A Metagenetic Insight into Microbial Diversity of Spontaneously Fermented Polish Red Wines and an Analysis of Selected Physicochemical Properties
Abstract
:1. Introduction
2. Materials and Methods
2.1. Materials
2.2. Production of Wines
2.3. Isolation of DNA
2.4. Metagenetic Analysis
2.5. Chemical Analysis of Wine Parameters
2.5.1. Determination of Alcohol Content (ETH)
2.5.2. Determination of pH and Total Acidity (TA)
2.5.3. Determination of Total Polyphenol Content (TPC)
2.5.4. Determination of Antioxidant Activity (DPPHA)
2.5.5. Analysis of Sugars and Organic Acids
2.5.6. Statistical Analysis
3. Results
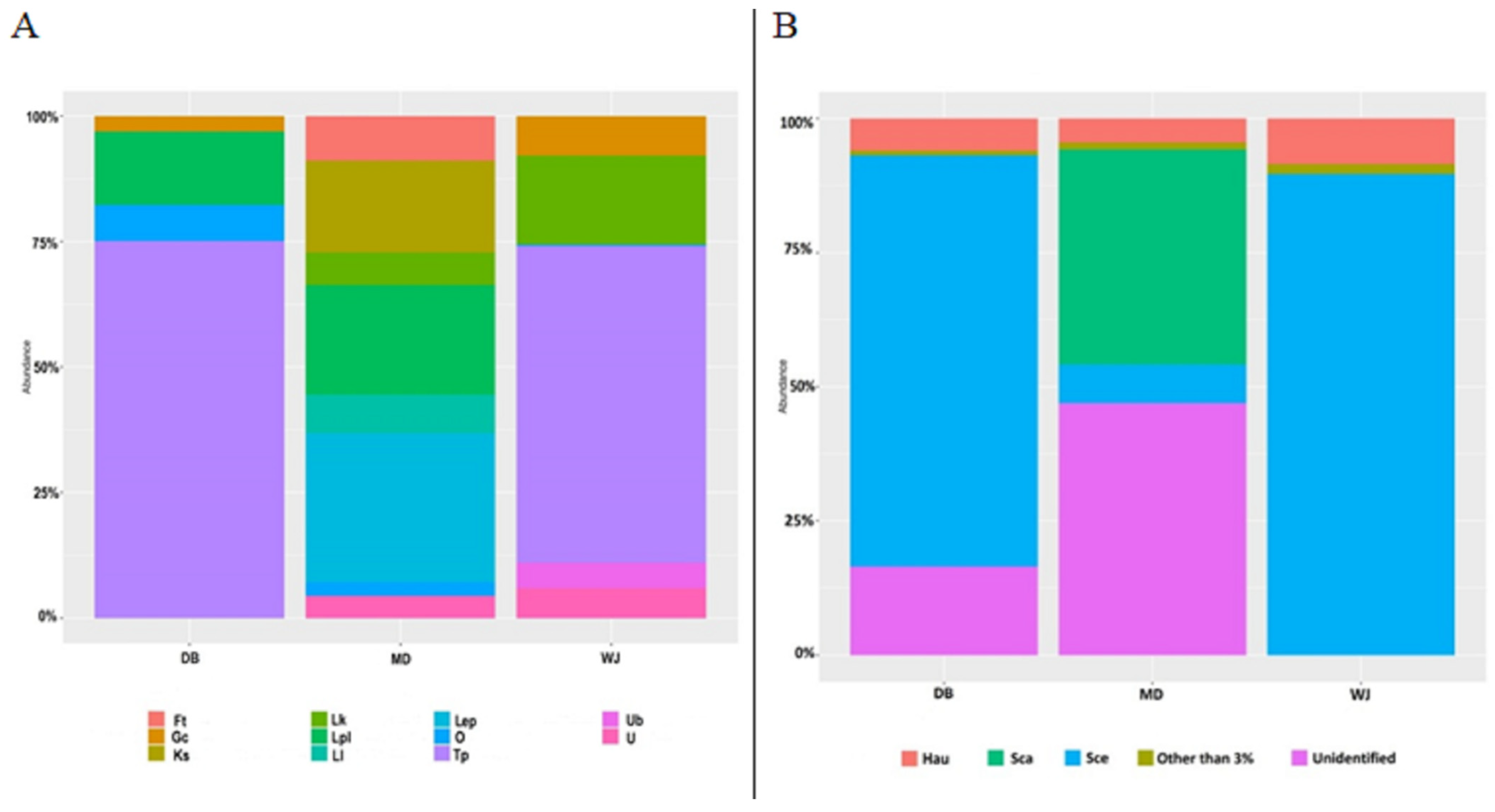
3.1. Abundance and Diversity of Microorganisms in Red Wines
3.2. Comparative Analysis of the Characteristics of the Investigated Red Wines
3.3. Unique Features of the Investigated Wines
4. Discussion
5. Conclusions
Supplementary Materials
Author Contributions
Funding
Institutional Review Board Statement
Informed Consent Statement
Data Availability Statement
Acknowledgments
Conflicts of Interest
References
- Hannah, L.; Roehrdanz, P.R.; Ikegami, M.; Shepard, A.V.; Shaw, M.R.; Tabor, G.; Zhi, L.; Marquet, P.A.; Hijmans, J.R. Climate change, wine, and conservation. Proc. Natl. Acad. Sci. USA 2013, 110, 6907–6912. [Google Scholar] [CrossRef] [PubMed] [Green Version]
- Krajowy Ośrodek Wsparcia Rolnictwa. Rynek Wina w Liczbach. 2021. Available online: https://www.kowr.gov.pl/interwencja/wino (accessed on 31 March 2022).
- International Organisation of Vine and Wine. 2019 Statistical Report on World Vitiviniculture. 2021. Available online: http://oiv.int/public/medias/6782/oiv-2019-statistical-report-on-world-vitiviniculture.pdf (accessed on 31 March 2022).
- Drożdż, I.; Makarewicz, M.; Sroka, P.; Satora, P.; Jankowski, P. Comparison of the yeast microbiota of different varieties of cool-climate grapes by PCR-RAPD. Potravin. Slovak J. Food Sci. 2015, 9, 293–298. [Google Scholar] [CrossRef]
- Cioch-Skoneczny, M.; Satora, P.; Skoneczny, S.; Skotniczny, M. Biodiversity of yeasts isolated during spontaneous fermentation of cool climate grape musts. Arch. Microbiol. 2021, 203, 153–162. [Google Scholar] [CrossRef] [PubMed]
- Capozzi, V.; Garofalo, C.; Chiriatti, M.A.; Grieco, F.; Spano, G. Microbial terroir and food innovation: The case of yeast biodiversity in wine. Microbiol. Res. 2015, 181, 75–83. [Google Scholar] [CrossRef]
- Comitini, F.; Capece, A.; Ciani, M.; Romano, P. New insights on the use of wine yeasts. Curr. Opin. Food Sci. 2017, 13, 44–49. [Google Scholar] [CrossRef]
- Bartowsky, E.J.; Costello, P.J.; Chambers, P.J. Emerging trends in the application of malolactic fermentation. Aust. J. Grape Wine Res. 2015, 21, 663–669. [Google Scholar] [CrossRef]
- Belda, I.; Ruiz, J.; Esteban-Fernández, A.; Navascués, E.; Marquina, D.; Santos, A.; Moreno-Arribas, M.V. Microbial contribution to wine aroma and its intended use for wine quality improvement. Molecules 2017, 22, 189. [Google Scholar] [CrossRef] [Green Version]
- Benito, S.; Ruiz, J.; Belda, I.; Kiene, F.; Beisert, B.; Navascués, E.; Marquina, D.; Calderón, F.; Santos, A.; Rauhut, D. Application of non-Saccharomyces yeasts in wine production. In Non-Conventional Yeasts: From Basic Research to Application; Andriy, S., Ed.; Springer: Cham, Switzerland, 2019; pp. 75–89. [Google Scholar]
- Polizzotto, G.; Barone, E.; Ponticello, G.; Fasciana, T.; Barbera, D.; Corona, O.; Amore, G.; Giammanco, A.; Oliva, D. Isolation, identification and oenological characterization of non-Saccharomyces yeast in Mediterranean island. Lett. Appl. Microbiol. 2016, 63, 131–138. [Google Scholar] [CrossRef] [Green Version]
- Pei-Tong, L.; Lin, L.; Chuang-Qing, D.; Guo-Liang, Y. The contribution of indigenous non-Saccharomyces wine yeast to improved aromatic quality of Cabernet Sauvignon wines by spontaneous fermentation. LWT-Food Sci. Technol. 2016, 71, 356–363. [Google Scholar] [CrossRef]
- Sereni, A.; Phan, O.; Osborne, J.; Tomasino, E. Impact of the timing and temperature of malolactic fermentation on the aroma composition and mouthfeel properties of Chardonnay wine. Foods 2020, 9, 802. [Google Scholar] [CrossRef]
- Bokulich, N.A.; Swadener, M.; Sakamoto, K.; Mills, D.A.; Bisson, L. Sulfur dioxide treatment alters wine microbial diversity and fermentation progression in a dose-dependent fashion. Am. J. Enol. Vitic. 2015, 66, 73–79. [Google Scholar] [CrossRef]
- Marzano, M.; Fosso, B.; Manzari, C.; Grieco, F.; Intranuovo, M.; Cozzi, G.; Mulè, M.; Scioscia, G.; Valiente, G.; Tullo, A.; et al. Complexity and dynamics of the winemaking bacterial communities in berries, musts, and wines from Apulian Grape Cultivars through time and space. PLoS ONE 2016, 11, e0157383. [Google Scholar] [CrossRef] [PubMed]
- Portillo, M.C.; Mas, A. Analysis of microbial diversity and dynamics during wine fermentation of Grenache grape variety by high-throughput barcoding sequencing. LWT-Food Sci. Technol. 2016, 72, 317–321. [Google Scholar] [CrossRef]
- Hu, N.; Lei, M.; Zhao, X.; Zhang, Z.; Gu, Y.; Zhang, Y.; Wang, S. Analysis of microbial diversity and characteristics of fermented blueberry beverage from different regions. Foods 2020, 9, 1656. [Google Scholar] [CrossRef] [PubMed]
- Belda, I.; Zarraonaindia, I.; Perisin, M.; Palacios, A.; Acedo, A. From vineyard soil to wine fermentation: Microbiome approximations to explain the “terroit” concept. Front. Microbiol. 2017, 8, 821. [Google Scholar] [CrossRef] [PubMed] [Green Version]
- Stefanini, I.; Cavalieri, D. Metagenomic approaches to investigate the contribution of the vineyard environment to the quality of wine fermentation: Potentials and difficulties. Front. Microbiol. 2018, 9, 991. [Google Scholar] [CrossRef] [PubMed]
- Wickham, H. Ggplot2: Elegant Graphics for Data Analysis; Springer: New York, NY, USA, 2016; ISBN 978-3-319-24277-4. Available online: https://ggplot2.tidyverse.org (accessed on 31 January 2022).
- International Organisation of Vine and Wine. Compendium of International Methods of Analysis. Method OIV-MA-AS312-01A. 2020. Available online: http://www.oiv.int/public/medias/5158/oiv-ma-as312-01a.pdf (accessed on 31 March 2022).
- International Organisation of Vine and Wine. Compendium of International Methods of Analysis. Method OIV-MA-AS313-15. 2020. Available online: http://www.oiv.int/public/medias/2514/oiv-ma-as313-15.pdf (accessed on 31 March 2022).
- International Organisation of Vine and Wine. Compendium of International Methods of Analysis. Method OIV-MA-AS313-01. 2020. Available online: http://www.oiv.int/public/medias/3731/oiv-ma-as313-01.pdf (accessed on 31 March 2022).
- Mitrevska, K.; Grigorakis, S.; Loupassaki, S.; Calokerinos, A.C. Antioxidant activity and polyphenolic content of North Macedonian wines. Appl. Sci. 2020, 10, 2010. [Google Scholar] [CrossRef] [Green Version]
- Dharmadi, Y.; Gonzalez, R. A better global resolution function and a novel iterative stochastic search method for optimization of high-performance liquid chromatographic separation. J. Chromatogr. A 2005, 1070, 89–101. [Google Scholar] [CrossRef]
- Borcard, D.; Gillet, F.; Legendre, P. Canonical Ordination. In Numerical Ecology with R; Use R; Springer: New York, NY, USA, 2011; pp. 153–225. [Google Scholar] [CrossRef]
- R Core Team. R: A Language and Environment for Statistical Computing; R Foundation Statistical Computing: Vienna, Austria, 2021; Available online: https://www.R-project.org (accessed on 31 March 2022).
- Knight, S.J.; Karon, O.; Goddard, M. Small scale fungal community differentiation in a vineyard system. Food Microbiol. 2020, 87, 103358. [Google Scholar] [CrossRef]
- Miliordos, D.E.; Tsiknia, M.; Kontoudakis, N.; Dimopolulou, M.; Kotseridis, Y. Impact of application of abscisic acid, benzothiadiazole and chitosan on berry quality characteristics and plant associated microbial communities of Vitis vinifera L var. Mouhtaro plants. Sustainability 2021, 13, 5802. [Google Scholar] [CrossRef]
- Barata, A.; Malfeito-Ferreira, M.; Loureiro, V. The microbial ecology of wine grape berries. Int. J. Food Microbiol. 2012, 153, 243–259. [Google Scholar] [CrossRef] [PubMed]
- Grangeteau, C.; Roullier-Gall, C.; Rousseaux, S.; Gougeon, R.D.; Schmitt-Kopplin, P.; Alexandre, H.; Guilloux-Benatier, M. Wine microbiology is driven by vineyard and winery anthropogenic factors. Microb. Biotech. 2017, 10, 354–370. [Google Scholar] [CrossRef] [PubMed]
- Setati, M.E.; Jacobson, D.; Bauer, F.F. Sequence-based analysis of the Vitis vinifera L. cv cabernet sauvignon grape must mycobiome in three South African vineyards employing distinct agronomic systems. Front. Microbiol. 2015, 6, 1358. [Google Scholar] [CrossRef] [PubMed]
- Bokulich, N.A.; Thorngate, J.H.; Richrdson, P.M.; Mills, D.A. Microbial biogeography of wine grapes is conditioned by cultivar, vintage, and climate. Proc. Natl. Acad. Sci. USA 2014, 111, E139–E148. [Google Scholar] [CrossRef] [Green Version]
- Morrison-Whittle, P.; Goddard, M.R. From vineyard to winery: A source map of microbial diversity driving wine fermentation. Environ. Microbiol. 2017, 20, 75–84. [Google Scholar] [CrossRef] [Green Version]
- Mezzasalma, V.; Sandionigi, A.; Bruni, I.; Bruno, A.; Lovicu, G.; Casiraghi, M.; Labra, M. Grape microbiome as reliable and persistent signature of field origin and environmental conditions in Cannonau wine production. PLoS ONE 2017, 12, e0184615. [Google Scholar] [CrossRef]
- Miura, T.; Sanchez, R.; Godoy, K.; Barbosa, O. Is microbial terroir related to geographic distance between vineyards? Environ. Microbiol. Rep. 2017, 9, 742–749. [Google Scholar] [CrossRef]
- Ruocco, S.; Perenzoni, D.; Angeli, A.; Stefanini, M.; Rühl, E.; Patz, C.D.; Mattivi, F.; Rauhut, D.; Vrhovsek, U. Metabolite profiling of wines made from disease-tolerant varieties. Eur. Food Res. Technol. 2019, 245, 2039–2052. [Google Scholar] [CrossRef]
- Kapusta, I.; Cebulak, T.; Oszmiański, J. Characterization of Polish wines produced from the interspecific hybrid grapes grown in south-east Poland. Eur. Food Res. Technol. 2018, 244, 441–455. [Google Scholar] [CrossRef]
- Dobrowolska-Iwanek, J.; Gąstol, M.; Wanat, A.; Krośniak, M.; Jancik, M.; Zagrodzki, P. Wine of cool-climate areas in South Poland. S. Afr. J. Enol. Vitic. 2014, 35, 1–9. [Google Scholar] [CrossRef]
- Liu, J.; Arneborg, N.; Toldam-Andersen, T.B.; Petersen, M.A.; Bredie, W.L. Effect of sequential fermentations and grape cultivars on volatile compounds and sensory profiles of Danish wines. J. Sci. Food Agric. 2017, 97, 3594–3602. [Google Scholar] [CrossRef] [PubMed]
- Melkonian, C.; Gottstein, W.; Blasche, S.; Kim, Y.; Abel-Kistrup, M.; Swiegers, H.; Saerens, S.; Edwards, N.; Patil, K.R.; Teusink, B.; et al. Funding functional differences between species in a microbial community: Case studies in wine fermentation and kefir culture. Front. Microbiol. 2019, 10, 1347. [Google Scholar] [CrossRef] [PubMed] [Green Version]
- Siren, K.; Mak, S.S.T.; Melkonian, C.; Carøe, C.; Swiegers, J.H.; Molenaar, D.; Fischer, U.; Gilbert, M.T.P. Taxonomic and functional characterization of the microbial community during spontaneous in vitro fermentation of Riesling Must. Front. Microbiol. 2019, 10, 697. [Google Scholar] [CrossRef] [PubMed]



| Wine Sample ID | Raw Read | Number of OTU | Species Number | Chao1 Index | Shannon Index | Simpson Index | Inv Simpson | |||||||
|---|---|---|---|---|---|---|---|---|---|---|---|---|---|---|
| Bact. | Fungi | Bact. | Fungi | Bact. | Fungi | Bact. | Fungi | Bact. | Fungi | Bact. | Fungi | Bact. | Fungi | |
| DB | 174,068 | 168,709 | 145,041 | 154,682 | 43 | 30 | 162 | 68.75 | 1.133 | 1.061 | 0.450 | 0.487 | 1.818 | 1.95 |
| MD | 126,428 | 194,953 | 94,992 | 180,301 | 44 | 29 | 169 | 81 | 2.184 | 1.435 | 0.825 | 0.659 | 5.746 | 2.938 |
| WJ | 150,406 | 165,063 | 125,424 | 115,409 | 39 | 14 | 120 | 44 | 1.359 | 0.588 | 0.577 | 0.24 | 2.369 | 1.316 |
| RA of Bacterial Genera (Code) | DB Wine (%) | MD Wine (%) | WJ Wine (%) |
|---|---|---|---|
| Curtobacterium (C) | 0.02 | 0 | 0.04 |
| Bacillus (B) | 0.03 | 0.01 | 0.03 |
| Lactobacillus (L) | 14.98 | 28.53 | 17.74 |
| Fructobacillus (F) | 0 | 8.87 | 0 |
| Leuconostoc (Le) | 0.2 | 31.27 | 0 |
| Lactococcus (La) | 2.57 | 7.84 | 0.04 |
| Cohnella (Co) | 0.02 | 0 | 0 |
| Acetobacter (A) | 0 | 0.17 | 0 |
| Gluconobacter (G) | 3.53 | 2.26 | 8.25 |
| Komagataeibacter (K) | 0 | 18.37 | 0 |
| Methylobacterium (Me) | 0.05 | 0.01 | 0.01 |
| Sphingomonas (S) | 0.46 | 0.02 | 0.1 |
| Ralstonia (R) | 0.03 | 0.01 | 0.01 |
| Polaromonas (Po) | 0.04 | 0 | 0 |
| Massilia (Ma) | 0 | 0 | 0 |
| Escherichia-Shigella (ES) | 0 | 0.01 | 0.04 |
| Erwiniaceae (E) | 0.01 | 0 | 0 |
| Enterobacter (En) | 0 | 0 | 0.01 |
| Pantoea (Pa) | 0.01 | 0 | 0.06 |
| Tatumella (T) | 77.54 | 1.22 | 68.6 |
| Pseudomonas (P) | 0.04 | 0.01 | 0.02 |
| other (O) | 0.46 | 1.39 | 5.1 |
| RA of yeasts genera | |||
| Meyerozyma (Mey) | 0.008 | 0.001 | 0.001 |
| Metschnikowia (Mt) | 0.068 | 0.087 | 0 |
| Pichia (Pi) | 0.03 | 0.001 | 0 |
| Kazachstania (Ka) | 0 | 0 | 0.027 |
| Lachancea (Lac) | 0 | 0.097 | 0.039 |
| Saccharomyces (Sc) | 77.037 | 47.299 | 90.007 |
| Torulaspora (To) | 0.023 | 0 | 1.093 |
| Candida (Ca) | 0.235 | 0.003 | 0.065 |
| Starmerella (Ss) | 0 | 0.015 | 0 |
| Hanseniaspora (Ha) | 5.997 | 4.446 | 8.507 |
| Saccharomycetales (Sun) | 16.271 | 46.735 | 0 |
| Symmetrospora (Sy) | 0.005 | 0.003 | 0 |
| Curvibasidium (Cu) | 0.01 | 0.001 | 0 |
| Filobasidium (Fi) | 0.023 | 0.008 | 0 |
| Vishniacozyma (Vi) | 0.018 | 0.004 | 0 |
| Bulleromyces (Bu) | 0.007 | 0 | 0 |
| Other fungi (OF) | 0.26 | 1.2 | 0.25 |
| Fermentation Time (Days) | DB | MD | WJ |
|---|---|---|---|
| CO2 g/L | |||
| 2 | 12.77 ± 4.27 * | 8.31 ± 3.13 | 7.65 ± 2.20 |
| 4 | 41.17 ± 1.32 | 8.31 ± 3.13 | 8.31 ± 3.13 |
| 6 | 17.65 ± 2.63 | 14.23 ± 11.50 | 5.73 ± 1.20 |
| 8 | 6.90 ± 2.32 | 24.79 ± 4.02 | 20.91 ± 24.39 |
| 10 | 4.97 ± 3.13 | 15.63 ± 7.22 | 8.41 ± 6.72 |
| 12 | 0.61 ± 0.86 | 7.41 ± 6.76 | 24.07 ± 22.87 |
| 14 | 0.00 ± 0.00 | 0.00 ± 0.00 | 1.02 ± 0.41 |
| The sum of released CO2 | 84.08 | 78.69 | 76.10 |
| Wine | Eth% vol. * | pH * | TA g/L * | TPC mg GAE /L * | DPPHA mmol TL/L * | Glu g/L * | Fru g/L * | LA g/L * | AA g/L * |
|---|---|---|---|---|---|---|---|---|---|
| DB | 11.02 ± 0.51 ab | 3.72 ± 0.08 a | 4.92 ± 0.08 a | 3369 ± 122.82 a | 10 ± 0.34 b | 2.01 ± 0.06 c | 0.81 ± 0.02 b | 3.21 ± 0.09 a | nd |
| MD | 11.48 ± 0.27 b | 3.70 ± 0.06 a | 7.24 ± 0.42 b | 2677 ± 259.87 b | 7.43 ± 0.39 a | 1.89 ± 0.06 b | 3.89 ± 0.07 c | 4.41 ± 0.10 c | 1.40 ± 0.05 b |
| WJ | 10.78 ± 0.25 a | 3.88 ± 0.05 b | 4.72 ± 0.19 a | 3495 ± 234.65 a | 11.63 ± 0.43 c | 1.23 ± 0.05 a | 0.69 ± 0.03 a | 4.02 ± 0.05 b | 0.66 ± 0.03 a |
| Feature | DB Wine | MD Wine | WJ Wine |
|---|---|---|---|
| Characteristic with the highest statistical significance | Glu | TA, Fru, LA, AA | pH, DPPH |
| Characteristic with the lowest statistical significance | LA | TPC, DPPH | Glu, Fru |
| Unique bacteria | Pr, Po, Gf, S, Co, Tpu, E, Lp | La, F, Ft, Ac, Go, Lec, Lem, Lep, K, Ks, Kh | En, C, Ch, Lk, T, Pa, Ec |
| Unique yeasts | Bua, Mtp, Pik, Top | Spa, Ss, Sca | Tod, Kas |
Publisher’s Note: MDPI stays neutral with regard to jurisdictional claims in published maps and institutional affiliations. |
© 2022 by the authors. Licensee MDPI, Basel, Switzerland. This article is an open access article distributed under the terms and conditions of the Creative Commons Attribution (CC BY) license (https://creativecommons.org/licenses/by/4.0/).
Share and Cite
Kordowska-Wiater, M.; Pytka, M.; Stój, A.; Kubik-Komar, A.; Wyrostek, J.; Waśko, A. A Metagenetic Insight into Microbial Diversity of Spontaneously Fermented Polish Red Wines and an Analysis of Selected Physicochemical Properties. Appl. Sci. 2022, 12, 4373. https://doi.org/10.3390/app12094373
Kordowska-Wiater M, Pytka M, Stój A, Kubik-Komar A, Wyrostek J, Waśko A. A Metagenetic Insight into Microbial Diversity of Spontaneously Fermented Polish Red Wines and an Analysis of Selected Physicochemical Properties. Applied Sciences. 2022; 12(9):4373. https://doi.org/10.3390/app12094373
Chicago/Turabian StyleKordowska-Wiater, Monika, Monika Pytka, Anna Stój, Agnieszka Kubik-Komar, Jakub Wyrostek, and Adam Waśko. 2022. "A Metagenetic Insight into Microbial Diversity of Spontaneously Fermented Polish Red Wines and an Analysis of Selected Physicochemical Properties" Applied Sciences 12, no. 9: 4373. https://doi.org/10.3390/app12094373
APA StyleKordowska-Wiater, M., Pytka, M., Stój, A., Kubik-Komar, A., Wyrostek, J., & Waśko, A. (2022). A Metagenetic Insight into Microbial Diversity of Spontaneously Fermented Polish Red Wines and an Analysis of Selected Physicochemical Properties. Applied Sciences, 12(9), 4373. https://doi.org/10.3390/app12094373

