Next Article in Journal
Biochemical Characteristics of Acid-Soluble Collagen from Food Processing By-Products of Needlefish Skin (Tylosurus acus melanotus)
Previous Article in Journal
Three-Dimensional Hydrodynamic Analysis of a Flexible Caudal Fin
Previous Article in Special Issue
Possibilities of Powering Military Equipment Based on Renewable Energy Sources
 
 
Font Type:
Arial Georgia Verdana
Font Size:
Aa Aa Aa
Line Spacing:
Column Width:
Background:
Article

Application of Statistical Methods to Analyze the Quality of Electronic Circuits Assembly

by
Krzysztof Górecki
1,* and
Wojciech Kowalke
2
1
Department of Marine Electronics, Faculty of Electrical Engineering, Gdynia Maritime University, Morska 81-87, 81-225 Gdynia, Poland
2
Flextronics International Poland Sp. z o.o., Malinowska 28, 83-100 Tczew, Poland
*
Author to whom correspondence should be addressed.
Appl. Sci. 2022, 12(24), 12694; https://doi.org/10.3390/app122412694
Submission received: 11 November 2022 / Revised: 8 December 2022 / Accepted: 8 December 2022 / Published: 11 December 2022
(This article belongs to the Special Issue Advanced Power Devices and Power Systems)

Abstract

Featured Application

The presented results can be applied in the analysis of properties of the assembly process of RF networks.

Abstract

The paper discusses selected statistical methods enabling the effective assessment of the influence of selected factors on the efficiency of the assembly process of RF systems. The considerations were carried out on the example of the investigations into the influence of the size of the voids appearing in the soldering area of RF power transistors on the value of selected electrical parameters of these devices in a considered electronic module. Selected quality tools were described and additional analyses were performed using the Six Sigma methodology and the Minitab application. With the use of the QFD (Quality Function Deployment) method and the HoQ (House of Quality) tool, all the relevant output quantities of the tested system and its components were defined. The obtained results of statistical analyses allow determining the existing correlations between particular quantities, which include, among others, the temperature of the transistor case, the size of the void spaces in the soldering area or the location of transistors on the PCB (Printed Circuit Board). From the performed investigations, it is clear that no correlation between the void size and the thermal resistance of the tested transistors was observed.

1. Introduction

One of the most important challenges for the development of the electronics industry is maintaining appropriate quality [1,2,3]. Manufactured products must meet the required standards, which are described by various regulations and norms. Companies producing electronic modules must meet the expectations of customers, and their trademark is the appropriate quality certificates. One example of such standards is the IPC-610 [4] describing the requirements related to the soldering process of electronic components. In addition, employees repairing defects in such modules must often have the IPC-7711/7721 quality certificate [4]. Another example of the necessary quality certificates may be the requirements related to meeting the ISO 9001: 2015 [5] standards describing quality management methods or the additional IATF 16949: 2016 [6] regarding special requirements related to the production process in the automotive segment. Customers may also require compliance with the standards related to the method of environmental management ISO 14001: 2015 [7].
The introduction of standards makes it easier to determine the minimum requirements that a customer may demand a production plant to meet. The aim of the introduced standards is to describe their principles and detail the need to maintain certain operating standards, the necessary documentation, the method of parameter control, and the appropriate actions to achieve them. It is important to develop appropriate methods, tools or systems to describe and set the required limits, within which a given process should take place [5,6,7,8]. In order to ensure compliance with the standards, it is necessary to meet the requirements described in the standards and prove that the implemented solutions fully cover them. A qualitative approach to the development and manufacture of electronic devices is described in the paper [8].
Many papers concern the problem of the analysis of an influence of selected factors on electrical and thermal properties of soldering joints [9,10,11,12,13,14,15,16]. The papers [9,10,11] describe the influence of selected ceramic additions to the soldering alloy on such properties. The structures of soldering joints are presented and discussed in [12,13]. Some failures of soldering joints are analyzed in [14]. Thermal vias in PCBs are the aim of the paper [15]. Mechanical properties of the composite solder with TiO2 nanoparticles are described in [16].
In the paper [17], the problem of the effective analysis of the properties of PCB using Ansys Electronics software is addressed. Particularly, the identification method of the parasitic elements of the PCB on the base of the layout of this PCB is described. The mathematical model of the PCB designed for the half-bridge module is presented. It is shown that, using the PCB CAD procedure, some parasitic effects of the considered module can be properly analyzed.
The introduction of such standards in the field of the control of the parameters of production processes, or in the field of determining the limit values of technical parameters for the proper operation of a newly designed product, requires the measurement methods to also be standardized [18]. Statistical tools that accurately confirm that the obtained results are not only related to the measurements for one prototype are introduced, but they attribute the obtained results to the entire population of such products.
One of the most frequently used tools of this type is the methodology based on statistical assumptions called the Six Sigma (6 Sigma). This methodology was introduced in the mid-1980s by Bill Smith and Bob Galvin from Motorola [19], for which the company received the American Quality Award in 1988 [20]. The described methodology was derived from the Motorola philosophy, which stated: “quality cannot cost” [19]. In order to define what exactly 6 Sigma is, many scientific papers have been written [1,2,3,21,22]. There are several trends informing this methodology, which offers a set of statistical tools adopted as part of quality management in order to develop a framework for improving processes in an enterprise [1,2,3].
Six Sigma is a structured, data-driven, problem-solving method that focuses on reducing errors and variability in business-critical processes. As a result, it serves to improve customer satisfaction. A statistical measure of process variability is the standard deviation σ. The 6 Sigma methodology is characterized by 6 standard deviations between the process mean and the closest specification limit [21].
The use of the 6 Sigma method in an enterprise to analyze the conducted processes is a guarantee of the involvement of the top management and employees in the organization. The application for performing research and statistical analyses of the collected data is the Mini-tab Statistical Software [22,23,24].
In the soldering process of electronics modules, the problem of the control of void size is very important. According to the IPC-610 [4] standard, voids may not exceed 30% of the total weld surface and, as agreed with the manufacturer, an additional criterion is the admission of a maximum of 8% of the individual void space under the soldering surface of the tested transistors. The problem of the influence of the size of the voids on the thermal properties of power transistors or LEDs is considered, among others, in the papers [25,26].
In this paper, the results of the investigations illustrating an influence of selected factors, e.g., void size, on the thermal resistance of RF power transistors operating in the Doherty system are presented and discussed. In the performed investigations, some of the tools offered for conducting statistical analyses using the 6 Sigma methodology and the Minitab application [7] are used. In order to define all the baseline values of the tested system and the components it contains, tools such as the Quality of House using the QFD (Quality Function Deployment) method are presented. The obtained results allow for the determining of the existing potential dependences between the individual defined quantities. In the analyses, the results of the measurements presented in [27] are used as the input data.
The objects of the investigations are RF power transistors BLC9G22LS-160VT [28] and BLC10G22LS-240PVT [29] operating in the RF electronic module, where they play the role of amplifiers in the Doherty system [27].
The results of the analyses indicate whether there is a correlation between the size of the voids appearing in the soldering area and the value of the junction temperature of these devices at the determined values of the power P dissipated in them. It is also verified whether, under selected power conditions, the location of the transistors at certain points on the PCB has any significance and affects the efficiency of the heat dissipation generated in these devices.
The following sections will discuss: the statistical methods used to improve production processes (Section 2), the results of measurements and analyses carried out with the use of the Minitab application in relation to the assessment of the impact of voids in the soldering area of the transistors on their thermal parameters (Section 3) and conclusions from the performed experiments (Section 4).

2. Statistical Methods Used

Six Sigma, as a methodology of analysis using scientific methods, is considered to be a well-structured continual improvement methodology for reducing process variability and eliminating waste [1,2]. It is an extension of a package of quality improvement initiatives such as Total Quality Management (TQM) and PDCA Deming (Plan, Do, Check and Act).
One of the methodologies for conducting the 6 Sigma project is DMAIC (Define, Measure, Analyze, Improve, Control) [30]. DMAIC is based on obtaining as much data as possible in order to use it later to achieve the highest possible quality. It is a five-step process of achieving the previously set goals, which consists of the 5 following phases: Defining, Measurement, Analyses, Improvements and Control. The concepts presented include the definition of improvement goals, the analysis of factors influencing the process, the measurement of actual parameters, checking whether the considered effects are identical to the previous assumptions, and then proposing and implementing changes.
It was mentioned in the Introduction that the defined goal of the methodology is to check the influence of imperfections in the soldering process on the thermal parameters of RF transistors of the BLC9G22LS-160VT [28] and BLC10G22LS-240PVT [29] types. Before starting to take the measurements, what exactly was to be measured was defined. A P-diagram (Parameter Diagram) [31] was used to accurately determine all input and output signals and control signals, as well as the noise of the measuring system. This tool helps to define all the necessary signals to be considered when designing electronic modules according to customer requirements.
The P-diagram was the basis for the QFD (Quality Function Deployment) analysis. Yoji Akao, the original inventor, described the QFD as a method of transforming the qualitative user requirements into quantitative parameters, implementing quality-creating functions, and implementing design quality methods in subsystems, components and ultimately in specific parts of the manufacturing process [32,33].
The QFD method is based on filling the “House of Quality” (HoQ) shown in Figure 1. Its diagram contains specially defined fields, the number of which depends on the task’s nature, complexity and assumed goal. It is the basic design tool for implementing the quality function [33]. It identifies and classifies customer requirements and determines their importance. It also finds technical features that may be relevant to these requirements, correlates them with each other and allows for the verification of these correlations.
Then it assigns goals and priorities for the described requirements. This process can be applied to any level (e.g., system, subsystem or component) in the product design. It allows you to assess the level of difficulty for newly designed products and understand their level of competition. This tool helps to determine the most important parameters that should be taken into account in the design of a product or measurement system. According to the guidelines, the course of filling the House of Quality can be divided into 9 phases [33].
The following phases can be distinguished in Figure 1 [33]:
  • Phase 1. Defining customer requirements;
  • Phase 2. Assessment of the importance of customer requirements. The requirements identified in Phase 1 are assigned a specific level of importance on the scale from 1 to 10 (1—not very important, 10—very important);
  • Phase 3. Customer requirements are matched to the appropriate technical parameters;
  • Phase 4. Creation of a dependency matrix by presenting the force in the field of interrelationships between the requirements and technical parameters—between Phase 1 (What?) and Phase 3 (How?). The degree to which each requirement (Phase 1) is related to the desired technical parameters (Phase 3) is established. The result is a score of 1–3 or 1–5 indicating weak, medium or strong dependence;
  • Phase 5. The meaning of technical parameters is determined. These parameters take the form of a numerical sum of products of assessments of the importance of customer requirements (Phase 2) and the strength of their dependence with a given technical parameter (Phase 4);
  • Phase 6. Assessment of whether the change of one of the technical parameters forces the change of another parameter and whether it has a positive or negative impact. When there is a sign “-” (negative impact), it means that it is practically impossible to make changes without negatively affecting other features. When positive and neutral signs (“+” or “0”) prevail, then changes that improve the product can be introduced;
  • Phase 7. A diagram of interdependences is created and all the designated product parameters (Phase 3) and related target parameters (Phase 5) are compared in pairs with the competing solutions on the market and available products;
  • Phase 8. The expected level of technical parameters and their value ranges are established. The main points of service and customer requirements stated in Phase 1 are also determined;
  • Phase 9. In order to achieve measurable targets, the product parameters identified in Phase 3 are given measurable values to answer the question: How technically difficult is it? The technical degree of difficulty for their implementation is determined, adopting a scale from 1 to 10, where 1—not causing major difficulties, 10—very difficult to implement.
By entering data into the House of Quality, a matrix is created, in which the cell values are equal to the sum of the products of individual values assigned to priorities and the values assigned to individual factors. This score is the “importance rating” which completes the QFD analysis in Phase 5.

3. Description of the Analysis

Using the statistical methods described in the previous section, the analysis of the properties of an electronic module were performed. At first, the P-diagram of the analyzed module was formulated. It is shown in Figure 2.
In the case of the system for measuring the effect of voids in the soldering area of transistors, the input and control parameters, interferences and output signals are defined as follows:
  • input signals: the drain current ID [A] and dissipated power P [W];
  • controllable input parameters: the gate-source voltage VGS [V] and the voltage between the drain and the source VDS [V];
  • uncontrollable input parameters(in this case, these are additional parameters affecting the measurement results, which were not controllable, but were measured in order to relate to the values of the output signals): the ambient temperature Ta [°C], the total void area in the soldering area of power devices expressed in %, the total individual void size also expressed in %, the type of the transistor being measured (BLC9G22LS-160VT or BLC10G22LS -240PVT) and the position of the transistor on the PCB; two pairs of transistors (Figure 1) are mounted in the tested system;
  • output parameters: the temperature TC measured on the case of the transistors (the average temperature along the transistor cross-section), the area temperature [°C] and the thermal resistance Rth expressed in K/W.
In the case under consideration, the QFD is used to determine the type of analyses that should be performed to determine the level of influence of selected factors on certain parameters of the discussed electronic module (shown in next section). As it was only important to identify which technical factors have the greatest impact on meeting the customer requirements, the QFD analysis was limited to the five most important phases. The customer’s requirements related to the operation of the electronic module include:
  • Reliability of the electronic system operation;
  • Lifetime of transistors;
  • Output power;
  • Thermal resistance Rth.
The customer requirements described in this way were assigned the following priorities on a 10-point scale:
1—very little importance;
4—little importance;
7—quite important;
10—very important.
The differentiation of the scale according to the above nomenclature made it possible to define the matrix of points between the customer’s requirements and the parameters of the factors assigned to them, which may have had an impact on the described requirements. The following parameters were taken into account:
  • the total area of the voids in the soldering area expressed as the sum of the individual (Voids total) measured with the X-ray DAGE system XD7600NT;
  • the greatest individual voids measured with the same X-ray system, as in the case of the measurement of the area of total voids;
  • the temperatures measured on the component case using the Optris IR camera with the Optris PI connect software [34] thermographic camera in the chamber [1] for a selected operating point;
  • temperatures measured on the component’s case at selected points of its cross-section;
  • the ambient temperature;
  • the transistor type;
  • the position of the transistor on the PCB;
    o
    positions TR_A1, TR_A3 are for the transistor BLC10G22LS-240PVT;
    o
    positions TR_B2, TR_B4 are for the transistor BLC9G22LS-160VT;
  • the soldering profile;
  • the types of the solders used;
  • the type of SMT oven used (conventional, or the one using nitrogen as an environmental factor).
Not all of the above-mentioned parameters may affect the fulfillment of the requirements [4], although these seem to be the most important [35,36,37].
In this study, in order to perform the QFD analysis, parameters that could affect these requirements were assigned to the customer’s requirements and the above-described score was set for them (Figure 3). The values of the points were assigned based on the best knowledge in the field of the influence of temperature changes on the thermal parameters of the tested transistors [27,28,29,30,31,32,33,34,35,36,37]. There is a possibility of making a mistake at this stage. It may be discovered that the score is not fully accurate and that the less important parameters are ranked higher than the more important ones. Such an error is not significant as long as the statistical analyses performed at later stages do not show other relations between the analyzed values than those resulting from the assigned scores. However, more attention should be paid to the fact that none of the parameters for the analysis should be omitted, as this may result in an incomplete picture, and a complete picture of the results is necessary to describe those results.
The results in the HoQ (Figure 3), in the “importance rating” column, indicate which influence of the factor on the customer’s requirement set, according to priority, is the most important. According to the colors used here, the areas were compared with each other and, in the importance rating, the most important ones were marked in red and orange (Figure 3). The results indicating the weak influence of the factors on the specified requirements are marked in dark or light green, depending on the value. Thus, out of the 10 previously defined factors, the six with the highest value exceeding 150 were as follows [38]:
  • the temperature measured at the cross-section points of the transistor case (rating 229);
  • the transistor type (rating 187);
  • the average temperature measured at the component case (rating 178);
  • the ambient temperature (rating 178);
  • the total voids (rating 175);
  • the individual voids (rating 154).
The above-described parameters are marked in yellow in the matrix. From the results of the HoQ matrix obtained in this way, it can be concluded that the most important dependences that should be verified are:
  • the dependence of changes in thermal resistance Rth on the temperature measured along the cross-section of the component (Rth measurements for several selected points in the cross-section of the transistor case);
  • the temperatures measured along the cross-section of the transistor and other parameters, which are defined as follows:
    o
    Temp1—the highest temperature measured on the case;
    o
    Tempmin—the lowest temperature on the case;
    o
    Temp2—the temperature measured at the opposite end of the transistor case to the transistor feed point;
    o
    Tempśr—the mean temperature of the transistor case area;
    o
    The temperature difference Temp1 and Temp2;
    o
    RthT1, Rthmin, RthT2—the determined thermal resistances at the characteristic points of the transistor case cross-section at the temperature values Temp1, Tempmin and Temp2;
    o
    Rthaverage—the average value of thermal resistance determined as the arithmetic mean of values Rth T1, Rth T2 and Rth min;
    o
    Ta—the ambient temperature measured with the described Optris system [1];
    o
    P—the power dissipated on the transistor determined from the set values of drain current ID and voltage VDS.
The entered designations of individual temperatures will be used in the description of the measurement results later in the work:
  • The dependence of the thermal resistance Rth on the average temperature of the component case;
  • the effect of the total and individual voids on power, temperature, Rth and component lifetime.
The results of the QFD analysis also show that the transistor’s position, the soldering temperature profile or the type of the oven have a smaller impact on the reliability of the system and the thermal resistance Rth of the transistors. The study examined how the transistor position influences the temperature changes of the transistor case at the set power. At the same time, it should be investigated what influence the power released in the components has on their thermal parameters and how their lifetime will change accordingly.

4. Results of the Measurements and Analyses

In order to determine the relationship between individual parameters and to investigate whether there is any relationship between them, the correlation coefficient r is determined. All the results of this coefficient above the value of 0.7 are interesting for the analysis because they explain with about 50% justification how the value of one variable is determined by the variability of the other variable.
Additionally, in the described methodology, 6 Sigma statistical tools are used. It is a set of statistical tools adopted as part of quality management [1,2,3]. They allow you to carefully examine how changes in the parameters of one size affect the others and to define the limits of these changes so that they meet the customer’s technical requirements or those in accordance with the adopted defined and described standards. The application that offers statistical tools for research and the statistical analysis of the collected data is the Minitab Statistical Software [7].
In the investigations carried out in this article, for many transistors mounted on identical PCBs, using the X-ray tool, voids were measured in the area of their soldering. The thermal parameters of these devices were also measured, which included the determination of thermal resistance between the case and the surroundings, and the non-uniformity of the temperature distribution on the surface of these transistors. The measurement results were analyzed using the methodology based on 6 Sigma statistical tools.
The measuring system and the procedure for measuring thermal parameters of the described transistors are presented in [27].

4.1. Tested Device

The view of the tested electronic module is presented in Figure 4a. There were four such modules with dimensions of 245 mm by 280 mm at their disposal. On each module there were two BLC10G22LS-240PVT-type transistors marked as TR_A and two of the type BLC9G22LS-160VT marked as TR_B (Figure 4a). These transistors in the power amplifier (PA) circuit are part of the TRX transceiver circuit. They are assembled in the SMT process on a PCB containing 12 layers.
The temperature measurements on the cases of both the discussed types of transistors were made with the use of a thermographic camera at the power values P ≤ 10 W and P ≥ 20 W. The results of these measurements are thermograms with the temperature distribution along and across the transistor case. An exemplary result of such measurements is shown in Figure 4c, and an exemplary measurement result for P = 21.5 W is presented in Table 1. The used measurement method of temperature distribution on the transistor case and its thermal resistance is described in detail in the paper [27].
When we study the effect of one quantity on another without fully knowing what equations they might be related to, and there is a relationship between them, we can only estimate the relations between them with some accuracy. In statistics, to find out what relationship exists between data sets, if any, the regression equation is used, among others [39,40]. There are different types of regression equations. Some of these include exponential linear regression and simple linear regression (to fit your data into an exponential or linear equation). The regression analysis is a method of mathematical ordering that allows you to evaluate which variables actually affect certain parameters and which can be ignored. Ideally, when the variables under investigation are fully interdependent, this will mean that the experimental data will overlap with the results obtained using the regression equation in the plot.

4.2. Regression Analysis

The regression equation allows you to verify one of the hypotheses: the zero hypothesis (H0), which assumes no influence of the explanatory variable (x) on the dependent variable (y), and the alternative hypothesis (H1), formulated as “it is not true that H0” and saying that the variable (x) has an influence on the variable (y). The decision regarding whether one of the hypotheses is true is made on the basis of the parameter p-value. If p-value > 0.05 (5%) then the risk of making a rejection error H0 is too high and we assume that H0 is true. In the opposite case (p-value < 0.05), we obtain the statistical evidence of the dependence (H1).
In the conducted tests, the linear regression equation [40], described in the Minitab program, was used in order to check and illustrate the existing relationships between the thermal parameters of the tested transistors and the size of the voids occurring while soldering these devices. In this equation, the regression line y = ax + b expresses the prediction of the dependent variable (y) for the given independent variables (x). In the conducted analyses, the value of the variable (y) corresponds to the changes in the Rth value, while the value of the variable (x) corresponds to the measured void sizes in the soldering area of the TR_A and TR_B transistors’ source in all their positions on the PCB laminate. In this way, predictions were made about how the discussed parameters will behave in relation to each other. The results of such analyses are shown in Figure 5.
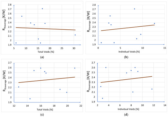
Figure 5a shows a graph of the linear regression analysis, revealing the dependence of the determined resistance Rth obtained from the measurements of the temperature measured through the cross-section of the TR_A transistor case [24] on the sum of the voids in the soldering area of its source “S” at the dissipated power P = 21.5 W. The obtained points in the area of the designated straight line are scattered randomly. The value of parameter p-value = 0.696, i.e., at the level of 70% (> 5%), does not allow for the rejection of the H0 hypothesis and confirms that the changes in the size of the void do not affect the values of the thermal resistance Rth.
Similarly, for the same transistor TR_A, the regression analysis was performed by checking the influence of the size of individual voids on the value of thermal resistance Rth, which is presented in Figure 5b. Here, too, no relationships were found between the studied quantities to write down the essence of the function Rth = f(Individual Voids). In this case, the p-value was 0.64.
The same conclusions can be made by analyzing the relationship of the void sizes for the TR_B transistor [23], which are respectively shown in Figure 5c,d. The analyses carried out with the use of the regression function show that the value of the total area of the void spaces and the individual area of each of the voids in the soldering area of the transistor source does not translate into the results of the determined thermal resistance Rth.

4.3. Correlation Analysis

The Minitab tool has a “Matrix plot” function that allows you to make a matrix plot showing the correlation between selected parameters described in the HoQ (Figure 3). Such a matrix shows how the indicators depend on each other. The parameter describing the interdependence of the two studied quantities is called the linear correlation coefficient. The correlation coefficient between two parameters will always be between −1 and 1. The sign “-” denotes the negative influence of one quantity on the other. The value of “0” in the discussed interval indicates that there is no relationship between the examined parameters. The correlation coefficient rxy is described by the general equation of the form,
r x y = 1 n 1 i = 1 n x i x ^ σ x y i y ^ σ y = 1 n 1 i = 1 n x i x ^ y i y ^ σ x σ y
where rxy—correlation coefficient, i.e., the level of connection between two selected parameters, n—number of the measurement results, xi, yi—successive measured values of parameters x and y, and standard deviation σx, σy from the mean value of the measurements of parameters x or y.
In the Minitab, using the Matrix Plot function described above and the results of the measurements presented in Table 1, the relations were obtained between the individual thermal parameters of the tested transistors selected in the HoQ analysis and the size of individual and total voids measured. Referring to the Equation (1), the size of the void corresponds to the value “y” in this equation and the remaining parameters correspond to the value “x”. The values of the correlation coefficient between the described parameters and the size of the voids are presented in Table 2.
Referring to the previously discussed regression analyses, to determine the simple regression of one variable (and the trend line), we use the least squares method [39]. The coefficient of convergence or determination R2 is determined, which in turn determines the percentage of variation for the dependent variable, which then can be explained by an explanatory variable in the regression model. This coefficient measures how well the regression model fits the data. It can be determined as the square of the correlation coefficient r from where it also takes the used name R2. Due to this parameter, there may be interesting values of the correlation coefficient r, with absolute values around the value r = 0.7. It is not a hard limit, but an empirical value which may indicate the dependence of one measured quantity on another, for which the value of R2 ≈ 50%. This value explains with 50% justification how the value of one variable is determined by the variability of the other variable.
The Matrix Plot analysis made it possible to check whether the assumption that the resistance value Rth depends on the void area is correct. From the obtained results of the values of the correlation coefficient describing the level of the influence of the area of the individual and total voids on the value of the thermal resistances determined in the cross-section of the transistor case, the highest value slightly exceeded 0.2 (Table 2). Such a value of the r coefficient was obtained by verifying the influence of the individual voids’ size on the value of the thermal resistance RthT1.
A similar value of the correlation coefficient was obtained by examining the influence of the size of individual boxes on the average thermal resistance Rthaverage. For the TR_B transistor, the correlation coefficient was r = 0.18, and for the TR_A transistor, the r value was around 0.17. This level is too low to show whether there is any relationship relevant to the analysis between these values. Therefore, the statistical influence of individual voids on Rthaverage changes is negligible.
The obtained results of the correlation coefficient, both for the transistors TR_A and TR_B, in none of the cases confirmed the correlation of the size of the voids, both individual and total, with the value of the thermal resistance Rth, and the results did not even come close to the level of the correlation coefficient r = 0.7.
The performed regression analyses and the determined values of the correlations between the selected parameters of the tested transistors presented in Table 2 prove that the total area of the void spaces and the individual area of each of the gaps in the soldering area of the transistor’s source have no direct impact on the result of the determined thermal resistance Rth. Similarly, there is no correlation between the dimensions of the discussed gaps in the soldering area and the temperature value measured on the case at several points of the transistor’s cross-section. The highest value of the correlation coefficient was noted between the size of the measured voids and the value of the temperature difference T1 and T2 measured at the extreme points of the transistor case. In this case, the highest value of the coefficient was r = 0.57.

4.4. Interval Plots

In further analyses, the distribution of the power dissipated in TR_A and TR_B transistors and the temperatures of their cases were investigated, taking into account the arrangement and position of the transistors in the tested PCB modules. It was also checked whether the transistor models significantly differ in the value of the Rth parameter under similar control conditions.
The Interval Plot presented in Figure 6a was performed in the Minitab program, which shows the changes in the power dissipated in both transistors. It can be concluded from this figure that when we compare the changes in the emitted power for the tested transistors, they are statistically different. The average values of this power for the TR_A transistor are Pśr = 21.7 W, and for TR_B, Pśr = 22.7 W. In practice, the changes in this power are very small, of the order of 2 W, which is about 10% in relation to the average value.
Comparing the value of the power dissipated for the same type of transistors, it can be seen that the difference in the range of power changes is even smaller. For example, for the TR_B transistors, the average value of this power differed by only 0.3 W. However, the full range of changes is within the range ∆P = 1 W, which is only a 2.5% change in the value of this power in relation to its average value. Therefore, it can be assumed that the power dissipated on both transistors was similar, and that its possible fluctuations should not significantly affect the differences in the values of their thermal parameters and the temperature on the transistors’ cases.
In order to verify this assumption, the temperature distribution measured on individual transistors was also examined using the Interval Plot (Figure 6b). Although the value of the power dissipated on both types of transistors was similar, the temperature values on their cases for positions TR_A1, TR_A3 and TR_B2 also converged, and the average temperature value was at the level of Tav = 80 °C, in one case, it was noticed that one of the transistors, described as TR_B4, heats up more than the others. The extreme transistor type BLC9G22LS-160VT reached temperature values from 8 °C to even 16 °C higher than the others. The average temperature on the case of this transistor was Tav = 87 °C. This situation occurred for each of the tested electronic modules. It is probable that the smaller mass area on the heat dissipation PCB causes a higher temperature for this extreme device.
From the results of the analyses presented in (Figure 6b), it was also noticed that the fluctuations of the measured temperatures for the extreme position of the TR_B transistor were significantly smaller compared with the other tested transistors in positions 1, 2 and 3. For the TR_B4 transistor, small power changes on the order of ∆P = 1 W (Figure 6a) resulted in slight changes in temperature ∆T = 30 °C. This is only a 2% change in relation to the average value of the temperature released by the case of this transistor. However, the largest range of changes in this temperature could be observed for both the TR_A type transistors, where, with power changes of only ∆P = 1.5 W, temperature changes in the range of ∆T = 15 °C were obtained. This is about a 15% change in the temperature value from its average value.
Continuing the considerations, on the basis of the performed temperature measurements and with specific actuation of the transistors, their thermal resistance Rth was determined [27]. The distribution of the obtained results was illustrated using the Box Plot functions in the Minitab program. The distributions of the thermal resistance Rth for the individual transistors placed in all four positions, with P = 21.5 W ± 10%, are shown in Figure 7a. Comparing the distribution of the results for the determined Rthaverage presented in Fig7a, it can be seen that their values for the TR_A transistors vary in a fairly wide range (from 1.9 K/W to as much as 2.7 K/W), i.e., as much as 30% of the average value of this thermal resistance. The thermal resistance Rthaverage of the TR_B transistors is also within this range. However, it was noticed that for the extreme transistor TR_B4, the results were within the upper limit of changes in thermal resistance measured in the other positions of individual transistors in each module. Additionally, the range of the Rthaverage changes for TR_B transistors was narrower. For the TR_B in position 2, it varied from 1.9 K/W to about 2.55 K/W, which is about 25% of the mean Rth. The smallest difference in the Rthaverage results was noticed for TR_B in the position 4. Here, the thermal resistance varied from 2.5 to 2.6 K/W, which is only 4% of the average Rth value.

4.5. Probability Plots

The mean Rthaverage values for all the tested transistors were also compared. To this end, the Interval Plot was created in the Minitab and the results are presented in Figure 7b. The mean value of thermal resistance for the TRB_4 transistor position was Rthaverage = 2.55 K/W. This value differs significantly from the thermal resistance value of the same type of transistor located in the position 2, where Rthaverage = 2.19 K/W.
Since the Rthaverage results within one type of the TR_B transistor were significantly different, the results were analyzed in more detail using one of the T-test hypothesis tests. The T-test, also known as the Student’s test, is used to compare the mean values of two groups of data. In our case, it concerns the average Rthaverage values for the two positions of the transistors TR_B2 and TR_B4. However, it should be remembered that for this type of hypothesis test, it is important to assume that the possessed data distributions meet the normality condition. Therefore, in the first step, it was necessary to make sure that the distributions of the obtained Rthaverage values for both the considered positions of the TR_B transistor meet these assumptions. For this purpose, in the Minitab, a normality test was performed using the Probability plot functions. The test result of the obtained Rthaverage distributions for two positions of the transistor TR_B2 and TR_B4 is presented in Figure 8. In both the cases of distributions of Rthaverage values, the parameter p-value > 0.05, and it was, respectively, for the TR_B transistor in position 2 with p-value = 0.357, and for the one in position 4 with p-value = 0.205. The statistically obtained distributions meet the assumptions of normality.
The next step was to check whether the differences in the Rthaverage variability of the TR_B transistor in positions 2 and 4 of the transistor are statistically significant. In the Minitab, a two-variance test was performed for this purpose. The result of this function is shown in the graph presented in Figure 9. This plot represents the confidence intervals for individual standard deviations for the Rthaverage distributions of the transistors in positions 2 and 4. The obtained results show that the Rthaverage value for the same type of transistor in position 4 has an estimated four times less variability compared with the transistor in position 2.
In the last verification aimed at checking the real variability of thermal resistance Rth due to the location of the tested transistors in the PCB module, the already described T-test (Student’s test) was mentioned [34]. This test was performed in the Minitab program, which resulted in the tabular result presented in Table 3. The parameters in Table 3 are the following:
  • o N—the number of samples you have;
  • o Mean—the average value of the obtained results of Rthaverage;
  • o StDev—the standard deviation;
  • o SE Mean—the standard error of the mean value (the basis for estimating the confidence interval of the mean value);
  • o T-value—the computed value of the hypothesis test statistic [28].
The most important result of the T-test was p-value = 0.023. This value is lower than 0.05, which allows us to reject the H0 hypothesis and go to the H1 hypothesis, concluding that the influence of one quantity on the other is significant. Thus, a statistical difference was found between the average values of Rthaverage and their value is influenced by the position of the tested TR_B transistors.

4.6. Discussion

Summarizing this part of the analyses and the results presented in Figure 7, Figure 8 and Figure 9, it can be concluded that the position of the transistors on the PCB laminate is important and affects their thermal parameters. Depending on whether the tested components lie closer to the center of the PCB module or are mounted on the edge of the PCB, the tested thermal resistance Rth may change several times with similar actuation. Thus, the temperature on the case of the extreme device was at least 10% higher than on the others, with very similar control conditions (the range of power changes for the same type of the transistor TR_B was only 2.5%).
The conducted analyses made it possible to claim that, taking into account all the dependences between the individual parameters presented in the paper, the most important factors influencing the behavior of the transistor are: the type of the transistor, the cooling system (position on the PCB) and selected control parameters. Changes in the power value by 10 W, i.e., from the value of 10 W to 20 W (twice), cause a change in the case temperature of about 45 °C (from 47 °C to 90 °C). The Rth values were compared with the determined void values and no correlation was found between these parameters. This is inconsistent with the common opinion that an increase in the surface area of the void deteriorates the efficiency of heat removal from the devices.
It was also noticed that the temperature value on the component case is influenced by the location of these devices on the PCB. The transistor in the extreme position reached the highest temperature values. It is predicted that the cause may be a smaller mass surface, which means that for this component, the heat could be dissipated least efficiently. From the results of the analyses of one of the T-test hypotheses, a clear variation was found, determined as the average value of the thermal resistances measured in the cross-section of the transistor, described as Rthaverage. The value of this thermal resistance for the extreme position of the TRB-4 device was several times lower than those of the other transistors located in the positions 1–3.
Returning to the HoQ shown in Figure 3, the result of which was the importance rating of the main 10 parameters and the selection of six with the highest score value for the analysis, it can be noted that, among them, the “position of the tested components on the PCB” was not initially taken into account. This parameter was only classified as item 7. The location of the components did not seem to be such a significant factor influencing the changes in the temperature distribution on the case of these components and thermal resistance Rth, compared with the others. However, following the DMAIC methodology described in Section 2 and the in-depth study of the influence of some parameters on others, it was possible to verify the initial assumptions. As demonstrated by the results of the statistical analyses, depending on whether the tested components lie closer to the center of the PCB or are mounted on the edge of the laminate, the tested thermal resistance Rth may change several times with similar values of the dissipated power.

5. Conclusions

The procedure presented in this article concerning the examination of the influence of voids ion the soldering area of the tested transistors and on their thermal parameters is consistent with the DMAIC process. This methodology is one of the quality tools used to improve production processes. It allows for an in-depth examination of the problem of any production process, describing it through input, control and output parameters, and determining any quantities causing disturbances. As an example in this article, parameters of this type are described in the P-diagram. The use of statistical tools helps to determine which of the tested signal values have the greatest impact on the tested parameters (HoQ). Thus, it can be determined whether the proposed changes to the process effectively eliminate disturbances and improve its efficiency.
The analyses carried out with the use of DMAIC and the obtained test results can be used to improve the design of electronic modules with the use of power devices. It was shown that the location of such devices on the PCB is important for their thermal parameters and thus for the lifetime of these devices. The use of statistical tools, on the other hand, allows the confirmation of the conclusions of the analyses carried out with the specified accuracy and the assumed confidence interval. This means that we can be sure, within a certain probability (not less than 95%), that the obtained results and the influence of some quantities on others are exactly as presented in the analyses described in this article.
It is shown that no correlation between the voids’ size and the thermal resistance Rth of both tested power transistors is observed. On the other hand, Rth visibly depends on the position of the tested transistor on the PCB. An increase in the value of Rth causes visible shortening in the transistor’s lifetime. Therefore, the lifetime of the transistors situated near the edge of the PCB is shorter than that of transistors situated in the middle of the PCB.
The effectiveness of the described approach and the practical justification of the use of statistical methods in improving production processes and their efficiency contribute to their increasing popularity not only in the production of electronic modules, but also in other industries. They are one of the important components of quality improvement. That is why they are also used in the Industrial, Life style and Automotive or Medical segments, where the quality requirements and product parameters must be particularly respected and kept within the limits described by the appropriately dedicated standards. A very important advantage of the described analysis method is the practically nonexistent cost of its application in industry. The described method can be an addition to the method of analyses of properties of PCB with the use of Ansys Electronics software.

Author Contributions

Conceptualization, K.G. and W.K.; methodology, K.G. and W.K.; validation, W.K.; investigation, W.K. and K.G.; writing—original draft preparation, W.K. and K.G.; writing—review and editing, K.G. and W.K.; visualization, W.K. and K.G.; supervision, K.G. All authors have read and agreed to the published version of the manuscript.

Funding

This research received no external funding.

Institutional Review Board Statement

Not applicable.

Informed Consent Statement

Not applicable.

Data Availability Statement

Data available for request.

Conflicts of Interest

The authors declare no conflict of interest.

Nomenclature

HoQHouse of Quality
IATFInternational Automotive Task Force
IDdrain current
IPCInstitute of Printed Circuits
ISOInternational Organization for Standardization
LEDLight Emitting Diode
Ppower
PDCAPlan, Do, Check and Act
PCBPrinted Circuit Board
QFDQuality Function Deployment
RFradio frequency
Rththermal resistance
Taambient temperature
TQMTotal Quality Management
VDSdrain-source voltage
VGSgate-source voltage

References

  1. Ganguly, K. Improvement Process for Rolling Mill through the DMAIC Six Sigma Approach. Int. J. Qual. Res. 2012, 6, 221–231. Available online: http://ijqr.net/journal/v6-n3/6.pdf (accessed on 6 December 2022).
  2. Tjahjono, B.; Ball, P.; Vitanov, V.I.; Scorzafave, C.; Nogueira, J.; Calleja, J.; Minguet, M.; Narasimha, L.; Rivas, A.; Srivastava, A.; et al. Six Sigma: A literature review. Int. J. Lean Six Sigma 2010, 1, 216–233. [Google Scholar] [CrossRef]
  3. Saxena, M.M. Six Sigma Methodologies and its Application in Manufacturing Firms. Int. J. Eng. Manag. Res. 2021, 11, 79–85. [Google Scholar] [CrossRef]
  4. J-STD-001/IPC-A-610; IPC Validation Services; IPC: Bannockburn, IL, USA, 2004; Available online: https://ipcvalidation.org/ (accessed on 6 December 2022).
  5. Zespół LexDigital. Wdrożenie ISO. Available online: https://lexdigital.pl/wdrozenie-iso (accessed on 28 April 2022).
  6. Centrum Doradczo Szkoleniowe MALON GROUP Sp. z o. o. Wdrażanie IATF 16949 – System Zarządzania Jakością w branży motoryzacyjnej. IATF 16949. Available online: https://www.iso.org.pl/uslugi-zarzadzania/wdrazanie-systemow/zarzadzanie-jakoscia/iso-ts-16949/ (accessed on 6 December 2022).
  7. Sznajder, A. Dlaczego Warto Wdrożyć Certyfikat ISO 14001:2015? Available online: https://www.adees.net/dlaczego-warto-wdrozyc-certyfikat-iso-14001-2015.php (accessed on 6 December 2022).
  8. Kowalke, W.; Górecki, K.; Ptak, P. Selected problems of construction and assembly of RF circuits. Elektronika 2021, 62, 16–22. [Google Scholar] [CrossRef]
  9. Skwarek, A.; Illés, B.; Górecki, P.; Pietruszka, A.; Tarasiuk, J.; Hurtony, T. Influence of SiC reinforcement on microstructural and thermal properties of SAC0307 solder joints. J. Mater. Res. Technol. 2022, 22, 403–412. [Google Scholar] [CrossRef]
  10. Zhang, P.; Xue, S.; Wang, J.; Xue, P.; Zhong, S.; Long, W. Effect of Nanoparticles Addition on the Microstructure and Properties of Lead-Free Solders: A Review. Appl. Sci. 2019, 9, 2044. [Google Scholar] [CrossRef]
  11. Wu, B.; Leng, X.; Xiu, Z.; Yan, J. Microstructural evolution of SiC joints soldered using Zn–Al filler metals with the assistance of ultrasound. Ultrason. Sonochemistry 2018, 44, 280–287. [Google Scholar] [CrossRef]
  12. Pal, M.K.; Gergely, G.; Koncz-Horváth, D.; Gácsi, Z. Characterization of the interface between ceramics reinforcement and lead-free solder matrix. Surfaces Interfaces 2020, 20, 100576. [Google Scholar] [CrossRef]
  13. Yin, L.; Zhang, Z.; Su, Z.; Zhang, H.; Zuo, C.; Yao, Z.; Wang, G.; Zhang, L.; Zhang, Y. Interfacial microstructure evolution and properties of Sn-0.3Ag-0.7Cu–xSiC solder joints. Mater. Sci. Eng. A 2021, 809, 140995. [Google Scholar] [CrossRef]
  14. Jiang, M.; Fu, G.; Wan, B.; Xue, P.; Qiu, Y.; Li, Y. Failure analysis of solder layer in power transistor. Solder. Surf. Mt. Technol. 2018, 30, 49–56. [Google Scholar] [CrossRef]
  15. Catalano, A.P.; Trani, R.; Scognamillo, C.; d’Alessandro, V.; Castellazzi, A. Optimization of thermal vias design in PCB-based power circuits. In Proceedings of the 21st International Conference on Thermal, Mechanical and Multi-Physics Simulation and Experiments in Microelectronics and Microsystems EuroSimE, Cracow, Poland, 5–8 July 2020. [Google Scholar]
  16. Nasir, S.S.M.; Yahaya, M.Z.; Erer, A.M.; Illés, B.; Mohamad, A.A. Effect of TiO2 nanoparticles on the horizontal hardness properties of Sn-3.0Ag-0.5Cu-1.0TiO2 composite solder. Ceram. Int. 2019, 45, 18563–18571. [Google Scholar] [CrossRef]
  17. Bucolo, M.; Buscarino, A.; Famoso, C.; Fortuna, L.; Frasca, M.; Cucuccio, A.; Rasconá, G.; Vinci, G. Model Identification to validate Printed Circuit Boards for power applications: A new technique. IEEE Access 2022, 10, 31760–31774. [Google Scholar] [CrossRef]
  18. Kowalke, W.; Górecki, K. Diagnostyka i naprawy modułów elektronicznych w trakcie procesu produkcyjnego. Przegląd Elektrotechniczny 2021, 97, 125–133. [Google Scholar] [CrossRef]
  19. The Association of Motorola and Six Sigma in 1980s and 1990s. Available online: https://www.brighthubpm.com/six-sigma/69048-the-relationship-between-motorola-and-six-sigma/ (accessed on 6 December 2022).
  20. Barski, T.; Sroczyńska, M.; Mordarska, B.; Pietruszka, M. Six Sigma. Available online: https://mfiles.pl/pl/index.php/Six_sigma (accessed on 3 November 2022).
  21. Wawrzynek, J. Sześć Sigma–Pojęcie (Od Pewnego Czasu) Niejednoznaczne. Folia Oeconomica Crac. 2013, 54, 81–92. Available online: https://repozytorium.ka.edu.pl/bitstream/handle/11315/27897/WAWRZYNEK_Szesc_sigma_Pojecie_2013.pdf?sequence=1&isAllowed=y (accessed on 6 December 2022).
  22. Mahanti, R.; Antony, J. Confluence of six sigma, simulation and software development. Manag. Audit. J. 2005, 20, 739–762. [Google Scholar] [CrossRef]
  23. Powerful Statistical Software Everyone Can Use. Available online: https://www.minitab.com/en-us/products/minitab/ (accessed on 6 December 2022).
  24. JMP vs Minitab: Which Is the Best Statistics Software. Stat Analytica Posted. 11 November 2019. Available online: https://articles.abilogic.com/398418/jmp-minitab-best-statistics-software.html (accessed on 6 December 2022).
  25. Pietruszka, A.; Górecki, P.; Wroński, S.; Illés, B.; Skwarek, A. The Influence of Soldering Profile on the Thermal Parameters of Insulated Gate Bipolar Transistors (IGBTs). Appl. Sci. 2021, 11, 5583. [Google Scholar] [CrossRef]
  26. Dziurdzia, B.; Górecki, K.; Ptak, P. Influence of a soldering process on thermal parameters of large power LED modules. IEEE Trans. Compon. Packag. Manuf. Technol. 2019, 9, 2160–2167. [Google Scholar] [CrossRef]
  27. Górecki, K.; Kowalke, W.; Ptak, P. Influence of Quality of Mounting Process of RF Transistors on Their Thermal Parameters and Lifetime. Appl. Sci. 2022, 12, 6113. [Google Scholar] [CrossRef]
  28. BLC9G22LS-160VT Power LDMOS Transistor, Ampleton, Data Sheet. Available online: https://www.ampleon.com/documents/data-sheet/BLC9G22LS-160VT.pdf (accessed on 6 December 2022).
  29. BLC10G22LS-240PVT Power LDMOS Transistor, Ampleton, Data Sheet. Available online: https://www.ampleon.com/documents/data-sheet/BLC10G22LS-240PVT.pdf (accessed on 6 December 2022).
  30. American Society for Quality. The Define, Measure, Analyze, Improve, Control (DMAIC) Process. In The Certified Quality Engineer Handbook; ASQ Quality Press: Milwaukee, WI, USA; Available online: https://asq.org/quality-resources/dmaic (accessed on 6 December 2022).
  31. Carlson, C.S. Parameter Diagrams (P-Diagrams). Available online: https://www.weibull.com/hotwire/issue182/fmeacorner182.htm (accessed on 6 December 2022).
  32. Yoji, A. Development History of Quality Function Deployment. In The Customer Driven Approach to Quality Planning and Deployment; Asian Productivity Organization: Minato, Tokyo, 1994. [Google Scholar]
  33. Tochman, R. QFD (Quality Function Deployment), Podstawy. 12 March 2009. Available online: https://www.jakosc.biz/qfd-quality-function-deployment/ (accessed on 6 December 2022).
  34. Prajzner, A. Testy T-Studenta. Available online: https://metostat.pl/testy-t-studenta/ (accessed on 6 December 2022).
  35. Blackburn, D.L. Temperature measurements of semiconductor devices—A review. In Proceedings of the Twentieth Annual IEEE Semiconductor Thermal Measurement and Management Symposium, San Jose, CA, USA, 11 March 2004; pp. 70–80. [Google Scholar]
  36. Górecki, P.; Myśliwiec, M.; Górecki, K.; Kisiel, R. Influence of packaging processes and temperature on characteristics of Schottky diodes made of SiC. IEEE Trans. Compon. Packag. Manuf. Technol. 2019, 9, 633–641. [Google Scholar] [CrossRef]
  37. Górecki, K.; Posobkiewicz, K. Selected problems of power MOSFETs thermal parameters measurements. Energies 2021, 14, 8353. [Google Scholar] [CrossRef]
  38. Li, Y.-L.; Du, Y.-F.; Chin, K.-S. Determining the importance ratings of customer requirements in quality function deployment based on interval linguistic information. Int. J. Prod. Res. 2018, 56, 4692–4708. [Google Scholar] [CrossRef]
  39. ArcGIS Insights. Analiza Regresji. Available online: https://doc.arcgis.com/pl/insights/latest/analyze/regression-analysis.htm (accessed on 6 December 2022).
  40. Data Science Team. Równanie Regresji: Co to Jest i Jak Go Używać. Available online: https://datascience.eu/pl/matematyka-i-statystyka/rownanie-regresji-co-to-jest-i-jak-go-uzywac/ (accessed on 6 December 2022).
Figure 1. House of Quality building phases.
Figure 1. House of Quality building phases.
Applsci 12 12694 g001
Figure 2. P-diagram with inputs, control and noise parameters’ influence on the output data of the tested transistors in PCB.
Figure 2. P-diagram with inputs, control and noise parameters’ influence on the output data of the tested transistors in PCB.
Applsci 12 12694 g002
Figure 3. QFD analysis using the House of Quality data matrix to determine the most important factors influencing the customer’s requirements.
Figure 3. QFD analysis using the House of Quality data matrix to determine the most important factors influencing the customer’s requirements.
Applsci 12 12694 g003
Figure 4. Tested electronic module (a), an example of the distribution of voids tested by the X-ray method (b), an example of a thermogram and case temperature distribution for the BLC10G22LS-240PVT transistor at the dissipated power P = 21.5 W for the transistor at position 3 in the electronic module described as PCB2 (c).
Figure 4. Tested electronic module (a), an example of the distribution of voids tested by the X-ray method (b), an example of a thermogram and case temperature distribution for the BLC10G22LS-240PVT transistor at the dissipated power P = 21.5 W for the transistor at position 3 in the electronic module described as PCB2 (c).
Applsci 12 12694 g004
Figure 5. Regression analysis illustrating the effect of void spaces on the Rth value together with the p-value: (a) for TR_A (Total Void), (b) for TR_A (Individual Void), (c) for TR_B (Total Voids), (d) for TR_B (Individual Voids).
Figure 5. Regression analysis illustrating the effect of void spaces on the Rth value together with the p-value: (a) for TR_A (Total Void), (b) for TR_A (Individual Void), (c) for TR_B (Total Voids), (d) for TR_B (Individual Voids).
Applsci 12 12694 g005
Figure 6. TR_A transistors in positions 1 and 3 and TR_B in positions 2 and 4, Interval Plot: (a) average value and distribution of power dissipated in the transistors, (b) average value and temperature distribution on the transistor cases at P = 21.5 W ± 10%.
Figure 6. TR_A transistors in positions 1 and 3 and TR_B in positions 2 and 4, Interval Plot: (a) average value and distribution of power dissipated in the transistors, (b) average value and temperature distribution on the transistor cases at P = 21.5 W ± 10%.
Applsci 12 12694 g006
Figure 7. Distribution of the thermal resistance value Rth for individual TR_A and TR_B transistors located in individual positions 1–4 with the dissipated power P = 21.5W ± 10% (a) Box plot and (b) Interval plot.
Figure 7. Distribution of the thermal resistance value Rth for individual TR_A and TR_B transistors located in individual positions 1–4 with the dissipated power P = 21.5W ± 10% (a) Box plot and (b) Interval plot.
Applsci 12 12694 g007
Figure 8. Probability plot, Rthaverage test of normality of the TR_B transistors located in the positions 2 and 4.
Figure 8. Probability plot, Rthaverage test of normality of the TR_B transistors located in the positions 2 and 4.
Applsci 12 12694 g008
Figure 9. Two variances test in the Minitab for Rthaverage and the transistor TR_B in the positions 2 and 4 in PCB modules.
Figure 9. Two variances test in the Minitab for Rthaverage and the transistor TR_B in the positions 2 and 4 in PCB modules.
Applsci 12 12694 g009
Table 1. Exemplary results of the measurements of temperatures Temp1, Temp2, Tempmin measured on the case of the transistor BLC10G22LS-240PV in several electronic modules and in various mounting positions as well as the determined thermal resistances RthT1, Rthmin, RthT2, Rthaverage with the dissipated power P = 21.5 W and control voltage VGS = 3 V.
Table 1. Exemplary results of the measurements of temperatures Temp1, Temp2, Tempmin measured on the case of the transistor BLC10G22LS-240PV in several electronic modules and in various mounting positions as well as the determined thermal resistances RthT1, Rthmin, RthT2, Rthaverage with the dissipated power P = 21.5 W and control voltage VGS = 3 V.
ModuleTransistor PositionTotal Voids [%]Max Individual Void in a Source Soldering Area [%]Temp1 [°C]Temp2 [°C]Temp min [°C]Rth T1 [K/W]Rth min [K/W]Rth T2 [K/W]Rthaverage [K/W]
PCB111812.783.578782.5092.2562.2562.383
PCB138.32.7908482.52.7532.4102.4792.547
PCB2113.52.982.57978.52.4622.2812.3032.349
PCB2315.28.77872702.2511.8821.9742.034
PCB3330.69.68176752.2962.0212.0672.127
PCB41122.48480802.5122.3272.3272.387
PCB4316.98.286.582.5812.8592.6032.6732.710
PCB515.90.77774722.1781.9422.0361.942
PCB5316.13.67571.5702.0851.8491.9191.943
Table 2. Set of r-value correlation coefficients showing the statistical impact of the individual and total void sizes on selected thermal parameters of the tested transistors.
Table 2. Set of r-value correlation coefficients showing the statistical impact of the individual and total void sizes on selected thermal parameters of the tested transistors.
Names of Parameters for Transistors TR_A; BLC10G22LS-240PVTTotal VoidsIndividual Voids
Temp1−0.0960.086
Temp2−0.166−0.056
Tempmin−0.117−0.016
Tempaverage−0.0330.116
TempDeltaT1iT20.2430.574
RthT1−0.1110.144
Rthmin−0.1240.059
RthT2−0.1640.029
Rthaverage−0.0530.168
Ta—ambient temperature0.01−0.282
P—power dissipated in the transistor [W]0.2340.233
Names of Parameters for Transistors TR_B; BLC9G22LS-160VTTotal VoidsIndividual Voids
Temp10.2470.204
Temp20.1120.103
Tempmin0.1250.095
Tempaverage0.190.178
TempDeltaT1iT20.5470.423
RthT10.2060.204
Rthmin0.0980.116
RthT20.0880.122
Rthaverage0.1520.181
Ta—ambient temperature−0.194−0.305
P—power dissipated in the transistor [W]0.4160.371
Table 3. T-test results of two groups of Rthaverage values determined for two transistor positions TR_B2 and TR_B4.
Table 3. T-test results of two groups of Rthaverage values determined for two transistor positions TR_B2 and TR_B4.
Transistor PositionMeasurement Samples NMeanStandard Deviation (StDev)SE Mean
TR_B252.1930.2120.095
TR-B442.5470.05430.027
Publisher’s Note: MDPI stays neutral with regard to jurisdictional claims in published maps and institutional affiliations.

Share and Cite

MDPI and ACS Style

Górecki, K.; Kowalke, W. Application of Statistical Methods to Analyze the Quality of Electronic Circuits Assembly. Appl. Sci. 2022, 12, 12694. https://doi.org/10.3390/app122412694

AMA Style

Górecki K, Kowalke W. Application of Statistical Methods to Analyze the Quality of Electronic Circuits Assembly. Applied Sciences. 2022; 12(24):12694. https://doi.org/10.3390/app122412694

Chicago/Turabian Style

Górecki, Krzysztof, and Wojciech Kowalke. 2022. "Application of Statistical Methods to Analyze the Quality of Electronic Circuits Assembly" Applied Sciences 12, no. 24: 12694. https://doi.org/10.3390/app122412694

APA Style

Górecki, K., & Kowalke, W. (2022). Application of Statistical Methods to Analyze the Quality of Electronic Circuits Assembly. Applied Sciences, 12(24), 12694. https://doi.org/10.3390/app122412694

Note that from the first issue of 2016, this journal uses article numbers instead of page numbers. See further details here.

Article Metrics

Back to TopTop