Numerical Calculation of Slosh Dissipation
Abstract
1. Introduction
Problem Description
2. SPH Method: The SPH-Flow Solver
2.1. Governing Equations Adopted for the SPH Model
- Modeling of only the liquid phase;
- Neglect of thermal conductivity and surface tension;
- Liquid is assumed to be a weakly compressible media through an artificial speed of sound.
2.2. Brief Recall of the -LES-SPH Scheme
-LES-SPH Scheme: Enforcement of the Boundary Conditions
2.3. -LES-SPH Scheme: Evaluation of the Energy Dissipation
3. Relation between Energy Dissipation and Fluid Center of Mass Motion
4. Volume-of-Fluid Finite Volume Method: The Elemental Solver
4.1. Background
4.2. Governing Equations for the Elemental Vertex-Centered FVM
4.3. Numerical Method
4.4. Mechanical Energy Calculation: Elemental
5. Results
5.1. SPH-Flow Solver Results
5.1.1. Two-Dimensional SPH Water Results
5.1.2. Two-Dimensional SPH Oil Results
5.1.3. Mechanisms of Fluid Dissipation
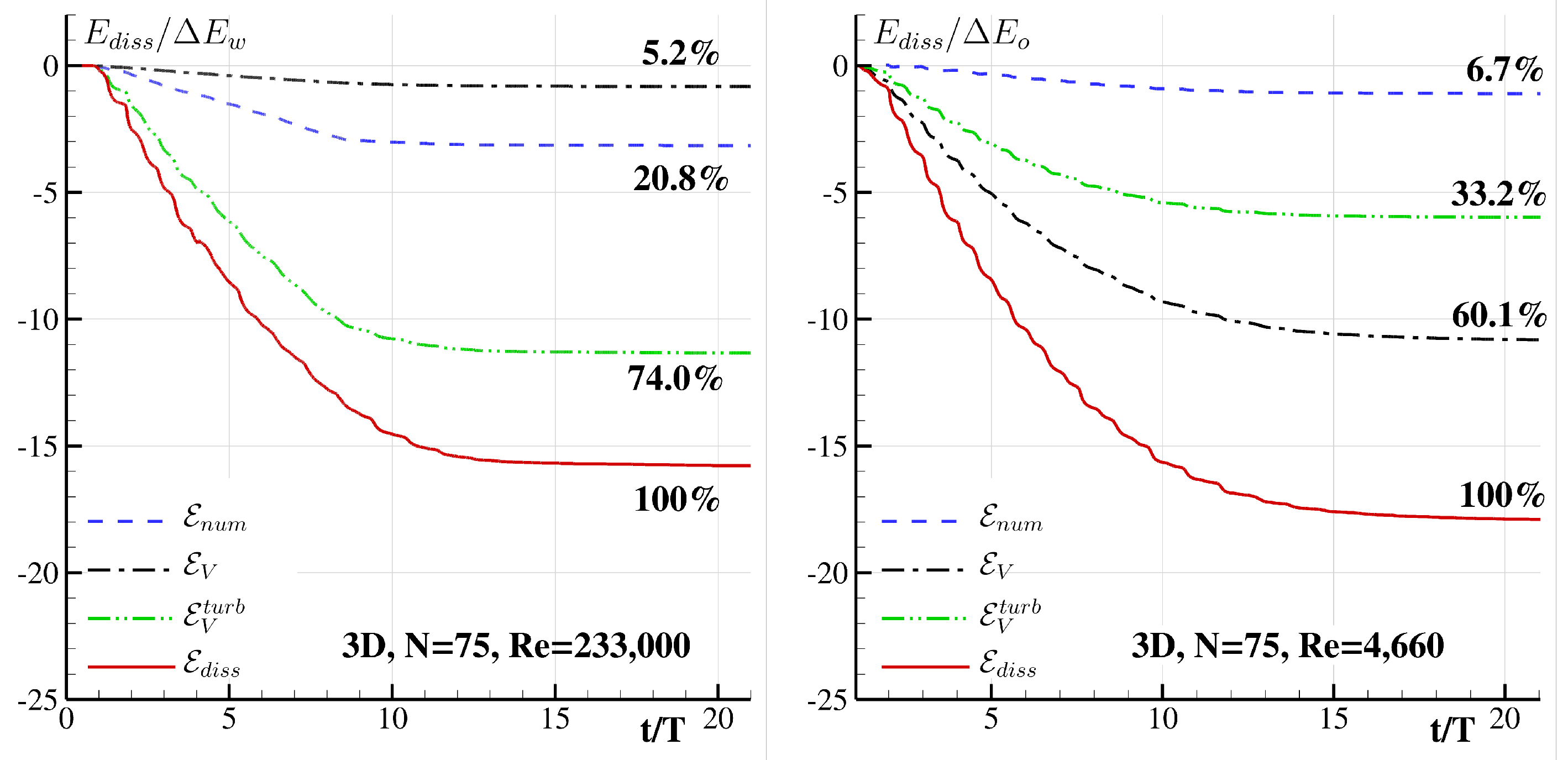
5.1.4. Three-Dimensional SPH Water Results
5.1.5. Three-Dimensional SPH Oil Results
5.2. Finite Volume Method Results with Elemental®
5.2.1. Simulation Setup
5.2.2. Oil 2D Results
5.2.3. Water 2D Results
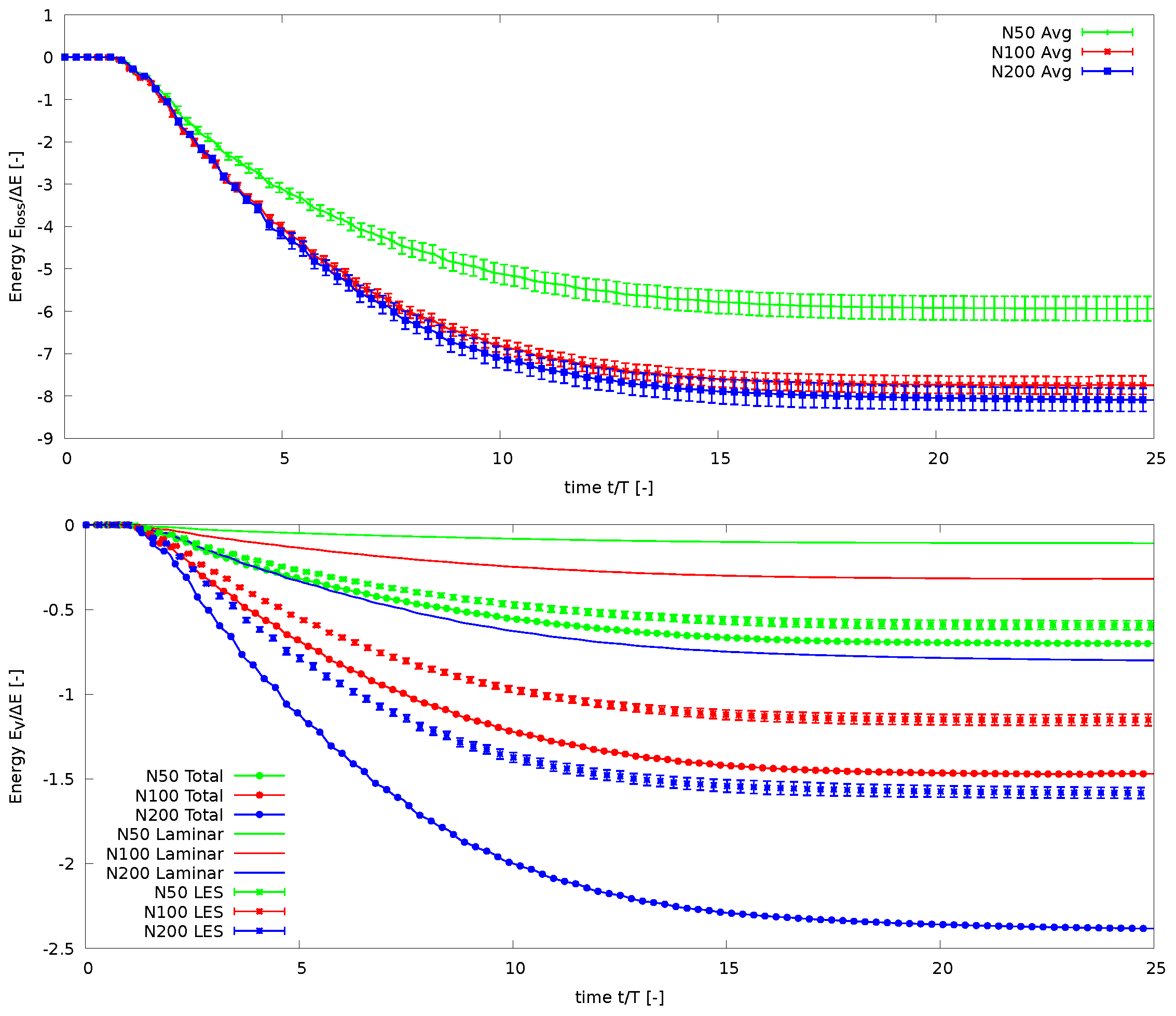
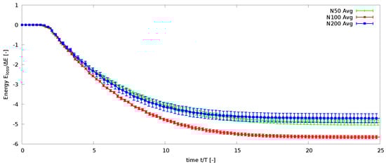
5.2.4. Oil 3D Results
5.2.5. Water 3D Results
6. Discussion on the Comparison between Elemental and SPH-Flow Results
CPU Costs
- The SPH-Flow 3D simulation with N = 50 (750,000 particles) requires 36 h on 192 cores for 225,000 time iterations ().
- The 3D Elemental simulation with N = 50 (1,500,000 cells for discretizing both liquid and gas phases) requires 46 h on 192 cores for 225,000 time iterations (the same as SPH-Flow).
7. Conclusions
Author Contributions
Funding
Data Availability Statement
Acknowledgments
Conflicts of Interest
References
- Gambioli, F.; Chamos, A.; Levenhagen, J.; Behruzi, P.; Mastroddi, F.; Malan, A.; Longshaw, S.; Skillen, A.; Cooper, J.E.; Gonzalez, L.; et al. Sloshing Wing Dynamics-2nd Year Project Overview. In Proceedings of the AIAA SCITECH 2022 Forum, San Diego, CA, USA, 3–7 January 2022; p. 1341. [Google Scholar]
- Gambioli, F.; Usach, R.A.; Kirby, J.; Wilson, T.; Behruzi, P. Experimental evaluation of fuel sloshing effects on wing dynamics. In Proceedings of the International Forum on Aeroelasticity and Structural Dynamics, Savannah, GA, USA, 9–13 June 2019; Volume 139. [Google Scholar]
- De Courcy, J.; Constantin, L.; Titurus, B.; Rendall, T.C.; Cooper, J.E. Sloshing induced damping in vertically vibrating systems. IOP Conf. Ser. Mater. Sci. Eng. 2021, 1024, 012084. [Google Scholar] [CrossRef]
- Martinez-Carrascal, J.; González-Gutiérrez, L. Experimental study of the liquid damping effects on a SDOF vertical sloshing tank. J. Fluids Struct. 2021, 100, 103172. [Google Scholar] [CrossRef]
- Bredmose, H.; Brocchini, M.; Peregrine, D.; Thais, L. Experimental investigation and numerical modelling of steep forced water waves. J. Fluid Mech. 2003, 490, 217–249. [Google Scholar] [CrossRef]
- Gambioli, F.; Malan, A. Fuel loads in large civil airplanes. In Proceedings of the 4th International SPHERIC Workshop, Nantes, France, 27–29 May 2009; pp. 246–253. [Google Scholar]
- Titurus, B.; Cooper, J.E.; Saltari, F.; Mastroddi, F.; Gambioli, F. Analysis of a sloshing beam experiment. In Proceedings of the International Forum on Aeroelasticity and Structural Dynamics, Savannah, GA, USA, 9–13 June 2019; Volume 139. [Google Scholar]
- Constantin, L.; De Courcy, J.; Titurus, B.; Rendall, T.; Cooper, J. Sloshing induced damping across Froude numbers in a harmonically vertically excited system. J. Sound Vib. 2021, 510, 116302. [Google Scholar] [CrossRef]
- Saltari, F.; Pizzoli, M.; Coppotelli, G.; Gambioli, F.; Cooper, J.E.; Mastroddi, F. Experimental characterisation of sloshing tank dissipative behaviour in vertical harmonic excitation. J. Fluids Struct. 2022, 109, 103478. [Google Scholar] [CrossRef]
- Constantin, L.; De Courcy, J.; Titurus, B.; Rendall, T.C.; Cooper, J. Analysis of damping from vertical sloshing in a SDOF system. Mech. Syst. Signal Process. 2021, 152, 107452. [Google Scholar] [CrossRef]
- Martinez-Carrascal, J.; Gonzalez, L.M. On the experimental scaling and power dissipation of violent sloshing flows. J. Fluids Struct. 2022, 115, 103763. [Google Scholar] [CrossRef]
- Marrone, S.; Colagrossi, A.; Gambioli, F.; González-Gutiérrez, L. Numerical study on the dissipation mechanisms in sloshing flows induced by violent and high-frequency accelerations. I. Theoretical formulation and numerical investigation. Phys. Rev. Fluids 2021, 6, 114801. [Google Scholar] [CrossRef]
- Marrone, S.; Colagrossi, A.; Calderon-Sanchez, J.; Martinez-Carrascal, J. Numerical study on the dissipation mechanisms in sloshing flows induced by violent and high-frequency accelerations. II. Comparison against experimental data. Phys. Rev. Fluids 2021, 6, 114802. [Google Scholar] [CrossRef]
- Pattinson, J.; Malan, A.G.; Meyer, J.P. A cut-cell non-conforming Cartesian mesh method for compressible and incompressible flow. Int. J. Numer. Methods. Eng. 2007, 72, 1332–1354. [Google Scholar] [CrossRef]
- Malan, A.G.; Oxtoby, O.F. An accelerated, fully-coupled, parallel 3D hybrid finite-volume fluid-structure interaction scheme. Comput. Methods. Appl. Mech. Eng. 2013, 253, 426–438. [Google Scholar] [CrossRef]
- Suliman, R.; Oxtoby, O.F.; Malan, A.; Kok, S. An enhanced finite volume method to model 2D linear elastic structures. Appl. Math. Model. 2014, 38, 2265–2279. [Google Scholar] [CrossRef]
- Changfoot, D.M.; Malan, A.G.; Nordstrom, J. Hybrid Computational-Fluid-Dynamics Platform to Investigate Aircraft Trailing Vortices. J. Aircr. 2019, 56, 344–355. [Google Scholar] [CrossRef]
- Oomar, M.Y.; Malan, A.G.; Horwitz, R.A.D.; Jones, B.W.S.; Langdon, G.S. An All-Mach Number HLLC-Based Scheme for Multi-Phase Flow with Surface Tension. Appl. Sci. 2021, 11, 3413. [Google Scholar] [CrossRef]
- Oxtoby, O.F.; Malan, A.G.; Heyns, J.A. A computationally efficient 3D finite-volume scheme for violent liquid-gas sloshing. Int. J. Numer. Methods Fluids 2015, 79, 306–321. [Google Scholar] [CrossRef]
- Heyns, J.A.; Malan, A.G.; Harms, T.M.; Oxtoby, O.F. A weakly compressible free-surface flow solver for liquid–gas systems using the volume-of-fluid approach. J. Comput. Phys. 2013, 240, 145–157. [Google Scholar] [CrossRef]
- Calderon-Sanchez, J.; Martinez-Carrascal, J.; Gonzalez-Gutierrez, L.; Colagrossi, A. A global analysis of a coupled violent vertical sloshing problem using an SPH methodology. Eng. Appl. Comput. Fluid Mech. 2021, 15, 865–888. [Google Scholar] [CrossRef]
- Wright, M.D.; Gambioli, F.; Malan, A.G. CFD Based Non-Dimensional Characterization of Energy Dissipation Due to Verticle Slosh. Appl. Sci. 2021, 11, 401. [Google Scholar] [CrossRef]
- Martinez-Carrascal, J.; Calderon-Sanchez, J.; González-Gutiérrez, L.; de Andrea González, A. Extended computation of the viscous Rayleigh-Taylor instability in a horizontally confined flow. Phys. Rev. E 2021, 103, 053114. [Google Scholar] [CrossRef]
- Bouscasse, B.; Colagrossi, A.; Souto-Iglesias, A.; Cercos-Pita, J. Mechanical energy dissipation induced by sloshing and wave breaking in a fully coupled angular motion system. II. Experimental investigation. Phys. Fluids 2014, 26, 033104. [Google Scholar] [CrossRef]
- Bouscasse, B.; Colagrossi, A.; Souto-Iglesias, A.; Cercos-Pita, J. Mechanical energy dissipation induced by sloshing and wave breaking in a fully coupled angular motion system. I. Theoretical formulation and numerical investigation. Phys. Fluids 2014, 26, 033103. [Google Scholar] [CrossRef]
- Marrone, S.; Colagrossi, A.; Di Mascio, A.; Le Touzé, D. Analysis of free-surface flows through energy considerations: Single-phase versus two-phase modeling. Phys. Rev. E 2016, 93, 053113. [Google Scholar] [CrossRef]
- Marrone, S.; Colagrossi, A.; Di Mascio, A.; Le Touzé, D. Prediction of energy losses in water impacts using incompressible and weakly compressible models. J. Fluids Struct. 2015, 54, 802–822. [Google Scholar] [CrossRef]
- Meringolo, D.; Colagrossi, A.; Marrone, S.; Aristodemo, F. On the filtering of acoustic components in weakly-compressible SPH simulations. J. Fluids Struct. 2017, 70, 1–23. [Google Scholar] [CrossRef]
- Antuono, M.; Marrone, S.; Di Mascio, A.; Colagrossi, A. Smoothed Particle Hydrodynamics method from a large eddy simulation perspective. Generalization to a quasi-Lagrangian model. Phys. Fluids 2021, 33, 015102. [Google Scholar] [CrossRef]
- Meringolo, D.; Marrone, S.; Colagrossi, A.; Liu, Y. A dynamic δ-SPH model: How to get rid of diffusive parameter tuning. Comput. Fluids 2019, 179, 334–355. [Google Scholar] [CrossRef]
- Antuono, M.; Sun, P.; Marrone, S.; Colagrossi, A. The δ-ALE-SPH model: An arbitrary Lagrangian-Eulerian framework for the δ-SPH model with particle shifting technique. Comput. Fluids 2021, 216, 104806. [Google Scholar] [CrossRef]
- Antuono, M.; Colagrossi, A.; Marrone, S. Numerical diffusive terms in weakly-compressible SPH schemes. Comput. Phys. Commun. 2012, 183, 2570–2580. [Google Scholar] [CrossRef]
- Smagorinsky, J. General circulation experiments with the primitive equations: I. The basic experiment. MWR 1963, 91, 99–164. [Google Scholar] [CrossRef]
- Colagrossi, A.; Antuono, M.; Le Touzé, D. Theoretical considerations on the free-surface role in the Smoothed-particle-hydrodynamics model. Phys. Rev. E 2009, 79, 056701. [Google Scholar] [CrossRef]
- Antuono, M.; Marrone, S.; Colagrossi, A.; Bouscasse, B. Energy balance in the δ-SPH scheme. Comput. Methods Appl. Mech. Eng. 2015, 289, 209–226. [Google Scholar] [CrossRef]
- Gambioli, F. (Airbus Operations Ltd., Pegasus House, Aerospace Avenue, Filton, Bristol, UK). Private communication, 2021.
- Heyns, J.A.; Malan, A.; Harms, T.; Oxtoby, O.F. Development of a compressive surface capturing formulation for modelling free-surface flow by using the volume-of-fluid approach. Int. J. Numer. Methods Fluids 2013, 71, 788–804. [Google Scholar] [CrossRef]
- Malan, A.G.; Jones, B.W.; Malan, L.C.; Wright, M. Accurate prediction of violent slosh loads via a weakly compressible vof formulation. In Proceedings of the The 31st International Ocean and Polar Engineering Conference, Rhodes, Greece, 20–25 June 2021. [Google Scholar]
- Cooker, M. Liquid impact, kinetic energy loss and compressibility: Lagrangian, Eulerian and acoustic viewpoints. J. Eng. Math. 2002, 44, 259–276. [Google Scholar] [CrossRef]
- Di Mascio, A.; Broglia, R.; Muscari, R. On the application of the single-phase level set method to naval hydrodynamic flows. Comput. Fluids 2007, 36, 868–886. [Google Scholar] [CrossRef]
- Malan, A.; Lewis, R.; Nithiarasu, P. An improved unsteady, unstructured, artificial compressibility, finite volume scheme for viscous incompressible flows: Part I. Theory and implementation. Int. J. Numer. Methods Eng. 2002, 54, 695–714. [Google Scholar] [CrossRef]
- Michel, J.; Durante, D.; Colagrossi, A.; Marrone, S. Energy dissipation in violent three dimensional sloshing flows induced by high-frequency vertical accelerations. Phys. Fluids 2022, 34, 102114. [Google Scholar] [CrossRef]
- Landrini, M.; Colagrossi, A.; Greco, M.; Tulin, M. Gridless simulations of splashing processes and near-shore bore propagation. J. Fluid Mech. 2007, 591, 183–213. [Google Scholar] [CrossRef]
- Salvatore, M.; Michel, J.; Saltari, F.; Mastroddi, F. SPH prediction of energy dissipation in a sloshing tank subjected to vertical harmonic excitations. In Proceedings of the 16th International SPHERIC Workshop, Catania, Italy, 6–9 June 2022; pp. 208–2015. [Google Scholar]



































| Single-Phase -LES-SPH Results (SPH-Flow Solver) | ||||||
|---|---|---|---|---|---|---|
| Test-Case | N = 50 | N = 100 | N = 200 | N = 400 | ||
| 2D test with water | −10.3 | −12.4 | −13.2 | −13.6 | ||
| 2D test with oil | −14.0 | −14.4 | −14.6 | − | ||
| N = 22 | N = 33 | N = 50 | N = 75 | Exp. Data | ||
| 3D test with water | −13.1 | −14.5 | −15.3 | −15.9 | −16.3 | |
| 3D test with oil | −17.8 | −17.7 | −17.6 | −17.9 | −16.7 | |
| Mesh Resolution: | ||
|---|---|---|
| Mesh Description and Dimension | × (2D) or | Cell Dimension |
| ×× Nodes (3D) | ||
| 2D | 160 × 96 | 625.00 |
| 2D | 320 × 192 | 312.50 |
| 2D | 640 × 384 | 156.25 |
| 3D | 125 × 75 × 75 | 800.00 |
| 3D | 160 × 96 × 96 | 625.00 |
| Elemental® Total Dissipation Results | ||||||
|---|---|---|---|---|---|---|
| 2D | 3D | Exp. Data | ||||
| N = 50 | N = 100 | N = 200 | N = 33 | N = 50 | - | |
| Water | −6.6 | −9.2 | −10.6 | −9.3 | −12.2 | −16.7 |
| Oil | −7.5 | −9.8 | −11.4 | −9.4 | −12.5 | −16.3 |
Publisher’s Note: MDPI stays neutral with regard to jurisdictional claims in published maps and institutional affiliations. |
© 2022 by the authors. Licensee MDPI, Basel, Switzerland. This article is an open access article distributed under the terms and conditions of the Creative Commons Attribution (CC BY) license (https://creativecommons.org/licenses/by/4.0/).
Share and Cite
Malan, L.C.; Pilloton, C.; Colagrossi, A.; Malan, A.G. Numerical Calculation of Slosh Dissipation. Appl. Sci. 2022, 12, 12390. https://doi.org/10.3390/app122312390
Malan LC, Pilloton C, Colagrossi A, Malan AG. Numerical Calculation of Slosh Dissipation. Applied Sciences. 2022; 12(23):12390. https://doi.org/10.3390/app122312390
Chicago/Turabian StyleMalan, Leon Cillie, Chiara Pilloton, Andrea Colagrossi, and Arnaud George Malan. 2022. "Numerical Calculation of Slosh Dissipation" Applied Sciences 12, no. 23: 12390. https://doi.org/10.3390/app122312390
APA StyleMalan, L. C., Pilloton, C., Colagrossi, A., & Malan, A. G. (2022). Numerical Calculation of Slosh Dissipation. Applied Sciences, 12(23), 12390. https://doi.org/10.3390/app122312390

