Dispersion of Elastic Waves in Functionally Graded CNTs-Reinforced Composite Beams
Abstract
:1. Introduction
2. Theory and Formulation
2.1. CNTs-Reinforced Composite Structures
2.2. Problem Description and Fundamental Equations
3. Solution Procedure
4. Numerical Results
5. Conclusions
- The phase velocity and wave frequency of the composite beam can be improved by increasing the volume fraction of CNT fibers and the power term k.
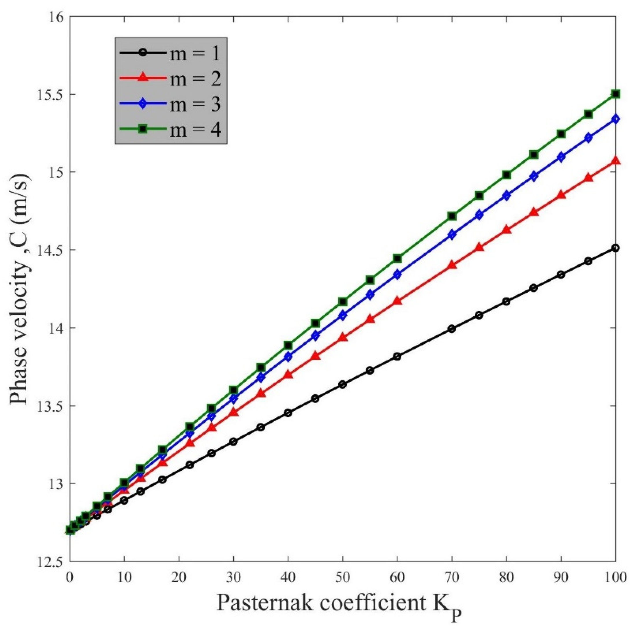
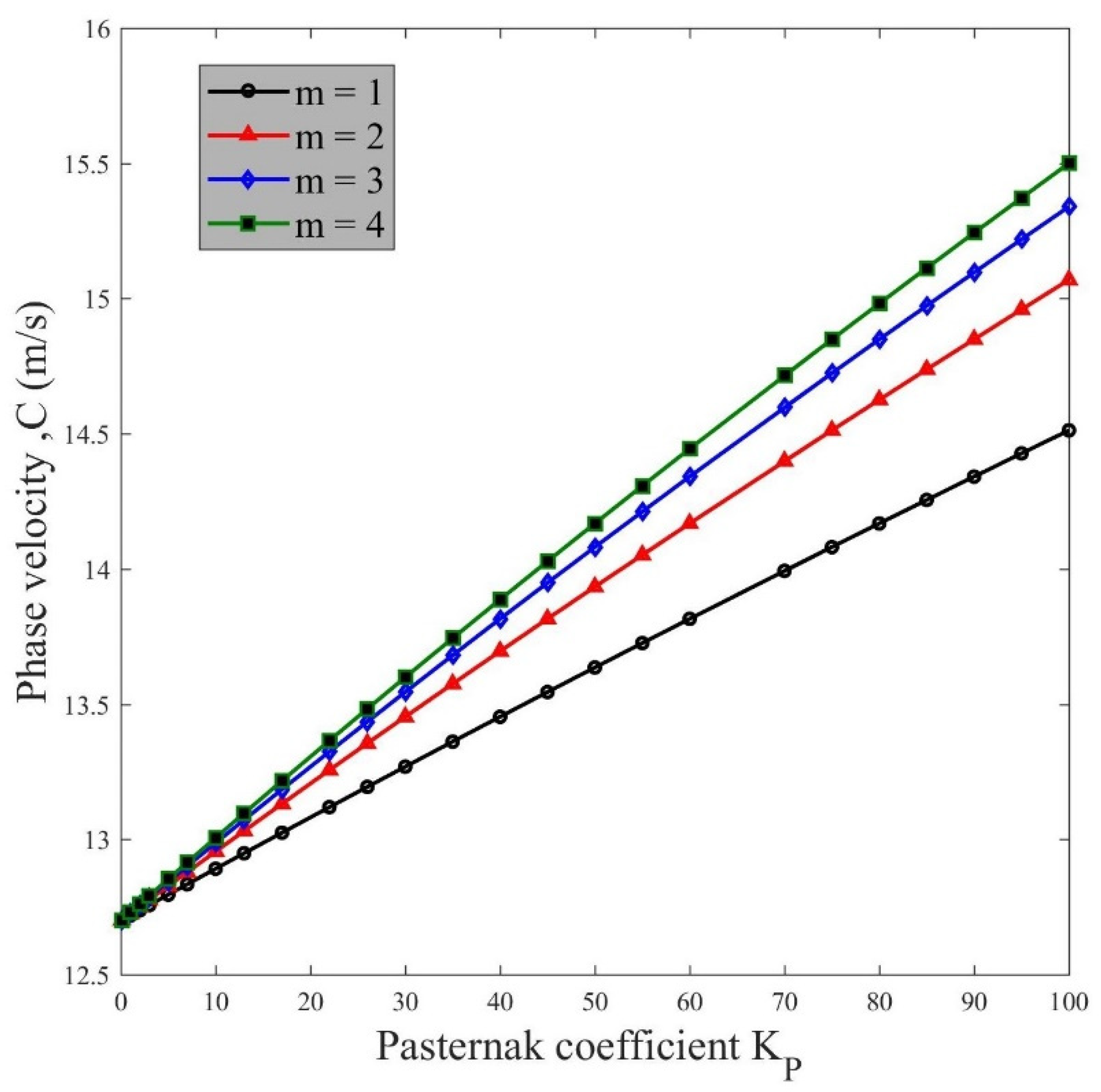
- The Winkler-Pasternak foundation affects significantly the wave propagation response of composite beam structures. The enhancement of Winkler and Pasternak coefficients has a beneficial effect on the phase velocity and wave frequency, whose increased values can be related to an improved overall stiffness of the structure. The wave frequency and phase velocity reduce significantly by selecting higher values of coefficient α within the power law distribution function.
- The CNTs volume fraction at both sides of the beam, has a meaningful influence on the wave propagation. The volume fraction at the left side of the beam () and the ratio has a hardening effect on the structure, with an improved response in terms of wave frequency and phase velocity.
Author Contributions
Funding
Conflicts of Interest
References
- Mal, A. Wave propagation in layered composite laminates under periodic surface loads. Wave Motion 1988, 10, 257–266. [Google Scholar] [CrossRef]
- Argento, A.; Scott, R. Elastic wave propagation in a Timoshenko beam spinning about its longitudinal axis. Wave Motion 1995, 21, 67–74. [Google Scholar] [CrossRef]
- Eslami, M.; Shariyat, M.; Shakeri, M. Layerwise theory for dynamic buckling and postbuckling of laminated composite cylindrical shells. AIAA J. 1998, 36, 1874–1882. [Google Scholar] [CrossRef]
- Eslami, M.; Javaheri, R. Buckling of composite cylindrical shells under mechanical and thermal loads. J. Therm. Stresses 1999, 22, 527–545. [Google Scholar]
- Aghdam, M.; Falahatgar, S. Bending analysis of thick laminated plates using extended Kantorovich method. Compos. Struct. 2003, 62, 279–283. [Google Scholar] [CrossRef]
- Rajoria, H.; Jalili, N. Passive vibration damping enhancement using carbon nanotube-epoxy reinforced composites. Compos. Sci. Technol. 2005, 65, 2079–2093. [Google Scholar] [CrossRef]
- Formica, G.; Lacarbonara, W.; Alessi, R. Vibrations of carbon nanotube-reinforced composites. J. Sound Vib. 2010, 329, 1875–1889. [Google Scholar] [CrossRef]
- Abanoz, M.; Yaylacı, M.; Birinci, A. Contact problems between a functionally graded layer and a rigid support. J. Struct. Eng. Appl. Mech. 2019, 2, 25–35. [Google Scholar] [CrossRef]
- Yaylacı, M.; Eyüboğlu, A.; Adıyaman, G.; Yaylacı, E.-U.; Öner, E.; Birinci, A. Assessment of different solution methods for receding contact problems in functionally graded layered mediums. Mech. Mater. 2021, 154, 103730. [Google Scholar] [CrossRef]
- Öner, E.; Şabano, B.-Ş.; Yaylacı, E.-U.; Adıyaman, G.; Yaylacı, M.; Birinci, A. On the plane receding contact between two functionally graded layers using computational, finite element and artificial neural network methods. J. Appl. Math. Mech. ZAMM 2022, 102, e202100287. [Google Scholar] [CrossRef]
- Han, J.-H.; Kim, Y.-J.; Karkoub, M. Wave propagation modeling of fluid-filled pipes using hybrid analytical/two-dimensional finite element method. Wave Motion 2014, 51, 1193–1208. [Google Scholar] [CrossRef]
- Ghadiri, M.; Malekzadeh, K.; Ghasemi, F.A. Free Vibration of an Axially Preloaded Laminated Composite Beam Carrying a Spring-Mass-Damper System with a Non-Ideal Support. Jordan J. Mech. Ind. Eng. 2015, 9, 159–207. [Google Scholar]
- Amabili, M. A new third-order shear deformation theory with non-linearities in shear for static and dynamic analysis of laminated doubly curved shells. Compos. Struct. 2015, 128, 260–273. [Google Scholar] [CrossRef] [Green Version]
- Nguyen, N.-D.; Nguyen, T.-K.; Nguyen, T.-N.; Thai, H.T. New Ritz-solution shape functions for analysis of thermo-mechanical buckling and vibration of laminated composite beams. Compos. Struct. 2018, 184, 452–460. [Google Scholar] [CrossRef]
- Heydarpour, Y.; Aghdam, M.; Malekzadeh, P. Free vibration analysis of rotating functionally graded carbon nanotube-reinforced composite truncated conical shells. Compos. Struct. 2014, 117, 187–200. [Google Scholar] [CrossRef]
- Zhang, L.; Lei, Z.; Liew, K. Free vibration analysis of functionally graded carbon nanotube-reinforced composite triangular plates using the FSDT and element-free IMLS-Ritz method. Compos. Struct. 2015, 120, 189–199. [Google Scholar] [CrossRef]
- García-Macías, E.; Castro-Triguero, R.; Flores, E.I.S.; Friswell, M.; Gallego, R. Static and free vibration analysis of functionally graded carbon nanotube reinforced skew plates. Compos. Struct. 2016, 140, 473–490. [Google Scholar] [CrossRef] [Green Version]
- Wu, H.; Yang, J.; Kitipornchai, S. Imperfection sensitivity of postbuckling behaviour of functionally graded carbon nanotube-reinforced composite beams. Thin-Walled Struct. 2016, 108, 225–233. [Google Scholar] [CrossRef]
- Ansari, R.; Torabi, J.; Shakouri, A.H. Vibration analysis of functionally graded carbon nanotube-reinforced composite elliptical plates using a numerical strategy. Aerosp. Sci. Technol. 2017, 60, 152–161. [Google Scholar] [CrossRef]
- Shi, Z.; Yao, X.; Pang, F.; Wang, Q. An exact solution for the free-vibration analysis of functionally graded carbon-nanotube-reinforced composite beams with arbitrary boundary conditions. Sci. Rep. 2017, 7, 1–18. [Google Scholar]
- Safarpour, H.; Mohammadi, K.; Ghadiri, M.; Barooti, M.M. Effect of porosity on flexural vibration of CNT-reinforced cylindrical shells in thermal environment using GDQM. Int. J. Struct. Stab. Dyn. 2018, 18, 1850123. [Google Scholar] [CrossRef]
- Ebrahimi, F.; Seyfi, A.; Dabbagh, A. Wave dispersion characteristics of agglomerated multi-scale hybrid nanocomposite beams. J. Strain Anal. Eng. Design. 2019, 54, 276–289. [Google Scholar] [CrossRef]
- Ebrahimi, F.; Seyfi, A. Wave propagation response of multi-scale hybrid nanocomposite shell by considering aggregation effect of CNTs. Mech. Based Des. Struct. Mach. 2019, 49, 59–80. [Google Scholar]
- Ebrahimi, F.; Seyfi, A. Wave propagation response of agglomerated multi-scale hybrid nanocomposite plates. Waves Random Complex Media. 2020, 1–25. [Google Scholar] [CrossRef]
- Qaderi, S.; Ebrahimi, F.; Seyfi, A. An investigation of the vibration of multi-layer composite beams reinforced by graphene platelets resting on two parameter viscoelastic foundation. SN Appl. Sci. 2019, 1, 399. [Google Scholar] [CrossRef] [Green Version]
- Ebrahimi, F.; Seyfi, A.; Dabbagh, A.; Tornabene, F. Wave dispersion characteristics of porous graphene platelet-reinforced composite shells. Struct. Eng. Mech. 2019, 71, 99–107. [Google Scholar]
- Javani, M.; Kiani, Y.; Eslami, M. Thermal buckling of FG graphene platelet reinforced composite annular sector plates. Thin-Walled Struct. 2020, 148, 106589. [Google Scholar] [CrossRef]
- Khaniki, H.B.; Ghayesh, M.H. On the dynamics of axially functionally graded CNT strengthened deformable beams. Eur. Phys. J. Plus. 2020, 135, 415. [Google Scholar] [CrossRef]
- Trang, L.T.N.; Tung, H.V. Thermally induced postbuckling of higher order shear deformable CNT-reinforced composite flat and cylindrical panels resting on elastic foundations with elastically restrained edges. Mech. Based Des. Struct. Mach. 2020, 1–24. [Google Scholar] [CrossRef]
- Ebrahimi, F.; Nouraei, M.; Seyfi, A. Wave dispersion characteristics of thermally excited graphene oxide powder-reinforced nanocomposite plates. Waves Random Complex Media 2020, 32, 204–232. [Google Scholar] [CrossRef]
- Merzouki, T.; Ahmed, H.M.S.; Bessaim, A.; Haboussi, M.; Dimitri, R.; Tornabene, F. Bending analysis of functionally graded porous nanocomposite beams based on a non-local strain gradient theory. Math. Mech. Solids. 2022, 27, 66–69. [Google Scholar] [CrossRef]
- Mahmure, A.; Tornabene, F.; Dimitri, R.; Kuruoglu, N. Free vibration of thin-walled composite shell structures reinforced with uniform and linear carbon nanotubes: Effect of the elastic foundation and nonlinearity. Nanomaterials 2021, 11, 2090. [Google Scholar] [CrossRef]
- Ebrahimi, F.; Seyfi, A. Wave dispersion analysis of embedded MWCNTs-reinforced nanocomposite beams by considering waviness and agglomeration factors. Waves Random Complex Media. 2021, 1–20. [Google Scholar] [CrossRef]
- Lin, F.; Xiang, Y. Vibration of carbon nanotube reinforced composite beams based on the first and third order beam theories. Appl. Math. Model. 2014, 38, 3741–3754. [Google Scholar] [CrossRef]
- Truesdell, C. Linear Theories of Elasticity and Thermoelasticity: Linear and Nonlinear Theories of Rods, Plates, and Shells; Springer: Berlin/Heidelberg, Germany, 2013; Volume 2. [Google Scholar]
- Hashmi, S. Comprehensive Materials Processing; Newnes: Oxford, UK, 2014. [Google Scholar]
- Ebrahimi, F.; Barati, M.R. Longitudinal varying elastic foundation effects on vibration behavior of axially graded nanobeams via nonlocal strain gradient elasticity theory. Mech. Adv. Mater. Struct. 2018, 25, 953–963. [Google Scholar] [CrossRef]
- Loy, C.; Lam, K.; Reddy, J. Vibration of functionally graded cylindrical shells. Int. J. Mech. Sci. 1999, 41, 309–324. [Google Scholar] [CrossRef]












| Properties | Units | CNT [28] | Matrix [28] |
|---|---|---|---|
| GPa | 5646.6 | 2.5 | |
| Kg/m3 | 1400 | 1190 | |
| - | 0.28 | 0.3 |
| Loy [38] | Present | |
|---|---|---|
| 1 | 0.016102 | 0.0161011 |
| 2 | 0.009387 | 0.0093865 |
| 3 | 0.022108 | 0.0221045 |
| 4 | 0.042096 | 0.0420954 |
| 5 | 0.068008 | 0.0680080 |
| 6 | 0.099730 | 0.0997300 |
Publisher’s Note: MDPI stays neutral with regard to jurisdictional claims in published maps and institutional affiliations. |
© 2022 by the authors. Licensee MDPI, Basel, Switzerland. This article is an open access article distributed under the terms and conditions of the Creative Commons Attribution (CC BY) license (https://creativecommons.org/licenses/by/4.0/).
Share and Cite
Seyfi, A.; Teimouri, A.; Dimitri, R.; Tornabene, F. Dispersion of Elastic Waves in Functionally Graded CNTs-Reinforced Composite Beams. Appl. Sci. 2022, 12, 3852. https://doi.org/10.3390/app12083852
Seyfi A, Teimouri A, Dimitri R, Tornabene F. Dispersion of Elastic Waves in Functionally Graded CNTs-Reinforced Composite Beams. Applied Sciences. 2022; 12(8):3852. https://doi.org/10.3390/app12083852
Chicago/Turabian StyleSeyfi, Ali, Amir Teimouri, Rossana Dimitri, and Francesco Tornabene. 2022. "Dispersion of Elastic Waves in Functionally Graded CNTs-Reinforced Composite Beams" Applied Sciences 12, no. 8: 3852. https://doi.org/10.3390/app12083852
APA StyleSeyfi, A., Teimouri, A., Dimitri, R., & Tornabene, F. (2022). Dispersion of Elastic Waves in Functionally Graded CNTs-Reinforced Composite Beams. Applied Sciences, 12(8), 3852. https://doi.org/10.3390/app12083852

