Experimental Assessment of the Influence of the Design on the Performance of Novel Evaporators with Latent Energy Storage Ability
Abstract
:1. Introduction
2. Materials and Methods
2.1. Description of the Modules
2.2. Experimental Set-up and Experimental Methodology
2.3. Materials and Its Characterization
2.4. Theoretical Evaluation Methodology
3. Results
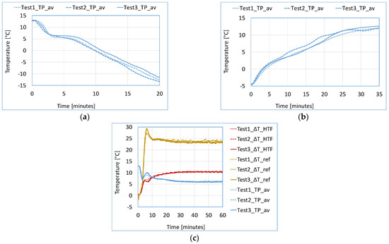
3.1. Repeatability and Robustness of the Results
3.2. Temperature Evolution in the Charging Process
3.3. Energy Storage, Power, and COP during the Charging Process
3.4. Temperature Evolution in the Discharging Process
3.5. Energy Storage and Power during the Discharging Process
3.6. Temperature Evolution in Three-Fluids HEX Operating Mode
3.7. Effectiveness, SOC, and COP during the Three-Fluids HEX Operating Mode
4. Discussion
5. Conclusions
Author Contributions
Funding
Institutional Review Board Statement
Informed Consent Statement
Data Availability Statement
Acknowledgments
Conflicts of Interest
Nomenclature
| Abbreviation | Definition |
| PCM | Phase change material |
| TES | Thermal energy storage |
| SOC | State of charge |
| HEX | Heat exchanger |
| COP | Coefficient of performance |
| HTF | Heat transfer fluid |
| KPI | Key performance indicator |
| HP | Heat pump |
| DHW | Domestic hot water |
| Thermal energy storage module | |
| Specific heat capacity | |
| Energy | |
| Energy stored until temperature T | |
| Al | Aluminum |
| Ref | refrigerant |
| Temperature | |
| Power | |
| Average power | |
| Thermal equilibrium | |
| Effectiveness | |
| Uncertainty | |
| Temperature difference | |
| Volumetric flow rate | |
| Pressure | |
| Density | |
| Evaporator | |
| condenser | |
| maximum | |
| Charged | |
| discharged | |
| Ambient | |
| Average | |
| Enthalpy | |
| Thermal conductivity | |
| # | Number of |
| PCM temperature | |
| Inlet | |
| Outlet |
References
- Brejon, P.; Marchio, D. Insertion of a cold latent heat storage unit into a storage system by heat pump. Rev. Gen. Therm. 1966, 22, 195–199. [Google Scholar]
- Mselle, B.D.; Zsembinszki, G.; Borri, E.; Vérez, D.; Cabeza, L.F. Trends and future perspectives on the integration of phase change materials in heat exchangers. J. Energy Storage 2021, 38, 102544. [Google Scholar] [CrossRef]
- IRENA. Global Renewables Outlook: Energy Transformation 2050; IRENA: Abu Dhabi, United Arab Emirates, 2020; ISBN 9789292602383. [Google Scholar]
- United Nations Framework Convention on Climate Change Paris Agreement; United Nations: Paris, France, 2015.
- International Energy Agency. Renewables Information 2019; International Energy Agency: Paris, France, 2019. [Google Scholar]
- Wang, F.; Maidment, G.; Missenden, J.; Tozer, R. The novel use of phase change materials in refrigeration plant. Part 1: Experimental investigation. Appl. Therm. Eng. 2007, 27, 2893–2901. [Google Scholar] [CrossRef]
- Ure, Z. Phase change material based passive cooling systems design principal ana global application examples. In Proceedings of the 2nd International Conference on Energy and Indoor Environment for Hot Climates—ASHRAE, Hot Climates 2017, Doha, Qatar, 26–27 February 2017; pp. 188–195. [Google Scholar]
- Axell, M.; Bakker, M.; Landolina, S. Strategic Research Priorities for Cross-Cutting Technology. Eur. Technol. Platf. Renew. Heat. Cool. 2012, 32, 28–44. [Google Scholar]
- long Cheng, W.; Ding, M.; dong Yuan, X.; Han, B.C. Analysis of energy saving performance for household refrigerator with thermal storage of condenser and evaporator. Energy Convers. Manag. 2017, 132, 180–188. [Google Scholar] [CrossRef]
- Cheng, W.L.; Mei, B.J.; Liu, Y.N.; Huang, Y.H.; Yuan, X.D. A novel household refrigerator with shape-stabilized PCM (Phase Change Material) heat storage condensers: An experimental investigation. Energy 2011, 36, 5797–5804. [Google Scholar] [CrossRef]
- Oró, E.; Miró, L.; Farid, M.M.; Cabeza, L.F. Improving thermal performance of freezers using phase change materials. Int. J. Refrig. 2012, 35, 984–991. [Google Scholar] [CrossRef]
- Visek, M.; Joppolo, C.M.; Molinaroli, L.; Olivani, A. Advanced sequential dual evaporator domestic refrigerator/freezer: System energy optimization. Int. J. Refrig. 2014, 43, 71–79. [Google Scholar] [CrossRef]
- Emhofer, A.I.T.J.; Marx, K.; Palomba, C.V.; Frazzica, A.; Aloisio, D.; Sergi, F. Innovative compact HYbrid electrical/thermal storage systems for low energy BUILDings. HYBUILD Deliv. D3.3 2020, 5128820, 1–42. [Google Scholar]
- Mselle, B.D.; Vérez, D.; Zsembinszki, G.; Borri, E.; Cabeza, L.F. Performance study of direct integration of phase change material into an innovative evaporator of a simple vapour compression system. Appl. Sci. 2020, 10, 4649. [Google Scholar] [CrossRef]
- Mselle, B.D.; Zsembinszki, G.; Vérez, D.; Borri, E.; Cabeza, L.F. A detailed energy analysis of a novel evaporator with latent thermal energy storage ability. Appl. Therm. Eng. 2021, 201, 117844. [Google Scholar] [CrossRef]
- Palomba, V.; Bonanno, A.; Brunaccini, G.; Aloisio, D.; Sergi, F.; Dino, G.E.; Varvaggiannis, E.; Karellas, S.; Nitsch, B.; Strehlow, A.; et al. Hybrid Cascade Heat Pump and Thermal-Electric Energy Storage System for Residential Buildings: Experimental Testing and Performance Analysis. Energies 2021, 14, 2580. [Google Scholar]
- Varvagiannis, E.; Charalampidis, A.; Zsembinszki, G.; Karellas, S.; Cabeza, L.F. Energy assessment based on semi-dynamic modelling of a photovoltaic driven vapour compression chiller using phase change materials for cold energy storage. Renew. Energy 2021, 163, 198–212. [Google Scholar] [CrossRef]
- Emhofer, J.; Marx, K.; Barz, T.; Hochwallner, F.; Cabeza, L.F.; Zsembinszki, G.; Strehlow, A.; Nitsch, B.; Wiesflecker, M.; Pink, W. Techno-Economic Analysis of a Heat Pump Cycle Including a Three-Media Refrigerant/Phase Change Material/Water Heat Exchanger in the Hot Superheated Section for Efficient Domestic Hot Water Generation. Appl. Sci. 2020, 10, 7873. [Google Scholar] [CrossRef]
- Emhofer, J.; Marx, K.; Sporr, A.; Barz, T.; Nitsch, B.; Wiesflecker, M.; Pink, W. Experimental demonstration of an air-source heat pump application using an integrated phase change material storage as a desuperheater for domestic hot water generation. Appl. Energy 2022, 305, 117890. [Google Scholar] [CrossRef]
- Marx, K.; Emhofer, J.; Barz, T.; Krämer, J.; Cabeza, L.F.; Zsembinszki, G.; Strehlow, A.; Nitsch, B.; Wiesflecker, M.; Zitzenbacher, R. Dynamic performance tests of a heat pump cycle integrated latent heat thermal energy storage for optimized DHW generation. In Proceedings of the 13th IEA Heat Pump Conference, Jeju, Korea, 26–29 April 2021; pp. 1–10. [Google Scholar]
- Emhofer, J.; Barz, T.; Marx, K.; Hochwallner, F.; Cabeza, L.F.; Zsembinszki, G.; Strehlow, A.; Nitsch, B.; Weiss, M. Integration of a compact two fluid PCM heat exchanger into the hot superheated section of an air source heat pump cycle for optimized DHW generation. Refrig. Sci. Technol. 2019, 2019, 4415–4423. [Google Scholar]
- AKG. AKG Group. Available online: https://www.akg-group.com/akg-group/about-akg-group/ (accessed on 21 June 2021).
- TEC Wired Mat MT 3.1 No Title. Available online: https://www.google.com/url?sa=t&rct=j&q=&esrc=s&source=web&cd=&ved=2ahUKEwiBiufQ1OvuAhWwct8KHc1EAcMQFjAAegQIAxAC&url=https%3A%2F%2Fwww.e-isover.cz%2Fdata%2Ffiles%2Fisover-tech-wired-mat-mt-3-1-tl-en-1239.pdf&usg=AOvVaw27iMXFTPfYuZtlz5UYgMO6 (accessed on 14 July 2021).
- Rubitherm RT-PCM. Available online: https://www.rubitherm.eu/en/index.php/productcategory/organische-pcm-rt (accessed on 2 October 2019).
- Zsembinszki, G.; Fernández, A.G.; Cabeza, L.F. Selection of the appropriate phase change material for two innovative compact energy storage systems in residential buildings. Appl. Sci. 2020, 10, 2116. [Google Scholar] [CrossRef] [Green Version]
- The Dow Chemical Company Dowtherm SR-1 n.d. Available online: https://corporate.dow.com (accessed on 25 June 2019).
- Carvill, J. Thermodynamics and heat transfer. In Mechanical Engineer’s Data Handbook; Elsevier: Amsterdam, The Netherlands, 1993; pp. 102–145. [Google Scholar]
- Ghalambaz, M.; Hashem Zadeh, S.M.; Mehryan, S.A.M.; Pop, I.; Wen, D. Analysis of melting behavior of PCMs in a cavity subject to a non-uniform magnetic field using a moving grid technique. Appl. Math. Model. 2020, 77, 1936–1953. [Google Scholar] [CrossRef]
- Cengel, Y.A.; Boles, M.A. Thermodynamics: An Engineering Approach, 7th ed.; McGraw-Hill: New York, NY, USA, 2010. [Google Scholar]
- Emerson Copeland Select Software. Available online: https://climate.emerson.com/en-gb/tools-resources/copeland-select-software (accessed on 25 May 2021).
- Maldonado, J.M.; Verez, D.; de Gracia, A.; Cabeza, L.F. Comparative study between heat pipe and shell-and-tube thermal energy storage. Appl. Therm. Eng. 2021, 192, 116974. [Google Scholar] [CrossRef]
- Gomez, J.C.; Glatzmaier, G.C.; Mehos, M. Heat Capacity Uncertainty Calculation for the Eutectic Mixture of Biphenyl/Diphenyl Ether Used as Heat Transfer Fluid. In Proceedings of the SolarPACES 2012, Marrakech, Morocco, 11–14 September 2012. [Google Scholar]
- Joint Committee for Guides in Metrology (JCGM). Guide to the Expression of Uncertainty in Measurement—Part 6: Developing and Using Measurement Models; JCGM GUM: Sèvres, France, 2020. [Google Scholar]












| Characteristic | |||
|---|---|---|---|
| #Refrigerant channels [-] | 14 | 6 | 5 |
| #PCM channels [-] | 15 | 24 | 24 |
| #HTF channels | 16 | 7 | 7 |
| Weight of the empty module, i.e., only Al [kg] | 18.0 | 20.2 | 20.4 |
| Volume of the module [m3] | 0.012 | 0.014 | 0.014 |
| Amount of PCM filled [kg] | 3.2 | 3.7 | 3.7 |
| HTF in the module [L] | 3.1 | 3.1 | 3.1 |
| Heat transfer surface area (in 3-fluids HEX mode) [m2] | 0.79 | 0.34 | 0.28 |
| Properties | RT4 PCM [23] | HTF [25] |
|---|---|---|
| Phase change range [°C] | 2–4 | −18/127 |
| Specific heat capacity [kJ·kg−1·K−1] | 2 | 3.602 |
| Density [kg·L−1] | 0.88 (solid) | 1.05045 |
| 0.77 (liquid) | ||
| Thermal conductivity [W·m−1·K−1] | 0.2 | 0.418 |
| Module | Pros | Cons |
|---|---|---|
| TES1 | High COP High effectiveness High amount of energy stored (SOC) at thermal equilibrium High charging power (fast response to energy source) High discharging power (fast response to energy demand) | Low energy density |
| TES2 | High COP High discharging power (fast response to energy demand) High energy storage density | Low amount of energy stored (SOC) at thermal equilibrium |
| TES3 | High energy storage density | Low effectiveness Low charging and discharging power (slow response to both energy source and demand) Low amount of energy stored (SOC) at thermal equilibrium |
Publisher’s Note: MDPI stays neutral with regard to jurisdictional claims in published maps and institutional affiliations. |
© 2022 by the authors. Licensee MDPI, Basel, Switzerland. This article is an open access article distributed under the terms and conditions of the Creative Commons Attribution (CC BY) license (https://creativecommons.org/licenses/by/4.0/).
Share and Cite
Mselle, B.D.; Zsembinszki, G.; Veréz, D.; Borri, E.; Strehlow, A.; Nitsch, B.; Cabeza, L.F. Experimental Assessment of the Influence of the Design on the Performance of Novel Evaporators with Latent Energy Storage Ability. Appl. Sci. 2022, 12, 1813. https://doi.org/10.3390/app12041813
Mselle BD, Zsembinszki G, Veréz D, Borri E, Strehlow A, Nitsch B, Cabeza LF. Experimental Assessment of the Influence of the Design on the Performance of Novel Evaporators with Latent Energy Storage Ability. Applied Sciences. 2022; 12(4):1813. https://doi.org/10.3390/app12041813
Chicago/Turabian StyleMselle, Boniface Dominick, Gabriel Zsembinszki, David Veréz, Emiliano Borri, Andreas Strehlow, Birgo Nitsch, and Luisa F. Cabeza. 2022. "Experimental Assessment of the Influence of the Design on the Performance of Novel Evaporators with Latent Energy Storage Ability" Applied Sciences 12, no. 4: 1813. https://doi.org/10.3390/app12041813
APA StyleMselle, B. D., Zsembinszki, G., Veréz, D., Borri, E., Strehlow, A., Nitsch, B., & Cabeza, L. F. (2022). Experimental Assessment of the Influence of the Design on the Performance of Novel Evaporators with Latent Energy Storage Ability. Applied Sciences, 12(4), 1813. https://doi.org/10.3390/app12041813

