Analysis of the Seismic Behavior of a Wall Pier of a Covered Bridge Based on the Multi-Layer Shell Element
Abstract
:Feature Application
Abstract
1. Introduction
2. Numerical Model of the Wall Pier
2.1. Wall Pier
2.2. Finite Element Model
2.3. Modeling Parameters
3. Results and Discussions
3.1. Hysteretic Curves and Skeleton Curves
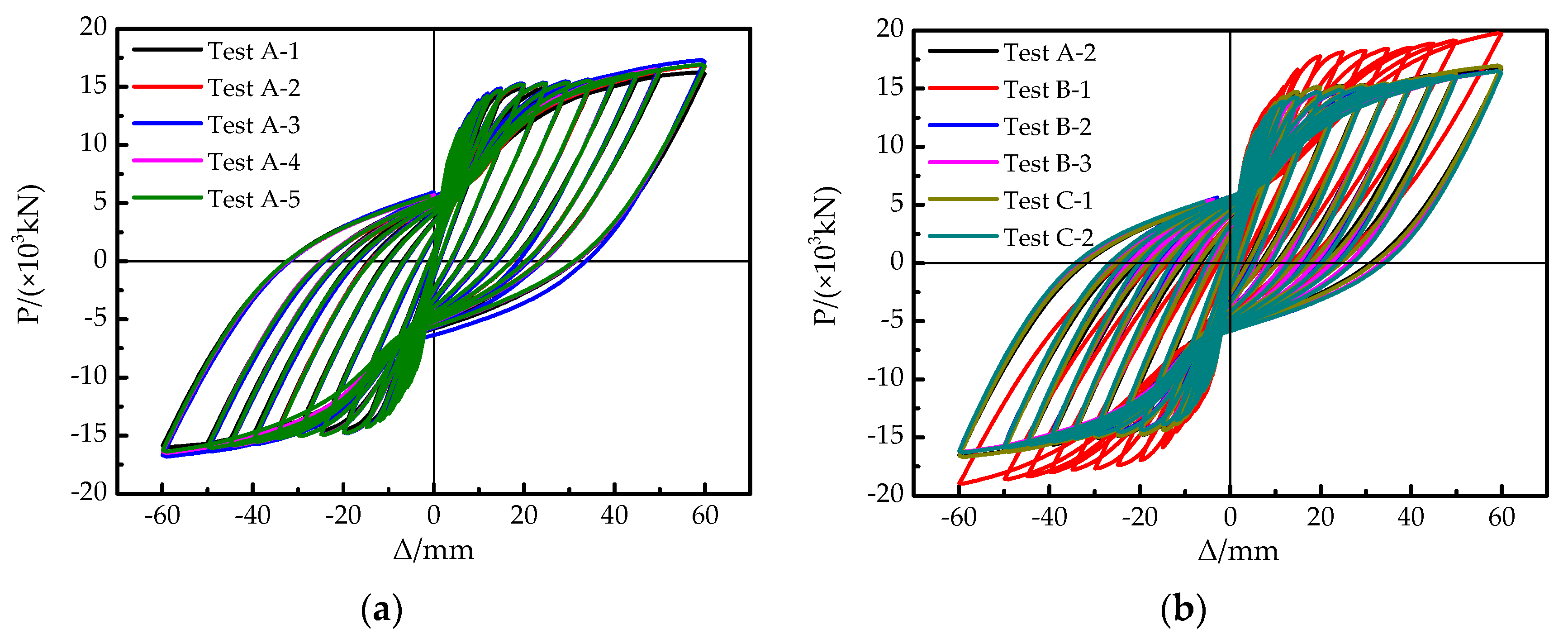
3.1.1. Number of Layers
3.1.2. Parameters i and j of Meshing
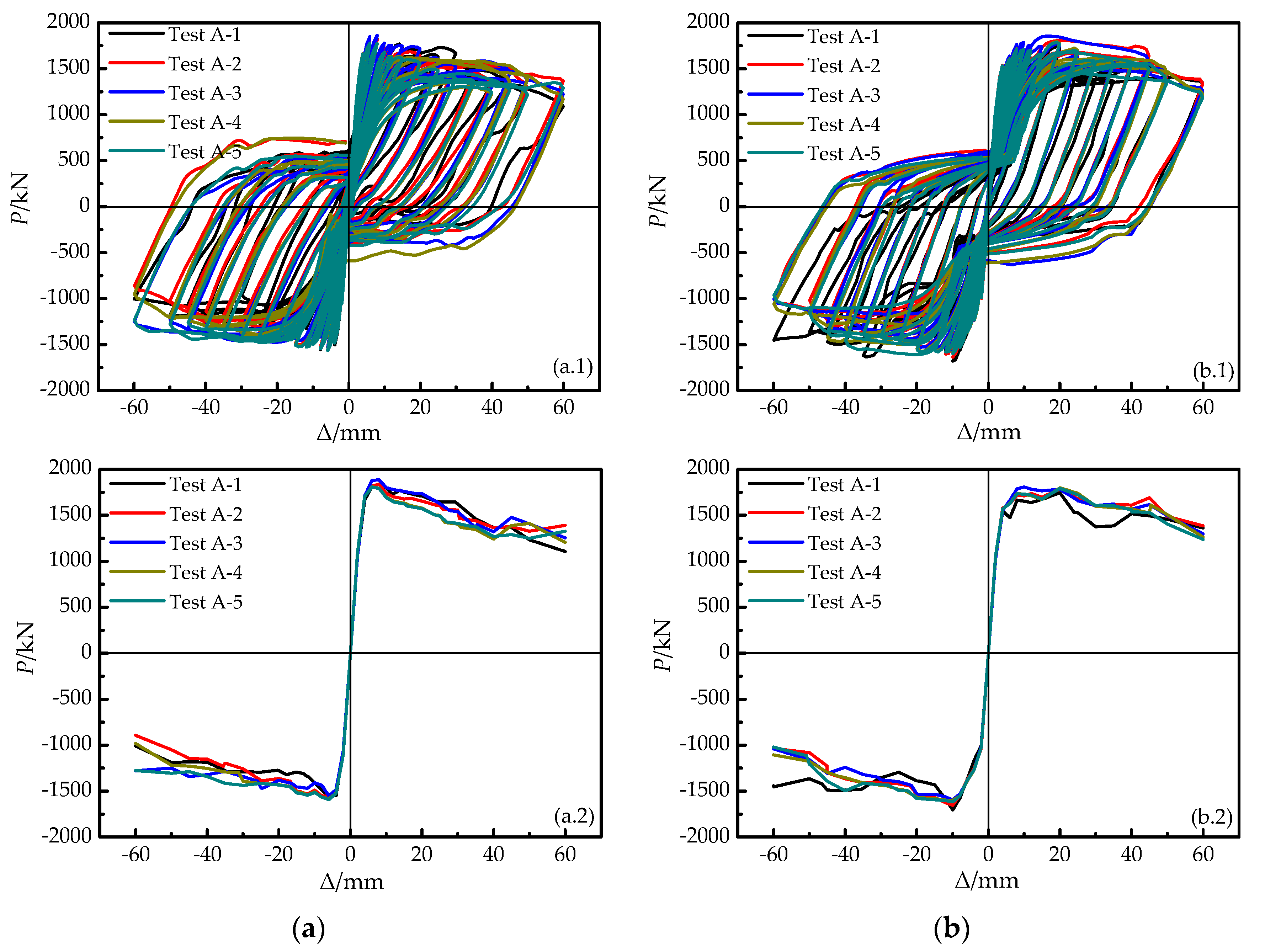
3.1.3. Loading Pattern
3.2. Energy Dissipation
3.3. Stiffness Degradation
3.4. Bearing Capacity and Displacement Ductility
4. Conclusions
- (1)
- Adopting the force–displacement curve of the local position is more conducive to studying the seismic performance of wall pier.
- (2)
- The discretization of layers along the thickness direction of the multi-layer shell element model has a very limited effect on the hysteretic curves and skeleton curves. The horizontal mesh division depends on that of the vertical, and the length of vertical mesh should be longer than the plastic hinge length of 0.5744 m.
- (3)
- The arrangement of loading points is critical for the seismic behavior of the wall pier. The pier suffering the force from the five points presents a relatively strong energy dissipation and larger ductility, but this layout may cause a more concentrated force at the local position.
- (4)
- When the loading pattern is evenly distributed, the capacity and displacement changes sharply and the ductility diminishes. Successively, the seismic performance indexes at the local position of the wall pier tend to be more consistent with the increasing loading points. The deformation and energy dissipation capacity of the nearby position with the denser side loading points become larger, but it has a minor impact on the seismic performance of the position far from the points.
- (5)
- The wall pier without a bent cap and with three bearings set is supposed to be more reasonable for the covered bridge through the overall analysis of seismic performance.
Author Contributions
Funding
Acknowledgments
Conflicts of Interest
References
- Bignell, J.L.; LaFave, J.M.; Hawkins, N.M. Seismic vulnerability assessment of wall pier supported highway bridges using nonlinear pushover analyses. Eng. Struct. 2005, 27, 2044–2063. [Google Scholar] [CrossRef]
- Wang, K.H. Seismic Research of Bridges, 2nd ed.; China Railway Press: Beijing, China, 2015; pp. 136–138. (In Chinese) [Google Scholar]
- Bignell, J.L. Assessment of the Seismic Vulnerability of Wall Pier Supported Highway Bridges on Priority Emergency Routes in Southern Illinois. Ph.D. Thesis, University of Illinois at Urbana-Champaign, Urbana, IL, USA, 2006. [Google Scholar]
- Siddiquee, K.N. Seismic Vulnerability Assessment of Wall Pier Highway Bridges in British Columbia. Master’s Thesis, University of British Columbia, Okanagan, BC, Canada, 2015. [Google Scholar]
- Chen, L.B.; Tu, Y.; He, L.Q. A probabilistic capacity model and seismic vulnerability analysis of wall pier bridges. Appl. Sci. 2020, 10, 926. [Google Scholar] [CrossRef] [Green Version]
- Zhou, Z. The Influence of Shear-Span Ration on the Seismic Response of Round-Ended Solid Piers in High Speed Rail. Master’s Thesis, Central South University, Changsha, China, 2014. (In Chinese). [Google Scholar]
- Ma, L.; Xia, X.S.; Chen, X.C. Analysis and comparison of analysis models for seismic responses of railway bridge transverse piers. J. Lanzhou Jiaotong Univ. 2019, 38, 20–25. (In Chinese) [Google Scholar]
- Shao, G.Q.; Jiang, L.Z.; Chouw, N. Experimental investigations of the seismic performance of bridge piers with rounded rectangular cross-sections. Earthq. Struct. 2014, 7, 463–484. [Google Scholar] [CrossRef]
- Li, L. Ductility Seismic Analysis of High-speed Railway Bridge Piers with Low Reinforcement Ratio. Master’s Thesis, Beijing Jiaotong University, Beijing, China, 2017. (In Chinese). [Google Scholar]
- Salazar, R.; Baylon, M.B.; Lomibao, J.P.M. Seismic Vulnerability Assessment of Pandacan Rail Bridge Wall Pier Using Fragility Curves. Bachelor’s Thesis, University of the City of Manila, Manila, Philippines, 2018. [Google Scholar]
- Miao, Z.W.; Lu, X.Z.; Jiang, J.J. Nonlinear FE model for RC shear walls based on multi-layer shell element and microplane constitutive model. In Computational Methods in Engineering and Science; Tsinghua University Press & Spring: Sanya, China, 2006. [Google Scholar]
- Lu, X.Z.; Jiang, Q.; Miao, Z.W. Elasto-Plastic Analysis of Buildings against Earthquake, 2nd ed.; Building Industry Press of China: Beijing, China, 2015; pp. 198–203. (In Chinese) [Google Scholar]
- Xie, L.L.; Huang, Y.L.; Lu, X.Z. Elasto-plastic analysis for super tall RC frame-core tube structures based on OpenSEES. Eng. Mech. 2014, 31, 64–71. (In Chinese) [Google Scholar]
- Feng, D.C.; Ren, X.D.; Li, J. Cyclic behavior modeling of reinforced concrete shear walls based on softened damage-plasticity model. Eng. Struct. 2018, 166, 363–375. [Google Scholar] [CrossRef]
- Lu, X.Z.; Xie, L.L.; Guan, H. A shear wall element for nonlinear seismic analysis of super-tall buildings using OpenSEES. Finite Elem. Anal. Design 2015, 98, 14–25. [Google Scholar] [CrossRef] [Green Version]
- Lu, X.; Lu, X.Z.; Guan, H. Collapse simulation of reinforced concrete high-rise building induced by extreme earthquakes. Earthq. Eng. Struct. Dyn. 2013, 42, 705–723. [Google Scholar] [CrossRef] [Green Version]
- Maio, Z.W.; Ye, L.P.; Guan, H.; Lu, X.Z. Evaluation of modal and traditional pushover analyses in frame-shear-wall structures. Adv. Struct. Eng. 2011, 14, 815–836. [Google Scholar] [CrossRef] [Green Version]
- Hallinan, P.; Guan, H. Layered finite element analysis of one-way and two-way concrete walls with openings. Adv. Struct. Eng. 2007, 10, 55–72. [Google Scholar] [CrossRef] [Green Version]
- Guan, H.; Loo, Y.C. Flexural and shear failure analysis of reinforced concrete slabs and flat plates. Adv. Struct. Eng. 1997, 1, 71–85. [Google Scholar] [CrossRef]
- Wang, L.S.; Cen, S.; Xie, L.L. Development of a shear wall model based on new flat shell element for large deformation simulation and application in OpenSEES. Eng. Mech. 2016, 33, 47–54. (In Chinese) [Google Scholar]
- Menegotto, M.; Pinto, P.E. Method of analysis for cyclically loaded R. C. plane frames including changes in geometry and non-elastic behavior of elements under combined normal force and bending. In Symposium on the Resistance and Ultimate Deformability of Structures Acted on by Well Defined Repeated Loads; International Association for Bridge and Structural Engineering: Zurich, Switzerland, 1973; pp. 15–22. Available online: https://xueshu.baidu.com/usercenter/paper/show?paperid=55bb32dc263dc66729848ec15f1a82f5 (accessed on 3 March 2022).
- Pozo, J.D.; Hube, M.A.; Kurama, Y.C. Quantitative assessment of nonlinear macro-models for global behavior and design of planar RC walls. Eng. Struct. 2020, 224, 111190. [Google Scholar] [CrossRef]
- Kolozvari, K.; Biscombe, L.; Dashti, F.; Dhakal, R.P.; Gogus, A.; Gullu, M.F.; Henry, R.S.; Massone, L.M.; Orakcal, K.; Rojas, F.; et al. State-of-the-art in nonlinear finite element modeling of isolated planar reinforced concrete walls. Eng. Struct. 2019, 194, 46–65. [Google Scholar] [CrossRef]
- Bignell, J.L.; LaFave, J.M. Analytical fragility analysis of southern Illinois wall pier supported highway bridges. Earthq. Eng. Struct. Dyn. 2010, 39, 709–729. [Google Scholar] [CrossRef]
- Hantouche, E.G.; Harajli, M.; Haddadin, F.; Elsouri, A. Seismic strengthening of bond-critical regions in wall-type bridge piers using active confinement. J. Bridge Eng. 2014, 20, 04015002. [Google Scholar] [CrossRef] [Green Version]
- Zhi, Q.; Kang, L.; Jia, L.; Xiong, J.; Guo, Z. Seismic performance of precast shear walls prestressed via post-tensioned high strength bars placed inside grouted corrugated pipes. Eng. Struct. 2021, 237, 112153. [Google Scholar] [CrossRef]
- Xu, C.X.; Deng, J.; Peng, S.; Li, C.Y. Seismic fragility analysis of steel reinforced concrete frame structures based on different engineering demand parameters. J. Build. Eng. 2018, 20, 736–749. [Google Scholar] [CrossRef]
- Psycharis, I.N.; Kalyviotis, I.M.; Mouzakis, H.P. Experimental investigation of the response of precast concrete cladding panels with integrated connections under monotonic and cyclic loading. Eng. Struct. 2018, 159, 75–88. [Google Scholar] [CrossRef]
- Park, R. Evaluation of ductility of structures and structural assemblages from laboratory testing. Bull. N. Z. Soc. Earthq. Eng. 1989, 22, 155–166. [Google Scholar] [CrossRef]










| Division | Model | n 1 | i 2 | j 3 |
|---|---|---|---|---|
| Layer division | TestA-1 | 10 | 5 | 34 |
| TestA-2 | 26 | 5 | 34 | |
| TestA-3 | 36 | 5 | 34 | |
| TestA-4 | 56 | 5 | 34 | |
| TestA-5 | 106 | 5 | 34 | |
| Vertical division | TestB-1 | 26 | 2 | 34 |
| TestA-2 | 26 | 5 | 34 | |
| TestB-2 | 26 | 10 | 34 | |
| TestB-3 | 26 | 20 | 34 | |
| Horizontal division | TestA-2 | 26 | 5 | 34 |
| TestC-1 | 26 | 5 | 68 | |
| TestB-2 | 26 | 10 | 34 | |
| TestC-2 | 26 | 10 | 68 |
| Model | p 1 | q 2 |
|---|---|---|
| TestA-2 | 3 | 3 |
| TestA-6 | 5 | 5 |
| TestA-7 | 3 | 17 |
| TestA-8 | 3 | 35 |
| Position | Model | Δy 1 (mm) | Fy 2 (kN) | Δp 3 (mm) | Fp 4 (kN) | Δu 5 (mm) | Fu 6 (kN) | Ductility |
|---|---|---|---|---|---|---|---|---|
| Node8 | TestA-2 | 3.63 | 1495.94 | 7.90 | 1672.60 | 27.25 | 1421.71 | 7.50 |
| TestA-6 | 5.78 | 2185.59 | 14.90 | 2665.40 | 57.79 | 2265.59 | 10.01 | |
| TestA-7 | 5.34 | 1325.37 | 9.10 | 1533.09 | 12.65 | 1303.12 | 2.37 | |
| TestA-8 | 5.03 | 1308.52 | 8.10 | 1448.15 | 11.93 | 1230.92 | 2.37 | |
| Node18 | TestA-2 | 4.31 | 1399.76 | 9.90 | 1664.09 | 41.74 | 1414.47 | 9.67 |
| TestA-6 | 2.43 | 939.29 | 6.10 | 1124.54 | 11.00 | 955.85 | 4.53 | |
| TestA-7 | 4.83 | 1254.92 | 8.10 | 1429.97 | 12.05 | 1215.47 | 2.50 | |
| TestA-8 | 4.81 | 1236.31 | 8.10 | 1409.40 | 11.66 | 1197.99 | 2.42 |
Publisher’s Note: MDPI stays neutral with regard to jurisdictional claims in published maps and institutional affiliations. |
© 2022 by the authors. Licensee MDPI, Basel, Switzerland. This article is an open access article distributed under the terms and conditions of the Creative Commons Attribution (CC BY) license (https://creativecommons.org/licenses/by/4.0/).
Share and Cite
Qiu, W.; Wang, K.; Yin, W. Analysis of the Seismic Behavior of a Wall Pier of a Covered Bridge Based on the Multi-Layer Shell Element. Appl. Sci. 2022, 12, 3499. https://doi.org/10.3390/app12073499
Qiu W, Wang K, Yin W. Analysis of the Seismic Behavior of a Wall Pier of a Covered Bridge Based on the Multi-Layer Shell Element. Applied Sciences. 2022; 12(7):3499. https://doi.org/10.3390/app12073499
Chicago/Turabian StyleQiu, Wenhua, Kehai Wang, and Weitao Yin. 2022. "Analysis of the Seismic Behavior of a Wall Pier of a Covered Bridge Based on the Multi-Layer Shell Element" Applied Sciences 12, no. 7: 3499. https://doi.org/10.3390/app12073499
APA StyleQiu, W., Wang, K., & Yin, W. (2022). Analysis of the Seismic Behavior of a Wall Pier of a Covered Bridge Based on the Multi-Layer Shell Element. Applied Sciences, 12(7), 3499. https://doi.org/10.3390/app12073499

