Study on Shear Performance of Short Bolt Interface in ECC–Steel Bridge Deck Composite Structure
Abstract
:1. Introduction
2. Materials and Methods
2.1. Specimen Design
2.2. Material Properties
2.3. Test Loading
3. Results and Discussions
3.1. Test Procedure and Phenomenon
3.2. Load–Slip Relationship
3.3. Load–Strain Relationship
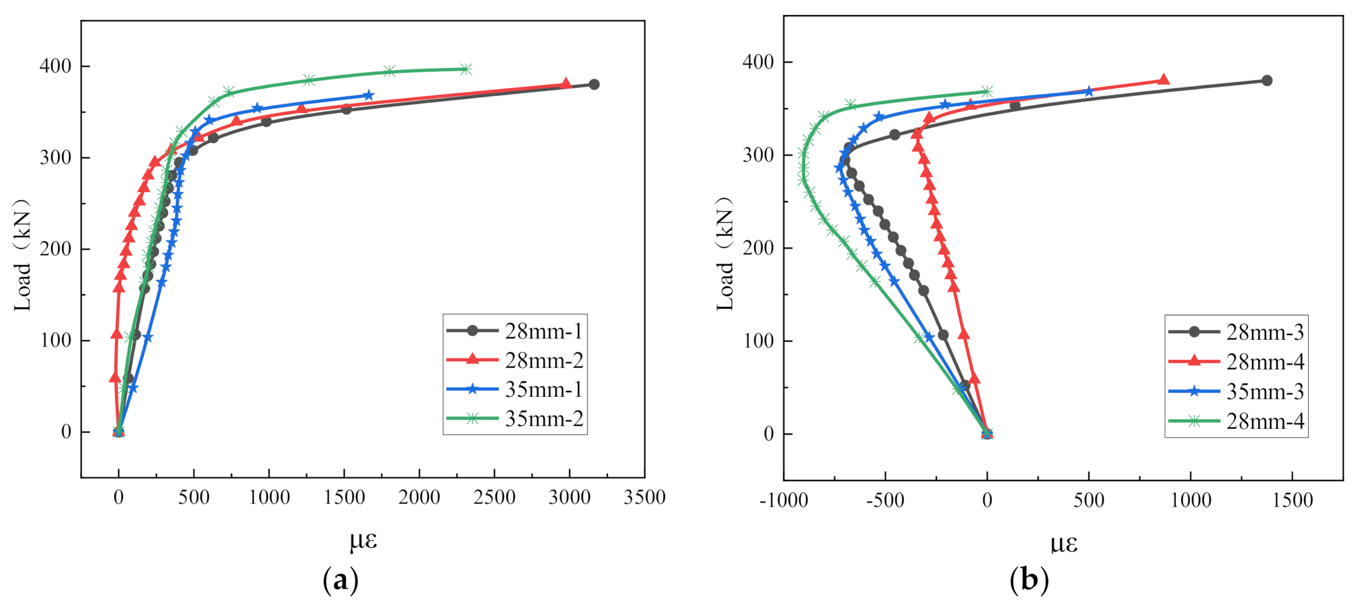
3.3.1. Stud Load–Strain Relationship
3.3.2. Surface Load–Strain Analysis of ECC Panels
3.3.3. Reinforcement Load–Strain Analysis
3.3.4. Steel Plate Load–Strain Analysis
3.4. Interfacial Gap Expansion Law
4. Conclusions
- (1)
- The load–slip curves of ECC-bolt composite specimens have common characteristics, and the curves can be roughly divided into the elastic stage, elastoplastic stage and plastic stage. The short stud is used as a force-transmitting connector in the ECC plate, and the shear force between the steel plate and the ECC mainly produces two failure modes, namely, the shearing of the bolt and the shearing of the weld at the root of the stud. The ECC plate has a local crushing area at the root of the interface stud, and no large cracks are generated in the rest area, which reflects the characteristics of high ductility.
- (2)
- The shear bearing capacity of short studs in ECC was significantly affected by the stud diameter, while it was less affected by the stud height and spacing. The larger the diameter of the stud, the greater the shear capacity, but the relative slip of the peak value decreases with the increase in the diameter, that is, the ductility of the component decreases relatively. For peg members of the same diameter, the ultimate bearing capacity is slightly larger if the spacing between the pegs is slightly smaller.
- (3)
- The stud load–strain curve exhibits a two-segment linear relationship, and there is no transition segment. Therein, increasing the height of the pegs increases the bearing capacity and increases the ductility of the pegs.
- (4)
- The height of the stud has an important influence on the force on the surface of the ECC board. The longer the peg, the greater the tensile stress on the ECC surface; the shorter the peg, the more inclined the ECC plate is to be compressed eccentrically; and the longer the peg, the more inclined to be compressed axially.
- (5)
- For this work, the best load capacity of the specimen with 22 mm diameter, 100 mm spacing and 35 mm height of the bolts was found. The parameters studied in this paper are relatively few, and more parameters (such as ECC layer thickness, reinforcement arrangement and weld form) should be considered for the subsequent study on the effect of the shear performance of the pins.
Author Contributions
Funding
Institutional Review Board Statement
Informed Consent Statement
Data Availability Statement
Acknowledgments
Conflicts of Interest
References
- Jiang, F.; Ji, B.; Fu, Z.; Yao, Y. Effect of Weld Profiles on Fatigue Performance of Deck to U-Rib Weld in Orthotropic Steel Deck. Iran. J. Sci. Technol. Trans. Civ. Eng. 2021. prepublish. [Google Scholar] [CrossRef]
- Wang, Y.; Shao, X.; Shen, X.; Cao, J. Static and fatigue tests of steel strip-UHPC composite bridge deck structures. Chin. J. Highw. 2021, 34, 261–272. [Google Scholar]
- Liu, Y.; Wang, Z.; Lu, N.; Wang, H. Analysis of Through-Type Fatigue Crack Growth Characteristics of Orthotropic Steel Bridge Deck. Highw. Eng. 2021, 23, 1–10. [Google Scholar]
- Jiang, F.; Ding, Y.; Song, Y.; Geng, F.; Wang, Z. Digital Twin-driven framework for fatigue life prediction of steel bridges using a probabilistic multiscale model: Application to segmental orthotropic steel deck specimen. Eng. Struct. 2021, 241, 112461. [Google Scholar] [CrossRef]
- Huang, R.; Zhang, H.; Cui, L. Research status of fatigue test of steel bridge deck system full-scale structures. Low Temp. Build. Technol. 2021, 43, 91–95. [Google Scholar]
- Guo, Z.; Xu, H.; He, X. Analytical Analysis Method of Wheel Load Lateral Effect of Orthotropic Steel Bridge Deck. Chin. J. Comput. Mech. 2021, 76, 1–9. [Google Scholar]
- Emara, M.; Mohamed, H.A.; Rizk, M.S.; Hu, J.W. Behavior of ECC columns confined using steel wire mesh under axial loading. J. Build. Eng. 2021, 43, 102809. [Google Scholar] [CrossRef]
- Yuan, W.-Y.; Han, Q.; Bai, Y.-L.; Du, X.-L.; Yan, Z.-W. Compressive behavior and modelling of engineered cementitious composite (ECC) confined with LRS FRP and conventional FRP. Compos. Struct. 2021, 272, 114200. [Google Scholar] [CrossRef]
- Zheng, A.; Liu, Z.; Li, F.; Li, S. Experimental investigation of corrosion-damaged RC beams strengthened in flexure with FRP grid-reinforced ECC matrix composites. Eng. Struct. 2021, 244, 112779. [Google Scholar] [CrossRef]
- Yang, X.; Xu, L.; Pan, J. Mechanical behavior of full-scale composite steel plate shear wall restrained by ECC panels. J. Build. Eng. 2021, 44, 102864. [Google Scholar] [CrossRef]
- Li, V.C. Performance driven design of fiber reinforced cementitious composites. In Proceedings of the International Symposium on Fibre Reinforced Cement and Concrete, Sheffield, England, 20–23 July 1992; Volume 12. [Google Scholar]
- Liu, Y.; Zhong, Y.; Zhao, Z.; Li, B.; Deng, B. Research on the Preparation Theory and Technology of High Strength and Tough ECC Materials. Met. World 2018, 1, 20–22. [Google Scholar]
- Guo, L.; Chen, Z.; Chen, B.; Yang, Y. Adaptive Design Theory and Reliability Verification of Eco-Type High-ductility Cementitious Composites I: Adaptive Design Theory. Mater. Rev. 2019, 33, 744–749. [Google Scholar]
- Mustafa, S.; Gurkan, Y.; Tahir, K.E. Self-healing capability of cementitious composites incorporating different supplementary cementitious materials. Cem. Concr. Compos. 2013, 35, 89–101. [Google Scholar]
- Sahmaran, M.; Li, M.; Li, V.C. Transport Properties of Engineered Cementitious Composites under Chloride Exposure. ACI Mater. J. 2007, 104, 604–611. [Google Scholar]
- Fan, J.; Liu, R.; Zhang, J.; Yang, S.; Ai, Z. Experimental Study on Negative Moment Performance of Laminated Slab Composite Beams Using Hybrid Fiber ECC. Chin. J. Civ. Eng. 2021, 54, 57–67. [Google Scholar]
- Zhang, S.; Li, F.; Shao, X. Theory and design method of interface shear resistance of steel-UHPC composite bridge deck. Highw. Eng. 2021, 46, 157–163. [Google Scholar]
- Zhang, W.; Wang, Y.; Rong, R.; Bi, Y.; Song, J. Experimental study on flexural performance of steel-ECC composite bridge deck structure based on steel mesh connection. Highw. Traffic Technol. 2020, 36, 80–85. [Google Scholar]
- Al-Tayeb, M.M. Effect of Olive Biomass Ash (OBA) as Cement Replacement in Performance of Polyvinyl Alcohol Engineered Cementitious Composite (ECC-PVA). J. Environ. Earth Sci. 2020, 10, 63–71. [Google Scholar]
- Fang, Y.; Mengcheng, C.; Jinlong, P. Experimental study on seismic behaviours of hybrid FRP–steel-reinforced ECC–concrete composite columns. Compos. Part B 2019, 176, 107272. [Google Scholar]
- Zheng, X.; Zhang, J. Bending performance of high-strength ECC-steel composite beams considering shrinkage. In Proceedings of the 13th Symposium on High Performance Concrete, Tangshan, China, 26 July 2019. [Google Scholar]
- Guan, Y.; Wu, J.; Sun, R.; Zhang, H.; Hu, Y.; Wang, F. Transverse Flexural Behaviour of Steel-Engineering Cementitious Composites (ECC) Composite Deck under Negative and Positive Bending Forces. KSCE J. Civ. Eng. 2021, 25, 2962–2973. [Google Scholar] [CrossRef]
- Li, V.C. Research progress and application of high ductility fiber-reinforced cementitious composites. J. Silic. 2007, 4, 531–536. [Google Scholar]
- Bruno, T. Fatigue and Static Strength of Stud Shear Connectors. J. Proc. 1959, 55, 1287–1302. [Google Scholar]
- Im, V. Investigation of stud shear connector for composite concrete and steel T-beams. J. Am. Concr. Inst. 1956, 52, 875–892. [Google Scholar]
- Shao, X.; Li, M.; Cao, J.; He, G.; Chen, Y.; Zhao, X. Experimental and theoretical analysis on shear performance of UHPC medium and short studs. Chin. J. Highw. 2021, 34, 191–204. [Google Scholar]













| Symbol | Quantity | Diameter ds/mm | High hs/mm | Spacing L/mm |
|---|---|---|---|---|
| STUD1 | 1 | 13 | 28 | 100 |
| STUD2 | 1 | 13 | 28 | 150 |
| STUD3 | 1 | 13 | 35 | 100 |
| STUD4 | 1 | 13 | 35 | 150 |
| STUD5 | 1 | 16 | 28 | 100 |
| STUD6 | 1 | 16 | 28 | 150 |
| STUD7 | 1 | 16 | 35 | 100 |
| STUD8 | 1 | 16 | 35 | 150 |
| STUD9 | 1 | 19 | 28 | 100 |
| STUD10 | 1 | 19 | 28 | 150 |
| STUD11 | 1 | 19 | 35 | 100 |
| STUD12 | 1 | 19 | 35 | 150 |
| STUD13 | 1 | 22 | 28 | 100 |
| STUD14 | 1 | 22 | 28 | 150 |
| STUD15 | 1 | 22 | 35 | 100 |
| STUD16 | 1 | 22 | 35 | 150 |
| Compressive Strength/MPa | Flexural Strength/MPa | Tensile Strength/MPa | Elastic Modulus/GPa | Poisson’s Ratio |
|---|---|---|---|---|
| 50 | 23.4 | 5 | 34.5 | 0.2 |
| Fiber Type | Length/mm | Diameter/μm | Elastic Modulus/GPa | Tensile Strength/MPa | Volume Content |
|---|---|---|---|---|---|
| Polyvinyl alcohol fiber | 12 | 14 | 36 | 1550 | 2.5% |
| Type of Steel | Elastic Modulus/GPa | Yield Strength/MPa | Tensile Strength/MPa | Remark |
|---|---|---|---|---|
| Q345H section steel | 206 | 372 | 520 | Test value |
| HRB40 steel bar | 192 | 465 | 576 | Test value |
| 13 mm pegs | 206 | 300 | 370 | Manufacturers provide |
| 16 mm pegs | 206 | 300 | 370 | Manufacturers provide |
| 19 mm pegs | 206 | 300 | 370 | Manufacturers provide |
| 22 mm pegs | 206 | 300 | 370 | Manufacturers provide |
| Symbol | Fmax/kN | Pu/kN | δmax/mm | Destruction Form |
|---|---|---|---|---|
| STUD1 | 335.2 | 41.9 | 3.7 | Pins sheared, unilateral damage |
| STUD2 | 331.4 | 43.9 | 3.4 | Pins sheared, bilateral damage |
| STUD3 | 329.0 | 41.1 | 3.61 | Pins sheared, unilateral damage |
| STUD4 | 342.0 | 42.7 | 3.32 | Pins sheared, unilateral damage |
| STUD5 | 327.3 | 40.9 | 3.1 | Pins sheared, unilateral damage |
| STUD6 | 327.0 | 40.8 | 3.1 | Pins sheared, bilateral damage |
| STUD7 | 353.1 | 44.1 | 2.4 | Pins sheared, unilateral damage |
| STUD8 | 333.6 | 41.7 | 2.8 | Pins sheared, bilateral damage |
| STUD9 | 386.9 | 48.3 | 2.4 | Weld sheared, unilateral damage |
| STUD10 | 376.5 | 47.0 | 2.51 | Pins sheared, unilateral damage |
| STUD11 | 401.4 | 50.1 | 2.2 | Weld sheared, bilateral damage |
| STUD12 | 360.5 | 45.0 | 2.7 | Pins sheared, unilateral damage |
| STUD13 | 520.3 | 65.0 | 2.22 | Weld sheared, unilateral damage |
| STUD14 | 381.1 | 47.6 | 2.1 | Pins sheared, unilateral damage |
| STUD15 | 562.0 | 70.0 | 2.0 | Weld sheared, unilateral damage |
| STUD16 | 411.0 | 51.3 | 2.43 | Pins sheared, unilateral damage |
Publisher’s Note: MDPI stays neutral with regard to jurisdictional claims in published maps and institutional affiliations. |
© 2022 by the authors. Licensee MDPI, Basel, Switzerland. This article is an open access article distributed under the terms and conditions of the Creative Commons Attribution (CC BY) license (https://creativecommons.org/licenses/by/4.0/).
Share and Cite
Zeng, Z.; Li, C.; Wang, S.; Liu, Y.; Chen, Z.; Lv, Y. Study on Shear Performance of Short Bolt Interface in ECC–Steel Bridge Deck Composite Structure. Appl. Sci. 2022, 12, 2685. https://doi.org/10.3390/app12052685
Zeng Z, Li C, Wang S, Liu Y, Chen Z, Lv Y. Study on Shear Performance of Short Bolt Interface in ECC–Steel Bridge Deck Composite Structure. Applied Sciences. 2022; 12(5):2685. https://doi.org/10.3390/app12052685
Chicago/Turabian StyleZeng, Zhenhai, Chuanxi Li, Shengqi Wang, Yan Liu, Zhuoyi Chen, and Yigang Lv. 2022. "Study on Shear Performance of Short Bolt Interface in ECC–Steel Bridge Deck Composite Structure" Applied Sciences 12, no. 5: 2685. https://doi.org/10.3390/app12052685
APA StyleZeng, Z., Li, C., Wang, S., Liu, Y., Chen, Z., & Lv, Y. (2022). Study on Shear Performance of Short Bolt Interface in ECC–Steel Bridge Deck Composite Structure. Applied Sciences, 12(5), 2685. https://doi.org/10.3390/app12052685

