Characterization of Ultra-High-Dose Rate Electron Beams with ElectronFlash Linac
Abstract
1. Introduction
2. Materials and Methods
2.1. Description of the Electron Linear Accelerator System
2.2. Dose Measurements with Gafchromic Films
2.3. Monte-Carlo Dose Simulations
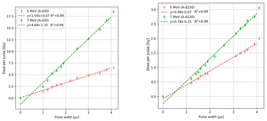
3. Results
3.1. Measurements of Dose Parameters
3.2. Measurements of the Percentage Depth Dose (PDD) Curve and of the Dose Profiles
4. Discussion
5. Conclusions
Author Contributions
Funding
Institutional Review Board Statement
Informed Consent Statement
Data Availability Statement
Conflicts of Interest
References
- Berry, R.J.; Hall, E.; Forster, D.; Storr, T.; Goodman, M. Survival of mammalian cells exposed to X rays at ultra-high dose-rates. Br. J. Radiol. 1969, 42, 102–107. [Google Scholar] [CrossRef] [PubMed]
- Field, S.B.; Bewley, D.K. Effects of dose-rate on the radiation response of rat skin. Int. J. Radiat. Biol. Relat. Stud. Phys. Chem. Med. 1974, 26, 259–267. [Google Scholar] [CrossRef] [PubMed]
- Inada, T.; Nishio, H.; Amino, S.; Abe, K.; Saito, K. High Dose-rate Dependence of Early Skin Reaction in Mouse. Int. J. Radiat. Biol. Relat. Stud. Phys. Chem. Med. 1980, 38, 139–145. [Google Scholar] [CrossRef] [PubMed]
- Hendry, J.; Moore, J.V.H.; Hodgson, B.W.; Keene, J.P. The constant low oxygen concentration in all the target cells for mouse tail radionecrosis. Radiat. Res. 1982, 92, 172–189. [Google Scholar] [CrossRef]
- Favaudon, V.; Caplier, L.; Monceau, V.; Pouzoulet, F.; Sayarath, M.; Fouillade, C.; Poupon, M.-F.; Brito, I.; Hupé, P.; Bourhis, J.; et al. Ultrahigh dose-rate FLASH irradiation increases the differential response between normal and tumor tissue in mice. Sci. Transl. Med. 2014, 6, 245ra93. [Google Scholar] [CrossRef]
- Vozenin, M.-C.; Fornel, P.D.; Petersson, K.; Favaudon, V.; Jaccard, M.; Germond, J.-F.; Petit, B.; Burki, M.; Ferrand, G.; Patin, D.; et al. The advantage of FLASH radiotherapy confirmed in mini-pig and cat cancer patients. Clin. Cancer. Res. 2018, 25, 35–42. [Google Scholar] [CrossRef]
- Montay-Gruel, P.; Petersson, K.; Jaccard, M.; Boivin, G.; Germond, J.; Petit, B.; Doenlen, R.; Favaudon, V.; Bochud, F.; Bailat, C.; et al. Irradiation in a FLASH: Unique sparing of memory in mice after whole brain irradiation with dose rates above 100 Gy/s. Radiother. Oncol. 2017, 124, 365–369. [Google Scholar] [CrossRef]
- Bourhis, J.; Sozzi, W.J.; Jorge, P.G.; Gaide, O.; Bailat, C.; Duclos, F.; Patin, D.; Ozsahin, M.; Bochud, F.; Germond, J.; et al. Treatment of a first patient with FLASH-radiotherapy. Radiother. Oncol. 2019, 139, 18–22. [Google Scholar] [CrossRef]
- Wilson, J.; Hammond, E.; Higgins, G.; Petersson, K. Ultra-High Dose Rate (FLASH) Radiotherapy: Silver Bullet or Fool’s Gold? Front. Oncol. 2020, 9, 1563. [Google Scholar] [CrossRef]
- Friedl, A.; Prise, K.M.; Butterworth, K.T.; Montay-Gruel, P.; Favaudon, V. Radiobiology of the FLASH effect. Med. Phys. 2022, 49, 1993–2013. [Google Scholar] [CrossRef]
- Jaccard, M.; Durán, M.T.; Petersson, K.; Germond, J.; Liger, P.; Vozenin, M.; Bourhis, J.; Bochud, F.; Bailat, C. High dose-per-pulse electron beam dosimetry: Commissioning of the Oriatron eRT6 prototype linear accelerator for preclinical use. Med. Phys. 2018, 45, 863–874. [Google Scholar] [CrossRef] [PubMed]
- Moeckli, R.; Jorge, P.G.; Grilj, V.; Oesterle, R.; Cherbuin, N.; Bourhis, J.; Vozenin, M.; Germond, J.; Bochud, F.; Bailat, C. Commissioning of an ultra-high dose rate pulsed electron beam medical LINAC for FLASH RT preclinical animal experiments and future clinical human protocols. Med. Phys. 2021, 48, 3134–3139. [Google Scholar] [CrossRef] [PubMed]
- Lempart, M.; Blad, B.; Adrian, G.; Bäck, S.; Knöös, T.; Ceberg, C.; Petersson, K. Modifying a clinical linear accelerator for delivery of ultra-high dose rate irradiation. Radiother. Oncol. 2019, 139, 40–45. [Google Scholar] [CrossRef] [PubMed]
- Schüler, E.; Trovati, S.; King, G.; Lartey, F.; Rafat, M.; Villegas, M.; Praxel, A.J.; Loo, B.W., Jr.; Maxim, P.G. Experimental platform for ultra-high dose rate FLASH irradiation of small animals using a clinical linear accelerator. Int. J. Radiat. Oncol. Biol. Phys. 2017, 97, 195–203. [Google Scholar] [CrossRef] [PubMed]
- Berne, A.; Petersson, K.; Tullis, I.D.; Newman, R.G.; Vojnovic, B. Monitoring electron energies during FLASH irradiations. Phys. Med. Biol. 2021, 66, 045015. [Google Scholar] [CrossRef]
- Lansonneur, P.; Favaudon, V.; Heinrich, S.; Fouillade, C.; Verrelle, P.; De Marzi, L. Simulation and experimental validation of a prototype electron beam linear accelerator for preclinical studies. Phys. Medica 2019, 60, 50–57. [Google Scholar] [CrossRef]
- Martino, F.D.; Barca, P.; Barone, S.; Bortoli, E.; Borgheresi, R.; Stefano, S.D.; Francesco, M.D.; Faillace, L.; Giuliano, L.; Grasso, L.; et al. FLASH Radiotherapy With Electrons: Issues Related to the Production, Monitoring, and Dosimetric Characterization of the Beam. Front. Phys. 2020, 8, 481. [Google Scholar] [CrossRef]
- Faillace, L.; Barone, S.; Battistoni, G.; Francesco, M.D.; Felici, G.; Ficcadenti, L.; Franciosini, G.; Galante, F.; Giuliano, L.; Grasso, L.; et al. Compact S-band linear accelerator system for ultrafast, ultrahigh dose-rate radiotherapy. Phys. Rev. Accel. Beams 2021, 24, 050102. [Google Scholar] [CrossRef]
- S-band Magnetron Company. Available online: https://www.teledyne-e2v.com (accessed on 30 December 2022).
- Tursucu, A. Albedo factor determination of some selected 3d alloy samples. Appl. Radiat. Isot. 2021, 169, 109505. [Google Scholar]
- Hu, J.B.; Rovey, J. Faraday cup with nanosecond response and adjustable impedance for fast electron beam characterization. Rev. Sci. Instruments 2011, 82, 073504. [Google Scholar] [CrossRef]
- Richter, C.; Karsch, L.; Dammene, Y.; Kraft, S.D.; Metzkes, J.; Schramm, U.; Schürer, M.; Sobiella, M.; Weber, A.; Zeil, K.; et al. A dosimetric system for quantitative cell irradiation experiments with laser-accelerated protons. Phys. Med. Biol. 2011, 56, 1529–1543. [Google Scholar] [CrossRef] [PubMed]
- Prokůpek, J.; Kaufman, J.; Margarone, D.; Krůs, M.; Velyhan, A.; Krása, J.; Burris-Mog, T.; Busold, S.; Deppert, O.; Cowan, T.E.; et al. Development and first experimental tests of Faraday cup array. Rev. Sci. Instruments 2014, 85, 013302. [Google Scholar] [CrossRef]
- Favaudon, V.; Lentz, J.M.; Heinrich, S.; Patriarca, A.; de Marzi, L.; Fouillade, C.; Dutreix, M. Time-resolved dosimetry of pulsed electron beams in very high dose-rate, FLASH irradiation for preclinical studies. Nucl. Instruments Methods Phys. Res. Sect. A Accel. Spectrometers Detect. Assoc. Equip. 2019, 944, 162537. [Google Scholar] [CrossRef]
- Available online: www.gafchromic.com (accessed on 30 December 2022).
- Andreo, P.; Burns, D.T.; Hohlfeld, K.; Huq, M.S.; Kanai, T.; Laitano, F.; Smyth, V.; Vynckier, S.P.; Andreo, D.; Burns, K.H.; et al. IAEA TRS-398—Absorbed Dose Determination in External Beam Radiotherapy: An International Code of Practice for Dosimetry Based on Standards of Absorbed Dose to Water; IAEA: Vienna, Austria, 2020; ISSN 1011-4289. [Google Scholar]
- Ferrari, A.; Sala, P.R.; Fasso, A.; Ranft, J. FLUKA: A Multi-Particle Transport Code (Program version 2005); CERN-2005-010: Geneva, Switzerland; SLAC-R-773: California, CA, USA; INFN-TC-05-11: Rome, Italy, 2005. [Google Scholar]
- Battistoni, G.; Bauer, J.; Boehlen, T.T.; Cerutti, F.; Chin, M.P.W.; Augusto, R.D.S.; Ferrari, A.; Ortega, P.G.; Kozłowska, W.; Magro, G.; et al. The FLUKA Code: An Accurate Simulation Tool for Particle Therapy. Front. Oncol. 2016, 6, 116. [Google Scholar] [CrossRef]
- Young, L.M. Los Alamos National Laboratory Report No. LA-UR-96-1835; Los Alamos National Laboratory: Los Alamos, NM, USA, 1996.
- Low, D.A.; Harms, W.B.; Mutic, S.; Purdy, J.A. A technique for the quantitative evaluation of dose distributions. Med. Phys. 1998, 25, 50. [Google Scholar] [CrossRef] [PubMed]









| Parameters | Value |
|---|---|
| Output energy | 5 or 7 MeV |
| Pulse repetition frequency | 1–250 Hz |
| Pulse width | 0.5–4 s |
| Maximum peak beam current 7 MeV | 120 mA |
| Maximum peak beam current 5 MeV | 108 mA |
| Applicator Size ø(mm) | 7 MeV Dose per Pulse (Gy) | 5 MeV Dose per Pulse (Gy) |
|---|---|---|
| 120 | 3 | 2 |
| 30 | 19 | 12.3 |
| Applicator Size ø(mm) | Instantaneous Dose Rate (Gy/s) | Average Dose Rate (Gy/s) |
|---|---|---|
| 120 at 7 MeV | 0.75 | 750 |
| 120 at 5 MeV | 0.5 | 500 |
| 30 at 7 MeV | 4.75 | 4750 |
| 30 at 5 MeV | 3.07 | 3075 |
| Applicator Size ø(mm) | 7 MeV (Gy/nC) | 5 MeV (Gy/nC) |
|---|---|---|
| 120 | 0.012 | 0.014 |
| 30 | 0.08 | 0.11 |
| Irradiation Settings | PDD Index |
|---|---|
| A-d120 at 7 MeV | 95.68% |
| A-d120 at 5 MeV | 99.00% |
| A-d30 at 7 MeV | 98.67% |
| A-d30 at 5 MeV | 97.01% |
| Irradiation Settings | R100 -Index | R80 -Index | R50 -Index |
|---|---|---|---|
| A-d120 at 7 MeV | 99.00% | 100% | 96.29% |
| A-d120 at 5 MeV | 95.00% | 95.57% | 95.00% |
| A-d30 at 7 MeV | 98.40% | 99.60 % | 99.60% |
| A-d30 at 5 MeV | 96.01% | 100% | 96.41% |
Disclaimer/Publisher’s Note: The statements, opinions and data contained in all publications are solely those of the individual author(s) and contributor(s) and not of MDPI and/or the editor(s). MDPI and/or the editor(s) disclaim responsibility for any injury to people or property resulting from any ideas, methods, instructions or products referred to in the content. |
© 2023 by the authors. Licensee MDPI, Basel, Switzerland. This article is an open access article distributed under the terms and conditions of the Creative Commons Attribution (CC BY) license (https://creativecommons.org/licenses/by/4.0/).
Share and Cite
Giuliano, L.; Franciosini, G.; Palumbo, L.; Aggar, L.; Dutreix, M.; Faillace, L.; Favaudon, V.; Felici, G.; Galante, F.; Mostacci, A.; et al. Characterization of Ultra-High-Dose Rate Electron Beams with ElectronFlash Linac. Appl. Sci. 2023, 13, 631. https://doi.org/10.3390/app13010631
Giuliano L, Franciosini G, Palumbo L, Aggar L, Dutreix M, Faillace L, Favaudon V, Felici G, Galante F, Mostacci A, et al. Characterization of Ultra-High-Dose Rate Electron Beams with ElectronFlash Linac. Applied Sciences. 2023; 13(1):631. https://doi.org/10.3390/app13010631
Chicago/Turabian StyleGiuliano, Lucia, Gaia Franciosini, Luigi Palumbo, Lilia Aggar, Marie Dutreix, Luigi Faillace, Vincent Favaudon, Giuseppe Felici, Federica Galante, Andrea Mostacci, and et al. 2023. "Characterization of Ultra-High-Dose Rate Electron Beams with ElectronFlash Linac" Applied Sciences 13, no. 1: 631. https://doi.org/10.3390/app13010631
APA StyleGiuliano, L., Franciosini, G., Palumbo, L., Aggar, L., Dutreix, M., Faillace, L., Favaudon, V., Felici, G., Galante, F., Mostacci, A., Migliorati, M., Pacitti, M., Patriarca, A., & Heinrich, S. (2023). Characterization of Ultra-High-Dose Rate Electron Beams with ElectronFlash Linac. Applied Sciences, 13(1), 631. https://doi.org/10.3390/app13010631

