Nonlinear Dynamics Analysis of Disc Brake Frictional Vibration
Abstract
1. Introduction
2. Dynamical Modeling
3. Dynamic Analysis of Disc Brakes
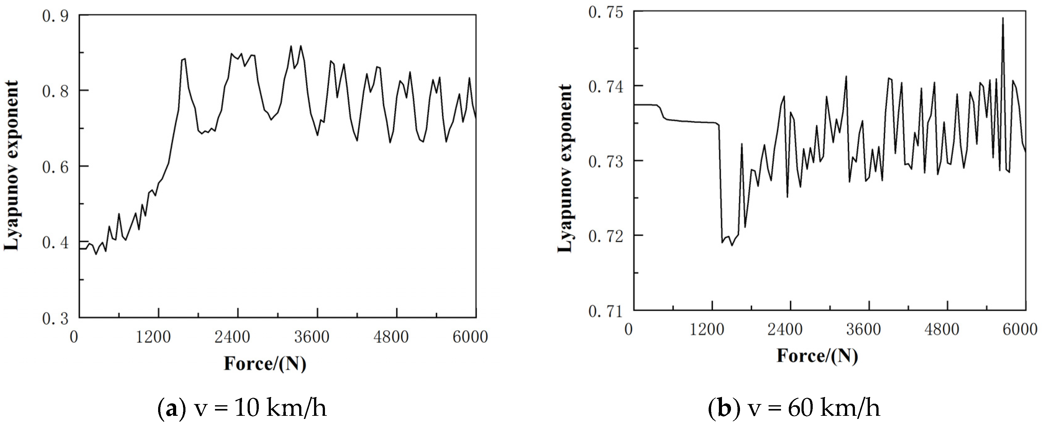
3.1. Effect of Brake Pressure on the Nonlinear Characteristics of the System
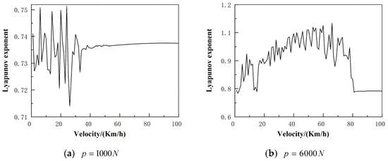
3.2. Effect of Initial Braking Speed on the Nonlinear Characteristics of the System
3.3. Effect of Brake Pad Support Stiffness on the Non-Linear Characteristics of the System
3.4. Effect of Brake Disc Support Stiffness on the Non-Linearcharacteristics of the System
4. Conclusions
- When the braking pressure is low, the system is in a relatively stable state of motion. As the braking pressure increases, the brake pads undergo a process of moving from a stable to a stick-slip state; the brake discs go directly from a stable state to an unstable vibration state, and the vibration becomes more complex and irregular. As the brake pressure increases, the vibration amplitude of the brake pads and discs also increases, and the intensity of the vibration becomes greater. Braking pressure is one of the most important factors causing random vibration in the system.
- When the braking speed is low, the system is in a stick-slip motion. As the braking speed increases, the system gradually enters a state of pure sliding motion. This is caused by the negative slope relationship between friction and velocity, the negative slope being equivalent to a negative damping. At low braking speeds, the negative damping of the system is greater than the positive damping, and the system gathers energy, thus generating self-excited vibrations; as the braking speed increases, the negative damping of the system is less than the positive damping and the system consumes energy, eventually reaching a steady state. The results show that increasing the braking speed increases the amplitude of the system vibration but shortens the time for the system to enter steady motion.
- As the brake pad support stiffness increases, the vibration of the brake pad can be suppressed. Consequently, the brake pad support stiffness should be taken to a higher range.
- When the brake disc stiffness is small, the random vibration characteristics of the system are strong. As the brake disc support stiffness increases, the amplitude of the brake disc vibration gradually decreases, and the random vibration characteristics of the system are weakened, but this will lead to other high-frequency vibration of the brake disc, so the brake disc support stiffness should be selected within a medium range; the quasi-equilibrium point of the brake disc gradually moves towards the inner measurement, and eventually, the system carries out the integrated movement of the stable equilibrium point and the stable limit ring.
Author Contributions
Funding
Institutional Review Board Statement
Informed Consent Statement
Data Availability Statement
Conflicts of Interest
References
- Sinou, J.J.; Coudeyras, N.; Nacivet, S. Study of the nonlinear stationary dynamic of single and multi-instabilities for disk brake squeal. Int. J. Veh. Des. 2009, 51, 207–222. [Google Scholar] [CrossRef]
- Sinou, J.J. Transient non-linear dynamic analysis of automotive disc brake squeal on the need to consider both stability and non-linear analysis. Mech. Res. Commun. 2010, 37, 96–105. [Google Scholar] [CrossRef]
- Xiang, Z.Y.; Mo, J.L.; Ouyang, H.; Massi, F.; Tang, B.; Zhou, Z.R. Contact behaviour and vibrational response of a high-speed train brake friction block. Tribol. Int. 2020, 152, 106540. [Google Scholar] [CrossRef]
- Ehret, M. Identification of a dynamic friction model for railway disc brakes. Proc. Inst. Mech. Eng. Part F J. Rail Rapid Transit 2021, 235, 1214–1224. [Google Scholar] [CrossRef]
- Huemer-Kal, S.; Kappauf, J.; Zacharczuk, M.; Hetzler, H.; Häsler, K.; Fischer, P. Advancements on bifurcation behavior and operational deflection shapes of disk brake creep groan. J. Sound Vib. 2022, 534, 116–134. [Google Scholar] [CrossRef]
- Elmaian, A.; Gautier, F.; Pezerat, C. How can automotive friction-induced noises be related to physical mechanisms. Appl. Acoust. 2014, 76, 391–401. [Google Scholar] [CrossRef]
- Zilin, L.; Ouyang, H.; Zhenqun, G. Friction induced vibration of an elastic disc and a moving slider with separation and reattachment. Nonlinear Dyn. 2017, 87, 1045–1068. [Google Scholar]
- Pan, G.; Liu, P.; Xu, Q.; Chen, L. Analysis of brake jitter based on a kinetic model of disc-block surface spring contact. J. Chongqing Univ. Technol. 2021, 35, 3–12. [Google Scholar]
- Yao, Y.; Wang, G.; Wang, S.; Wang, L.; Chen, Y. Nonlinear dynamics of frictional vibration in disc brakes. J. Beijing Inf. Sci. Technol. Univ. 2021, 33, 33–39. [Google Scholar]
- Ashley, R.; Crowther, R.S. Analytical investigation of stick-slip motions in coupled brake-driveline systems. Nonlinear Dyn. 2007, 50, 463–481. [Google Scholar]
- Wang, B. Nonlinear vibration characteristics of dry friction induced automotive braking system. Master’s Thesis, Hefei University of Technology, Heifei, China, 2020. [Google Scholar]
- Shin, K.; Brenman, M.J.; Oh, J.E.; Harris, C.J. Analysis of disc brake noise using a two degree of freedom model. J. Sound Vib. 2002, 254, 837–848. [Google Scholar] [CrossRef]
- Shi, W.; Wei, D.G.; Hu, M.L.; Pan, Z.J.; Chen, Z.W. Multi-limit cycle characteristics of automobile braking system flutter induced by dry friction. J. Automot. Eng. 2015, 5, 35–42. [Google Scholar]
- Zhao, T.; Cui, Y.; Pan, H.; Yuan, H.; Yang, J. Free vibration analysis of a functionally graded graphene nanoplatelet reinforced disk-shaft assembly with whirl motion. Int. J. Mech. Sci. 2021, 197, 106335. [Google Scholar] [CrossRef]
- Zhao, T.; Ma, Y.; Zhang, H.; Pan, H.; Cai, Y. Free vibration analysis of a rotating graphene nanoplatelet reinforced pre-twist blade-disk assembly with a setting angle. Appl. Math. Model. 2021, 93, 578–596. [Google Scholar] [CrossRef]
- Zhao, T.; Yan, K.; Li, H.; Wang, X. Study on theoretical modeling and vibration performance of an assembled cylindrical shell-plate structure with whirl motion. Appl. Math. Model. 2022, 110, 618–632. [Google Scholar] [CrossRef]
- Zhou, Y.; Wang, W.; Hu, Z.; Zhu, L. Analysis of the braking stability of disc brakes with complex modal friction coupling. Mach. Des. Manuf. 2022, 134, 1–6. [Google Scholar]
- Shi, D. Nonlinear characteristics of rolling bearing-rotor systems in motorized traction motors. Southwest Jiaotong Univ. 2016, 1, 15–16. [Google Scholar]




























| Parameter | Value |
|---|---|
| , , , / | 2.5 × 107 |
| , / | 3.9 × 107 |
| , , , / | 295 |
| , / | 495 |
| , / | 0.135 |
| / | 8.33 |
| Parameter | Value |
|---|---|
| , / | 2.5 × 107 |
| , / | 3.9 × 107 |
| , , , / | 295 |
| , / | 495 |
| Parameter | Value |
|---|---|
| , / | 2.5 × 107 |
| , / | 3.9 × 107 |
| , , , / | 295 |
| , / | 495 |
Publisher’s Note: MDPI stays neutral with regard to jurisdictional claims in published maps and institutional affiliations. |
© 2022 by the authors. Licensee MDPI, Basel, Switzerland. This article is an open access article distributed under the terms and conditions of the Creative Commons Attribution (CC BY) license (https://creativecommons.org/licenses/by/4.0/).
Share and Cite
Zhang, H.; Qiao, J.; Zhang, X. Nonlinear Dynamics Analysis of Disc Brake Frictional Vibration. Appl. Sci. 2022, 12, 12104. https://doi.org/10.3390/app122312104
Zhang H, Qiao J, Zhang X. Nonlinear Dynamics Analysis of Disc Brake Frictional Vibration. Applied Sciences. 2022; 12(23):12104. https://doi.org/10.3390/app122312104
Chicago/Turabian StyleZhang, Hongyuan, Jiayu Qiao, and Xin Zhang. 2022. "Nonlinear Dynamics Analysis of Disc Brake Frictional Vibration" Applied Sciences 12, no. 23: 12104. https://doi.org/10.3390/app122312104
APA StyleZhang, H., Qiao, J., & Zhang, X. (2022). Nonlinear Dynamics Analysis of Disc Brake Frictional Vibration. Applied Sciences, 12(23), 12104. https://doi.org/10.3390/app122312104

