Abstract
Terzaghi proposed two-dimensional (2D) arching theory through trapdoor tests based on the assumption of a vertical slip surfaces. However, the original 2D assumption is different from a real three-dimensional (3D) excavation condition and actual slip surfaces caused by the downward movement of a trapdoor are inclined surfaces. Therefore, a 3D theoretical model was proposed in this study considering inclined slip surfaces. Horizontal thin-layer differential element method was used to obtain the loosening soil pressure. Using the 3D theoretical model, the effects of the buried depth ratio of loose area, length of loose area, soil parameters, and lateral earth pressure coefficient were investigated. The loosening earth pressure was highly affected by inclination angle of slip surface, buried depth ratio and length of loose area. Neglecting the inclined slip surface will underestimate the value of the loosening earth pressure, which will lead to the insecurity of the design. Loosening earth pressure calculated by this study was also compared with trapdoor tests. Results from this study was in good agreement with the experimental results. Compared with the traditional 2D solution, results from this study can more accurately analyze the soil arching effect in 3D excavation cases.
1. Introduction
Load transformation from the yielding part of soil to an adjacent part is known as the soil-arching effect, which plays an important role in the design of various geotechnical infrastructures. Terzaghi’s trapdoor test was an important milestone in the development of theories on soil arching. Terzaghi then proposed two-dimensional (2D) arching theory through trapdoor tests using horizontal thin-layer differential element analysis method based on the assumption of vertical slip surfaces [1]. After that, many researchers have performed trapdoor test to study the soil-arching effect [2,3,4,5,6,7,8,9].
Terzaghi’s solution is widely used by practical engineering in filed applications because of its simplicity. However, the assumption that the slip surfaces are vertical may not be suitable for all kinds of soil and engineering conditions. Inclined slip surfaces on a trapdoor have been observed in many experimental studies. Evans [4] and Tien [10] observed non-vertical slip surfaces in their model tests. Costa et al. [7] carried out a series of trapdoor tests. Different slip surfaces were observed in tests including the final slip surface inclined to the outside of trapdoor. Papamichos et al. [11] conducted circular retracting Trapdoor model testes and the results showed that slip surfaces tend to have a trapezoid shape in shallower cover soils. Pardo and Sáez [12] carried out a trapdoor model test and corresponding numerical simulation. It was found that the final slip surfaces were slightly outward inclined in the tests and simulation results. Rui et al. [13] found three kinds of soil-arching evolution patterns in Trapdoor tests and described the inclination of the slip surfaces.
Many scholars have carried out relevant research by using the assumption of inclined slip surfaces. Shukla and Sivakugan [14] presented arching theory assuming basin-shaped slip surfaces close to the actual slip surfaces. British Standards [15] also adopted this kind of slip surface model. Gong et al. [16] proposed a method for calculating the loosening earth pressure based on the ellipsoid theory of particle flows using an ellipse slip face. Lai et al. [17] proposed analytical solutions for shallow cohesive soils overlying trench voids under various slip surfaces in the shape of vertical, trapezoid, spiral or arching.
Most studies on the soil-arching effect are based on 2D conditions, but in practical engineering the soil-arching effect happens under three-dimensional (3D) conditions. For example, during the process of tunnel excavation, the stress-transfer phenomenon caused by soil-arching happens not only in the transverse section, but also in the longitudinal section. Many experimental and theoretical studies have been performed under 3D conditions. Hewlett and Randolph [18] established a 3D analytical model of a circle-shaped arch for a plane-strain geometry. Adachi et al. [19] performed three-dimensional trapdoor experiments to study the mechanical behavior in tunnel excavations. Li et al. [20] formulated a three-dimensional analytical solution to evaluate stresses in backfilled vertical narrow openings using vertical slip surfaces. Son [21] deduced the solution of loose earth pressure in the case of 3D inclined slip surfaces, but there were some omissions in the derivation. Chevalier and Otani [22] presented experimental and numerical studies of the trapdoor problem in 3D with a rectangular trapdoor. Ma and Huang [23] studied the 3D effect of soil arching in piled embankments by discrete element simulation.
However, there are still few theoretical studies on the 3D soil-arching effect considering the inclined slip surface. Therefore, a 3D theoretical model was proposed in this study considering inclined slip surfaces. Horizontal thin-layer differential element method was used to obtain the loosening soil pressure. The 3D solution is verified with the traditional analytical solutions in the case of 2D simplification. Using the 3D theoretical model, the effects of buried depth ratio of loose area, length of loose area, soil parameters, and lateral earth pressure coefficient were investigated. Results from this study was in good agreement with the experimental results. Compared with the traditional two-dimensional solution, results from this study can more accurately analyze the soil-arching effect in 3D excavation cases.
2. Derivation of 2D Theoretical Model for Soil Arching with Inclined Slip Surfaces
Terzaghi’s formulation [1] is based on the equilibrium of a thin horizontal differential element of a soil mass. Several assumptions were made in Terzaghi’s formulation. The soil was assumed as homogeneous, isotropic and semi-infinite Mohr–Coulomb material. The slip surfaces between the loose area and stable area were assumed as vertical. Moreover, the shear strength on slip surfaces were fully mobilized. Terzaghi’s formulation is shown as follows:
where is vertical stress, z is the depth of soil differential element, is the unit weight of soil, c is the cohesive of soil, is the internal friction angle of soil, B is the width of loose zone induced by excavation, K is the coefficient of earth pressure.
Shukla and Sivakugan [14] made an attempt to consider slip surfaces closer to the actual slip surfaces in the analysis in 2D condition as shown in Figure 1 The forces acting on the soil differential element in 2D condition can be seen in Figure 2.
Figure 1.
Inclined slip surfaces along with soil differential element subjected to stresses in 2D condition.
Figure 2.
Forces acting on the soil differential element in 2D condition.
Assuming that the failure of slip surface follows Mohr–Coulomb failure criterion, a vertical equilibrium equation of the soil differential element can be obtained according to the vertical force balance.
where is the angle between slip surface and horizontal direction, is the normal stress perpendicular to slip surface.
According to relevant test results [4,7,10], is usually not very small. Therefore, the second-order infinitesimal in Equation (2) can be ignored. By simplifying and ignoring the second-order infinitesimal, it can be obtained from Equation (2):
According to the equilibrium conditions at both ends of the differential element:
Substitute (4) into (3) will obtain an ordinary differential equation:
It can be found that when = 90° in Equation (5), the Terzaghi’s formulation shown in Equation (1) will be derived.
Defining P, Q, R and S as follows:
The general solution of the differential equation can be obtained as follows:
is the parameter in the solution process which can be obtained by boundary conditions. The boundary condition is shown as follows:
The parameter can be solved according to the boundary condition. The earth pressure can be obtained as follows:
3. Derivation of 3D Theoretical Model for Soil Arching with Inclined Slip Surfaces
This study expands Shukla and Sivakugan [14] 2D theoretical model for soil arching with inclined slip surfaces to 3D conditions. Figure 3 shows the assumed inclined slip surfaces along with soil differential element subjected to stresses. It is also assumed that the soil is homogeneous, isotropic, and semi-infinite.
Figure 3.
Inclined slip surfaces along with soil differential element subjected to stresses in 3D condition.
The 3D model for soil arching with inclined slip surfaces is shown in Figure 4. The slip surfaces incline outside along excavation loosening zone. Assuming that the failure of slip surface follows the Mohr–Coulomb failure criterion, a vertical equilibrium equation of the soil differential element can be obtained according to the vertical force balance.
where is the unit weight of soil, c is the cohesiveness of soil, is the internal friction angle of soil, B is the width of the loose zone induced by excavation, H is the depth of loosening soil, L is the length of the loose zone induced by excavation, is the angle between slip surface and horizontal direction, z is the depth of the soil differential element, is vertical stress, is normal stress perpendicular to the width direction, is the normal stress perpendicular to the length direction.
Figure 4.
Forces acting on the soil differential element in 3D condition.
According to the equilibrium conditions at both ends of the differential element, the following can be obtained:
where is the coefficient of earth pressure perpendicular to the width direction, is the coefficient of earth pressure perpendicular to the length direction. Substitute Equations (11) and (12) into Equation (10). By simplifying and ignoring the second-order infinitesimal, the ordinary differential equation of vertical force on soil differential element can be obtained.
The boundary condition is the surface load q, so the boundary condition equation is expressed as follows:
According to the boundary condition Equation (14), the only solution of ordinary differential Equation (13) can be determined; that is, to solve the initial value problem of ordinary differential equations. However, the ordinary differential Equation (13) is so complex that it is difficult to give the explicit expression of the solution. Therefore, the fourth-order Runge–Kutta method is used to calculate the vertical stress of soil when the depth is z by matlab programming.
The ordinary differential Equation (13) can be written as:
and the calculation formula of the fourth-order Runge–Kutta method is expressed as follows:
where i is the length of integral step and , , , are integral parameters.
An example is used to verify whether the 3D theoretical model for loose earth pressure with inclined slip surfaces is consistent with two-dimensional loose-earth pressure solution mentioned above. Multiply both sides of Equation (13) by , Equation (13) can be written as:
It can be found that Equation (17) has the same form as the 2D ordinary differential Equation (5) when L tends to infinity.
A specific case is also used for validation. In this case, the following parameters H = 15 m, B = 3 m, = 35°, c = 0 kPa, q = 0 kPa and = 18 kN/ are used for calculation. In the 3D example, the value of L is 1000 m, which is approximately considered to degenerate into a 2D case. The calculation results are shown in Figure 5.
Figure 5.
Earth pressure ratio versus depth under different angle of slip surface.
It can be obtained from the calculation results that the curve of the earth pressure ratio versus depth under different angles of slip surface calculated by a degenerated 3D solution is consistent with the results of the 2D solution; thus, the correctness of the 3D solution can be verified.
4. Analysis of Parameters on Loose Earth Pressure under 3D Inclined Slip Surface Condition
In order to study the influence of parameters on loose-earth pressure under a 3D inclined slip surface condition, a series of cases are carried out. The buried depth ratio of the loose zone, the length of the loose zone, the soil parameters and the lateral earth pressure coefficient are taken into account, and corresponding analysis is carried out. The parameters for special cases are shown in Table 1.
Table 1.
The parameters for different cases.
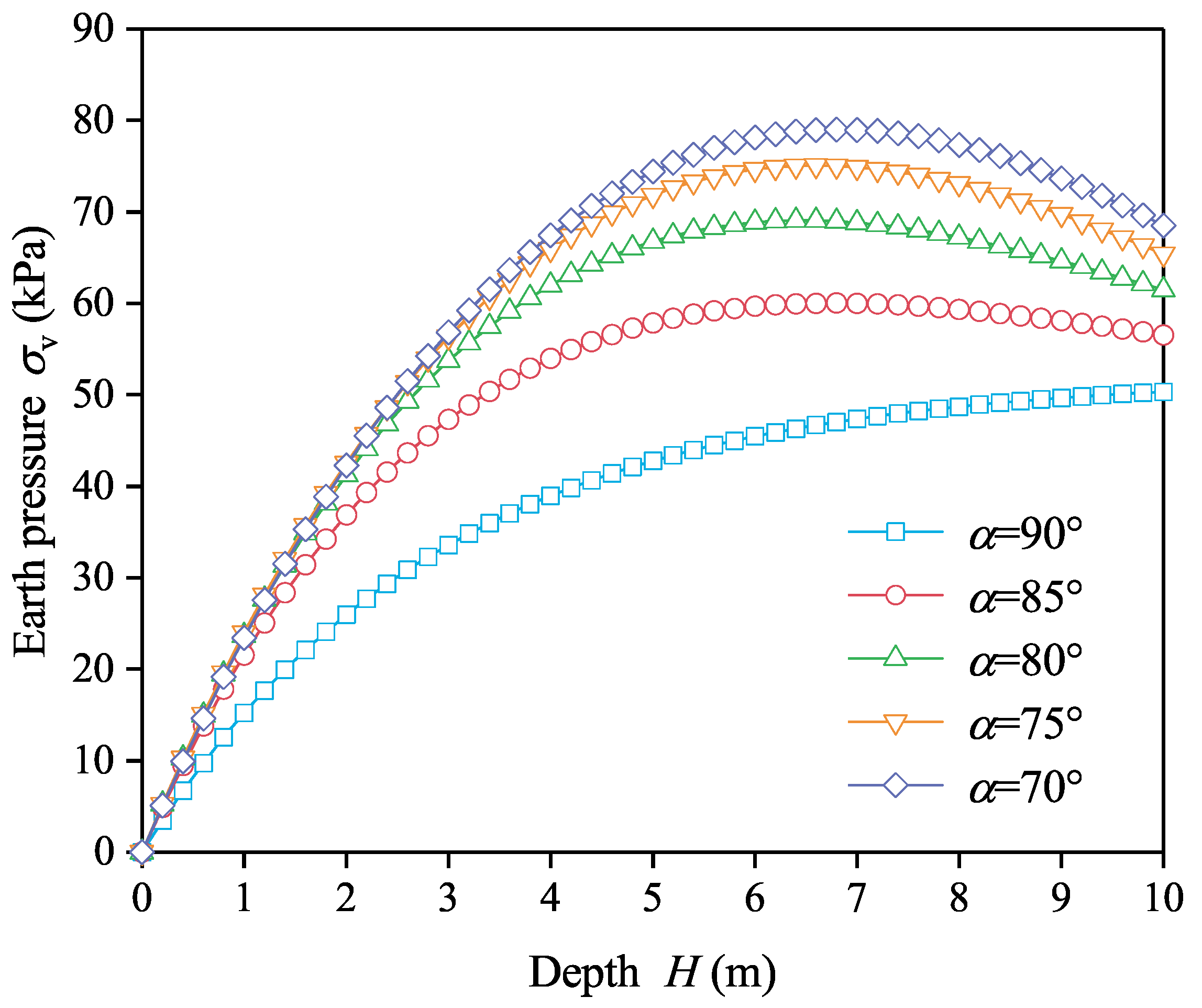
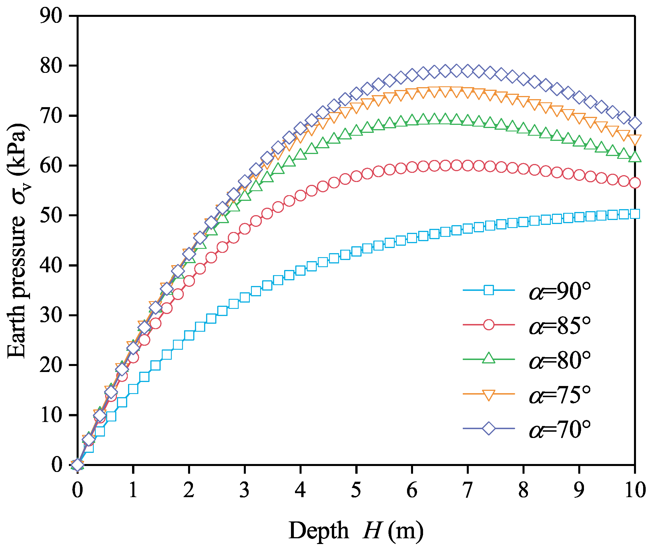
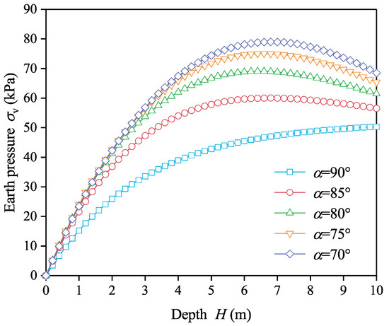
In case 1, the earth pressure under different angles of the slip surface is calculated and the other parameters in case 1 are consistent. It can be seen from the results shown in Figure 6 that the earth pressure at each depth increases with the decrease of the angle of the slip surface. This is mainly because the upward component provided by the shear resistance between slip surfaces decreases when the angle of the slip surface decreases. It also can be found that the maximum earth pressure may not occur at the bottom of the soil when the angle of the slip surface is small. The maximum earth pressure may occur somewhere in the middle of the soil.
Figure 6.
Earth pressure versus depth under different angles of the slip surface.
The influence of the angle of the slip surface and the aspect ratio of the loose area are studied in case 2. The results are shown in Figure 7. The loose-earth pressure also shows the same trend as mentioned before under different angles of the slip surface.
Figure 7.
Earth pressure versus aspect ratio of loose area under different angles of the slip surface.
The depth of soil and the aspect ratio of the loose area are studied in case 3. The calculated earth pressure versus the aspect ratio of the loose area under different slip surface angles are shown in Figure 8. It can be seen from results that the earth pressure ratio at the bottom of the loose area is small when the buried depth ratio of the loose area is large. This is because the stress redistribution is more likely to occur due to the increase of the length of the slip surface when the buried depth ratio is larger. The calculation results under different aspect ratios of the loose zone also show the same trend. When = 1, the loose earth pressure is 42% to 61% of the total self-weight earth pressure under different aspect ratios. When = 2, it will be 25% to 42% of the total self-weight earth pressure. When = 3, it will be 17% to 31%, and when = 4, the loose earth pressure is only 13% to 24% of the total self-weight earth pressure.
Figure 8.
Earth pressure ratio versus aspect ratio of loose area under different buried depth ratios of loose area.
The influences of soil parameters are studied in cases 4 and 5. Figure 9 shows the influence of the internal friction angle of soil and Figure 10 shows the influence of the cohesion stress of soil. Loose earth pressure is closely related to soil parameters. For frictional soil, the greater the internal friction angle, the more obvious the soil-arching effect and the smaller the soil pressure will be. For cohesive soil, the larger the internal friction angle and cohesion are, the more obvious the soil-arching effect and the smaller the soil pressure will be. The loose-earth pressure when the internal friction angle is 40 degrees is 53% to 65% of that when the internal angle is 25 degrees for different loosing zone aspect ratios. The loose earth pressure when the cohesive stress of soil is 15 kPa is 37% to 60% of that when the cohesive stress of soil is zero. It can be found that when the aspect ratio of the loose zone is small, the influence of the soil parameters on the loose soil pressure is greater than that when the aspect ratio of the loose zone is large.
Figure 9.
Earth pressure versus aspect ratio of loose area under different internal friction angles of soil.
Figure 10.
Earth pressure versus aspect ratio of loose area under different cohesion stresses of soil.
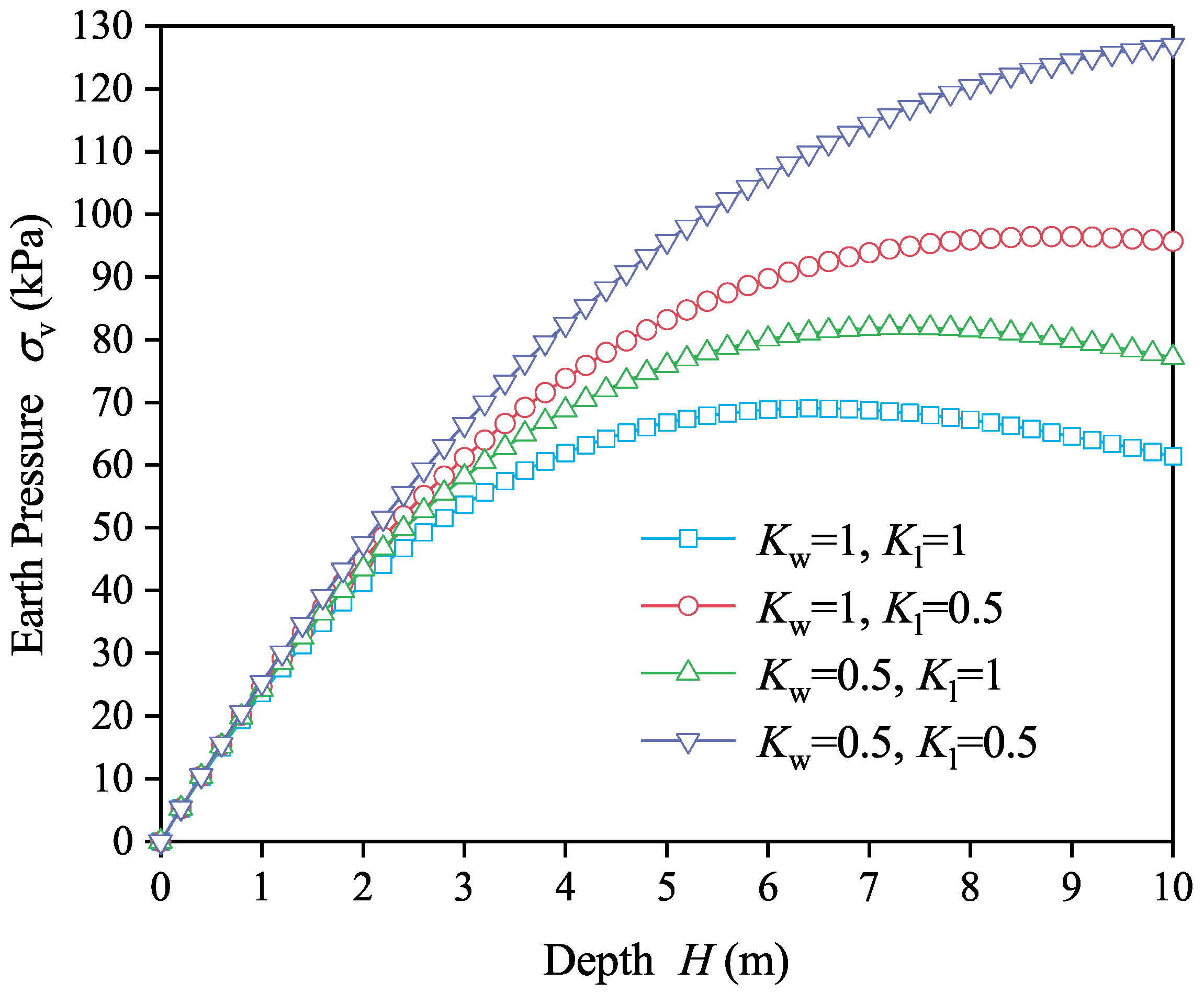
In practical engineering, due to the different geological conditions and boundary conditions of the soil layer, different earth pressure coefficients may exist in the length and width of the excavation loose area. Therefore, the different soil pressure coefficients in two directions of length and width are considered, and the corresponding calculation and analysis cases 6 and 7 are carried out.
It has been found in the 2D solution that different earth pressure coefficients have great influence on the calculation results of loose earth pressure. The smaller the earth pressure coefficient is, the closer the calculated results are to the total self-weight earth pressure. It can be found in Figure 11 and Figure 12 that this trend still exists in the 3D solution.
Figure 11.
Earth pressure versus depth under different earth pressure coefficients.
Figure 12.
Earth pressure versus aspect ratio of loose area under earth different pressure coefficients.
In addition, it can be seen from Figure 11 that for the situation of B = 5 m and L=10 m, the earth pressure under = 1, = 0.5 is greater than that under = 0.5, = 1. This is mainly because the length of length direction corresponding to is longer than that of width direction corresponding to , so plays a leading role relative to . Figure 12 shows that when the aspect ratio of the loose zone is large, it is approximately close to the 2D state, so the soil pressure is mainly affected by .
Figure 7, Figure 8, Figure 9 and Figure 10 and Figure 12 show the earth pressure results under different conditions and different aspect ratios of loose zones. It can be found that for all cases, the greater the aspect ratio of the loose zone is, the greater the loose-earth pressure will be. In other words, the traditional 2D solution which cannot consider the sliding surface at both ends will underestimate the soil-arching effect and overestimate the loose-earth pressure under the 3D condition with a small aspect ratio. This will overestimate the loose-earth pressure to a certain extent, resulting in inaccurate design.
The calculation results by 2D solution are close to results by 3D solution when the aspect ratio increases. Figure 12 shows that when = 10, the difference between the results under 2D assumption and 3D assumption is 4.1% when = 1, the difference is 6.1% when = 2, the difference is 4.1% when = 3, and the difference is 7.6% when = 4. Therefore, it can be considered that when > 10, the 2D assumption can be approximately used instead of the 3D assumption.
5. Comparison with Experimental Tests
Experiment tests results are compared with the results from the proposed 3D solution with inclined slip surface. Liang et al. [24] conducted three groups of trapdoor tests with buried depth ratios equal to 1, 2, and 4, respectively. The width and length of the trapdoor in the tests were 0.25 m and 0.5 m, respectively. The internal friction angle of well-graded sands was 31.6°. According to the image of test results, the angle of the slip surfaces is considered as 85° in the following calculation. The comparison is shown in Figure 13 It can be seen from the comparison that the calculation results from this paper considering 3D conditions are slightly less than that of Terzaghi’s solution. The results by 3D solution in this paper is closer to the test results when the buried depth ratio is small. The results by Terzaghi’s solution is closer to the test results when the buried depth ratio is large. This is because the front wall of the model test chamber is made by toughened glass plate and the other steel walls of the model test chamber are attached with thin Teflon films. The toughened glass plate and thin Teflon films can be regarded as smooth enough to mitigate the effect of friction. In the case of a large buried depth ratio, the 3D solution in this paper treat the front and back wall of the test chamber as slip surface equivalent to the left and right sides, which leads to the smaller results of the calculated earth pressure.
Figure 13.
Comparison of tests results (Liang et al. [24]) and 3D solution.
Adachi et al. [19] developed and performed 3D Trapdoor experiments to clarify the mechanical behavior in tunnel excavations. In the test, a series of adjacent trapdoors gradually lowered down, one-by-one to simulate the soil loosening during shield tunneling. For all trapdoors, the width of the cross-section is 150 mm. For trapdoors numbers 1 and 6, the lengths were 200 mm, while they were 150 mm for trapdoors numbers 2, 3, 4 and 5. The loads applied to the Trapdoors are measured by load cells. The tests results and calculated results by presented solution and Terzaghi’s solution for difference buried depth ratio are shown in Figure 14, Figure 15 and Figure 16, respectively. It can be found from results that the earth pressure ratio increases with the increase of the aspect ratio of the loose zone with the test process. The traditional 2D Terzaghi solution can not reflect this trend, but the 3D solution in this paper can reflect this trend. When part of the trapdoors were lowered down, such as when the aspect ratio of the loose zone was 1.33, the earth pressure ratio obtained by Terzaghi’s solution were very different to the test results, and the results obtained by the solution in this paper were closer to the tests results. When all of the trapdoors were lowered down, such as when the aspect ratio of the loose zone was 6.67, the earth pressure ratio obtained by Terzaghi’s solution and the solution in this paper were both close to the test results. The comparison between the solution in this paper and the test results shows that the solution in this paper is more accurate than the traditional 2D solution for calculating loose-earth pressure, especially in 3D conditions.
Figure 14.
Comparison of tests results (Adachi et al. [19]) and 3D solution under B = 1.
Figure 15.
Comparison of tests results (Adachi et al. [19]) and 3D solution under B = 2.
Figure 16.
Comparison of tests results (Adachi et al. [19]) and 3D solution under B = 4.
6. Conclusions
Based on Terzaghi’s 2D arching theory based on the assumption of a vertical slip surfaces, the derivation of a 2D and 3D theoretical model for soil arching with inclined slip surfaces is presented in this paper. Assuming soil mass as a homogeneous, isotropic and semi-infinite Mohr–Coulomb material, the thin-layer differential element method is adopted to obtain the loosening soil pressure. The 3D solution is verified with the traditional solution in the case of 2D simplification. Several cases have been conducted to investigate the effects of the buried depth ratio of the loose area, the length of loose area, soil parameters, and lateral earth pressure coefficient on the loose-earth pressure. The results of the proposed solution were then compared with test results. Several conclusions can be drawn, as follows:
1. The 2D solution with inclined slip surfaces can degenerate into the classical Terzaghi’s solution when the angle of inclined slip surfaces is 90 degrees. Additionally, the 3D solution with inclined slip surfaces can degenerate into 2D when the length of the loose zone trends to be infinite, which can verify the correctness of the solution in this paper.
2. The loose-earth pressure is far less than the self-weight earth pressure due to the existence of the soil-arching effect for both frictional soil and cohesive soil. The earth pressure ratio at each depth increases with the decreases of the angle of inclined slip surfaces. If the angle of the slip surfaces is close to 0, the slip surface is approximately parallel to the bottom, which means no soil-arching effect will happen.
3. The earth pressure ratio decreases with the increase of the buried depth ratio. For shallow excavation, the change of the angle of the slip surface has little effect on the loose earth pressure. However, for deep excavation, the change of the angle of the slip surface has great effect on the loose-earth pressure. Using traditional Terzaghi’s solution with the assumption of vertical slip surfaces will underestimate the value of the loose-earth pressure for deep excavation condition. It will cause it to be unsafe in design, which needs to be paid attention to in engineering practice.
4. The soil-arching effect is closely related to soil parameters. The larger the internal friction angle and cohesion of soil, the smaller the value of the loose-earth pressure. The smaller the earth pressure coefficient is, the closer the calculated result is to the self-weight earth pressure. If the earth pressure coefficients in the length and width directions of the excavation loose area are different, the influence of the earth pressure coefficients in the two directions on the results also depends on the aspect ratio of the excavation loose area.
5. For the 3D soil-arching effect with a small aspect ratio, the 2D solution will underestimate the soil-arching effect and overestimate the loose-earth pressure, resulting in conservative design. The 2D assumption can be approximately used instead of the 3D assumption when the aspect ratio > 10.
6. The loose-earth pressure results by 3D solution in this paper are in good agreement with the experimental results. Compared with the traditional 2D solution, the solution in this paper can analyze and calculate the soil-arching effect more accurately.
Author Contributions
Conceptualization, Q.C.; Project administration, Q.C.; Software, B.Z.; Validation, C.X.; Writing—original draft, L.L.; Writing—review & editing, Q.C. and X.G. All authors have read and agreed to the published version of the manuscript.
Funding
The financial supports from National Natural Science Foundation of China (NSFC Grant No. 52008373) and Natural Science Foundation of Zhejiang Province of China (No. Q22E080445) are greatly acknowledged.
Institutional Review Board Statement
Not applicable.
Informed Consent Statement
Not applicable.
Data Availability Statement
Not applicable.
Conflicts of Interest
The authors declare no conflict of interest.
References
- Terazaghi, K. Theoretical Soil Mechanics; John Wiley and Sons: Hoboken, NJ, USA, 1965. [Google Scholar]
- Ladanyi, B.; Hoyaux, B. A study of the trap-door problem in a granular mass. Can. Geotech. J. 1969, 6, 1–14. [Google Scholar] [CrossRef]
- Vardoulakis, I.; Graf, B.; Gudehus, G. Trap-door problem with dry sand: A statical approach based upon model test kinematics. Int. J. Numer. Anal. Methods Geomech. 1981, 5, 57–78. [Google Scholar] [CrossRef]
- Evans, C.H. An Examination of Arching in Granular Soils. Ph.D. Thesis, Massachusetts Institute of Technology, Cambridge, MA, USA, 1983. [Google Scholar]
- Dewoolkar, M.M.; Santichaianant, K.; Ko, H.Y. Centrifuge modeling of granular soil response over active circular trapdoors. Soils Found. 2007, 47, 931–945. [Google Scholar] [CrossRef] [Green Version]
- Chevalier, B.; Combe, G.; Villard, P. Experimental and Numerical Study of the Response of Granular Layer in the Trap-door Problem. In AIP Conference Proceedings; American Institute of Physics: College Park, MD, USA, 2009; Volume 1145, pp. 649–652. [Google Scholar]
- Costa, Y.D.; Zornberg, J.G.; Bueno, B.S.; Costa, C.L. Failure mechanisms in sand over a deep active trapdoor. J. Geotech. Geoenviron. Eng. 2009, 135, 1741–1753. [Google Scholar] [CrossRef]
- Iglesia, G.R.; Einstein, H.H.; Whitman, R.V. Investigation of soil arching with centrifuge tests. J. Geotech. Geoenviron. Eng. 2014, 140, 04013005. [Google Scholar] [CrossRef]
- Zhao, Y.; Gong, Q.; Wu, Y.; Tian, Z.; Zhou, S.; Fu, L. Progressive failure mechanism in granular materials subjected to an alternant active and passive trapdoor. Transp. Geotech. 2021, 28, 100529. [Google Scholar] [CrossRef]
- Heisen-Jen, T. A Literature Study of the Arching Effect. Ph.D. Thesis, Taiwan University, Taipei, Taiwan, 1990; pp. 123–125. [Google Scholar]
- Papamichos, E.; Vardoulakis, I.; Heil, L. Overburden modeling above a compacting reservoir using a trap door apparatus. Phys. Chem. Earth Part Solid Earth Geod. 2001, 26, 69–74. [Google Scholar] [CrossRef]
- Pardo, G.; Sáez, E. Experimental and numerical study of arching soil effect in coarse sand. Comput. Geotech. 2014, 57, 75–84. [Google Scholar] [CrossRef]
- Rui, R.; van Tol, F.; Xia, Y.y.; van Eekelen, S.; Hu, G. Evolution of soil arching: 2D analytical models. Int. J. Geomech. 2018, 18, 04018056. [Google Scholar] [CrossRef]
- Shukla, S.; Gaurav; Sivakugan, N. A simplified extension of the conventional theory of arching in soils. Int. J. Geotech. Eng. 2009, 3, 353–359. [Google Scholar] [CrossRef]
- AC01895560, A. Code of Practice for Strengthened/Reinforced Soils and Other Fills; BSi: London, UK, 1995. [Google Scholar]
- Gong, Q.M.; Zhang, R.L.; Zhou, S.H. Method for calculating loosening earth pressure around tunnels based on ellipsoid theory of particle flows. Chin. J. Geotech. Eng. 2017, 39, 99–105. [Google Scholar]
- Lai, F.; Chen, S.; Xue, J.; Chen, F. New analytical solutions for shallow cohesive soils overlying trench voids under various slip surfaces. Transp. Geotech. 2020, 25, 100411. [Google Scholar] [CrossRef]
- Hewlett, W.; Randolph, M. Analysis of piled embankments. In International Journal of Rock Mechanics and Mining Sciences and Geomechanics Abstracts; Elsevier Science: Amsterdam, The Netherlands, 1988; Volume 25, pp. 297–298. [Google Scholar]
- Adachi, T.; Kimura, M.; Kishida, K. Experimental study on the distribution of earth pressure and surface settlement through three-dimensional trapdoor tests. Tunn. Undergr. Space Technol. 2003, 18, 171–183. [Google Scholar] [CrossRef]
- Li, L.; Aubertin, M.; Belem, T. Formulation of a three dimensional analytical solution to evaluate stresses in backfilled vertical narrow openings. Can. Geotech. J. 2005, 42, 1705–1717. [Google Scholar] [CrossRef]
- Son, M. Three-dimensional expansion of the terzaghi arching formula considering inclined sliding surfaces and examination of its effects. Int. J. Geomech. 2017, 17, 06016043. [Google Scholar] [CrossRef]
- Chevalier, B.; Otani, J. 3-D arching effect in the trap-door problem: A comparison between X-ray CT scanning and DEM analysis. In GeoFlorida 2010: Advances in Analysis, Modeling & Design; ASCE: Reston, VA, USA, 2010; pp. 570–579. [Google Scholar]
- Ma, Y.; Lü, X.; Huang, M. DEM study of the three dimensional effect of soil arching in piled-embankments. In Civil Infrastructures Confronting Severe Weathers and Climate Changes Conference; Springer: Berlin/Heidelberg, Germany, 2018; pp. 36–44. [Google Scholar]
- Liang, L.; Xu, C.; Chen, Q.; Chen, Q. Experimental and theoretical investigations on evolution of soil-arching effect in 2D trapdoor problem. Int. J. Geomech. 2020, 20, 06020007. [Google Scholar] [CrossRef]
Publisher’s Note: MDPI stays neutral with regard to jurisdictional claims in published maps and institutional affiliations. |
© 2022 by the authors. Licensee MDPI, Basel, Switzerland. This article is an open access article distributed under the terms and conditions of the Creative Commons Attribution (CC BY) license (https://creativecommons.org/licenses/by/4.0/).















