Feature Drift in Fake News Detection: An Interpretable Analysis
Abstract
1. Introduction
- RQ1: Does the phenomenon of feature drift exist in fake news detection?
- RQ2: What causes the feature drift phenomenon?
- We demonstrate that the feature drift phenomenon does exist in fake news detection, and explainable results further illustrate the existence of feature drift.
- We propose a sampling method based on skewness to discuss the reasons for the feature drift phenomenon, which provides a new perspective on the cause of feature drift.
2. Related Works
2.1. Interpretable Models
2.2. Interpretable Fake News Detection
3. Methodology
3.1. Dataset
3.2. Feature Extraction
- Characteristic time (Ctime): For a propagation graph , we sort all retweet times from small to large and obtain a time sequence , where retweet time denotes the difference in creation time between two tweets that exist in a retweet relationship, l indicates the retweet time series index, and M denotes the number of retweets. Then, Characteristic time is equal to , where indicates that it is rounded down; to avoid an excessively long life cycle in the spread of news, we choose 0.8 as the cut-off, which can maintain most of the effective information.
- Max-degree time (Dtime): The creation time of the tweet with the maximum degree (i.e., retweets) in the propagation graph.
- Max degree (MaxD) [49]: Maximum degree value in the propagation graph.
- Ratio of layer sizes (ROL) [50]: Layer denotes the number of retweets since the source Twitter post. The ratio of layer sizes can be defined aswhere and denote the number of tweets whose distance is two and one from the source tweet, respectively.
- Average betweenness centrality (BCentr) [49]: Average betweenness centrality of the propagation graph.
- Network diameter (Diameter) [51]: The maximum distance between any two tweets in the propagation graph.
- Average degree (AveD) [51]: The average value of degrees in the propagation graph.
- Average shortest path (AvePath) [51]: The average value of the distance of all node pairs in the propagation graph.
- Number of nodes (NoN) [49]: Number of nodes in the propagation graph.
- Number of subgraphs (NoS) [49]: Number of subgraphs in the propagation graph while deleting the source tweet.
- Tweet number in largest subgraph (MaxS) [49]: The number of tweets in the largest subgraph.
- Depth motif degree (Motif) [53]: The depth motif degree gives a micro perspective of the graph structure by counting the number of specific motifs. The definition is shown in Equation (4). The depth motif () means that if there exists a triplet , which satisfies , and . Thus, the depth motif of the propagation graph can be calculated aswhere indicates the number of depth motifs in the graph.
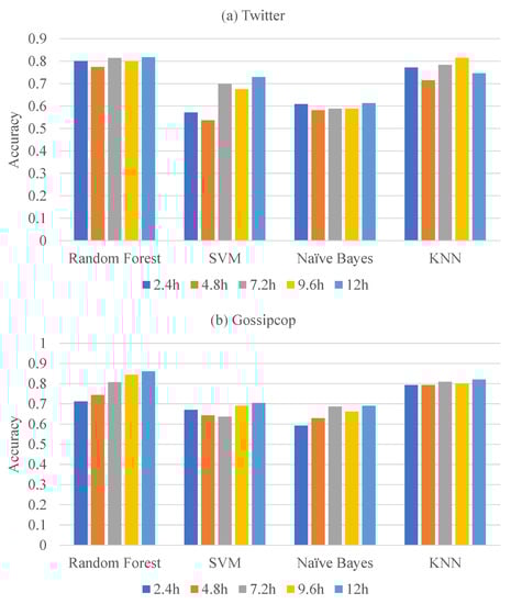
4. Feature Drift
4.1. Definition and Experimental Setup
4.2. Interpretable Analysis
5. Conclusions
Author Contributions
Funding
Institutional Review Board Statement
Informed Consent Statement
Data Availability Statement
Conflicts of Interest
References
- Zhou, X.; Zafarani, R. Fake news: A survey of research, detection methods, and opportunities. arXiv 2018, arXiv:1812.00315v1. [Google Scholar]
- Fu, C.; Xia, Y.; Yue, X.; Yu, S.; Min, Y.; Zhang, Q.; Leng, Y. A Novel Spatiotemporal Behavior-Enabled Random Walk Strategy on Online Social Platforms. IEEE Trans. Comput. Soc. Syst. 2021, 9, 807–817. [Google Scholar] [CrossRef]
- Fu, C.; Yue, X.; Shen, B.; Yu, S.; Min, Y. Patterns of interest change in stack overflow. Sci. Rep. 2022, 12, 1–10. [Google Scholar] [CrossRef]
- Alam, S.; Ravshanbekov, A. Sieving fake news from genuine: A synopsis. arXiv 2019, arXiv:1911.08516. [Google Scholar]
- Lazer, D.M.; Baum, M.A.; Benkler, Y.; Berinsky, A.J.; Greenhill, K.M.; Menczer, F.; Metzger, M.J.; Nyhan, B.; Pennycook, G.; Rothschild, D.; et al. The science of fake news. Science 2018, 359, 1094–1096. [Google Scholar] [CrossRef]
- Bovet, A.; Makse, H.A. Influence of fake news in Twitter during the 2016 US presidential election. Nat. Commun. 2019, 10, 1–14. [Google Scholar] [CrossRef] [PubMed]
- Silverman, C. This Analysis Shows How Wiral Fake Election News Stories Outperformed Real News on Facebook; BuzzFeed News: New York, NY, USA, 2016. [Google Scholar]
- Pogue, D. How to Stamp Out Fake News. Sci. Am. 2017, 316, 24. [Google Scholar] [CrossRef]
- Allcott, H.; Gentzkow, M. Social media and fake news in the 2016 election. J. Econ. Perspect. 2017, 31, 211–236. [Google Scholar] [CrossRef]
- Liu, Y.; Jin, X.; Shen, H.; Cheng, X. Do rumors diffuse differently from non-rumors? A systematically empirical analysis in sina weibo for rumor identification. In Proceedings of the Pacific-Asia Conference on Knowledge Discovery and Data Mining, Jeju, Republic of Korea, 23–26 May 2017; Springer: Berlin/Heidelberg, Germany, 2017; pp. 407–420. [Google Scholar]
- Vosoughi, S.; Roy, D.; Aral, S. The spread of true and false news online. science 2018, 359, 1146–1151. [Google Scholar] [CrossRef]
- Meyers, M.; Weiss, G.; Spanakis, G. Fake News Detection on Twitter Using Propagation Structures. In Proceedings of the Multidisciplinary International Symposium on Disinformation in Open Online Media, Online, 26–27 October 2020; Springer: Berlin/Heidelberg, Germany, 2020; pp. 138–158. [Google Scholar]
- Rubin, V.L. On deception and deception detection: Content analysis of computer-mediated stated beliefs. Proc. Am. Soc. Inf. Sci. Technol. 2010, 47, 1–10. [Google Scholar] [CrossRef]
- Törnberg, P. Echo chambers and viral misinformation: Modeling fake news as complex contagion. PLoS ONE 2018, 13, e0203958. [Google Scholar] [CrossRef] [PubMed]
- Zhou, X.; Zafarani, R. A survey of fake news: Fundamental theories, detection methods, and opportunities. ACM Comput. Surv. (CSUR) 2020, 53, 1–40. [Google Scholar] [CrossRef]
- Guess, A.; Nagler, J.; Tucker, J. Less than you think: Prevalence and predictors of fake news dissemination on Facebook. Sci. Adv. 2019, 5, eaau4586. [Google Scholar] [CrossRef] [PubMed]
- Tsfati, Y.; Boomgaarden, H.G.; Strömbäck, J.; Vliegenthart, R.; Damstra, A.; Lindgren, E. Causes and consequences of mainstream media dissemination of fake news: Literature review and synthesis. Ann. Int. Commun. Assoc. 2020, 44, 157–173. [Google Scholar] [CrossRef]
- Kucharski, A. Study epidemiology of fake news. Nature 2016, 540, 525. [Google Scholar] [CrossRef]
- Volkova, S.; Shaffer, K.; Jang, J.Y.; Hodas, N. Separating facts from fiction: Linguistic models to classify suspicious and trusted news posts on twitter. In Proceedings of the 55th Annual Meeting of the Association for Computational Linguistics (Volume 2: Short Papers), Vancouver, BC, Canada, 30 July–4 August 2017; Association for Computational Linguistics: Stroudsburg, PA, USA, 2017; pp. 647–653. [Google Scholar]
- Bond, G.D.; Holman, R.D.; Eggert, J.A.L.; Speller, L.F.; Garcia, O.N.; Mejia, S.C.; Mcinnes, K.W.; Ceniceros, E.C.; Rustige, R. ‘Lyin’Ted’, ‘Crooked Hillary’, and ‘Deceptive Donald’: Language of Lies in the 2016 US Presidential Debates. Appl. Cogn. Psychol. 2017, 31, 668–677. [Google Scholar] [CrossRef]
- Gogate, M.; Adeel, A.; Hussain, A. Deep learning driven multimodal fusion for automated deception detection. In Proceedings of the 2017 IEEE Symposium Series on Computational Intelligence (SSCI), Honolulu, HI, USA, 27 November–1 December 2017; IEEE: Piscataway, NJ, USA, 2017; pp. 1–6. [Google Scholar]
- Li, L.; Qin, B.; Ren, W.; Liu, T. Document representation and feature combination for deceptive spam review detection. Neurocomputing 2017, 254, 33–41. [Google Scholar] [CrossRef]
- Ren, Y.; Ji, D. Neural networks for deceptive opinion spam detection: An empirical study. Inf. Sci. 2017, 385, 213–224. [Google Scholar] [CrossRef]
- Ma, J.; Gao, W.; Wong, K.F. Rumor detection on twitter with tree-structured recursive neural networks. In Proceedings of the 56th Annual Meeting of the Association for Computational Linguistics. Association for Computational Linguistics, Melbourne, Australia, 15–20 July 2018; pp. 1980–1989. [Google Scholar]
- Kwon, S.; Cha, M.; Jung, K. Rumor detection over varying time windows. PLoS ONE 2017, 12, e0168344. [Google Scholar] [CrossRef]
- Choudhary, A.; Arora, A. Linguistic feature based learning model for fake news detection and classification. Expert Syst. Appl. 2021, 169, 114171. [Google Scholar] [CrossRef]
- Wang, W.Y. ‘Liar, Liar Pants on Fire’: A New Benchmark Dataset for Fake News Detection. In Proceedings of the 55th Annual Meeting of the Association for Computational Linguistics (Volume 2: Short Papers), Vancouver, BC, Canada, 30 July–4 August 2017; Association for Computational Linguistics: Stroudsburg, PA, USA, 2017; pp. 422–426. [Google Scholar]
- Tu, K.; Chen, C.; Hou, C.; Yuan, J.; Li, J.; Yuan, X. Rumor2vec: A rumor detection framework with joint text and propagation structure representation learning. Inf. Sci. 2021, 560, 137–151. [Google Scholar] [CrossRef]
- Liang, B.; Li, H.; Su, M.; Bian, P.; Li, X.; Shi, W. Deep Text Classification Can Be Fooled. In Proceedings of the 27th International Joint Conference on Artificial Intelligence IJCAI’18, Stockholm, Sweden, 13–19 July 2018; AAAI Press: Washington, DC, USA, 2018; pp. 4208–4215. [Google Scholar]
- Zhou, X.; Zafarani, R. Network-based fake news detection: A pattern-driven approach. ACM SIGKDD Explor. Newsl. 2019, 21, 48–60. [Google Scholar] [CrossRef]
- Silva, A.; Han, Y.; Luo, L.; Karunasekera, S.; Leckie, C. Propagation2Vec: Embedding partial propagation networks for explainable fake news early detection. Inf. Process. Manag. 2021, 58, 102618. [Google Scholar] [CrossRef]
- Davoudi, M.; Moosavi, M.R.; Sadreddini, M.H. DSS: A hybrid deep model for fake news detection using propagation tree and stance network. Expert Syst. Appl. 2022, 198, 116635. [Google Scholar] [CrossRef]
- Liu, Y.; Wu, Y.F.B. Early detection of fake news on social media through propagation path classification with recurrent and convolutional networks. In Proceedings of the Thirty-Second AAAI Conference on Artificial Intelligence, New Orleans, LA, USA, 2–7 February 2018. [Google Scholar]
- Shu, K.; Cui, L.; Wang, S.; Lee, D.; Liu, H. defend: Explainable fake news detection. In Proceedings of the 25th ACM SIGKDD International Conference on Knowledge Discovery & Data Mining, Anchorage, AK, USA, 4–8 August 2019; pp. 395–405. [Google Scholar]
- Lundberg, S.M.; Lee, S.I. A unified approach to interpreting model predictions. Adv. Neural Inf. Process. Syst. 2017, 30, 4765–4774. [Google Scholar]
- Hastie, T.; Tibshirani, R.; Friedman, J.H.; Friedman, J.H. The Elements of Statistical Learning: Data Mining, Inference, and Prediction; Springer: Berlin/Heidelberg, Germany, 2009; Volume 2. [Google Scholar]
- Doshi-Velez, F.; Kim, B. Towards a rigorous science of interpretable machine learning. arXiv 2017, arXiv:1702.08608. [Google Scholar]
- Molnar, C. Interpretable Machine Learning. A Guide for Making Black Box Models Explainable; Independently published; 2022; ISBN 979-8411463330. [Google Scholar]
- Du, M.; Liu, N.; Hu, X. Techniques for interpretable machine learning. Commun. ACM 2019, 63, 68–77. [Google Scholar] [CrossRef]
- Kingsford, C.; Salzberg, S.L. What are decision trees? Nat. Biotechnol. 2008, 26, 1011–1013. [Google Scholar] [CrossRef]
- Weisberg, S. Applied Linear Regression; John Wiley & Sons: Hoboken, NJ, USA, 2005; Volume 528. [Google Scholar]
- Ribeiro, M.T.; Singh, S.; Guestrin, C. “Why should i trust you?” Explaining the predictions of any classifier. In Proceedings of the 22nd ACM SIGKDD International Conference on Knowledge Discovery and Data Mining, San Francisco, CA, USA, 13–17 August 2016; Association for Computing Machinery: New York, NY, USA, 2016; pp. 1135–1144. [Google Scholar]
- Singhal, S.; Kabra, A.; Sharma, M.; Shah, R.R.; Chakraborty, T.; Kumaraguru, P. Spotfake+: A multimodal framework for fake news detection via transfer learning (student abstract). In Proceedings of the AAAI Conference on Artificial Intelligence, New York, NY, USA, 7–12 February 2020; Volume 34, pp. 13915–13916. [Google Scholar]
- Fu, C.; Zheng, Y.; Liu, Y.; Xuan, Q.; Chen, G. NES-TL: Network embedding similarity-based transfer learning. IEEE Trans. Netw. Sci. Eng. 2019, 7, 1607–1618. [Google Scholar] [CrossRef]
- Lu, Y.J.; Li, C.T. GCAN: Graph-aware Co-Attention Networks for Explainable Fake News Detection on Social Media. In Proceedings of the 58th Annual Meeting of the Association for Computational Linguistics, Online, 5–10 July 2020; Association for Computational Linguistics: Stroudsburg, PA, USA, 2020; pp. 505–514. [Google Scholar] [CrossRef]
- Ma, J.; Gao, W.; Wong, K.F. Detect rumors in microblog posts using propagation structure via kernel learning. In Proceedings of the 5th Annual Meeting of the Association for Computational Linguistics. Association for Computational Linguistics, Vancouver, BC, Canada, 30 July–4 August 2017; Association for Computational Linguistics: Stroudsburg, PA, USA, 2017; pp. 708–717. [Google Scholar]
- Shu, K.; Mahudeswaran, D.; Wang, S.; Liu, H. Hierarchical propagation networks for fake news detection: Investigation and exploitation. In Proceedings of the International AAAI Conference on Web and Social Media, Atlanta, GA, USA, 8–11 June 2020; Volume 14, pp. 626–637. [Google Scholar]
- Wu, K.; Yang, S.; Zhu, K.Q. False rumors detection on sina weibo by propagation structures. In Proceedings of the 2015 IEEE 31st International Conference on Data Engineering, Seoul, Republic of Korea, 13–17 April 2015; IEEE: Piscataway, NJ, USA, 2015; pp. 651–662. [Google Scholar]
- Barabási, A.L. Network Science; Cambridge University Press: Cambridge, UK, 2016. [Google Scholar]
- Zhao, Z.; Zhao, J.; Sano, Y.; Levy, O.; Takayasu, H.; Takayasu, M.; Li, D.; Wu, J.; Havlin, S. Fake news propagates differently from real news even at early stages of spreading. EPJ Data Sci. 2020, 9, 7. [Google Scholar] [CrossRef]
- Albert, R.; Barabási, A.L. Statistical mechanics of complex networks. Rev. Mod. Phys. 2002, 74, 47. [Google Scholar] [CrossRef]
- Dong, J.; Horvath, S. Understanding network concepts in modules. BMC Syst. Biol. 2007, 1, 24. [Google Scholar] [CrossRef] [PubMed]
- Zhang, J.; Tang, J.; Zhong, Y.; Mo, Y.; Li, J.; Song, G.; Hall, W.; Sun, J. Structinf: Mining structural influence from social streams. In Proceedings of the AAAI Conference on Artificial Intelligence, San Francisco, CA, USA, 4–9 February 2017; Volume 31. [Google Scholar]
- Fu, C.; Zhao, M.; Fan, L.; Chen, X.; Chen, J.; Wu, Z.; Xia, Y.; Xuan, Q. Link weight prediction using supervised learning methods and its application to yelp layered network. IEEE Trans. Knowl. Data Eng. 2018, 30, 1507–1518. [Google Scholar] [CrossRef]
- Ribeiro, M.T.; Singh, S.; Guestrin, C. Anchors: High-precision model-agnostic explanations. In Proceedings of the AAAI Conference on Artificial Intelligence, New Orleans, LA, USA, 2–7 February 2018; Volume 32. [Google Scholar]






| Gossipcop | ||
|---|---|---|
| True news | 205 | 6945 |
| Fake news | 205 | 3684 |
| Users | 173,487 | 739,166 |
| Tweets | 204,820 | 1,058,330 |
| Temporal Features | Description |
|---|---|
| Ctime | Characteristic time. It captures how fast the retweet behavior is among the propagation graph. The specific definition is shown in Section 3.2. |
| Dtime | Max-degree time. The creation time of the node whose degree value is maximum in the graph, which indicates the time when the propagation reaches a key node. |
| Rtime [48] | Response time, which captures the timeliness of the response. The expression is as in Equation (1). |
| Structural Features | Description |
|---|---|
| MaxD [49] | Maximum degree value in the propagation graph. |
| ROL [50] | Ratio of layer sizes. The number of nodes whose distance is 2 to the publisher divided by the number whose distance is 1. |
| BCentr [49] | Average value of betweenness centrality of all nodes. |
| Diameter [51] | Network diameter. The maximum distance between nodes in the propagation graph. |
| AveD [51] | Average degree. The average value of degrees of all nodes in the propagation graph. |
| AvePath [51] | Average shortest path. The average value of the distance of all node pairs in the propagation graph. |
| NoN [49] | Number of nodes in the propagation graph. |
| NoS [49] | Number of subgraphs in the propagation graph. |
| MaxS [49] | Tweet number in the largest subgraph. The number of tweets in the largest subgraph. |
| Hgeneity [52] | Structural heterogeneity, which indicates the connectivity of the propagation graph. The expression is as in Equation (3). |
| Motif [53] | Depth motif degree, which analyzes the graph structure from the micro perspective. The expression is as in Equation (4). |
| Dataset | Anchors | Precision | Coverage |
|---|---|---|---|
| Gossipcop (2.4 h) | Average shortest path > 1.94 AND Number of nodes ≤ 56.00 | 0.92 | 0.03 |
| Gossipcop (12 h) | Diameter ≤ 3.00 | 0.88 | 0.42 |
| Gossipcop (2.4 h subsampled) | Characteristic time ≤ 147.77 AND Average shortest path ≤ 2.00 | 0.95 | 0.30 |
| Gossipcop (12 h subsampled) | Characteristic time ≤ 148.52 AND Average shortest path ≤ 2.03 | 0.97 | 0.40 |
| Twitter (2.4 h) | Characteristic time ≤ 91.63 AND Ratio of layer > 0.76 | 1.00 | 0.11 |
| Twitter (12 h) | Characteristic time ≤ 98.09 AND Diameter ≤ 9.00 | 0.97 | 0.09 |
| Twitter (2.4 h subsampled) | Characteristic time ≤ 50.9 AND Response time > 0.01 | 0.86 | 0.08 |
| Twitter (12 h subsampled) | Characteristic time ≤ 84.40 AND Response time > 0.05 | 0.94 | 0.40 |
Disclaimer/Publisher’s Note: The statements, opinions and data contained in all publications are solely those of the individual author(s) and contributor(s) and not of MDPI and/or the editor(s). MDPI and/or the editor(s) disclaim responsibility for any injury to people or property resulting from any ideas, methods, instructions or products referred to in the content. |
© 2023 by the authors. Licensee MDPI, Basel, Switzerland. This article is an open access article distributed under the terms and conditions of the Creative Commons Attribution (CC BY) license (https://creativecommons.org/licenses/by/4.0/).
Share and Cite
Fu, C.; Pan, X.; Liang, X.; Yu, S.; Xu, X.; Min, Y. Feature Drift in Fake News Detection: An Interpretable Analysis. Appl. Sci. 2023, 13, 592. https://doi.org/10.3390/app13010592
Fu C, Pan X, Liang X, Yu S, Xu X, Min Y. Feature Drift in Fake News Detection: An Interpretable Analysis. Applied Sciences. 2023; 13(1):592. https://doi.org/10.3390/app13010592
Chicago/Turabian StyleFu, Chenbo, Xingyu Pan, Xuejiao Liang, Shanqing Yu, Xiaoke Xu, and Yong Min. 2023. "Feature Drift in Fake News Detection: An Interpretable Analysis" Applied Sciences 13, no. 1: 592. https://doi.org/10.3390/app13010592
APA StyleFu, C., Pan, X., Liang, X., Yu, S., Xu, X., & Min, Y. (2023). Feature Drift in Fake News Detection: An Interpretable Analysis. Applied Sciences, 13(1), 592. https://doi.org/10.3390/app13010592
