and storage of semipreserved anchovies. J. Food Prot. 1996, 9, 1218–1222. [Google Scholar] [CrossRef]
- Veciana-Nogués, M.T.; Vidal-Carou, M.C.; Mariné-Font, A. Histamine and tyramine during storage and spoilage of anchovie, Engraulis encrasicholus: Relationships with other fish spoilage indicators. J. Food Sci. 2006, 55, 1192–1193. [Google Scholar] [CrossRef]
- European Commission. RASFF Portal. Available online: https://webgate.ec.europa.eu/rasff-window/portal/?event=searchResultList&StartRow=1 (accessed on 7 May 2023).
- Kočar, D.; Köse, S.; Koral, S.; Tufan, B.; Ščavničar, A.; Pompe, M. Analysis of biogenic amines using immunoassays, HPLC, and a newly developed IC-MS/MS technique in fish products-A comparative study. Molecules 2021, 26, 6156. [Google Scholar] [CrossRef]
- Dehaut, A.; Himber, C.; Mulak, V.; Grard, T.; Krzewinski, F.; Le Fur, B.; Duflos, G. Evolution of volatile compounds and biogenic amines throughout the shelf-life of marinated and salted anchovies (Engraulis encrasicolus). J. Agric. Food Chem. 2014, 62, 8014–8022. [Google Scholar] [CrossRef]




| Sample Type | Salt%—aw | Salt%—Moisture% | Moisture%—aw | |||
|---|---|---|---|---|---|---|
| C | FM | C | FM | C | FM | |
| 10% | R2 = 0.99 | R² = 0.96 | R2 = 0.73 | R² = 0.86 | R2 = 0.70 | R² = 0.78 |
| 15% | R2 = 0.99 | R² = 0.96 | R2 = 0.99 | R² = 0.76 | R2 = 0.97 | R² = 0.86 |
| 20% | R2 = 0.99 | R² = 0.98 | R2 = 0.93 | R² = 0.96 | R2 = 0.92 | R² = 0.80 |
| 25% | R2 = 0.98 | R² = 0.85 | R2 = 0.93 | R² = 0.71 | R2 = 0.93 | R² = 0.82 |
| 30% | R2 = 0.98 | R² = 0.85 | R2 = 0.98 | R² = 0.69 | R2 = 0.99 | R² = 0.80 |
| DS | R2 = 0.99 | R² = 0.99 | R2 = 0.90 | R² = 0.97 | R2 = 0.92 | R² = 0.98 |
| Sample Type | TVB-N—Sensory | TBA—Sensory | TMA—Sensory | |||
|---|---|---|---|---|---|---|
| C | FM | C | FM | C | FM | |
| 10% | R2 = 0.90 | R² = 0.84 | R2 = 0.99 | R² = 0.68 | R2 = 0.95 | R² = 0.91 |
| 15% | R2 = 0.97 | R² = 0.97 | R2 = 0.87 | R² = 0.96 | R2 = 0.95 | R² = 0.91 |
| 20% | R2 = 0.97 | R² = 0.99 | R2 = 0.96 | R² = 0.94 | R2 = 0.99 | R² = 0.92 |
| 25% | R2 = 0.92 | R² = 0.90 | R2 = 0.92 | R² = 0.63 | R2 = 0.83 | R² = 0.69 |
| 30% | R2 = 0.98 | R² = 0.95 | R2 = 0.97 | R² = 0.90 | R2 = 0.93 | R² = 0.90 |
| DS | R2 = 0.97 | R² = 0.97 | R2 = 0.93 | R² = 0.93 | R2 = 0.90 | R² = 0.98 |
| Storage Time | Salt Concentration | Sample Type | Microbial Counts (log CFU/g) | ||
|---|---|---|---|---|---|
| TVAMB | HB | HFB | |||
| 1 Week | 10% | C | 3.04 ± 0.24 a,A,1 | 2.14 ± 0.15 a,A | 2.86 ± 0.12 a,A,1 |
| FM | 6.64 ± 0.46 a,A,2 | <1.47 | 2,92 ± 0.10 a,A,1 | ||
| 15% | C | 2.68 ± 0.08 a,B,1 | 2.05 ± 0.08 a,A | 2.46 ± 0.14 a,B,1 | |
| FM | 5.88 ± 0.50 a,B,2 | <1.47 | 2,78 ± 0.06 a,A,2 | ||
| 20% | C | 2.36 ± 0.10 a,C,1 | 1.98 ± 0.14 a,A | 2.26 ± 0.09 a,C,1 | |
| FM | 5.49 ± 0.42 a,B,2 | <1.47 | 2,58 ± 0.10 a,B,2 | ||
| 25% | C | 2.20 ± 0.09 a,C,1 | <1.47 | 1.89 ± 0.10 a,D,1 | |
| FM | 4.00 ± 0.36 a,C,2 | <1,47 | 1,96 ± 0.08 a,C,1 | ||
| 30% | C | 2.06 ± 0.14 a,C,1 | <1.47 | 1.66 ± 0.06 a,E,1 | |
| FM | 2.48 ± 0.28 a,D,1 | <1.47 | 1,82 ± 0.14 a,C,2 | ||
| DS | C | 1.64 ± 0.08 D,1 | <1.47 | <1.47 | |
| FM | 2.40 ± 0.22 a,D,2 | <1.47 | <1.47 | ||
| 1 Month | 10% | C | 4.49 ± 0.18 b,A,1 | 3.06 ± 0.12 b,A,1 | 4.44 ± 0.12 b,A,1 |
| FM | 5.82 ± 0.36 b,A,2 | 5.08 ± 0.28 b,A,2 | 6.04 ± 0.20 b,A,2 | ||
| 15% | C | 2.96 ± 0.20 b,B,1 | 2.77 ± 0.14 b,B,1 | 2.42 ± 0.09 a,B,1 | |
| FM | 4.45 ± 0.28 b,B,2 | 4.40 ± 0.18 a,B,2 | 4.79 ± 0.16 b,B,2 | ||
| 20% | C | 2.07 ± 0.10 b,C,1 | 2.30 ± 0.18 b,C | 2.88 ± 0.14 b,C,1 | |
| FM | 4.26 ± 0.26 b,B,2 | NO | 4.45 ± 0.22 b,C,2 | ||
| 25% | C | 1.80 ± 0.07 b,D,1 | 1.77 ± 0.09 a,D | 1.56 ± 0.14 b,D,1 | |
| FM | 4.32 ± 0.28 a,B,2 | NO | 4.95 ± 0.18 b,B,2 | ||
| 30% | C | 1.72 ± 0.06 b,1 | 1.51 ± 0.08 E | <1.47 | |
| FM | 3.62 ± 0.22 a,C,2 | NO | NO | ||
| DS | C | <1.47 | <1.47 | <1.47 | |
| FM | 3.41 ± 0.30 b,C | NO | NO | ||
| 2 Months | 15% | C | 3.12 ± 0.18 b,A,1 | 3.41 ± 0.09 c,A,1 | 2.86 ± 0.10 b,A,1 |
| FM | 6.36 ± 0.60 c,A,2 | 6.43 ± 0.36 b,A,2 | 6.45 ± 0.34 c,A,2 | ||
| 20% | C | 3.04 ± 0.18 c,A,1 | 2.48 ± 0.09 b,B,1 | 2.64 ± 0.12 b,A,1 | |
| FM | 4.45 ± 0.26 b,B,2 | 4.32 ± 0.30 a,B,2 | 4.23 ± 0.26 b,B,2 | ||
| 25% | C | <1.47 | 2.06 ± 0.14 b,C,1 | <1.47 | |
| FM | 4.20 ± 0.10 a,B | 4.11 ± 0.18 a,B,2 | 4.28 ± 0.20 c,B | ||
| 30% | C | <1.47 | <1.47 | <1.47 | |
| FM | 2.65 ± 0.42 b,B | NO | NO | ||
| DS | C | NO | NO | NO | |
| FM | NO | NO | NO | ||
| 3 Months | 20% | C | 3.36 ± 0.16 d,1 | 2.55 ± 0.14 b,A,1 | 2.86 ± 0.09 b,1 |
| FM | 5.68 ± 0.42 a,A,2 | 4.84 ± 0.28 b,A,2 | 7.60 ± 0.30 c,A,2 | ||
| 25% | C | <1.47 | 2.20 ± 0.12 b,B,1 | <1.47 | |
| FM | 4.32 ± 0.22 a,B | 4.38 ± 0.20 a,B,2 | 4.23 ± 0.16 c,B | ||
| 30% | C | <1.47 | <1.47 | <1.47 | |
| FM | NO | NO | NO | ||
| DS | C | NO | NO | NO | |
| FM | NO | NO | NO | ||
| 4 Months | 20% | C | 3.12 ± 0.18 c,1 | 2.86 ± 0.15 c,A,1 | 2.92 ± 0.08 b,1 |
| FM | 5.60 ± 0.40 a,A,2 | 4.92 ± 0.26 b,A,2 | 4.60 ± 0.14 a,A,2 | ||
| 25% | C | <1.47 | 2.48 ± 0.10 c,B,1 | <1.47 | |
| FM | 4.00 ± 0.20 a,B | 3.85 ± 0.18 b,B,2 | 4.18 ± 0.16 c,B | ||
| 30% | C | <1.47 | <1.47 | <1.47 | |
| FM | NO | NO | NO | ||
| DS | C | NO | NO | NO | |
| FM | NO | NO | NO | ||
| 5 Months | 25% | C | <1.47 | 2.64 ± 0.09 d,1 | <1.47 |
| FM | 4.51 ± 0.26 b | 4.48 ± 0.28 a,2 | 4.28 ± 0.20 c | ||
| 30% | C | <1.47 | <1.47 | <1.47 | |
| FM | NO | NO | NO | ||
| DS | C | NO | NO | NO | |
| FM | NO | NO | NO | ||
| 6 Months | 30% | C | <1.47 | <1.47 | <1.47 |
| FM | NO | NO | NO | ||
| DS | C | NO | NO | NO | |
| FM | NO | NO | NO | ||
| 7 Months | 30% | C | <1.47 | <1.47 | <1.47 |
| FM | NO | NO | NO | ||
| DS | C | NO | NO | NO | |
| FM | NO | NO | NO | ||
| 8 Months | 30% | C | <1.47 | <1.47 | <1.47 |
| FM | NO | NO | NO | ||
| DS | C | NO | NO | NO | |
| FM | NO | NO | NO | ||
| 10 Months | 30% | C | <1.47 | <1.47 | <1.47 |
| FM | NO | NO | NO | ||
| DS | C | NO | NO | NO | |
| FM | NO | NO | NO | ||
| 11 Months | DS | C | NO | NO | NO |
| DS | FM | NO | NO | NO | |
| 12 Months | DS | FM | NO | NO | NO |
| Str. Time | Salt Cons. | Sam. Type | Biogenic Amines (ppm) | |||||||
|---|---|---|---|---|---|---|---|---|---|---|
| Tryptamine | Phenylethylamine | Putrescine | Cadaverine | Histamine | Tyramine | Spermidine | Spermine | |||
| 2nd Week | 10% | C | 4.78 ± 0.06 a,A,1 | 6.34 ± 0.15 a,A,1 | 28.26 ± 0.80 a,A,1 | 186.28 ± 3.02 a,A,1 | <0.86 | 46.72 ± 1.86 a,A,1 | 8.12 ± 0.32 a,A,1 | <0.71 |
| FM | 5.05 ± 0.10 a,A,2 | 1.54 ± 0.15 a,A,2 | 36.03 ± 1.76 a,A,2 | 287.22 ± 10.72 a,A,2 | <0.86 | 78.15 ± 4.25 a,A,2 | 9.10 ± 0.43 a,A,2 | <0.71 | ||
| 15% | C | 4.34 ± 0.08 a,B,1 | 5.30 ± 0.08 a,B,1 | 0.92 ± 0.15 a,B,1 | 6.40 ± 0.10 a,B,1 | <0.86 | 4.72 ± 0.09 a,B,1 | 16.12 ± 0.68 a,B,1 | 1.40 ± 0.10 a,A,1 | |
| FM | 4.87 ± 0.10 a,B,2 | 5.90 ± 1.08 a,B,1 | 0.76 ± 0.25 a,B,1 | 7.54 ± 0.60 a,B,2 | <0.86 | 4.12 ± 0.08 a,B,2 | 17.42 ± 1.68 a,B,1 | 1.59 ± 0.16 a,A,1 | ||
| 20% | C | 4.78 ± 0.12 a,A,1 | 5.68 ± 0.26 a,B,1 | <0.56 | 5.48 ± 0.17 a,C,1 | <0.86 | 2.68 ± 0.14 a,C,1 | 15.42 ± 0.13 a,B,1 | 1.62 ± 0.16 a,B,1 | |
| FM | 4.91 ± 0.01 a,B,1 | 5.81 ± 0.57 a,B,1 | 0.16 ± 0.07 a,C | 5.22 ± 0.37 a,C,1 | <0.86 | 2.88 ± 0.04 a,C,1 | 16.52 ± 0.23 a,B,2 | 1.53 ± 0.09 a,A,1 | ||
| 25% | C | 4.54 ± 0.18 a,B,1 | 9.68 ± 0.26 a,C,1 | <0.56 | 7.36 ± 0.78 a,D,1 | <0.86 | 3.50 ± 0.18 a,D,1 | 24.68 ± 0.28 a,C,1 | 1.78 ± 0.12 a,B,1 | |
| FM | 4.54 ± 0.08 a,B,2 | 9.51 ± 1.07 a,C,1 | 0.09 ± 0.04 a,C | 7.80 ± 1.84 a,B,1 | <0.86 | 3.52 ± 0.28 a,D,1 | 25.02 ± 0.58 a,C,1 | 1.71 ± 0.08 a,A,1 | ||
| 30% | C | 4.48 ± 0.72 a,B,1 | 11.46 ± 0.84 a,D,1 | <0.56 | 5.66 ± 0.56 a,C,1 | <0.86 | 3.78 ± 0.60 a,D,1 | 26.02 ± 1.25 a,C,1 | 1.78 ± 0.28 a,B,1 | |
| FM | 4.69 ± 0.18 a,B,1 | 10.57 ± 1.24 a,C,1 | 0.13 ± 0.01 a,C | 5.82 ± 0.17 a,C,1 | <0.86 | 3.46 ± 0.33 a,D,1 | 28.31 ± 0.75 a,D,1 | 1.89 ± 0.19 a,A,1 | ||
| DS | C | 4.76 ± 0.46 a,A,1 | 12.32 ± 0.58 a,D,1 | 0.98 ± 0.04 a,B,1 | 2.98 ± 0.15 a,D,1 | <0.86 | 3.80 ± 0.20 a,D,1 | 14.30 ± 0.14 a,D,1 | 1.84 ± 0.08 a,B,1 | |
| FM | 4.68 ± 0.20 a,B,1 | 9.82 ± 0,20 a,C,1 | 0.15 ± 0.02 a,C,2 | 2.80 ± 0.10 a,D,1 | <0.86 | 3.20 ± 0.20 a,D,2 | 7.20 ± 0.43 a,E,2 | 1.44 ± 0.14 a,A,2 | ||
| 1st Month | 10% | C | 5.90 ± 0.08 b,A,1 | 2.54 ± 0.35 b,A,1 | 47.03 ± 1.90 b,A,1 | 302.26 ± 13.72 b,A,1 | <0.86 | 81.65 ± 2.65 b,A,1 | 11.12 ± 0.43 b,A,1 | <0.71 |
| FM | 12.25 ± 0.25 b,A,2 | 1.19 ± 0.13 b,A,2 | 197.74 ± 1.27 b,A,2 | 369.48 ± 2.10 b,A,2 | 4.60 ± 0.08 | 284.00 ± 1.60 b,A,2 | 2.62 ± 0.62 b,A,2 | 1.76 ± 0.16 A | ||
| 15% | C | 4.86 ± 0.10 b,B,1 | 7.12 ± 0.12 b,B,1 | <0.56 | 6.89 ± 0.08 b,B,1 | <0.86 | 3.40 ± 0.16 b,B,1 | 24.24 ± 0.22 b,B,1 | 1.28 ± 0.05 a,A,1 | |
| FM | 4.69 ± 0.11 a,B,1 | 7.49 ± 0.13 b,B,2 | 0.48 ± 0.01 b,B | 6.63 ± 1.08 a,B,1 | <0.86 | 3.72 ± 0.06 b,B,2 | 27.34 ± 0.50 b,B,2 | 1.12 ± 0.01 b,B,1 | ||
| 20% | C | 4.26 ± 0.21 b,C,1 | 7.48 ± 0.34 b,B,1 | 0.98 ± 0.09 a,B,1 | 5.94 ± 0.42 a,C,1 | <0.86 | 3.46 ± 0.16 b,B,1 | 23.38 ± 0.46 b,B,1 | 1.56 ± 0.15 a,B,1 | |
| FM | 4.70 ± 0.01 a,B,2 | 7.08 ± 0.54 b,B,1 | 0.95 ± 0.04 b,C,2 | 5.76 ± 1.00 a,B,1 | <0.86 | 3.15 ± 0.27 a,C,1 | 22.09 ± 1.99 b,C,1 | 1.45 ± 0.15 a,C,1 | ||
| 25% | C | 5.78 ± 0.16 b,A,1 | 11.68 ± 0.34 b,C,1 | 0.72 ± 0.18 a,B,1 | 22.98 ± 0.24 b,D,1 | <0.86 | 4.38 ± 0.14 b,C,1 | 34.12 ± 0.76 b,C,1 | 1.78 ± 0.08 a,B,1 | |
| FM | 5.41 ± 0.10 b,C,1 | 11.21 ± 0.39 b,C,1 | 0.64 ± 0.08 b,B,1 | 20.93 ± 1.24 b,C,1 | <0.86 | 4.09 ± 0.04 b,B,1 | 32.23 ± 0.80 b,D,1 | 1.87 ± 0.09 a,A,1 | ||
| 30% | C | 5.18 ± 0.22 b,D,1 | 16.34 ± 0.78 b,D,1 | <0.56 | 9.50 ± 0.50 b,E,1 | <0.86 | 4.88 ± 0.64 b,C,1 | 33.78 ± 1.04 b,C,1 | 2.58 ± 0.68 b,C,1 | |
| FM | 5.35 ± 0.42 b,C,1 | 14.21 ± 1.01 b,D,1 | 0.53 ± 0.19 b,B | 8.60 ± 0.75 b,B,1 | <0.86 | 4.08 ± 0.04 b,B,2 | 32.33 ± 0.11 b,D,1 | 2.01 ± 0.01 a,D,2 | ||
| DS | C | 5.06 ± 0.16 a,D,1 | 12.02 ± 0.28 a,E,1 | 1.08 ± 0.14 a,B,1 | 3.78 ± 0.10 b,F,1 | <0.86 | 3.98 ± 0.26 a,C,1 | 8.78 ± 0.24 b,D,1 | 1.68 ± 0.18 a,B,1 | |
| FM | 4.96 ± 0.11 a,C,1 | 10.32 ± 1.77 a,D,1 | 1.04 ± 0.04 b,C,1 | 3.01 ± 0.14 a,D,2 | <0.86 | 2.92 ± 0.43 a,C,2 | 7.93 ± 0.34 a,E,1 | 1.58 ± 0.11 a,A,1 | ||
| 2nd Month | 15% | C | 4.82 ± 0.16 b,A,1 | 9.03 ± 0.10 c,A,1 | 1.36 ± 0.09 b,A,1 | 4.28 ± 0.13 c,A,1 | <0.86 | 3.65 ± 0.08 b,A,1 | 34.20 ± 0.68 c,A,1 | 1.24 ± 0.12 a,A,1 |
| FM | 4.92 ± 0.06 a,A,1 | 8.23 ± 0.16 c,A,2 | 1.07 ± 0.23 b,A,1 | 4.08 ± 0.43 c,A,1 | <0.86 | 3.85 ± 0.11 b,A,1 | 32.80 ± 0.88 c,A,1 | 1.04 ± 0.33 b,A,1 | ||
| 20% | C | 4.68 ± 0.10 a,A,1 | 9.78 ± 0.37 c,B,1 | 1.72 ± 0.13 b,B,1 | 6.66 ± 0.32 b,B,1 | <0.86 | 3.45 ± 0.08 b,B,1 | 24.28 ± 0.36 b,B,1 | 1.52 ± 0.10 a,B,1 | |
| FM | 4.80 ± 0.11 a,A,1 | 9.49 ± 0.57 c,B,1 | 1.92 ± 0.23 c,B,1 | 6.11 ± 0.41 a,B,1 | <0.86 | 3.51 ± 0.08 b,A,1 | 23.59 ± 0.66 b,B,1 | 1.40 ± 0.11 a,A,1 | ||
| 25% | C | 6.32 ± 0.36 c,B,1 | 7.56 ± 0.36 c,C,1 | 2.86 ± 0.20 b,C,1 | 24.22 ± 0.38 b,C,1 | <0.86 | 4.62 ± 0.16 b,C,1 | 36.44 ± 1.36 b,A,1 | 1.84 ± 0.18 a,C,1 | |
| FM | 6.01 ± 0.16 c,B,1 | 7.23 ± 0.76 c,C,1 | 2.92 ± 0.21 c,C,1 | 25.70 ± 0.59 c,C,1 | <0.86 | 4.32 ± 0.06 b,B,1 | 34.28 ± 0.85 b,A,1 | 1.74 ± 0.08 a,B,1 | ||
| 30% | C | 5.68 ± 0.72 b,C,1 | 14.26 ± 0.86 c,D,1 | <0.56 | 4.78 ± 0.50 c,A,1 | <0.86 | 4.46 ± 0.52 b,C,1 | 32.02 ± 1.26 b,A,1 | 2.12 ± 0.32 c,C,1 | |
| FM | 5.21 ± 0.58 b,A,1 | 12.84 ± 1.13 c,D,1 | 0.56 ± 0.16 b,D | 4.89 ± 0.71 a,A,1 | <0.86 | 4.51 ± 0.49 b,B,1 | 33.21 ± 0.37 b,A,1 | 2.01 ± 0.02 a,C,1 | ||
| DS | C | 5.24 ± 0.46 s,C,1 | 10.16 ± 0.28 b,B,1 | 1.78 ± 0.08 b,B,1 | 5.34 ± 0.68 c,A,1 | <0.86 | 2.86 ± 0.16 b,D,1 | 11.78 ± 0.42 dcC,1 | 1.72 ± 0.16 a,C,1 | |
| FM | 5.17 ± 0.17 a,A,1 | 11.76 ± 0.08 b,D,1 | 1.64 ± 0.08 c,E,1 | 5.85 ± 0.83 b,B,1 | <0.86 | 2.79 ± 0.15 a,C,1 | 10.60 ± 0.57 b,C,1 | 1.66 ± 0.06 a,B,1 | ||
| 3rd Month | 15% | FM | 5.07 ± 0.13 a,A | 10.05 ± 0.10 d,A | 1.89 ± 0.04 c,A | 5.20 ± 0.49 a,A | <0.86 | 3.92 ± 0.06 b,A | 35.05 ± 1.32 d,A | 1.39 ± 0.04 a,A |
| 20% | C | 4.92 ± 0.46 c,A,1 | 9.50 ± 0.28 c,A,1 | 1.86 ± 0.20 b,A,1 | 6.80 ± 0.26 b,A,1 | <0.86 | 3.60 ± 0.23 b,A,1 | 23.52 ± 0.32 b,A,1 | 1.59 ± 0.12 a,A,1 | |
| FM | 4.72 ± 0.06 a,B,1 | 9.10 ± 0.39 c,B,1 | 1.70 ± 0.11 c,A,1 | 5.84 ± 0.16 a,A,2 | <0.86 | 3.70 ± 0.03 b,A,1 | 22.49 ± 0.52 b,B,1 | 1.45 ± 0.10 a,A,1 | ||
| 25% | C | 5.96 ± 0.28 b,B,1 | 8.78 ± 0.62 a,A,1 | 6.78 ± 0.86 c,B,1 | 33.12 ± 1.02 c,B,1 | <0.86 | 4.98 ± 0.24 c,B,1 | 34.50 ± 0.46 b,B,1 | 1.72 ± 0.18 a,A,1 | |
| FM | 5.82 ± 0.08 c,C,1 | 8.57 ± 0.35 c,B,1 | 6.12 ± 0.75 d,B,1 | 31.79 ± 0.92 d,B,1 | <0.86 | 4.69 ± 0.04 b,B,1 | 32.51 ± 0.53 b,C,1 | 1.62 ± 0.08 a,A,1 | ||
| 30% | C | 5.56 ± 0.28 b,B,1 | 12.84 ± 0.94 a,B,1 | 1.46 ± 0.22 a,A,1 | 5.68 ± 0.26 a,C,1 | <0.86 | 4.14 ± 0.36 b,C,1 | 24.30 ± 0.88 a,A,1 | 1.86 ± 0.25 a,A,1 | |
| FM | 5.62 ± 0.06 b,C,1 | 11.76 ± 0.54 c,C,1 | 1.30 ± 0.11 c,C,1 | 5.36 ± 0.05 a,A,1 | <0.86 | 4.28 ± 0.06 b,C,1 | 33.20 ± 0.07 b,C,2 | 1.77 ± 0.07 a,A,1 | ||
| DS | C | 5.16 ± 0.09 a,B,1 | 15.40 ± 0.32 d,C,1 | 1.58 ± 0.22 b,A,1 | 5.12 ± 0.18 c,C,1 | <0.86 | 2.98 ± 0.10 b,D,1 | 16.56 ± 0.60 d,C,1 | 2.56 ± 0.08 b,B,1 | |
| FM | 5.56 ± 0.13 b,C,2 | 14.07 ± 0.43 c,D,2 | 1.48 ± 0.12 d,C,1 | 5.30 ± 0.08 b,A,1 | <0.86 | 2.91 ± 0.01 a,D,1 | 17.87 ± 0.06 c,D,2 | 2.51 ± 0.28 b,B,1 | ||
| 4th Month | 20% | C | 4.86 ± 0.12 c,A,1 | 6.68 ± 0.16 d,A,1 | 0.86 ± 0.16 a,A,1 | 6.48 ± 0.55 b,A,1 | <0.86 | 3.86 ± 0.25 b,A,1 | 24.86 ± 0.24 b,A,1 | 1.59 ± 0.18 a,A,1 |
| FM | 4.77 ± 0.22 a,A,1 | 6.23 ± 0.06 a,A,1 | 0.81 ± 0.17 b,A,1 | 6.18 ± 0.95 a,A,1 | <0.86 | 3.74 ± 0.05 b,A,1 | 22.75 ± 0.89 b,A,1 | 1.49 ± 0.15 a,A,1 | ||
| 25% | C | 5.86 ± 0.52 b,B,1 | 4.76 ± 0.78 d,B,1 | 1.46 ± 0.64 d,B,1 | 36.32 ± 1.24 c,B,1 | <0.86 | 4.80 ± 0.28 c,B,1 | 32.68 ± 1.12 b,B,1 | 1.64 ± 0.46 a,A,1 | |
| FM | 5.65 ± 0.02 b,B,1 | 4.30 ± 1.11 d,B,1 | 1.24 ± 0.14 e,B,1 | 37.15 ± 0.92 e,B,1 | <0.86 | 4.83 ± 0.11 b,B,1 | 30.41 ± 2.04 b,B,1 | 1.43 ± 0.13 b,A,1 | ||
| 30% | C | 6.12 ± 0.29 c,C,1 | 8.12 ± 0.18 d,C,1 | 3.52 ± 0.22 b,C,1 | 4.88 ± 0.34 c,C,1 | <0.86 | 4.58 ± 0.24 b,B,1 | 33.18 ± 0.38 b,B,1 | 1.58 ± 0.16 a,A,1 | |
| FM | 6.09 ± 1.29 c,B,1 | 8.71 ± 1.18 d,C,1 | 3.36 ± 0.52 d,C,1 | 4.93 ± 0.21 a,C,1 | <0.86 | 4.21 ± 0.04 b,C,1 | 32.28 ± 1.38 b,B,1 | 1.47 ± 0.06 b,A,1 | ||
| DS | C | 5.72 ± 0.28 a,B,1 | 9.02 ± 0.22 d,D,1 | 2.76 ± 0.10 c,D,1 | 5.58 ± 0.28 c,D,1 | <0.86 | 3.20 ± 0.16 b,C,1 | 12.18 ± 0.26 c,C,1 | 2.08 ± 0.14 c,B,1 | |
| FM | 5.52 ± 0.08 b,B,1 | 9.62 ± 1.02 d,C,1 | 2.56 ± 0.11 e,D,1 | 5.70 ± 0.20 b,A,1 | <0.86 | 3.29 ± 0.10 b,D,1 | 13.11 ± 0.21 d,C,1 | 2.22 ± 0.08 b,B,1 | ||
| 5th Month | 25% | C | 7.68 ± 0.56 d,A,1 | 1.78 ± 0.22 e,A,1 | 3.85 ± 0.38 e,A,1 | 34.98 ± 0.86 c,A,1 | <0.86 | 3.48 ± 0.72 a,A,1 | 36.56 ± 1.34 b,A,1 | 1.48 ± 0.58 a,A,1 |
| FM | 7.51 ± 0.05 d,A,1 | 1.66 ± 0.02 e,A,1 | 3.55 ± 0.06 f,A,1 | 35.78 ± 0.16 e,A,1 | <0.86 | 3.22 ± 1.00 a,A,1 | 34.10 ± 2.21 b,A,1 | 1.19 ± 0.08 c,A,1 | ||
| 30% | C | 6.34 ± 0.35 c,B,1 | 12.08 ± 0.34 a,B,1 | 1.68 ± 0.28 a,B,1 | 7.22 ± 0.30 d,B,1 | <0.86 | 2.88 ± 0.24 c,B,1 | 32.42 ± 0.78 b,B,1 | 1.70 ± 0.28 a,B,1 | |
| FM | 6.63 ± 0.05 d,B,1 | 12.58 ± 0.21 d,B,1 | 1.77 ± 0.63 c,B,1 | 7.46 ± 0.31 b,B,1 | <0.86 | 2.40 ± 0.03 c,B,2 | 33.66 ± 1.58 b,A,1 | 1.71 ± 0.04 a,B,1 | ||
| DS | C | 5.02 ± 0.34 a,C,1 | 8.80 ± 0.16 d,C,1 | 3.48 ± 0.20 d,A,1 | 5.84 ± 0.56 c,C,1 | <0.86 | 3.46 ± 0.26 a,A,1 | 10.88 ± 0.14 e,C,1 | 1.68 ± 0.17 a,B,1 | |
| FM | 5.29 ± 0.23 b,C,1 | 8.71 ± 1.18 d,C,1 | 3.36 ± 0.12 f,C,1 | 5.68 ± 0.63 b,C,1 | <0.86 | 3.22 ± 0.06 b,A,1 | 8.40 ± 0.84 a,B,2 | 1.41 ± 0.19 a,C,1 | ||
| 6th Month | 25% | C | 5.86 ± 0.88 b,A,1 | 1.48 ± 0.24 e,A,1 | 2.56 ± 0.68 f,A,1 | 38.20 ± 0.86 d,A,1 | <0.86 | 3.78 ± 0.48 a,A,1 | 18.78 ± 0.88 c,A,1 | 1.88 ± 0.34 a,A,1 |
| FM | 6.81 ± 0.18 e,A,2 | 0.95 ± 0.04 e,A,2 | 2.29 ± 0.13 c,A,1 | 36.96 ± 1.98 e,A,1 | <0.86 | 3.52 ± 0.08 b,A,1 | 17.87 ± 1.45 c,A,1 | 0.99 ± 0.04 d,A,2 | ||
| 30% | C | 7.48 ± 0.28 d,B,1 | 8.46 ± 0.18 d,B,1 | 0.96 ± 0.28 c,B,1 | 7.68 ± 0.38 d,B,1 | <0.86 | 3.88 ± 0.25 b,A,1 | 19.26 ± 0.42 c,A,1 | 1.78 ± 0.34 a,A,1 | |
| FM | 7.01 ± 0.16 e,A,1 | 8.67 ± 0.03 d,B,1 | 0.90 ± 0.16 f,B,1 | 7.41 ± 0.40 b,A,1 | <0.86 | 3.56 ± 0.05 a,A,1 | 18.01 ± 0.22 c,A,1 | 1.82 ± 0.04 a,B,1 | ||
| DS | C | 5.38 ± 0.15 a,A,1 | 8.20 ± 0.24 b,B,1 | 3.00 ± 0.17 e,A,1 | 5.24 ± 0.22 c,C,1 | <0.86 | 2.80 ± 0.10 b,B,1 | 10.96 ± 0.12 e,B,1 | 1.70 ± 0.10 a,A,1 | |
| FM | 5.09 ± 0.05 a,B,1 | 10.25 ± 0.31 d,C,2 | 3.07 ± 0.07 b,C,1 | 5.01 ± 0.60 b,A,1 | <0.86 | 2.89 ± 0.13 a,B,1 | 10.87 ± 0.42 b,B,1 | 1.79 ± 0.15 a,B,1 | ||
| 7th Month | 30% | C | 7.28 ± 0.48 d,A,1 | 10.22 ± 0.46 a,A,1 | 1.46 ± 0.46 a,A,1 | 9.46 ± 0.46 b,A,1 | <0.86 | 4.02 ± 0.26 b,A,1 | 22.88 ± 0.68 a,A,1 | 2.14 ± 0.20 c,A,1 |
| FM | 7.12 ± 0.28 e,A,1 | 10.52 ± 0.16 c,A,1 | 1.30 ± 0.10 c,A,1 | 9.12 ± 0.20 b,A,1 | <0.86 | 4.38 ± 0.09 b,A,1 | 23.38 ± 0.16 d,A,1 | 2.05 ± 0.09 a,A,1 | ||
| DS | C | 4.76 ± 0.16 a,B,1 | 12.36 ± 0.32 b,B,1 | 1.78 ± 0.17 b,B,1 | 4.78 ± 0.21 d,B,1 | <0.86 | 2.66 ± 0.15 b,B,1 | 9.98 ± 0.22 e,B,1 | 2.12 ± 0.09 c,A,1 | |
| FM | 4.82 ± 0.03 a,B,1 | 12.95 ± 0.52 b,A,1 | 1.81 ± 0.07 b,B,1 | 4.80 ± 0.23 b,B,1 | <0.86 | 2.72 ± 0.05 a,B,1 | 9.66 ± 0.45 b,B,1 | 2.01 ± 0.11 a,A,1 | ||
| 8th Month | 30% | C | 7.96 ± 0.46 d,A,1 | 14.88 ± 0.80 c,A,1 | 1.86 ± 0.64 a,A,1 | 10.22 ± 0.55 b,A,1 | <0.86 | 5.58 ± 0.44 d,A,1 | 28.56 ± 0.24 a,A,1 | 1.88 ± 0.12 a,A,1 |
| FM | 7.80 ± 0.36 f,A,1 | 14.34 ± 0.26 b,A,1 | 1.90 ± 0.24 e,A,1 | 10.78 ± 0.36 c,A,1 | <0.86 | 5.16 ± 0.15 d,B,1 | 27.64 ± 0.12 a,A,1 | 1.96 ± 0.12 a,A,1 | ||
| DS | C | 5.28 ± 0.25 a,B,1 | 12.86 ± 0.12 b,B,1 | 1.90 ± 0.20 b,B,1 | 4.35 ± 0.41 d,B,1 | <0.86 | 3.02 ± 0.05 b,B,1 | 8.60 ± 0.14 b,B,1 | 1.98 ± 0.06 a,A,1 | |
| FM | 5.12 ± 0.13 a,B,1 | 12.95 ± 0.16 b,B,1 | 1.96 ± 0.02 d,A,1 | 4.76 ± 0.04 b,B,1 | <0.86 | 3.12 ± 0.15 b,A,1 | 8.66 ± 0.25 e,B,1 | 1.92 ± 0.06 a,A,1 | ||
| 9th Month | 30% | C | 7.88 ± 0.38 d,A,1 | 14.02 ± 0.24 c,A,1 | 2.28 ± 0.18 d,,A,1 | 9.02 ± 0.14 b,A,1 | <0.861 | 4.82 ± 0.18 b,A,1 | 33.26 ± 1.12 b,A,1 | 1.66 ± 0.22 a,A,1 |
| FM | 7.56 ± 0.18 f,A,1 | 12.88 ± 0.34 d,A,2 | 2.48 ± 0.08 f,A,1 | 9.38 ± 0.24 b,A,1 | 1.43 ± 0.212 | 4.96 ± 0.11 e,A,1 | 32.82 ± 0.42 b,A,1 | 1.76 ± 0.05 a,A,1 | ||
| DS | C | 5.38 ± 0.08 a,B,1 | 15.78 ± 0.14 b,B,1 | 2.10 ± 0.09 b,B,1 | 4.28 ± 0.08 d,B,1 | <0.86 | 3.42 ± 0.10 a,B,1 | 7.68 ± 0.24 f,B,1 | 2.28 ± 0.15 c,B,1 | |
| FM | 5.52 ± 0.08 a,B,1 | 15.25 ± 0.34 b,B,1 | 2.11 ± 0.04 e,A,1 | 4.10 ± 0.13 b,B,1 | <0.86 | 3.52 ± 0.04 c,B,1 | 7.43 ± 0.14 a,B,1 | 2.11 ± 0.05 b,B,1 | ||
| 10th Month | DS | C | 4.86 ± 0.09 a,1 | 10.86 ± 0.36 b,1 | 2.52 ± 0.06 c,1 | 4.28 ± 0.12 d,1 | <0.86 | 3.50 ± 0.32 a,1 | 9.48 ± 0.06 e,1 | 2.02 ± 0.10 a,1 |
| FM | 4.76 ± 0.06 c,1 | 11.12 ± 0.16 b,1 | 2.46 ± 0.16 e,1 | 4.48 ± 0.32 b,1 | <0.86 | 3.72 ± 0.22 c,1 | 9.16 ± 0.16 a,1 | 2.32 ± 0.01 b,2 | ||
| 11th Month | DS | C | 5.56 ± 0.20 a,1 | 9.86 ± 0.18 a,1 | 3.98 ± 0.07 f,1 | 4.78 ± 0.19 d,1 | <0.86 | 3.62 ± 0.08 a,1 | 9.98 ± 0.11 e,1 | 1.98 ± 0.12 a,1 |
| FM | 5.82 ± 0.04 d,1 | 9.75 ± 0.44 c,1 | 3.81 ± 0.17 d,1 | 4.89 ± 0.09 b,1 | <0.86 | 3.22 ± 0.12 b,2 | 9.76 ± 0.21 b,1 | 1.92 ± 0.10 a,1 | ||
| 12th Month | DS | FM | 5.32 ± 0.10 a | 10.45 ± 0.12 c | 2.78 ± 0.13 e | 5.25 ± 0.21 b | 1.12 ± 0.03 | 2.92 ± 0.08 a | 10.89 ± 0.34 b | 2.21 ± 0.09 b |
Disclaimer/Publisher’s Note: The statements, opinions and data contained in all publications are solely those of the individual author(s) and contributor(s) and not of MDPI and/or the editor(s). MDPI and/or the editor(s) disclaim responsibility for any injury to people or property resulting from any ideas, methods, instructions or products referred to in the content. |
© 2023 by the authors. Licensee MDPI, Basel, Switzerland. This article is an open access article distributed under the terms and conditions of the Creative Commons Attribution (CC BY) license (https://creativecommons.org/licenses/by/4.0/).
Share and Cite
Koral, S.; Köse, S.; Pompe, M.; Kočar, D. The Effect of Freezing Raw Material on the Quality Changes and Safety of Salted Anchovies (Engraulis encrasicolus, Linnaeus, 1758) at Cold Storage Conditions. Appl. Sci. 2023, 13, 6200. https://doi.org/10.3390/app13106200
Koral S, Köse S, Pompe M, Kočar D. The Effect of Freezing Raw Material on the Quality Changes and Safety of Salted Anchovies (Engraulis encrasicolus, Linnaeus, 1758) at Cold Storage Conditions. Applied Sciences. 2023; 13(10):6200. https://doi.org/10.3390/app13106200
Chicago/Turabian StyleKoral, Serkan, Sevim Köse, Matevž Pompe, and Drago Kočar. 2023. "The Effect of Freezing Raw Material on the Quality Changes and Safety of Salted Anchovies (Engraulis encrasicolus, Linnaeus, 1758) at Cold Storage Conditions" Applied Sciences 13, no. 10: 6200. https://doi.org/10.3390/app13106200
APA StyleKoral, S., Köse, S., Pompe, M., & Kočar, D. (2023). The Effect of Freezing Raw Material on the Quality Changes and Safety of Salted Anchovies (Engraulis encrasicolus, Linnaeus, 1758) at Cold Storage Conditions. Applied Sciences, 13(10), 6200. https://doi.org/10.3390/app13106200

