Inverse Solution Error Analysis and Correction of Beam Steering System Based on Risley Prisms
Abstract
:1. Introduction
2. Error Model of Risley Prisms and Forward Solution Error Correction Method
2.1. Forward Solution and Inverse Solution of Risley Prisms
2.2. Error Model of Risley Prisms
2.3. Error Parameter Identification
3. Causes and Correction of Inverse Solution Error
3.1. Causes of Inverse Solution Error
3.2. Inverse Solution Error Correction Method
- Step 1. Find the coordinate transformation value of target position by table look-up. Then transform the target position to the actual pointing-field coordinate system by coordinate transformation. Finally, calculate the deflection angle and azimuth angle of the target position in the new coordinate system.
- Step 2. Let in the error model to eliminate the deviation of the pointing field. Then use the two-step method to calculate the prism rotation angle corresponding to under the current model.
4. Simulation and Experiment
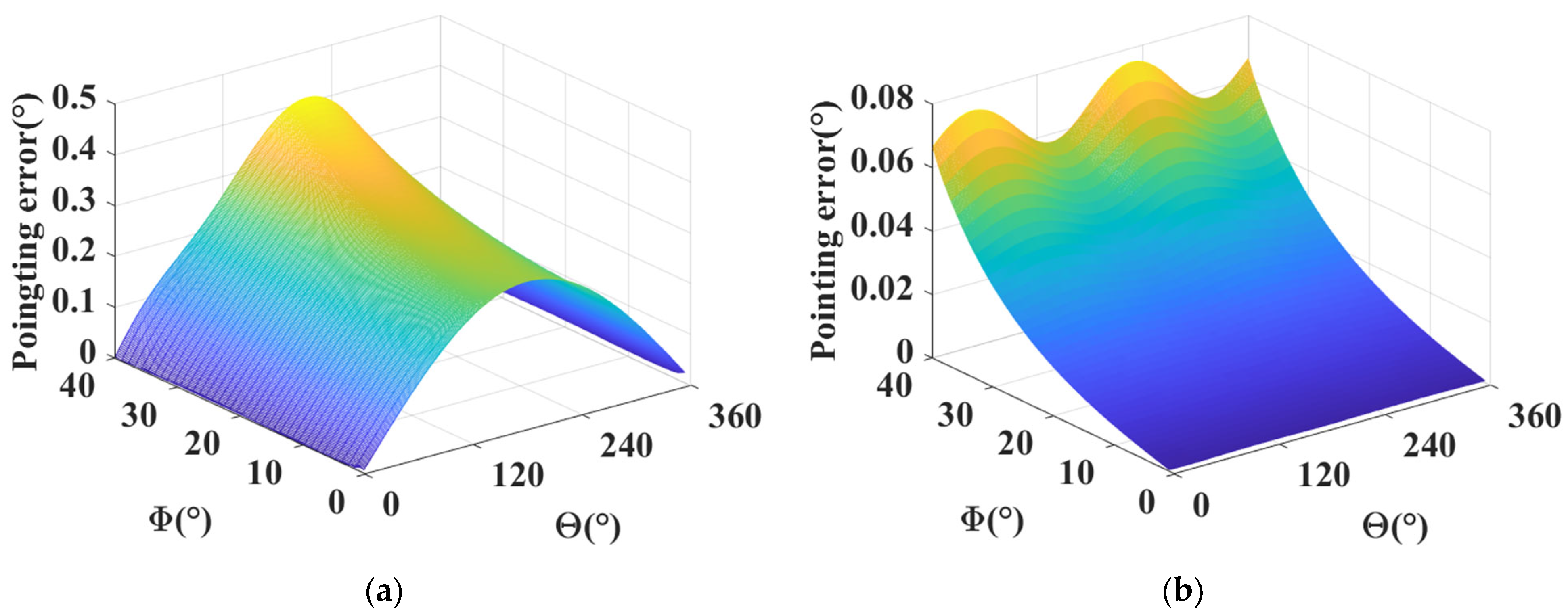
4.1. Simulation
- Given the values or expressions of the systemic prism errors, substituting them into the error model to obtain a series of prism rotation angles and their corresponding outgoing beam positions . The ideal beam-pointing position corresponding to is obtained through the ideal model.
- Using the parameter identification method, the error values or expressions are fitted by the data obtained in process 1. Then is substituted into the error model to calculate the outgoing beam position corresponding to the same rotation angle . The forward solution errors before and after correction are calculated by and , respectively.
- Given a series of target point positions , the two-step method and the correction method are used to solve the corresponding prism rotation angles and .
- Substituting and into the error model, the outgoing beam positions and can be obtained. The inverse solution errors before and after correction are calculated by and , respectively.
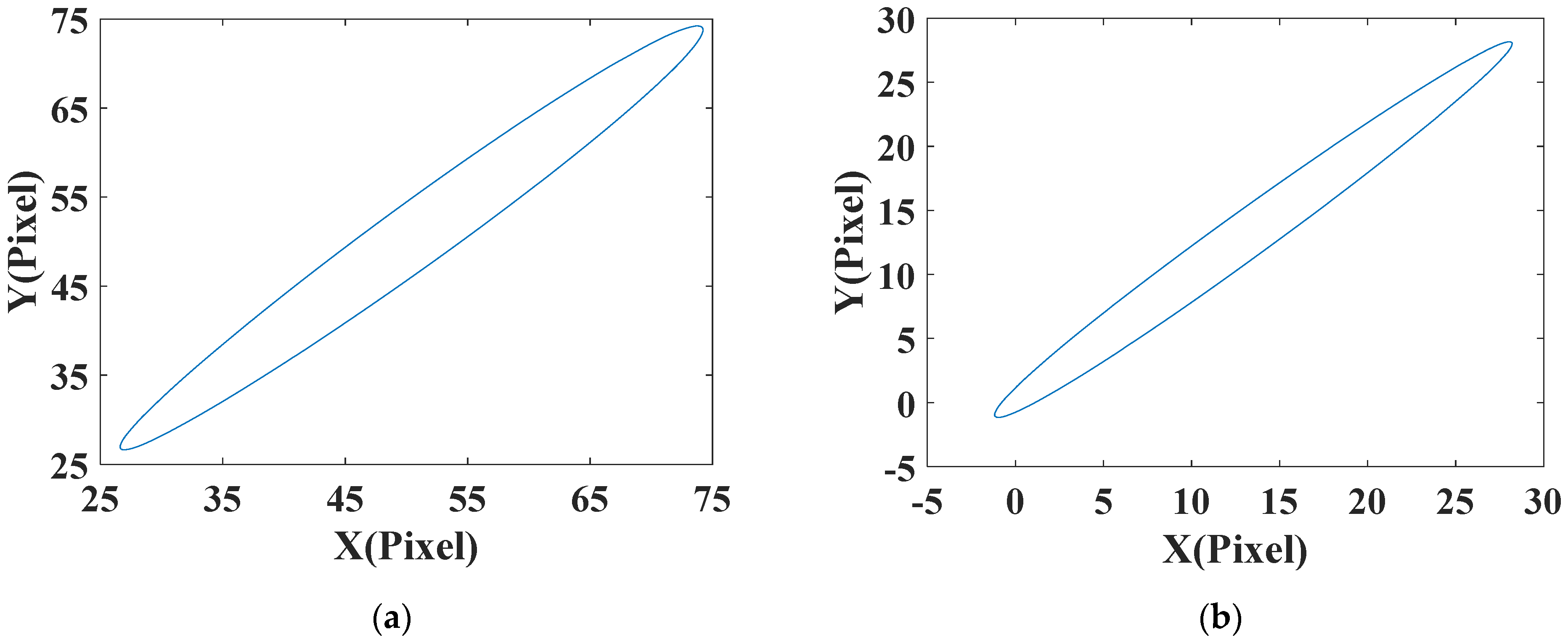
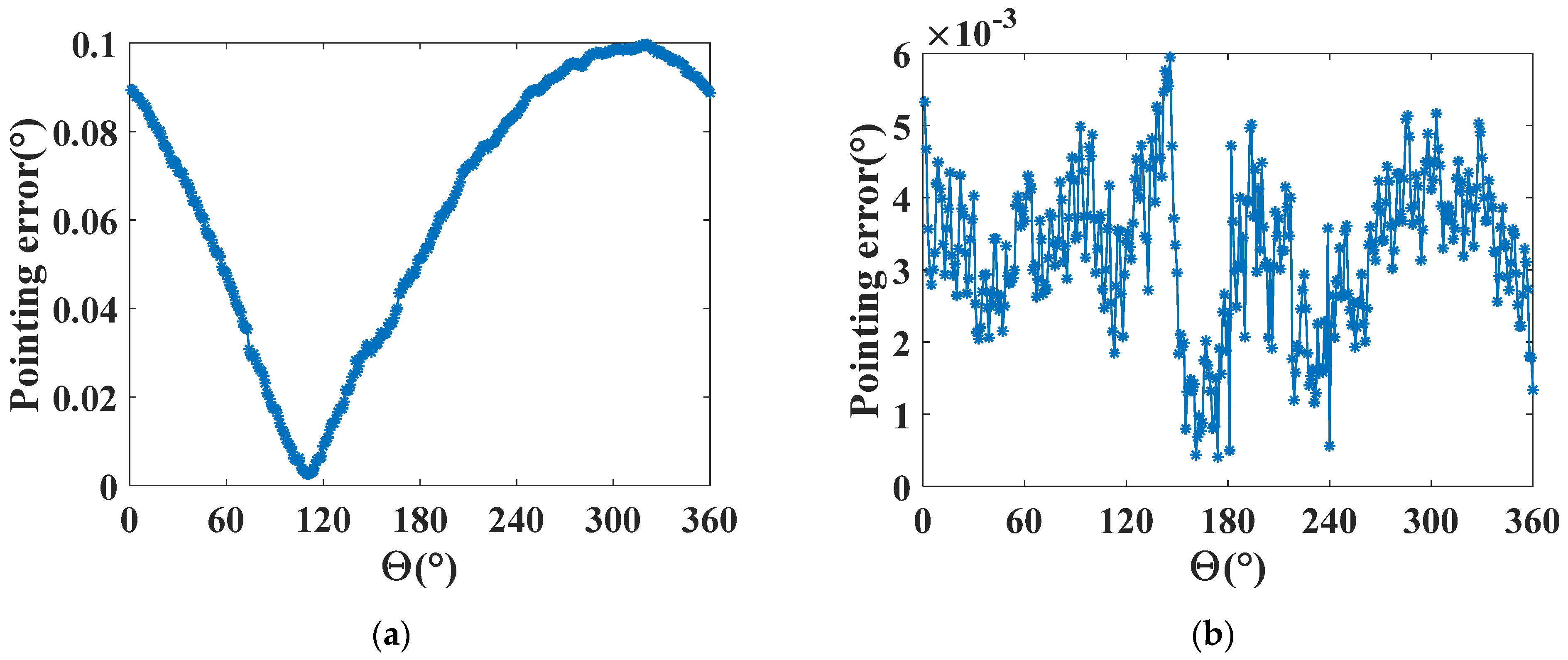
4.2. Experiment
4.3. Discussion
5. Conclusions
Author Contributions
Funding
Institutional Review Board Statement
Informed Consent Statement
Data Availability Statement
Conflicts of Interest
References
- Rosell, F.A. Prism scanner. JOSA A 1960, 50, 521–526. [Google Scholar] [CrossRef]
- Ostaszewski, M.; Harford, S.; Doughty, N.; Hoffman, C.; Sanchez, M.; Gutow, D.; Pierce, R.H. Risley prism beam pointer. In Proceedings of the SPIE Optics + Photonics, SPIE, San Diego, CA, USA, 1 September 2006; Volume 6304, p. 630406. [Google Scholar]
- Lu, S.; Gao, M.; Yang, Y.; Zhu, R.; Hou, X.; Sun, J.; Chen, W.; Zhu, X. Inter-satellite laser communication system based on double Risley prisms beam steering. Appl. Opt. 2019, 58, 7517–7522. [Google Scholar] [CrossRef]
- Huang, F.; Ren, H.; Shen, Y.; Wang, P. Error analysis and optimization for Risley-prism imaging distortion correction. Appl. Opt. 2021, 60, 2574–2582. [Google Scholar] [CrossRef]
- Ricard, B.; Lavigne, V. Fast Risley prisms camera steering system: Calibration and image distortions correction through the use of a three-dimensional refraction model. Opt. Eng. 2007, 46, 043201. [Google Scholar] [CrossRef]
- Li, A.; Liu, X.; Sun, J.; Lu, Z. Risley-prism-based multi-beam scanning LiDAR for high-resolution three-dimensional imaging. Opt. Lasers Eng. 2022, 150, 106836. [Google Scholar] [CrossRef]
- Virgil-Florin, D.; Alexandru-Lucian, D. Exact Scan Patterns of Rotational Risley Prisms Obtained with a Graphical Method: Multi-Parameter Analysis and Design. Appl. Sci. 2021, 11, 8451. [Google Scholar]
- Yang, Y. Analytic Solution of Free Space Optical Beam Steering Using Risley Prisms. J. Light. Technol. 2008, 26, 3576–3583. [Google Scholar] [CrossRef]
- Amirault, C.T.; DiMarzio, C.A. Precision pointing using a dual-wedge scanner. Appl. Opt. 1985, 24, 1302–1308. [Google Scholar] [CrossRef] [PubMed] [Green Version]
- Li, Y. Third-order theory of the Risley-prism-based beam steering system. Appl. Opt. 2011, 50, 679–686. [Google Scholar] [CrossRef] [PubMed]
- Tao, X.; Cho, H.; Janabi-Sharifi, F. Active optical system for variable view imaging of micro objects with emphasis on kine-matic analysis. Appl. Opt. 2008, 47, 4121–4132. [Google Scholar] [CrossRef] [PubMed]
- Li, A.; Gao, X.; Sun, W.; Yi, W.; Bian, Y.; Liu, H.; Liu, L. Inverse solutions for a Risley prism scanner with iterative refinement by a forward solution. Appl. Opt. 2015, 54, 9981–9989. [Google Scholar] [CrossRef] [PubMed]
- Horng, J.-S.; Li, Y. Error sources and their impact on the performance of dual-wedge beam steering systems. Appl. Opt. 2012, 51, 4168–4175. [Google Scholar] [CrossRef] [PubMed]
- Zhou, Y.; Lu, Y.; Hei, M.; Liu, G.; Fan, D. Pointing error analysis of Risley-prism-based beam steering system. Appl. Opt. 2014, 53, 5775–5783. [Google Scholar] [CrossRef]
- Bravo-Medina, B.; Strojnik, M.; Garcia-Torales, G.; Torres-Ortega, H.; Estrada-Marmolejo, R.; Beltrán-González, A.; Flores, J.L. Error compensation in a pointing system based on Risley prisms. Appl. Opt. 2017, 56, 2209. [Google Scholar] [CrossRef]
- Lu, Y.; Zhou, Y.; Hei, M.; Fan, D. Theoretical and experimental determination of steering mechanism for Risley prism systems. Appl. Opt. 2013, 52, 1389–1398. [Google Scholar] [CrossRef]
- Li, J.; Chen, K.; Peng, Q.; Wang, Z.; Jiang, Y.; Fu, C.; Ren, G. Improvement of pointing accuracy for Risley prisms by parameter identification. Appl. Opt. 2017, 56, 7358–7366. [Google Scholar] [CrossRef]
- Mik, A.; Novák, P. Determination of unit normal vectors of asphericalsurfaces given unit directional vectors of incoming and outgoing rays: Comment. JOSA A 2012, 29, 1356–1357. [Google Scholar]














| Parameter | Value |
|---|---|
| Refractive Index | 1.94595 |
| Wedge Angle | 17.2° |
| Lens Focal Length | 81.09 mm |
| Pixel Size | 5.3 μm |
| Parameters | Magnitude of Error | Causes of Error |
|---|---|---|
| = 0.1° | 0.2002°~0.3233° | Pointing field deviation |
| = 0.1° | 0.2002°~0.3233° | Pointing field deviation |
| = 0.1° | 0.0084°~0.0100° | Point field deviation & TLS deformation |
| = 0.1° | 0.0042°~0.0051° | Point field deviation & TLS deformation |
| = 0.1° | 0.0059°~0.1241° | Point field deviation & TLS deformation |
| = 0.1° | 0.0063°~0.1255° | Point field deviation & TLS deformation |
| Pointing Error | ||
|---|---|---|
| Maximum | RMS | |
| Before correction | 0.4099° | 0.2455° |
| After correction | 0.0064° | 0.0015° |
| Descent rate | 98.44% | 99.34% |
| Pointing Error | ||
|---|---|---|
| Maximum | RMS | |
| Before correction | 0.4122° | 0.2266° |
| After correction | 0.07873° | 0.0291° |
| Descent rate | 80.9% | 87.16% |
| Deflection Angle | Pointing Error | ||
|---|---|---|---|
| Maximum | RMS | ||
| Before correction | 336.6017″ | 224.4371″ | |
| After correction | 20.6913″ | 11.0432″ | |
| Descent rate | 93.76% | 95.08% | |
| Before correction | 326.7776″ | 226.0153″ | |
| After correction | 25.4662″ | 5.7213″ | |
| Descent rate | 92.21% | 97.47% | |
| Before correction | 336.6017″ | 229.6042″ | |
| After correction | 18.9351″ | 9.7448″ | |
| Descent rate | 94.37% | 95.76% | |
| Pointing Error | ||
|---|---|---|
| Maximum | RMS | |
| Before correction | 0.0997° | 0.0705° |
| After correction | 0.0059° | 0.0034° |
| Descent rate | 94.08% | 95.18% |
Publisher’s Note: MDPI stays neutral with regard to jurisdictional claims in published maps and institutional affiliations. |
© 2022 by the authors. Licensee MDPI, Basel, Switzerland. This article is an open access article distributed under the terms and conditions of the Creative Commons Attribution (CC BY) license (https://creativecommons.org/licenses/by/4.0/).
Share and Cite
Song, Y.; Gao, S.; Wu, J.; Wang, S.; Huo, L. Inverse Solution Error Analysis and Correction of Beam Steering System Based on Risley Prisms. Appl. Sci. 2022, 12, 1972. https://doi.org/10.3390/app12041972
Song Y, Gao S, Wu J, Wang S, Huo L. Inverse Solution Error Analysis and Correction of Beam Steering System Based on Risley Prisms. Applied Sciences. 2022; 12(4):1972. https://doi.org/10.3390/app12041972
Chicago/Turabian StyleSong, Yinuo, Shijie Gao, Jiabin Wu, Shuaifei Wang, and Li Huo. 2022. "Inverse Solution Error Analysis and Correction of Beam Steering System Based on Risley Prisms" Applied Sciences 12, no. 4: 1972. https://doi.org/10.3390/app12041972
APA StyleSong, Y., Gao, S., Wu, J., Wang, S., & Huo, L. (2022). Inverse Solution Error Analysis and Correction of Beam Steering System Based on Risley Prisms. Applied Sciences, 12(4), 1972. https://doi.org/10.3390/app12041972

