Structural Performance Degradation of Corrosion-Damaged Reinforced Concrete Beams Based on Finite Element Analysis
Abstract
1. Introduction
- (1)
 - Formation of white patches: Calcium carbonate is produced by reactions between atmospheric carbon dioxide and calcium hydroxide in the cement paste. This calcium carbonate is deposited by moisture on the concrete surface, thereby forming white patches;
 - (2)
 - Brown patches of steel: An iron oxide layer forms on the upper part of a steel bar when corrosion begins, and this is carried by moisture to the surface of concrete;
 - (3)
 - Formation of cracks: The products of corrosion occupy more space than the original materials, and the pressure exerted on the concrete causes cracks. The greater the corrosion, the wider the cracks;
 - (4)
 - Spalling of concrete: The weakened bond between concrete and steel causes spalling, and the cross-sectional area of steel also decreases;
 - (5)
 - Snapping of bars: The reduced cross-sectional area leads to the snapping of steel bars;
 - (6)
 - Buckling of bars: Concrete spalling and snapping of bars contribute to the buckling of main bars. The concrete swells up, affecting the stability and service life of RC structures.
 
2. Outline of the Existing Research Conducted by Authors
2.1. Material Testing and Specimen Design
2.2. Experimental Method and Test Results
3. Methodology of Finite Element Analysis
3.1. Overview of the Analysis Program
3.2. Concrete Analysis Model
- (1)
 - Concrete stress-strain model
 
- (2)
 - Concrete compression softening model
 
- (3)
 - Concrete tensile increase model
 
3.3. Rebar Analysis Model
3.4. FEA Model
4. Results of FEA
4.1. Beam Controlled by Flexure
4.2. Beam Controlled by Shear
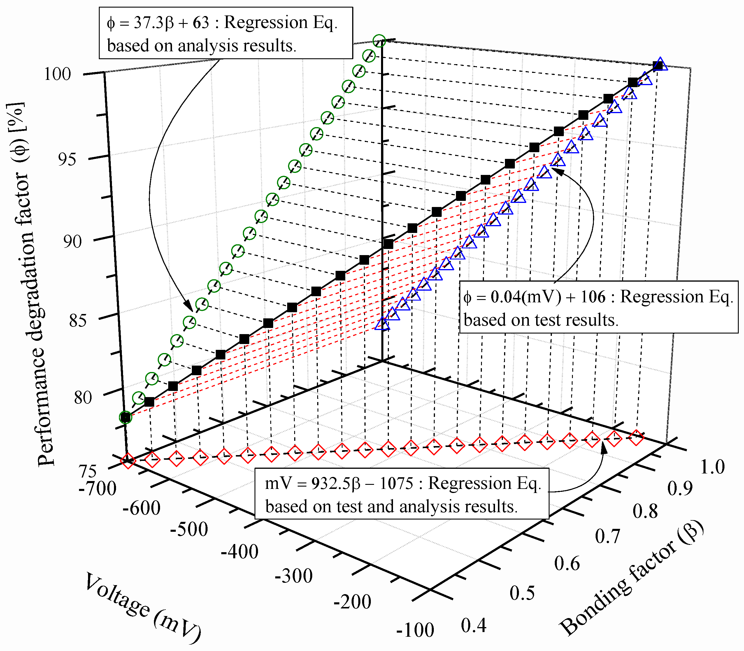
5. ϕ–β–mV Correlation Curve Obtained by Structural Test and FEA
6. Conclusions
- (1)
 - A comparison of the test and analysis results of a flexural beam comparison specimen (uncorroded) revealed that the ultimate load in analysis was approximately 1.07 times greater than that in the test, and the deflections at the ultimate load in test was approximately 0.99 times smaller than that in analysis. On the contrary, a comparison of the test and analysis results on a shear beam comparison specimen revealed that the ultimate load in analysis was approximately 1.03 times greater than that in the test, and the deflections at the ultimate load in analysis was approximately 1.06 times greater than that in test. FEA using VecTor2 yielded behaviors similar to the test results, and the method used in this study to determine the impact of the reinforcement corrosion-induced decrease in bonding performance of shear beam on the structural performance degradation based on strength-deformation capacity can be considered an efficient way to determine the correlation between bonding factor (β) and performance degradation factor (ϕ).
 - (2)
 - The FEA-derived bonding factor (β) and performance degradation factor (ϕ) of flexural beam can be approximated with the equation , and a high correlation is seen (R2 = 0.94). Furthermore, the β–ϕ correlation and the correlation between the average potential difference in voltage (mV) of each rebar-corroded flexural beam specimen and performance degradation factor (ϕ) (, R2 = 0.78) obtained in a previous study [1] yielded the β–mV correlation with respect to the performance degradation factor (ϕ). In the case of shear member, FEA resulted in , which enables regression approximation, showing a high correlation (R2 = 0.98). As was the case with flexural beam, the β–ϕ correlation of shear beam and the mV–ϕ correlation equation (, R2 = 0.91) for the test result were integrated to yield the β–mV correlation () of shear beam with respect to performance degradation factor (ϕ).
 
- (3)
 - Lastly, the mV–β–ϕ correlation curves of corroded shear and flexural beams were proposed by interrelating the FEA-derived β–ϕ correlation of each specimen and the correlation between the average potential difference in voltage quantitatively measured on corroded beam member by HCP and the performance degradation obtained from structural test, i.e., the mV–ϕ correlation, from an engineering aspect. Using the mV–β–ϕ correlation curves, the bonding factor (β) depending on the degree of corrosion of RC shear and flexural beam members and the performance degradation factor (ϕ) based on the consequent strength-deformation capacity can be evaluated. These results reveal that the methodology proposed in this study can be used for quantitatively evaluating the seismic performance of corrosion-damaged RC members.
 - (4)
 - In this study, the correlation between the degree of corrosion and structural performance degradation was evaluated using corrosion-damaged RC beam members. Unlike the column, the beam is not the lateral resisting member. Therefore, the results investigated in this research could not be directly used for evaluating the seismic capacity of the entire RC building. In order to propose a robust practical methodology for evaluating the seismic performance of RC buildings with corrosion-damaged members, the seismic performance degradation factor of lateral load resisting systems such as columns should be experimentally derived for further research, together with analytical investigations such as finite element analysis.
 
Author Contributions
Funding
Data Availability Statement
Acknowledgments
Conflicts of Interest
References
- Jung, J.-S.; Lee, B.Y.; Lee, K.-S. Experimental Study on the Structural Performance Degradation of Corrosion-Damaged Reinforced Concrete Beams. Adv. Civ. Eng. 2019, 2019, 9562574. [Google Scholar] [CrossRef]
 - Hansson, C.M. Comments on electrochemical measurements of the rate of corrosion of steel in concrete. Cem. Concr. Res. 1984, 14, 574–584. [Google Scholar] [CrossRef]
 - Lee, H.S.; Tomosawa, F.; Noguchi, T. Effects of rebar corrosion on the structural performance of singly reinforced beams. Durab. Build. Mater. Compon. 1996, 7, 571–580. [Google Scholar]
 - Shamsad, A. Reinforcement corrosion in concrete structures, its monitoring and service life prediction—A review. J. Cem. Concr. Compos. 2003, 25, 459–471. [Google Scholar]
 - Duvnjak, I.; Klepo, I.; Serdar, M.; Damjanovi’c, D. Damage Assessment of Reinforced Concrete Elements Due to Corrosion Effect Using Dynamic Parameters: A Review. Buildings 2021, 11, 425. [Google Scholar] [CrossRef]
 - Dogan, M. Corrosion failure in concrete reinforcement to damage during seismic. Eng. Fail. Anal. 2015, 56, 275–287. [Google Scholar] [CrossRef]
 - Federal Emergency Management Agency. FEMA 310 Handbook for Seismic Evaluation of Buildings—A Prestandard; Federal Emergency Management Agency: Washington, DC, USA, 1998.
 - Federal Emergency Management Agency. FEMA 356 Prestandard and Commentary for Seismic Rehabilitation of Buildings; Federal Emergency Management Agency: Washington, DC, USA, 2000.
 - Japan Building Disaster Prevention Association. English Version: Standard for Seismic Evaluation of Existing Reinforced Concrete Buildings; Japan Building Disaster Prevention Association: Tokyo, Japan, 2005. [Google Scholar]
 - Li, Y.; Yin, S.P.; Chen, W.J. Seismic behavior of corrosion-damaged RC columns strengthened with TRC under a chloride environment. Constr. Build. Mater. 2019, 201, 736–745. [Google Scholar]
 - Cabrera, J. Deterioration of concrete due to reinforcement steel corrosion. Cem. Concr. Compos. 1996, 18, 47–59. [Google Scholar] [CrossRef]
 - Capozucca, R. Damage to reinforced concrete due to reinforcement corrosion. Constr. Build. Mater. 1995, 9, 295–303. [Google Scholar] [CrossRef]
 - Jung, W.-Y.; Kwon, M.-H.; Ahn, M.-K. Structural behavior of compressive and flexural members due to corroded reinforcing bars and different bonding interfaces. J. Korean Soc. Hazard Mitig. 2011, 11, 33–39. [Google Scholar] [CrossRef][Green Version]
 - Bhargava, K.; Ghosh, A.; Mori, Y.; Ramanujam, S. Suggested empirical models for corrosion-induced bond degradation in reinforced concrete. J. Struct. Eng. 2008, 134, 221–230. [Google Scholar] [CrossRef]
 - Park, Y.J. Experimental Research on Bond Characteristics and Tensile Strength by Corrosion of Reinforcement Steels. Master’s Thesis, Tong-Myong University, Pusan, Korea, 2004; 120p. [Google Scholar]
 - Stanish, K.; Hooton, R.D.; Pantazopoulou, S.J. Corrosion effects on bond strength in reinforced concrete. ACI Struct. J. 1999, 96, 915–921. [Google Scholar]
 - Yang, X.; Zhu, H. Finite element investigation on load carrying capacity of corroded RC beam based on bond-slip. Jordan J. Civ. Eng. 2012, 6, 134–146. [Google Scholar]
 - Ballim, Y.; Reid, J.C. Reinforcement corrosion and the deflection of RC beams an experimental critique of current test methods. Cem. Concr. Compos. 2003, 25, 625–632. [Google Scholar] [CrossRef]
 - Torres-Acostaa, A.A.; Navarro-Gutierreza, S.; Teran-Guillen, J. Residual flexure capacity of corroded reinforced concrete beams. Eng. Struct. 2007, 29, 1145–1152. [Google Scholar] [CrossRef]
 - ASTM C39/C39M-15; Standard Test Method for Compressive Strength of Cylindrical Concrete Specimens. ASTM International: West Conshohocken, PA, USA, 2015.
 - ASTM E8/E8M-15; Standard Test Methods for Tension Testing of Metallic Materials. ASTM International: West Conshohocken, PA, USA, 2015.
 - ACI Committee 318. Building Code Requirements for Structural Concrete and Commentary (ACI 318-11) and Commentary; American Concrete Institute: Farmington Hills, MI, USA, 2011. [Google Scholar]
 - ASTM C876-09; Standard Test Method for Corrosion Potentials of Uncoated Reinforcing Steel in Concrete. ASTM International: West Conshohocken, PA, USA, 2009.
 - Proceq. CANIN+ Operating Instruction for Corrosion Analyzing Instrument; Proceq: Schwerzenbach, Switzerland, 2009. [Google Scholar]
 - Vecchio, F.J.; Lai, D.; Shim, W.; Ng, J. Disturbed Stress Field Model for Reinforced Concrete: Validation. J. Struct. Eng. 2001, 127, 350–358. [Google Scholar] [CrossRef]
 - Vecchio, F.J.; Collins, M.P. The Modified Compression Field Theory for Reinforced Concrete Elements Subjected to Shear. ACI J. Proc. 2001, 83, 219–231. [Google Scholar]
 - Vecchio, F.J. Web Address of Program VecTor2, Ver. 4.4. 2021. Available online: http://www.civ.utoronto.ca/vector/ (accessed on 10 November 2021).
 - Hognestad, E. A Study of Combined Bending and Axial Load in R.C. Members; University of Illinois Enginering Experiment Station Bulletin: Champaign, IL, USA, 1951; No. 399. [Google Scholar]
 - Kent, D.C.; Park, R. Flexural Members with Confined Concrete. ASCE J. Struct. Div. 1971, 97, 1969–1990. [Google Scholar] [CrossRef]
 - Park, R.; Priestley, M.J.N.; Gill, W.D. Ductility of Square Confined Concrete Columns. J. Struct. Div. 1982, 108, 929–950. [Google Scholar] [CrossRef]
 - Lee, S.-C.; Cho, J.-Y.; Vecchio, F.J. Model for post-yield tension stiffening and rebar rupture in concrete members. Eng. Struct. 2011, 33, 1723–1733. [Google Scholar] [CrossRef]
 - Vintzeleou, E.N.; Tassios, T.P. Behavior of Dowels under Cyclic Deformations. ACI Struct. J. 1987, 84, 18–30. [Google Scholar]
 - He, X.; Kwan, A. Modeling dowel action of reinforcement bars for finite element analysis of concrete structures. Comput. Struct. 2001, 79, 595–604. [Google Scholar] [CrossRef]
 - Eligehausen, R.; Popov, E.P.; Bertero, V.V. Local Bond Stress-Slip Relationships of Deformed Bars under Generalized Excitations; Earthquake Engineering Research Center, Report No. UCB/EERC-83/23; University of California: Berkeley, CA, USA, 1983; pp. 1–188. [Google Scholar]
 






















| Element | Range | Deterioration and Aging | 
|---|---|---|
  | ||
| Slab including sub-beam | 1/3 or more | 0.017 | 
| 1/3~1/9 | 0.006 | |
| 1/9 or less | 0.0023 | |
| 0 | 0 | |
| Beam | 1/3 or more | 0.05 | 
| 1/3~1/9 | 0.017 | |
| 1/9 or less | 0.006 | |
| 0 | 0 | |
| Wall & Column | 1/3 or more | 0.15 | 
| 1/3~1/9 | 0.05 | |
| 1/9 or less | 0.017 | |
| 0 | 0 | 
| Beam | Average Potential Difference in Voltage  | Ultimate | Dissipation Energy (kN-mm)  | Performance Degradation Factor ϕ (%)  | |
|---|---|---|---|---|---|
| mV CSE (Copper Sulfate Electrode)  | Load (kN)  | Deflection (mm)  | |||
| FB-C0 | −63 | 81.6 | 116.7 | 8298 | 100.0 | 
| FB-C1 | −254 | 78.9 | 100.9 | 7521 | 90.6 | 
| FB-C2 | −265 | 77.4 | 110.9 | 7639 | 92.1 | 
| FB-C3 | −280 | 80.7 | 101.4 | 7404 | 89.2 | 
| FB-C4 | −292 | 78.4 | 95.6 | 6683 | 80.5 | 
| FB-C5 | −298 | 72.0 | 98.7 | 6659 | 80.3 | 
| FB-C6 | −374 | 74.3 | 97.4 | 6651 | 80.2 | 
| FB-C7 | −700 | 77.2 | 76.9 | 5797 | 69.9 | 
| SB-C0 | −171 | 181.9 | 11.3 | 1301 | 100.0 | 
| SB-C1 | −269 | 169.8 | 10.0 | 1267 | 97.3 | 
| SB-C2 | −344 | 172.3 | 11.0 | 1178 | 90.5 | 
| SB-C3 | −551 | 187.7 | 9.0 | 1121 | 86.2 | 
| SB-C4 | −576 | 186.7 | 12.5 | 1090 | 83.7 | 
| SB-C5 | −659 | 178.1 | 11.1 | 1101 | 84.6 | 
| SB-C6 | −700 | 171.4 | 7.8 | 1056 | 81.1 | 
| SB-C7 | −700 | 181.9 | 10.3 | 995 | 76.4 | 
| Cases | Bonding Factor ()  | Ultimate | Dissipation Energy (kN-mm)  | Performance Degradation Factor ϕ (%)  | |
|---|---|---|---|---|---|
| Load (kN)  | Deflection (mm)  | ||||
| Case-1 | 1.00 | 87.3 | 115.9 | 8840.26 | 100.0 | 
| Case-2 | 0.90 | 84.7 | 114.9 | 8756.35 | 99.05 | 
| Case-3 | 0.80 | 84.3 | 112.57 | 8553.4 | 96.76 | 
| Case-4 | 0.70 | 82.7 | 111.37 | 8305.69 | 95.50 | 
| Case-5 | 0.60 | 81.4 | 111.41 | 8288.73 | 92.76 | 
| Case-6 | 0.50 | 85.8 | 109.6 | 8179.35 | 91.66 | 
| Case-7 | 0.45 | 84.6 | 105.16 | 7908.5 | 89.46 | 
| Case-8 | 0.44 | 81.3 | 104.13 | 7767.56 | 87.87 | 
| Case-9 | 0.43 | 82.5 | 94.92 | 7033.94 | 79.57 | 
| Case-10 | 0.42 | 81.6 | 87.38 | 6352.08 | 71.85 | 
| Case-11 | 0.41 | 80.6 | 83.46 | 6093.76 | 68.93 | 
| Case-12 | 0.40 | 79.1 | 81.05 | 5828.68 | 65.93 | 
| Cases | Bonding Factor ()  | Ultimate | Dissipation Energy (kN-mm)  | Performance Degradation Factor ϕ (%)  | |
|---|---|---|---|---|---|
| Load (kN)  | Deflection (mm)  | ||||
| Case-1 | 1.00 | 186.8 | 12.03 | 1728.21 | 100.0 | 
| Case-2 | 0.95 | 186.2 | 12.03 | 1674.6 | 96.9 | 
| Case-3 | 0.90 | 185.8 | 12.02 | 1668.51 | 95.55 | 
| Case-4 | 0.85 | 185.2 | 12.02 | 1663.45 | 96.25 | 
| Case-5 | 0.80 | 184.8 | 12.02 | 1657.82 | 93.93 | 
| Case-6 | 0.70 | 183.8 | 12.02 | 1610.28 | 89.32 | 
| Case-7 | 0.65 | 183.2 | 11.02 | 1507.00 | 87.2 | 
| Case-8 | 0.60 | 182.6 | 11.02 | 1502.93 | 86.96 | 
| Case-9 | 0.55 | 182 | 11.02 | 1478.59 | 83.71 | 
| Case-10 | 0.50 | 181.2 | 11.02 | 1454.59 | 81.48 | 
| Case-11 | 0.45 | 180.4 | 11.02 | 1429.91 | 79.21 | 
| Case-12 | 0.40 | 180.6 | 10.02 | 1325.95 | 76.72 | 
Publisher’s Note: MDPI stays neutral with regard to jurisdictional claims in published maps and institutional affiliations.  | 
© 2022 by the authors. Licensee MDPI, Basel, Switzerland. This article is an open access article distributed under the terms and conditions of the Creative Commons Attribution (CC BY) license (https://creativecommons.org/licenses/by/4.0/).
Share and Cite
Jung, J.-S.; Jeong, J.-W.; Lee, K.-S. Structural Performance Degradation of Corrosion-Damaged Reinforced Concrete Beams Based on Finite Element Analysis. Appl. Sci. 2022, 12, 2090. https://doi.org/10.3390/app12042090
Jung J-S, Jeong J-W, Lee K-S. Structural Performance Degradation of Corrosion-Damaged Reinforced Concrete Beams Based on Finite Element Analysis. Applied Sciences. 2022; 12(4):2090. https://doi.org/10.3390/app12042090
Chicago/Turabian StyleJung, Ju-Seong, Jae-Won Jeong, and Kang-Seok Lee. 2022. "Structural Performance Degradation of Corrosion-Damaged Reinforced Concrete Beams Based on Finite Element Analysis" Applied Sciences 12, no. 4: 2090. https://doi.org/10.3390/app12042090
APA StyleJung, J.-S., Jeong, J.-W., & Lee, K.-S. (2022). Structural Performance Degradation of Corrosion-Damaged Reinforced Concrete Beams Based on Finite Element Analysis. Applied Sciences, 12(4), 2090. https://doi.org/10.3390/app12042090
        
                                                
