Energy Evolution Analysis of Coal Fracture Damage Process Based on Digital Image Processing
Abstract
1. Introduction
2. Numerical Model of Coal Based on Digital Image
2.1. Image Processing of Coal Rock Specimens
2.2. Establishment of Numerical Model
| Material | Elastic Modulus E/MPa | Homogeneity m | Compressive Strength σc/MPa | Poisson Ratio ν | Internal Friction Angle (°) | Compressiontension Ratio | 
|---|---|---|---|---|---|---|
| Coal | 7000 | 5 | 60 | 0.40 | 35 | 10 | 
| Calcite | 80,500 | 3 | 101 | 0.30 | 30 | 11 | 

3. Analysis of Results
3.1. Mechanical Property Anisotropy Analysis

3.2. Failure and Deformation Characteristics of Coal Rocks
- When α = 0° and 15°, the cracks appeared first in the calcite veins, and the samples at 0° were uniformly distributed, and the results of the study were consistent with those of Taixu Bai and C.A. Tang [44,45]. When α > 15°, the initial crack initiated only locally in the calcite vein. When the azimuth angle is high (75° and 90°), the initial crack does not initiate vertically, but forms a certain included angle with the loading direction. It is worth noting that the equal-spacing cracks only appear when the inclination angle is low, but there are no equal-spacing cracks at the higher inclination angle. This may be due to the change in the inclination of the calcite veins and the change in the internal stress distribution of the coal, which in turn led to the above phenomenon.
- When the calcite veins are at low inclination angles (0°, 15° and 30°), crack extensions appear in the calcite veins, forming a larger angle with the calcite veins, and finally forming complex fracture modes, which are respectively oblique Z-shaped (0°), V-shaped (15°) and inverted V-shaped (30°) failure modes, and mainly shear failure. When the calcite veins have high dip angles (45°, 60°, 75° and 90°), the fracture mode of the coal is single, which is a type I failure mode, and the angle with the calcite veins is small, mainly tensile failure. When α = 75° and 90°, the coal is almost completely destroyed along the calcite vein.

3.3. Analysis of Energy Evolution during Coal Fracture Damage
3.3.1. Coal Energy Evolution Characteristic Index

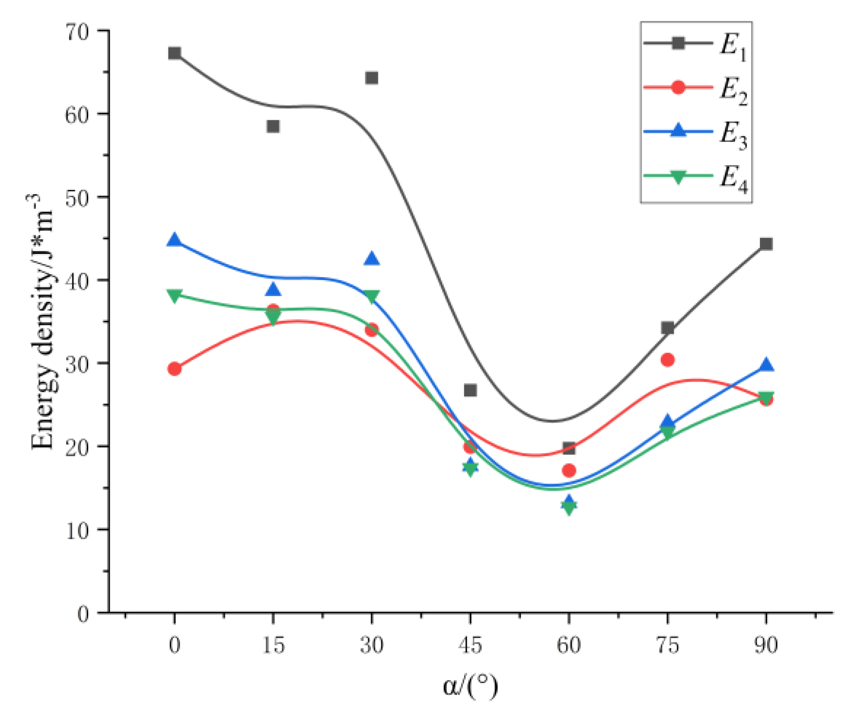
- With the rise of calcite vein dip angle, the input energy density before the peak value E1, the input energy density at 80% strength E3 and the accumulated elastic property density at 80% strength E4 show a change trend of first declining and then rising. In contrast, the pre-peak cumulative elastic energy density E2 exhibits a repeatedly increasing and then decreasing trend.
- On the whole, when the angle of calcite vein is low, that is, the samples with low dip angle (0°, 15° and 30°), the input energy and accumulated elastic energy are large. The input energy and accumulated elastic energy of samples with high inclination angles (45°, 60°, 75° and 90°) are lower.
| α(°) | E1/KJ*m−3 | E2/KJ*m−3 | E3/KJ*m−3 | E4/KJ*m−3 | 
|---|---|---|---|---|
| 0 | 67.26 | 29.31 | 44.69 | 38.26 | 
| 15 | 58.47 | 36.28 | 38.71 | 35.54 | 
| 30 | 64.29 | 34.00 | 42.40 | 38.19 | 
| 45 | 26.74 | 19.95 | 17.62 | 17.39 | 
| 60 | 19.76 | 17.09 | 13.19 | 12.72 | 
| 75 | 34.25 | 30.41 | 22.85 | 21.77 | 
| 90 | 44.33 | 25.67 | 29.65 | 25.96 | 

- As the dip angle of calcite veins increases, the impact energy index, effective impact energy index and residual energy index of coal first decrease sharply, with a minimum value at α = 60°, followed by a small increase. When α = 60°, the effect energy index of coal rock is the smallest, which is 2.10. When α = 0°, the impact energy index of coal is the largest, which is 36.27, 17.29 times that of 60° sample. When α = 0°, the elastic energy index of coal is the smallest, which is 5.95. When α = 60°, the effect energy index of coal is maximum, which is 27.14, which is 4.56 times that of 0° sample.
- According to the results of 7 groups of tests, the elastic energy index of 7 groups of samples is greater than 5, the effect energy index is greater than 2 and the effect tendency of coal is strong.
| α(°) | Elastic Energy Index | Impact Energy Index | Effective Impact Energy Index | Residual Energy Index | 
|---|---|---|---|---|
| 0 | 5.95 | 36.27 | 15.80 | 14.80 | 
| 15 | 11.21 | 16.30 | 10.11 | 9.11 | 
| 30 | 9.06 | 20.36 | 10.77 | 9.77 | 
| 45 | 27.14 | 3.11 | 2.32 | 1.32 | 
| 60 | 23.13 | 2.10 | 1.81 | 0.81 | 
| 75 | 20.19 | 3.84 | 3.41 | 2.41 | 
| 90 | 7.03 | 12.66 | 7.33 | 6.33 | 

3.3.2. Analysis of Acoustic Emission Characteristics during Coal Fracture Damage
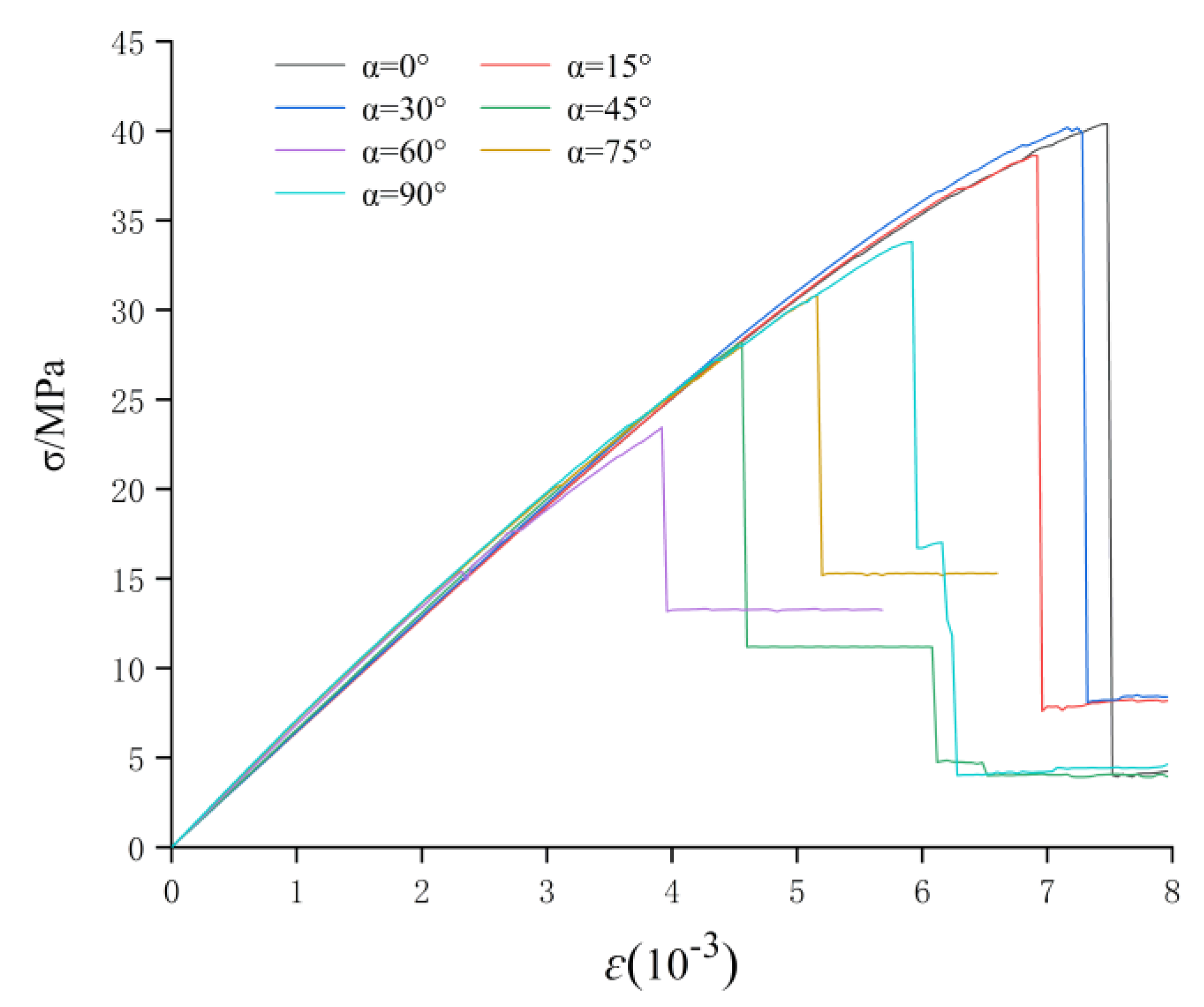
- At low dip angles (0°, 15° and 30°), the compressive strength of coal is large, the stress required for fracture damage is large, the number of loading steps is large and more energy is released during coal and rock failure. When α = 0°, the maximum acoustic emission energy release is 149.9 J. From the AE counts, cumulative AE and acoustic emission energy curves, it is clear that the energy accumulation during coal rock destruction is slow when the calcite veins are at low angles. When the energy accumulation reaches its maximum, a large amount of accumulated energy is suddenly released and complete destruction of the coal rock occurs.
- At high dip angles (45°, 60°, 75° and 90°), the compressive strength of coal is small, the stress required for fracture damage is small, the number of loading steps is small and the energy released by coal failure is less. When α = 60°, the acoustic emission energy release is the smallest, which is 22.9 J. Compared with the 0° sample, the release energy decreases by 84.7%. The AE counts, cumulative AE and acoustic emission energy curves exhibited significant jumps. This is because under high dip angle, the stress distribution of coal and rock is uneven during loading, resulting in local failure of coal and rock, and finally the crack penetrates to form a macro single failure mode.


4. Results and Discussion
- When the calcite vein has low dip angle (0°, 15° and 30°), the internal stress of coal rocks is mainly concentrated in the calcite vein under uniaxial compression, which is uniform and has high compressive strength. When α = 0°, the maximum compressive strength of coal rocks is 40.39 MPa. The final failure mode of coal rocks is complex, showing tensile failure and accompanied by more shear failure. In the process of uniaxial compression test, the input energy and accumulated elastic energy are larger, the elastic energy index and impact energy index of coal rocks are larger and the energy released during failure is larger.
- When the calcite vein has a high dip angle (45°, 60°, 75° and 90°), the internal stress of coal rocks is mainly concentrated in the calcite vein under uniaxial compression, but the distribution is uneven and the compressive strength is low. When α = 60°, the compressive strength is the lowest, 23.45 MPa. The final failure mode of coal rocks is single, showing tensile failure accompanied by a small amount of shear failure. In the process of uniaxial compression test, the input energy and accumulated elastic energy are small, the elastic energy index and impact energy index of coal rocks are relatively small and the energy released during failure is low.
5. Conclusions
- The calcite vein-bearing coal rocks show strong anisotropic characteristics. The different azimuth angles of calcite veins change the internal stress distribution of coal, resulting in higher compressive strength of coal at low dip angle and lower compressive strength of coal at high dip angle.
- The fracture mode of coal is significantly affected by calcite. At low dip angles (0°, 15° and 30°), the coal fracture modes are complex, which are inclined Z-type (0°), V-type (15°) and inverted V-type (30°) failure modes, respectively, and mainly shear failure. At high dip angles (45°, 60°, 75° and 90°), the fracture mode of coal and rock is single, which is type I failure mode, mainly tensile failure.
- Calcite vein has a significant effect on energy evolution during coal fracture. At low dip angle, the input energy, accumulated elastic energy and impact energy index of coal are large. At high dip angle, the input energy, accumulated elastic energy and impact energy index of coal are low.
- Calcite vein has a considerable impact on the fracture damage process of coal. Under low dip angle, the internal stress distribution of coal is relatively uniform, the weak cementation between coal matrix and calcite vein is not easy to be destroyed, and the stress and energy required for coal destruction are large. Under high dip angle, the internal distribution of coal is uneven, and the weak cementitious material between coal matrix and calcite vein is easy to be damaged, resulting in coal fracture and damage.
Author Contributions
Funding
Informed Consent Statement
Conflicts of Interest
References
- Su, X.; Lin, X.; Liu, S.; Zhao, M.; Song, Y. Geology of coalbed methane reservoirs in the Southeast Qinshui Basin of China. Int. J. Coal Geol. 2005, 62, 197–210. [Google Scholar] [CrossRef]
- Galloway, W.E.; Hobday, D.K. Coal and Coalbed Methane. In Terrigenous Clastic Depositional Systems; Springer: Berlin/Heidelberg, Germany, 1996. [Google Scholar] [CrossRef]
- Wang, G.X.; Massarotto, P.; Rudolph, V. An improved permeability model of coal for coalbed methane recovery and CO2 geosequestration. Int. J. Coal Geol. 2009, 77, 127–136. [Google Scholar] [CrossRef]
- Wei, Z.; Zhang, D. Coupled fluid flow and geomechanics in coalbed methane recovery study. Mod. Phys. Lett. B 2010, 24, 1291–1924. [Google Scholar] [CrossRef]
- Feng, X.H.; Gong, B.; Tang, C.A.; Zhao, T. Study on the non-linear deformation and failure characteristics of EPS concrete based on CT-scanned structure modelling and cloud computing. Eng. Fract. Mech. 2022, 261, 108214. [Google Scholar] [CrossRef]
- Senthamaraikkannan, G.; Budwill, K.; Gates, I.; Mitra, S.; Prasad, V. Kinetic Modeling of the Biogenic Production of Coalbed Methane. Energy Fuels 2016, 30, 871–883. [Google Scholar] [CrossRef]
- Lu, B.; Shen, Y.; Tang, Z.; Zhang, D.; Chen, G. Vacuum pressure swing adsorption process for coalbed methane enrichment. Chin. J. Chem. Eng. 2021, 32, 264–280. [Google Scholar] [CrossRef]
- Wang, H.; Liu, C. Process parameters design method of drainage gas recovery technology in gas-driven pump for coalbed methane production. J. Pet. Sci. Eng. 2021, 207, 109167. [Google Scholar]
- Nie, B.; He, X.; Zhu, C. Study on mechanical property and electromagnetic emission during the fracture process of combined coal-rock. Procedia Earth Planet. Sci. 2009, 1, 281–287. [Google Scholar]
- Huang, B.; Liu, J. The effect of loading rate on the behavior of samples composed of coal and rock. Int. J. Rock Mech. Min. Sci. 2013, 61, 23–30. [Google Scholar] [CrossRef]
- Wang, Y.Y.; Gong, B.; Tang, C.A.; Zhao, T. Numerical study on size effect and anisotropy of columnar jointed basalts under uniaxial compression. Bull. Eng. Geol. Environ. 2022, 81, 41. [Google Scholar] [CrossRef]
- Li, S.; Tang, D.; Xu, H.; Yang, Z. Advanced characterization of physical properties of coals with different coal structures by nuclear magnetic resonance and X-ray computed tomography. Comput. Geosci. 2012, 48, 220–227. [Google Scholar] [CrossRef]
- Hou, L.; Liu, X.; Liang, L.; Xiong, J.; Zhang, P.; Xie, B.; Li, D. Investigation of coal and rock geo-mechanical properties evaluation based on the fracture complexity and wave velocity. J. Nat. Gas Sci. Eng. 2020, 75, 103133. [Google Scholar] [CrossRef]
- Gong, B.; Liang, Z.Z.; Liu, X.X. Nonlinear deformation and failure characteristics of horseshoe-shaped tunnel under varying principal stress direction. Arab. J. Geosci. 2022, 15, 475. [Google Scholar] [CrossRef]
- Zhu, Q.; Song, W.; Yang, Y.; Lu, X.; Liu, L.; Zhang, Y.; Sun, H.; Yao, J. An advection-diffusion-mechanical deformation integral model to predict coal matrix methane permeability combining digital rock physics with laboratory measurements. Appl. Geochem. 2021, 126, 104861. [Google Scholar] [CrossRef]
- Kou, S.; Ye, D.; Ding, Y. A constitutive model for structured coal based on fracture and damage mechanics. Eng. Fract. Mech. 1990, 35, 614. [Google Scholar] [CrossRef][Green Version]
- Hao, X.; Du, W.; Jiang, Y.; Tannant, D.; Zhao, Y.; Guo, Y. Influence of bedding and cleats on the mechanical properties of a hard coal. Arab. J. Geosci. 2018, 11, 200. [Google Scholar] [CrossRef]
- Xu, H.; Wang, G.; Fan, C.; Liu, X.; Wu, M. Grain-scale reconstruction and simulation of coal mechanical deformation and failure behaviors using combined SEM Digital Rock data and DEM simulator. Powder Technol. 2020, 360, 1305–1320. [Google Scholar] [CrossRef]
- Liu, W.; Guo, Z.; Wang, C.; Niu, S. Physico-mechanical and microstructure properties of cemented coal Gangue-Fly ash backfill: Effects of curing temperature. Constr. Build. Mater. 2021, 299, 124011. [Google Scholar] [CrossRef]
- Liu, X.S.; Tan, Y.L.; Ning, J.G.; Lu, Y.W.; Gu, Q.H. Mechanical properties and damage constitutive model of coal in coal-rock combined body. Int. J. Rock Mech. Min. Sci. 2018, 110, 140–150. [Google Scholar] [CrossRef]
- Zhao, Z.; Wang, W.; Wang, L.; Dai, C. Compression-shear strength criterion of coal-rock combination model considering interface effect. Tunn. Undergr. Space Technol. 2015, 47, 193–199. [Google Scholar] [CrossRef]
- Zhang, Y.; Feng, X.T.; Zhang, X.; Wang, Z.; Sharifzadeh, M.; Yang, C.; Kong, R.; Zhao, J. Strain energy evolution characteristics and mechanisms of hard rocks under true triaxial compression. Eng. Geol. 2019, 260, 105222. [Google Scholar] [CrossRef]
- Wen, T.; Tang, H.; Ma, J.; Liu, Y. Energy Analysis of the Deformation and Failure Process of Sandstone and Damage Constitutive Model. KSCE J. Civ. Eng. 2019, 23, 513–524. [Google Scholar] [CrossRef]
- Li, T.; Pei, X.; Wang, D.; Huang, R.; Tang, H. Nonlinear behavior and damage model for fractured rock under cyclic loading based on energy dissipation principle. Eng. Fract. Mech. 2019, 206, 330–341. [Google Scholar] [CrossRef]
- Wang, Y.; Gao, S.H.; Li, C.H.; Han, J.Q. Energy dissipation and damage evolution for dynamic fracture of marble subjected to freeze-thaw and multiple level compressive fatigue loading. Int. J. Fatigue 2021, 142, 105927. [Google Scholar] [CrossRef]
- Cornetti, P.; Pugno, N.; Carpinteri, A.; Taylor, D. Finite fracture mechanics: A coupled stress and energy failure criterion. Eng. Fract. Mech. 2006, 73, 2021–2033. [Google Scholar] [CrossRef]
- Bratov, V.; Petrov, Y. Optimizing energy input for fracture by analysis of the energy required to initiate dynamic mode I crack growth. Int. J. Solids Struct. 2007, 44, 2371–2380. [Google Scholar] [CrossRef]
- Ferro, G. On dissipated energy density in compression for concrete. Eng. Fract. Mech. 2006, 73, 1510–1530. [Google Scholar] [CrossRef]
- Wang, Z.; Li, L. Study of Energy Release in Failure of Coal and Rock Near Fault on ANSYS. Geotech. Geol. Eng. 2019, 37, 2577–2589. [Google Scholar] [CrossRef]
- Zhang, C.; Canbulat, I.; Tahmasebinia, F.; Hebblewhite, B. Assessment of energy release mechanisms contributing to coal burst. Int. J. Min. Sci. Technol. 2017, 27, 43–47. [Google Scholar] [CrossRef]
- Lin, B.; Liu, T.; Zou, Q.; Zhu, C.; Yan, F.; Zhang, Z. Crack propagation patterns and energy evolution rules of coal within slotting disturbed zone under various lateral pressure coefficients. Arab. J. Geosci. 2015, 8, 6643–6654. [Google Scholar]
- Gong, B.; Wang, Y.Y.; Zhao, T.; Tang, C.A.; Yang, X.Y.; Chen, T.T. AE energy evolution during CJB fracture affected by rock heterogeneity and column irregularity under lateral pressure. Geomat. Nat. Hazards Risk 2022, 13, 877–907. [Google Scholar] [CrossRef]
- Dou, L.M.; Lu, C.P.; Mu, Z.L.; Gao, M.S. Prevention and forecasting of rock burst hazards in coal mines. Min. Sci. Technol. 2009, 19, 585–591. [Google Scholar] [CrossRef]
- Yang, Z.; Liu, C.; Tang, S.; Dou, L.; Cao, J. Rock burst mechanism analysis in an advanced segment of gob-side entry under different dip angles of the seam and prevention technology. Int. J. Min. Sci. Technol. 2018, 28, 891–899. [Google Scholar] [CrossRef]
- Lin, B.; Zhang, J.; Shen, C.; Zhang, Q.; Chen, S. Technology and application of pressure relief and permeability increase by jointly drilling and slotting coal. Int. J. Min. Sci. Technol. 2012, 22, 545–551. [Google Scholar] [CrossRef]
- Xie, J.; Liang, Y.; Zou, Q.; Li, L.; Li, X. Elimination of coal and gas outburst risk of low-permeability coal seam using high-pressure water jet slotting technology: A case study in Shihuatian Coal Mine in Guizhou Province, China. Energy Sci. Eng. 2019, 7, 1394–1404. [Google Scholar]
- Kwan, A.K.H.; Mora, C.F.; Chan, H.C. Particle shape analysis of coarse aggregate using digital image processing. Cem. Concr. Res. 1999, 29, 1403–1410. [Google Scholar] [CrossRef]
- Yue, Z.Q.; Chen, S.; Tham, L.G. Finite element modeling of geomaterials using digital image processing. Comput. Geotech. 2003, 30, 375–397. [Google Scholar] [CrossRef]
- Tang, C.; Tham, L.; Lee, P.; Yang, T.; Li, L. Coupled analysis of flow, stress and damage (FSD) in rock failure. Int. J. Rock Mech. Min. Sci. 2002, 39, 477–489. [Google Scholar] [CrossRef]
- Lou, Y.; Wu, Z.; Sun, W.; Yin, S.; Wang, A.; Liu, H.; Zuo, Y. Study on failure models and fractal characteristics of shale under seepage-stress coupling. Energy Sci. Eng. 2020, 8, 1634–1649. [Google Scholar] [CrossRef]
- Wu, Z.; Zuo, Y.; Wang, S.; Yi, T.; Chen, S.; Yu, Q.; Li, W.; Sunwen, J.; Xu, Y.; Wang, R.; et al. Numerical simulation and fractal analysis of mesoscopic scale failure in shale using digital images. J. Pet. Sci. Eng. 2016, 145, 592–599. [Google Scholar] [CrossRef]
- Hou, L.L.; Liu, X.J.; Liang, L.X.; Zhang, P.; Xie, B.; Li, D. Numerical simulation of effect of cleats on energy evolution of coal and rock in loading process. J. China Coal Soc. 2020, 45, 1061–1069. (In Chinese) [Google Scholar] [CrossRef]
- Jaeger, J.C. Rock Mechanics and Engineering; Cambridge University Press: London, UK, 1979. [Google Scholar]
- Bai, T.; Pollard, D.D. Fracture Spacing in Layered Rocks: A New Explanation Based on the Stress Transition. J. Struct. Geol. 2000, 22, 43–57. [Google Scholar] [CrossRef]
- Tang, C.A.; Zhang, Y.B.; Liang, Z.Z.; Xu, T.; Tham, L.G.; Lindqvist, P.A.; Kou, S.Q.; Liu, H.Y. Fracture spacing in layered materials and pattern transition from parallel to polygonal fractures. Phys. Rev. E 2006, 73 Pt 2, 056120. [Google Scholar] [CrossRef]
- Zhang, Z.; Gao, F.; Cui, Y.; Lin, B. Association of Energy Characteristics and Meso-structure of Rock. Sci. Technol. Rev. 2013, 31, 20–26. (In Chinese) [Google Scholar]
- Liang, Z.Z.; Tang, C.A.; Li, H.X.; Zhang, Y.B. Numerical simulation of the 3D failure process in heterogeneous rocks. Int. J. Rock Mech. Min. Sci. 2004, 41, 419. [Google Scholar] [CrossRef]




| Azimuth/(°) | Elastic Modulus/GPa | Uniaxial Compressive Strength/MPa | 
|---|---|---|
| 0 | 5.40 | 40.39 | 
| 15 | 5.58 | 38.61 | 
| 30 | 5.55 | 40.18 | 
| 45 | 6.19 | 28.20 | 
| 60 | 5.98 | 23.45 | 
| 75 | 5.96 | 30.77 | 
| 90 | 5.71 | 33.80 | 
| Publisher’s Note: MDPI stays neutral with regard to jurisdictional claims in published maps and institutional affiliations. | 
© 2022 by the authors. Licensee MDPI, Basel, Switzerland. This article is an open access article distributed under the terms and conditions of the Creative Commons Attribution (CC BY) license (https://creativecommons.org/licenses/by/4.0/).
Share and Cite
Wu, Z.; Li, L.; Lou, Y.; Wang, W. Energy Evolution Analysis of Coal Fracture Damage Process Based on Digital Image Processing. Appl. Sci. 2022, 12, 3944. https://doi.org/10.3390/app12083944
Wu Z, Li L, Lou Y, Wang W. Energy Evolution Analysis of Coal Fracture Damage Process Based on Digital Image Processing. Applied Sciences. 2022; 12(8):3944. https://doi.org/10.3390/app12083944
Chicago/Turabian StyleWu, Zhonghu, Liping Li, Yili Lou, and Wentao Wang. 2022. "Energy Evolution Analysis of Coal Fracture Damage Process Based on Digital Image Processing" Applied Sciences 12, no. 8: 3944. https://doi.org/10.3390/app12083944
APA StyleWu, Z., Li, L., Lou, Y., & Wang, W. (2022). Energy Evolution Analysis of Coal Fracture Damage Process Based on Digital Image Processing. Applied Sciences, 12(8), 3944. https://doi.org/10.3390/app12083944
 
         
                                                


 
       