A Comparison of Machine Learning Approaches for Predicting Employee Attrition
Abstract
1. Introduction
2. Methods and Dataset
3. Experiments and Results
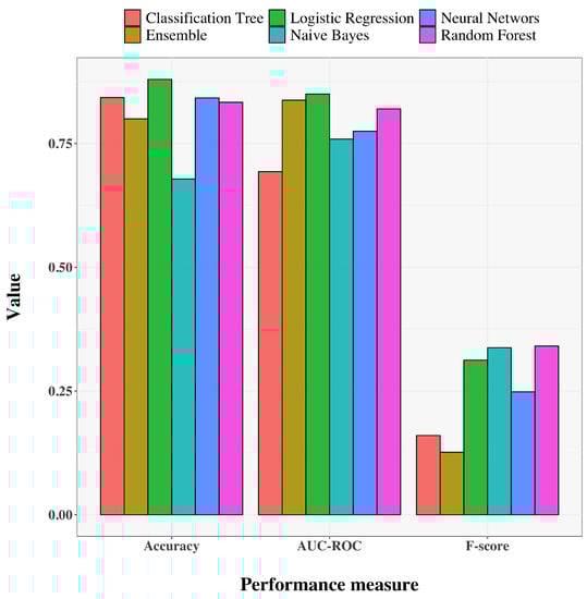
Application of Machine Learning Methods
4. Discussion
5. Conclusions
Author Contributions
Funding
Institutional Review Board Statement
Informed Consent Statement
Data Availability Statement
Conflicts of Interest
Abbreviations
| ML | Machine Learning |
| LR | Logistic Regression |
| CT | Classification Trees |
| RF | Random Forest |
| MLP | Multilayer Perceptron |
| NN | Neural Networks |
References
- Society for Human Resource Management. Human Capital Benchmarking Report; Technical Report; Society for Human Resource Management: Alexandria, VA, USA, 2016. [Google Scholar]
- Ongori, H. A review of the literature on employee turnover. Afr. J. Bus. Manag. 2007, 1, 49–54. [Google Scholar]
- Bennett, N.; Blum, T.C.; Long, R.G.; Roman, P.M. A firm-level analysis of employee attrition. Group Organ. Manag. 1993, 18, 482–499. [Google Scholar] [CrossRef]
- Alao, D.; Adeyemo, A. Analyzing Employee Attrition using Decision Tree Algorithms. Comput. Inf. Syst. Dev. Informatics Allied Res. J. 2013, 4, 17–28. [Google Scholar]
- Punnoose, R.; Ajit, P. Prediction of Employee Turnover in Organizations using Machine Learning Algorithms. Int. J. Adv. Res. Artif. Intell. 2016, 5. [Google Scholar] [CrossRef]
- Frye, A.; Boomhower, C.; Smith, M.; Vitovsky, L.; Fabricant, S. Employee Attrition: What Makes an Employee Quit? SMU Data Sci. Rev. 2018, 1, 9. [Google Scholar]
- Fallucchi, F.; Coladangelo, M.; Giuliano, R.; William De Luca, E. Predicting Employee Attrition Using Machine Learning Techniques. Computers 2020, 9, 86. [Google Scholar] [CrossRef]
- Alduayj, S.S.; Rajpoot, K. Predicting Employee Attrition using Machine Learning. In Proceedings of the 2018 International Conference on Innovations in Information Technology (IIT), Al Ain, United Arab Emirates, 18–19 November 2018; pp. 93–98. [Google Scholar]
- IBM. IBM HR Analytics Employee Attrition & Performance; Kaggle: San Francisco, CA, USA, 2017. [Google Scholar]
- LeCun, Y.; Bengio, Y.; Hinton, G. Deep learning. Nature 2015, 521, 436–444. [Google Scholar] [CrossRef]
- Bianchini, M.; Dimitri, G.M.; Maggini, M.; Scarselli , F. Deep neural networks for structured data. In Computational Intelligence for Pattern Recognition; Springer: Berlin/Heidelberg, Germany, 2018; pp. 29–51. [Google Scholar]
- Spiga, O.; Cicaloni, V.; Dimitri, G.M.; Pettini, F.; Braconi, D.; Bernini, A.; Santucci, A. Machine learning application for patient stratification and phenotype/genotype investigation in a rare disease. Briefings Bioinform. 2021, 22, 434. [Google Scholar] [CrossRef]
- Dimitri, G.M.; Spasov, S.; Duggento, A.; Passamonti, L.; Lió, P.; Toschi, N. Multimodal and multicontrast image fusion via deep generative models. Inf. Fusion 2022, 88, 146–160. [Google Scholar] [CrossRef]
- Pirazzini, C.; Azevedo, T.; Baldelli, L.; Bartoletti-Stella, A.; Calandra-Buonaura, G.; Molin, A.D.; Dimitri, G.M.; Doykov, I.; Gómez-Garre, P.; Hägg, S.; et al. A geroscience approach for Parkinson’s disease: Conceptual framework and design of PROPAG-AGEING project. Mech. Ageing Dev. 2021, 194, 111426. [Google Scholar] [CrossRef]
- Vercellis, C. Business Intelligence: Data Mining and Optimization for Decision Making; Wiley: Chichester, UK, 2009. [Google Scholar]
- Hosmer, D.W., Jr.; Lemeshow, S.; Sturdivant, R.X. Applied Logistic Regression; John Wiley & Sons: New York, NY, USA, 2013; Volume 398. [Google Scholar]
- Breiman, L.; Friedman, J.H.; Olshen, R.A.; Stone, C.J. Classification and Regression Trees; Routledge: London, UK, 1984. [Google Scholar]
- Breiman, L. Random Forests. Mach. Learn. 2001, 45, 5–32. [Google Scholar] [CrossRef]
- Rish, I. An empirical study of the naive Bayes classifier. In Proceedings of the IJCAI 2001 Workshop on Empirical Methods in Artificial Intelligence, Seattle, WA, USA, 4–10 August 2001; pp. 41–46. [Google Scholar]
- Dietterich, T.G. Ensemble methods in machine learning. In Proceedings of the International Workshop on Multiple Classifier Systems, Cambridge, UK, 21–23 June 2000; pp. 1–15. [Google Scholar]
- Costa, C.J.; Aparicio, J.T. POST-DS: A methodology to boost data science. In Proceedings of the 2020 15th Iberian Conference on Information Systems and Technologies (CISTI), Sevilla, Spain, 24–27 June 2020; pp. 1–6. [Google Scholar]
- Wiemer, H.; Drowatzky, L.; Ihlenfeldt, S. Data mining methodology for engineering applications (DMME)—A holistic extension to the CRISP-DM model. Appl. Sci. 2019, 9, 2407. [Google Scholar] [CrossRef]
- Shearer, C. The CRISP-DM model: The new blueprint for data mining. J. Data Warehous. 2000, 5, 13–22. [Google Scholar]
- Benesty, J.; Chen, J.; Huang, Y.; Cohen, I. Pearson Correlation Coefficient. In Noise Reduction in Speech Processing; Springer: Berlin/Heidelberg, Germany, 2009; pp. 1–4. [Google Scholar]
- Fawcett, T. An introduction to ROC analysis. Pattern Recognit. Lett. 2006, 27, 861–874. [Google Scholar] [CrossRef]
- Patro, S.G.K.; Sahu, K.K. Normalization: A Preprocessing Stage. CoRR 2015. [Google Scholar] [CrossRef]
- Buhrmester, V.; Münch, D.; Arens, M. Analysis of explainers of black box deep neural networks for computer vision: A survey. Mach. Learn. Knowl. Extr. 2021, 3, 966–989. [Google Scholar] [CrossRef]
- Doshi-Velez, F.; Kim, B. Towards a rigorous science of interpretable machine learning. arXiv 2017, arXiv:1702.08608. [Google Scholar]
- Rudin, C. Stop explaining black box machine learning models for high stakes decisions and use interpretable models instead. Nat. Mach. Intell. 2019, 1, 206–215. [Google Scholar] [CrossRef]
- Angelov, P.; Soares, E. Towards explainable deep neural networks (xDNN). Neural Netw. 2020, 130, 185–194. [Google Scholar] [CrossRef]
- Scarselli, F.; Gori, M.; Tsoi, A.C.; Hagenbuchner, M.; Monfardini, G. The graph neural network model. IEEE Trans. Neural Netw. 2008, 20, 61–80. [Google Scholar] [CrossRef]
- Gilmer, J.; Schoenholz, S.S.; Riley, P.F.; Vinyals, O.; Dahl, G.E. Neural message passing for quantum chemistry. In Proceedings of the International Conference on Machine Learning, PMLR, Sydney, Australia, 6–11 August 2017; pp. 1263–1272. [Google Scholar]
- Guerranti, F.; Mannino, M.; Baccini, F.; Bongini, P.; Pancino, N.; Visibelli, A.; Marziali, S. CaregiverMatcher: Graph Neural Networks for Connecting Caregivers of Rare Disease Patients. Procedia Comput. Sci. 2021, 192, 1696–1704. [Google Scholar] [CrossRef]
- Kosasih, E.E.; Brintrup, A. A machine learning approach for predicting hidden links in supply chain with graph neural networks. Int. J. Prod. Res. 2022, 60, 5380–5393. [Google Scholar] [CrossRef]





| Age | Job involvement † | Relationship satisfaction † |
| Attrition | Job level | Stock option level |
| Business travel | Job role | Total working years |
| Daily rate | Job satisfaction | Work life balance |
| Department | Marital status | Years at company |
| Distance from home | Monthly income | Years in current role |
| Environment satisfaction | Monthly rate | Years with current manager |
| Education | Number of previous companies | |
| Education field | Over time |
| Accuracy (Train) | Accuracy (Test) | F-Score (Test) | AUC-ROC (Test) | |
|---|---|---|---|---|
| LR | 89.86 ± 0.57 | 87.96 ± 1.84 | 31.26 ± 3.97 | 85.01 ± 1.92 |
| CT | 88.81 ± 0.04 | 84.29 ± 2.06 | 16.03 ± 3.33 | 69.33 ± 4.18 |
| RF | 96.11 ± 0.61 | 82.93 ± 2.47 | 33.13 ± 3.32 | 81.49 ± 3.06 |
| NB | 68.57 ± 0.76 | 67.82 ± 2.50 | 33.78 ± 2.70 | 75.90 ± 3.83 |
| NN | 98.91 ± 0.13 | 84.76 ± 2.27 | 26.12 ± 2.55 | 77.56 ± 1.66 |
| Ensemble | 86.09 ± 8.68 | 79.25 ± 2.43 | 12.22 ± 8.75 | 83.83 ± 1.91 |
Disclaimer/Publisher’s Note: The statements, opinions and data contained in all publications are solely those of the individual author(s) and contributor(s) and not of MDPI and/or the editor(s). MDPI and/or the editor(s) disclaim responsibility for any injury to people or property resulting from any ideas, methods, instructions or products referred to in the content. |
© 2022 by the authors. Licensee MDPI, Basel, Switzerland. This article is an open access article distributed under the terms and conditions of the Creative Commons Attribution (CC BY) license (https://creativecommons.org/licenses/by/4.0/).
Share and Cite
Guerranti, F.; Dimitri, G.M. A Comparison of Machine Learning Approaches for Predicting Employee Attrition. Appl. Sci. 2023, 13, 267. https://doi.org/10.3390/app13010267
Guerranti F, Dimitri GM. A Comparison of Machine Learning Approaches for Predicting Employee Attrition. Applied Sciences. 2023; 13(1):267. https://doi.org/10.3390/app13010267
Chicago/Turabian StyleGuerranti, Filippo, and Giovanna Maria Dimitri. 2023. "A Comparison of Machine Learning Approaches for Predicting Employee Attrition" Applied Sciences 13, no. 1: 267. https://doi.org/10.3390/app13010267
APA StyleGuerranti, F., & Dimitri, G. M. (2023). A Comparison of Machine Learning Approaches for Predicting Employee Attrition. Applied Sciences, 13(1), 267. https://doi.org/10.3390/app13010267

