Investigation into the Flexural Toughness and Methods of Evaluating Ductile Concrete
Abstract
1. Introduction
2. Experimental Program
2.1. Materials
2.2. Mixing and Casting
2.3. Four-Point Flexural Test
3. Test Results
3.1. Test Piece Failure Process
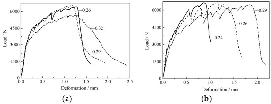
3.2. Load-Deflection Curve
3.3. Discussion
4. Methods of Evaluating Bending Toughness of High-Ductility Concrete
4.1. Methods of Evaluating Bending Toughness
4.2. Method of Evaluating Bending Toughness Based on Peak Load
4.2.1. Equivalent Bending Strength, fn
4.2.2. Bending Toughness Ratio, Rn
4.3. Discussion for Practical Implementation
5. Conclusions
- (1)
- The results indicated that the flexural failure modes, ultimate strength, and toughness of HDC could be improved with an increase in PVA fiber content, especially for deformation. The ultimate flexural strength of HDC with 2% PVA fibers of about 15.32 MPa showed an increase of up to 221%. The deformation and flexural toughness ratios were 23 times and 1.43 times higher than the specimens without fibers, respectively.
- (2)
- The post-cracking ductility of conventional concrete was significantly improved due to the stress redistribution effect of the fibers. With an increase in PVA fibers, the HDC specimens exhibited better deflection-hardening behavior, characterized by multiple cracks and crack width gradually decreasing. However, the water–binder ratio and age had little influence on the flexural behavior of HDC, with a variation range between 2% and 13%.
- (3)
- Existing approaches failed to evaluate the flexural toughness of HDC because of their dependence on an unstable initial cracking performance, insufficient deflection limit, and difficulty in reflecting the properties of different tests corresponding with different force stages. Based on JSCE-SF4 and CECS 13: 2009, the equivalent flexural strength and flexural toughness ratios calculated by the peak load of the specimen were proposed to assess HDC flexural toughness, providing a more comprehensive and accurate evaluation by selecting characteristic points evenly distributed throughout the loading process.
- (4)
- Future recommendations are that the parameter n of bending toughness based on the peak load should be modified with more data, and the applicability should be proven with more ductile materials.
Author Contributions
Funding
Institutional Review Board Statement
Informed Consent Statement
Data Availability Statement
Conflicts of Interest
Abbreviations
| HDC | High-ductility fiber-reinforced concrete |
| PVA | Polyvinyl alcohol |
| FRC | Fiber-reinforced concrete |
| ECC | Engineered cementitious composite |
| HPFRCC | High-performance fiber-reinforced cementitious composite |
| SHCC | Strain hardening cementitious composite |
| d | day |
| fn | Equivalent bending strength |
| Rn | Bending toughness ratio |
References
- Sukontasukkul, P.; Pomchiengpin, W.; Songpiriyakij, S. Post-crack (or post-peak) flexural response and toughness of fiber reinforced concrete after exposure to high temperature. Constr. Build. Mater. 2010, 24, 1967–1974. [Google Scholar] [CrossRef]
- Liu, F.; Ding, W.; Qiao, Y. Experimental investigation on the flexural behavior of hybrid steel-PVA fiber reinforced concrete containing fly ash and slag power. Constr. Build. Mater. 2019, 228, 116706. [Google Scholar] [CrossRef]
- Wu, Z.; Lian, H. High Performance Concrete; China Railway Publishing House: Beijing, China, 1999; pp. 1–17. (In Chinese) [Google Scholar]
- Deng, Z. The High Performance Synthesis Fiber Reinforced Concrete; Science Press: Beijing, China, 2003; pp. 45–48. (In Chinese) [Google Scholar]
- Rashiddadash, P.; Ramezanianpour, A.A.; Mahdikhani, M. Experimental investigation on flexural toughness of hybrid fiber reinforced concrete (HFRC) containing metakaolin and pumice. Constr. Build. Mater. 2014, 51, 313–320. [Google Scholar] [CrossRef]
- Stoll, F.; Saliba, J.E.; Casper, L.E. Experimental study of CFRP-prestressed high-strength concrete bridge beams. Compos. Struct. 2000, 49, 191–200. [Google Scholar] [CrossRef]
- Cao, M.; Khan, M. Effectiveness of multiscale hybrid fiber reinforced cementitious composites under single degree of freedom hydraulic shaking table. Struct. Concr. 2020, 22, 535–549. [Google Scholar] [CrossRef]
- Cao, M.; Xie, C.; Li, L.; Khan, M. Effect of different PVA and steel fiber length and content on mechanical properties of CaCO3 whisker reinforced cementitious composites. Mater. Constr. 2019, 69, 200. [Google Scholar] [CrossRef]
- Kim, H.S.; Shin, Y.S. Flexural behavior of reinforced concrete (RC) beams retrofitted with hybrid fiber reinforced polymers (FRPs) under sustaining loads. Compos. Struct. 2011, 93, 802–811. [Google Scholar] [CrossRef]
- Gong, C.; Ding, W.; Mosalam, K.M.; Günay, S.; Soga, K. Comparison of the structural behavior of reinforced concrete and steel fiber reinforced concrete tunnel segmental joints. Tunn. Undergr. Space Technol. 2017, 68, 38–57. [Google Scholar] [CrossRef]
- Hou, L.J.; Xu, S.; Zhang, X.F.; Chen, D. Shear Behaviors of Reinforced Ultrahigh Toughness Cementitious Composite Slender Beams with Stirrups. J. Mater. Civ. Eng. 2014, 26, 467–475. [Google Scholar] [CrossRef]
- Uygunoğlu, T. Investigation of microstructure and flexural behavior of steel-fiber reinforced concrete. Mater. Struct. 2008, 41, 1441–1449. [Google Scholar] [CrossRef]
- Gao, D.; Zhao, L.; Feng, H.; Zhao, S.B. Flexural toughness and it’s evaluation method of steel fiber reinforced concrete. J. Build. Mater. 2014, 17, 783–789. [Google Scholar]
- Felekoğlu, B.; Tosun, K.; Baradan, B. Effects of fibre type and matrix structure on the mechanical performance of self-compacting micro-concrete composites. Cem. Concr. Res. 2009, 39, 1023–1032. [Google Scholar] [CrossRef]
- Lin, C.; Kayali, O.; Morozov, E.V.; Sharp, D.J. Influence of fibre type on flexural behaviour of self-compacting fibre reinforced cementitious composites. Cem. Concr. Compos. 2014, 51, 27–37. [Google Scholar] [CrossRef]
- Ding, Y.; Zeng, W.; Wang, Q.; Zhang, Y. Topographical analysis of fractured surface roughness of macro fiber reinforced concrete and its correlation with flexural toughness. Constr. Build. Mater. 2020, 235, 117466. [Google Scholar]
- Pujadas, P.; Blanco, A.; Cavalaro, S.; Aguado, A. Plastic fibres as the only reinforcement for flat suspended slabs: Experimental investigation and numerical simulation. Constr. Build. Mater. 2014, 57, 92–104. [Google Scholar] [CrossRef]
- Blanco, A.; Pujadas, P.; de la Fuente, A.; Cavalaro, S.; Aguado, A. Influence of the type of fiber on the structural reponse and design of FRC slabs. J. Struct. Eng. 2016, 142, 04016054. [Google Scholar] [CrossRef]
- López, J.Á.; Serna, P.; Navarro-Gregori, J.; Camacho, E. An inverse analysis method based on deflection to curvature transformation to determine the tensile properties of UHPFRC. Mater. Struct. 2015, 48, 3703–3718. [Google Scholar]
- López, J.Á.; Serna, P.; Navarro-Gregori, J.; Coll, H. A simplified five-point inverse analysis method to determine the tensile properties of UHPFRC from unnotched four-point bending tests. Compos. Part B Eng. 2016, 91, 189–204. [Google Scholar] [CrossRef]
- Li, A.; Guo, S.; Zhu, D. Correlation of tensile and flexural behaviors of high toughness cementitious composites. China Civ. Eng. J. 2021, 54, 54–61. [Google Scholar]
- Li, V.C. On engineered cementitious composites (ECC)-a review of the materialand its applications. J. Adv. Concr. Technol. 2003, 1, 215–230. [Google Scholar] [CrossRef]
- Kanda, T.; Li, V.C. Practical Design Criteria for Saturated Pseudo Strain Hardening Behavior in ECC. J. Adv. Concr. Technol. 2006, 4, 59–72. [Google Scholar] [CrossRef]
- Li, V.C.; Wang, S.; Wu, C. Tensile strain-hardening behavior of polyvinyl alcohol engineered cementitious composite (PVA-ECC). ACI Mater. J. 2001, 98, 483–492. [Google Scholar]
- Naaman, A.E. High-Performance Construction Materials: Science and Applications; World Scientific Publishing: Singapore, 2008; pp. 91–153. [Google Scholar]
- Parramontesinos, G.J. High-performance fiber-reinforced cement composites: An alternative for seismic design of structures. ACI Struct. J. 2005, 102, 668–675. [Google Scholar]
- Kobayashi, K.; Ahn, D.L.; Rokugo, K. Effects of crack properties and water-cement ratio on the chloride proofing performance of cracked SHCC suffering from chloride attack. Cem. Concr. Compos. 2016, 69, 18–27. [Google Scholar] [CrossRef]
- Curosu, I.; Mechtcherine, V.; Forni, D.; Cadoni, E. Performance of various strain-hardening cement-based composites (SHCC) subject to uniaxial impact tensile loading. Cem. Concr. Res. 2017, 102, 16–28. [Google Scholar] [CrossRef]
- Deng, M.; Han, J. Analysis of compressive toughness and deformability of high ductile fiber reinforced concrete. Adv. Mater. Sci. Eng. 2015, 3, 384902. [Google Scholar] [CrossRef]
- Dang, Z.; Liang, X. Cyclic behavior of shear walls with HPFRCCs in the inelastic deformation critical region. Struct. Des. Tall Spec. 2016, 25, 886–903. [Google Scholar] [CrossRef]
- Deng, M.; Dai, J.; Lu, H.; Liang, X. Shear capacity and failure behavior of steel-reinforced high ductile concrete beams. Adv. Mater. Sci. Eng. 2015, 2015, 845490. [Google Scholar] [CrossRef]
- Deng, M.; Ma, F.; Ye, W.; Liang, X. Investigation of the shear strength of HDC deep beams based on a modified direct strut-and-tie model. Constr. Build. Mater. 2018, 172, 340–348. [Google Scholar] [CrossRef]
- Dong, L.H.; Xu, S.L. Reasearch on flexural properties and flexural toughness evaluation method of ultra high toughness cementitious composites. China Civ. Eng. J. 2010, 43, 32–39. (In Chinese) [Google Scholar]
- Skazlić, M.; Bjegović, D. Toughness testing of ultra high performance fibre reinforced concrete. Mater. Struct. 2009, 42, 1025–1038. [Google Scholar] [CrossRef]
- Li, J.; Wan, C.; Niu, J.; Wu, L.; Wu, Y. Investigation on flexural toughness evaluation method of steel fiber reinforced lightweight aggregate concrete. Constr. Build. Mater. 2017, 131, 449–458. [Google Scholar] [CrossRef]
- Deng, Z.C.; Liu, G.P.; Du, C.; Shi, H.C. Flexural toughness and its characterization of a new kind of Macro-polyolefin fiber reinforced concrete plate. J. Build. Mater. 2015, 18, 7–11. (In Chinese) [Google Scholar]
- Zhao, S.; Sun, X.; Li, C. Flexural toughness of steel fiber reinforced high-strength concrete. J. Build. Mater. 2003, 6, 95–99. (In Chinese) [Google Scholar]
- Liu, Z.; Li, Y.; Wen, C. Experimental study on strength and deformation performance of PVA-ECC under splitting tension. J. Build. Mater. 2016, 19, 746–751. (In Chinese) [Google Scholar]
- ASTM C 1018; Standard Test Method for Flexural Toughness and First Crack Strength of Fiber Reinforced Concrete (Using Beam with Third-Point Loading). ASTM International: West Conshohocken, PA, USA, 1997; pp. 544–551.
- JSCE-SF4; Method of Test for Flexural Strength and Flexural Toughness of Fiber Reinforced Concrete. Japan Concrete Institute: Tokyo, Japan, 1984; pp. 45–51.
- CECS 13:2009; China Association for Engineering Con-Structure Standardization. Test Method Used for Steel Fiber Reinforced Concrete. China Planning Press: Beijing, China, 2010; pp. 54–59. (In Chinese)














| Fiber Type | Length (mm) | Diameter (μm) | Aspect Ratio | Tensile Strength (MPa) | Elastic Modulus (GPa) |
|---|---|---|---|---|---|
| PVA | 12 | 39 | 310 | 1600 | 40 |
| Group | Specimen ID | Binding Material | Water | Sand | Fiber Volume Fraction (%) | |
|---|---|---|---|---|---|---|
| Cement | Fly Ash | |||||
| Control | HC56-0-29 | 0.5 | 0.5 | 0.29 | 0.36 | 0 |
| Series Ι | HC56-1-29 | 0.5 | 0.5 | 0.29 | 0.36 | 1.0 |
| HC56-1.5-29 | 0.5 | 0.5 | 0.29 | 0.36 | 1.5 | |
| HC56-2-29 | 0.5 | 0.5 | 0.29 | 0.36 | 2.0 | |
| HC56-2-26 | 0.5 | 0.5 | 0.26 | 0.36 | 2.0 | |
| HC56-2-32 | 0.5 | 0.5 | 0.32 | 0.36 | 2.0 | |
| Series Ⅱ | HC28-1-29 | 0.5 | 0.5 | 0.29 | 0.36 | 1.0 |
| HC28-1.5-29 | 0.5 | 0.5 | 0.29 | 0.36 | 1.5 | |
| HC28-2-29 | 0.5 | 0.5 | 0.29 | 0.36 | 2.0 | |
| HC28-2-24 | 0.5 | 0.5 | 0.24 | 0.36 | 2.0 | |
| HC28-2-26 | 0.5 | 0.5 | 0.26 | 0.36 | 2.0 | |
| Specimen | fmax (MPa) | δ (mm) | δcr (mm) | f0.35 (MPa) | f1 (MPa) | R1 | f0.85 (MPa) | R0.85 | f0.2 (MPa) | R0.2 |
|---|---|---|---|---|---|---|---|---|---|---|
| HC56-0-29 | 4.62 | 0.05 | 0.05 | 1.25 | 2.27 | 1.82 | — | — | — | — |
| HC56-1-29 | 8.88 | 0.64 | 0.09 | 1.61 | 6.15 | 3.82 | 6.40 | 3.98 | 5.45 | 3.39 |
| HC56-1.5-29 | 11.49 | 0.95 | 0.06 | 2.00 | 8.60 | 4.29 | 8.81 | 4.39 | 7.90 | 3.94 |
| HC56-2-29 | 15.32 | 1.18 | 0.08 | 2.67 | 11.56 | 4.33 | 11.80 | 4.42 | 9.76 | 3.65 |
| HC56-2-26 | 15.04 | 1.28 | 0.08 | 2.45 | 11.94 | 4.87 | 12.03 | 4.91 | 11.04 | 4.51 |
| HC56-2-32 | 13.32 | 1.29 | 0.08 | 2.05 | 10.63 | 5.18 | 10.86 | 5.29 | 9.09 | 4.43 |
| HC28-1-29 | 7.33 | 0.55 | 0.06 | 1.27 | 5.27 | 4.16 | 5.58 | 4.40 | 5.08 | 4.01 |
| HC28-1.5-29 | 11.67 | 1.09 | 0.10 | 2.31 | 8.25 | 3.57 | 8.46 | 3.66 | 7.08 | 3.07 |
| HC28-2-29 | 15.14 | 1.85 | 0.12 | 2.88 | 11.72 | 4.07 | 11.87 | 4.13 | 11.35 | 3.95 |
| HC28-2-24 | 15.55 | 0.87 | 0.08 | 2.23 | 11.14 | 4.99 | 11.51 | 5.16 | — | — |
| HC28-2-26 | 15.80 | 1.17 | 0.08 | 3.06 | 11.61 | 3.79 | 12.15 | 3.97 | 11.52 | 3.76 |
Publisher’s Note: MDPI stays neutral with regard to jurisdictional claims in published maps and institutional affiliations. |
© 2022 by the authors. Licensee MDPI, Basel, Switzerland. This article is an open access article distributed under the terms and conditions of the Creative Commons Attribution (CC BY) license (https://creativecommons.org/licenses/by/4.0/).
Share and Cite
Ding, Y.; Li, Y.; Zhao, X.; Dai, J.; Xu, H. Investigation into the Flexural Toughness and Methods of Evaluating Ductile Concrete. Appl. Sci. 2022, 12, 12313. https://doi.org/10.3390/app122312313
Ding Y, Li Y, Zhao X, Dai J, Xu H. Investigation into the Flexural Toughness and Methods of Evaluating Ductile Concrete. Applied Sciences. 2022; 12(23):12313. https://doi.org/10.3390/app122312313
Chicago/Turabian StyleDing, Yonggang, Yunfei Li, Xiangyang Zhao, Jie Dai, and Hualong Xu. 2022. "Investigation into the Flexural Toughness and Methods of Evaluating Ductile Concrete" Applied Sciences 12, no. 23: 12313. https://doi.org/10.3390/app122312313
APA StyleDing, Y., Li, Y., Zhao, X., Dai, J., & Xu, H. (2022). Investigation into the Flexural Toughness and Methods of Evaluating Ductile Concrete. Applied Sciences, 12(23), 12313. https://doi.org/10.3390/app122312313
