Laboratory Experimental Study on Polymer Flooding in High-Temperature and High-Salinity Heavy Oil Reservoir
Abstract
1. Introduction
2. Experiments
2.1. Preparation and Characterization of Polymer
2.1.1. Materials
2.1.2. Experimental Apparatus
2.1.3. Preparation of Polymer
- (1)
- Figure 1 shows the design idea for the new polymer. Polyacrylamide is severely hydrolyzed in high-temperature and salinity reservoirs, and the more severe the hydrolysis, the easier it is for precipitation to occur from the solution. Furthermore, the solution viscosity retention is low. In order to obtain the desired temperature and salt resistance performance in the polyacrylamide, the polymer was designed according to the molecular design principle [39].
- (2)
- After determining the polymerization method and initiation system, various functional monomers were copolymerized using AM, and a new type of polymer was synthesized under suitable reaction conditions [40]. In the process of the experiment, each item had to be accurate. The preparation steps were as follows:
- (i)
- Quantitative AM, AMPS, a hydrophobic monomer and an appropriate amount of deionized water were added to the reaction bottle, which was stirred to dissolve the mixture;
- (ii)
- The pH value of the system was adjusted to the desired range with NaOH solution and the reaction temperature set for 40 °C;
- (iii)
- An appropriate amount of initiator (the initiator accounted for 0.03% of the total mass of the monomer) was added over 10 min through N2 to remove dissolved O2 from the water, and the temperature was recorded;
- (iv)
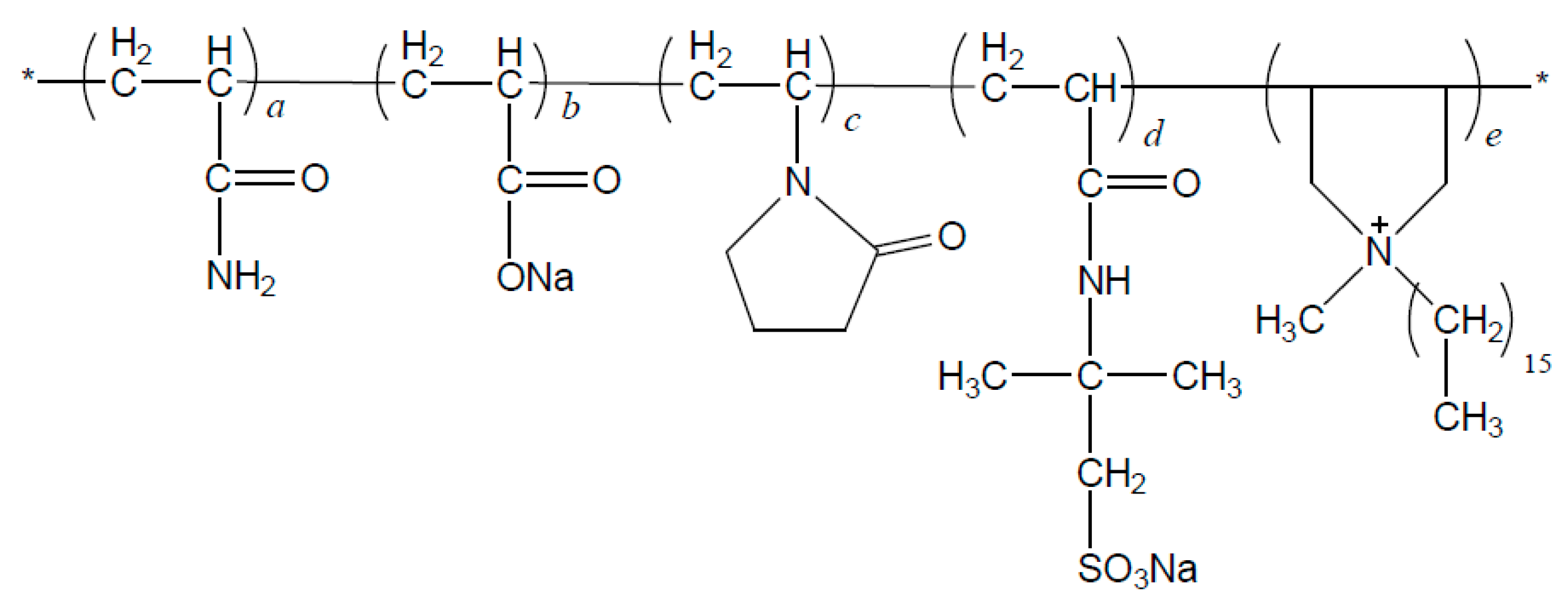
- The gel-like elastic target product was obtained by reacting at 40 °C for 6~8 h. The polymer samples were obtained by chopping, drying, grinding and sieving. Figure 2 shows the molecular structure diagram for the target polymer;
- (v)
- Using an appropriate number of samples, a Fourier infrared spectrometer was used to scan in the range of wave numbers 4000~400 cm−1 (resolution 0.01 cm−1) and the infrared spectrum of the sample was obtained.
2.1.4. Test of Polymer
- (1)
- Viscosity–temperature characteristics: after the polymer solution was aged for 12 h, the viscosity was respectively measured at 40 °C, 60 °C, 80 °C and 95 °C (7.34 s−1);
- (2)
- Salinity tolerance: a polymer solution with 2000 mg/L concentration was prepared with the different concentrations of simulated formation water, and their viscosities were measured at 95 °C;
- (3)
- Aging stability: a polymer solution was sealed in a bottle filled with nitrogen and placed in an incubator at 95 °C. On days 0, 3, 5, 7, 15, 30, 45 and 60, the viscosity was measured.
2.2. Oil Displacement Performance Evaluation
2.2.1. Materials
2.2.2. Experimental Apparatus
- (1)
- Solution injection system: the system consisted of three piston containers and an ISCO pump;
- (2)
- Pipeline and reservoir simulation system: the system consisted of a core holder and an oven. The oven was used to keep the temperature constant during the experiment;
- (3)
- Decomposition product collection and measurement system: the system consisted of a collection device, a gas flow meter, a backpressure valve, a pressure reducing valve, two pressure sensors and three pressure gauges;
- (4)
- Pipeline cleaning system: the system consisted of an ISCO pump and a water tank.
2.2.3. Polymer Injection Capability Experiment
- (1)
- The model was vacuumed and saturated with formation water at room temperature, and the model pore volume was obtained and water permeability measured;
- (2)
- The formation water was injected under the conditions of constant temperature (95 °C) and constant speed (0.5 mL/min), and the stable injection pressure was recorded;
- (3)
- The polymer solution was injected into the core at the same speed, and the stable polymer injection pressure was recorded;
- (4)
- Water was re-injected into the core at the same speed, and the stable polymer injection pressure was recorded;
- (5)
- The resistance coefficient RF and the residual resistance coefficient RRF were calculated:
2.2.4. Core Displacement Experiment
- (1)
- The model was vacuumed and saturated with formation water to obtain the model pore volume, and the water permeability was measured at room temperature;
- (2)
- The model was saturated with oil at 95 °C, and the oil saturation was calculated;
- (3)
- Water flooding was carried out until a 98% water cut was reached at constant temperature (95 °C) and constant speed (0.5 mL/min);
- (4)
- Polymer flooding with a given PV number (0.2 PV, 0.3 PV and 0.5 PV) was carried out at 0.5 mL/min and 95 °C and, subsequently, water flooding was carried out until the water cut reached more than 98%.
3. Results and Discussion
3.1. Analysis of the Polymer Preparation
3.1.1. The Effect of the Hydrophobic Monomer
3.1.2. The Effect of the Initiator
3.1.3. The Effect of the Cosolvent on the Solubility of the Polymer
3.1.4. Analysis of Structural Characterization
3.2. Analysis of Polymer
3.2.1. Evaluation of Physical and Chemical Properties
3.2.2. Influencing Factors of Polymer
Effect of Temperature
Effect of Salinity
Effect of Aging
3.3. Analysis of Oil Displacement Performance Evaluation
3.3.1. Analysis of Polymer Injection Capability Experiment
3.3.2. Core Displacement Experiment Evaluation
4. Conclusions
- (1)
- A new type of polymer (QJ75-39) was designed and synthesized. AMPS and NVP were introduced as temperature-resistant and salinity-tolerant monomers. DS-16 was selected as the hydrophobic monomer. K2S2O8 + DTBP + NaHSO4 was chosen as the initiator system. FI-IR showed that the polymer was a copolymer formed of AM/AMPS/NVP/DS-16;
- (2)
- The polymer showed good temperature resistance, salinity tolerance and aging stability. When the temperature was 95 °C and the salinity was 53,376.8 mg/L, the viscosity of the polymer was 31.4 mPa·s, and the viscosity remained at 30 mPa·s after aging for 60 days. The viscosity of the polymer was 32.8 mPa·s when the salinity was 166,130.4 mg/L;
- (3)
- According to the results of the injection capability experiments, the polymer had good injectivity and conductivity at the salinity of 53,376.8 mg/L and temperature of 95 °C at 300~600 mD. The viscosities of the effluent were 23.7 mPa·s and 28.2 mPa·s when the gas permeability values were 300 mD and 600 mD. The injection pressure could reach equilibrium quickly, and the residual resistance coefficient were 353.4 and 259.5, so it can be considered that the new polymer can be effectively transmitted to the deep part of a reservoir during polymer flooding;
- (4)
- According to the core displacement experiment, when the amounts of the polymer injection were 0.2 PV, 0.3 PV and 0.5 PV, the EOR rates were 12.76%, 17.17% and 20.65% higher than with water flooding, which meets the performance requirements for polymer flooding under the reservoir conditions in Lu block A.
Author Contributions
Funding
Institutional Review Board Statement
Informed Consent Statement
Data Availability Statement
Acknowledgments
Conflicts of Interest
References
- Kang, W.; Jia, R.; Yang, H.; Zhu, T.; Li, Z.; Bauyrzhan, S. Study on the design and synthesis of amphiphilic polymers and their synergistic systems(XII) Enhanced oil recovery. China Surfactant Deterg. Cosmet. 2020, 50, 821–828. [Google Scholar]
- Wang, L.; Wei, J.; Chen, Y.; Jia, S.; Wang, Y.; Qiao, X.; Xu, L. Injectability of Partially Hydrolyzed Polyacrylamide Solutions Improved by Anionic-Nonionic Surfactant in Medium and Low Permeability Reservoirs. Energies 2022, 15, 6866. [Google Scholar] [CrossRef]
- Zhou, Z.; Wen, Z.; Yang, W.; Chen, Y.; Zhu, Q. Experimental research on recovery efficiency improved by polymer flooding after low salinity water flooding. Fault Block Oil Gas Field 2019, 26, 771–774. [Google Scholar]
- Xie, X.; Feng, G.; Liu, L.; Li, Y.; Yi, R. Study on enhanced oil recovery technology after polymer flooding in offshore oilfield. Pet. Geol. Recovery Effic. 2015, 22, 93–97. [Google Scholar]
- Scott, A.J.; Romero-Zerón, L.; Penlidis, A. Evaluation of Polymeric Materials for Chemical Enhanced Oil Recovery. Processes 2020, 8, 361. [Google Scholar] [CrossRef]
- Gbadamosi, A.; Patil, S.; Kamal, M.S.; Adewunmi, A.A.; Yusuff, A.S.; Agi, A.; Oseh, J. Application of Polymers for Chemical Enhanced Oil Recovery: A Review. Polymers 2022, 14, 1433. [Google Scholar] [CrossRef]
- Wang, J.; Du, Q.; Wu, P.; Hu, S.; Niu, P. Visco-elastic property studies on polymer flooding systems with high concentrations. In Proceedings of the 2nd International Conference on Chemical Engineering and Advanced Materials (CEAM 2012), Guangzhou, China, 13–15 July 2012. [Google Scholar]
- Olajire, A.A. Review of ASP EOR (alkaline surfactant polymer enhanced oil recovery) technology in the petroleum industry: Prospects and challenges. Energy 2014, 77, 963–982. [Google Scholar] [CrossRef]
- Raffa, P.; Broekhuis, A.A.; Picchioni, F. Polymeric surfactants for enhanced oil recovery: A review. J. Pet. Sci. Eng. 2016, 145, 723–733. [Google Scholar] [CrossRef]
- Wang, J.; Liu, H.Q.; Zhang, Y. Adaptability study of polymer flooding for conventional heavy oil reservoirs. Spec. Oil Gas Reserv. 2010, 17, 75–77. [Google Scholar]
- Delamaide, E.; Zaitoun, A.; Renard, G.; Tabary, R. Pelican Lake Field: First Successful Application of Polymer Flooding In a Heavy-Oil Reservoir. SPE Reserv. Eval. Eng. 2014, 17, 340–354. [Google Scholar] [CrossRef]
- Zhang, H.; Shu, J.; Liu, Z.; Wu, J. High-Performance Crack-Resistant Elastomer with Tunable “J-Shaped” Stress-Strain Behavior Inspired by the Brown Pelican. Acs Appl. Mater. Interfaces 2022, 14, 22489–22496. [Google Scholar] [CrossRef]
- Standnes, D.C.; Skjevrak, I. Literature review of implemented polymer field projects. J. Pet. Sci. Eng. 2014, 122, 761–775. [Google Scholar] [CrossRef]
- Kojima, K.; Tasaki, M.; Okamura, K.; Sueyoshi, M.; Al-Maamari, R.S. Examinations of Effective Coagulant for Polymer Flood Produced Water and Pilot Trial in Oman. J. Jpn. Pet. Inst. 2014, 57, 276–286. [Google Scholar] [CrossRef][Green Version]
- Liu, Y.; Wang, L.; Shang, Y. Eor in Middle East: Current, Potential and Future Development Trend. Pet. Geol. Oilfield Dev. Daqing 2018, 37, 113–117. [Google Scholar]
- Mahrouqi, D.A.; Sulaimani, H.; Farajzadeh, R.; Svec, Y.; Farsi, S.; Baqlani, S.; Battashi, M.; Hadidi, K.; Kindi, O.; Balushi, A.; et al. Advancement Towards the Full-Field Implementation of Marmul Alkaline-Surfactant-Polymer in the Sultanate of Oman. In Proceedings of the Abu Dhabi International Petroleum Exhibition & Conference, Abu Dhabi, United Arab Emirates, 15–18 November 2021. [Google Scholar]
- Cao, B.; Zhang, Y.; Li, X.; Lu, X. Combined EOR Technology in Conventional Heavy Oil Reservoir Taking SZ36-1 Oilfield in Bohai as an Example. Oilfield Chem. 2015, 32, 185–189. [Google Scholar]
- Batonyi, A.; Thorburn, L.; Molnar, S. A Reservoir Management Case Study of a Polymer Flood Pilot in Medicine Hat Glauconitic C Pool. In Proceedings of the SPE Improved Oil Recovery Conference, Tulsa, OK, USA, 11–13 April 2016. [Google Scholar]
- Rellegadla, S.; Prajapat, G.; Agrawal, A. Polymers for enhanced oil recovery: Fundamentals and selection criteria. Appl. Microbiol. Biotechnol. 2017, 101, 4387–4402. [Google Scholar] [CrossRef] [PubMed]
- Gao, Q.; Zhong, C.; Han, P.; Cao, R. Characteristics of Preferential Flow Paths in Reservoirs After Polymer Flooding and an Adaptive Compound Flooding Method. Chem. Technol. Fuels Oils 2021, 57, 368–375. [Google Scholar] [CrossRef]
- Lei, T. EOR Pilot Test Using AMPS Polymer Flooding in High Temperature Reservoirs. J. Oil Gas Technol. 2011, 33, 141–144. [Google Scholar]
- Panyukov, S. Theory of Flexible Polymer Networks: Elasticity and Heterogeneities. Polymers 2020, 12, 767. [Google Scholar] [CrossRef]
- Xu, K.; Liu, W.; Wang, T.; Xiao, H.; Sun, L.; Destech Publicat, I. Effect of Wettability on Polymer Flooding. In Proceedings of the 4th International Conference on Energy and Environmental Protection (ICEEP), Shenzhen, China, 2–4 June 2015; pp. 125–129. [Google Scholar]
- Yu, H.; Nie, J.; Wang, Y.; Liu, P.; Xu, G.; Zhang, L. Characterization of Start-up Pressure Gradient of Polymer Flooding in Low Permeability Reservoir. Oilfield Chem. 2016, 33, 281–284, 290. [Google Scholar]
- Yin, D.; Zhong, Y. Laboratory study on properties of sodium hexadecamate maleate-acrylamide polymer. Petrochem. Technol. 2018, 47, 600–604. [Google Scholar]
- Yangwen, Z.H.U. A laboratory study of enhancing oil recovery with petroleum sulfonant system after polymer flooding. Pet. Explor. Dev. 2007, 34, 212–215. [Google Scholar]
- Lv, P.; Liu, Y.; Zhang, Y.; Li, Y.; Xia, H. Experimental research on novel oil displacement and profile control system for heterogeneous reservoir. J. Pet. Explor. Prod. Technol. 2020, 10, 481–485. [Google Scholar] [CrossRef]
- Baek, K.H.; Arg, F.J.; Arguelles-Vivas, J.; Abeykoon, G.A.; Okuno, R.; Weerasooriya, U.P. Application of Ultrashort Hydrophobe Surfactants with Cosolvent Characters for Heavy Oil Recovery. Energy Fuels 2019, 33, 8241–8249. [Google Scholar] [CrossRef]
- Ghosh, P.; Mohanty, K.K. Laboratory treatment of HPAM polymers for injection in low permeability carbonate reservoirs. J. Pet. Sci. Eng. 2020, 185, 106574. [Google Scholar] [CrossRef]
- Zhou, W.; Zhang, J.; Han, M.; Xiang, W.; Feng, G.; Jiang, W. Application of Hydrophobically Associating Water-soluble Polymer for Polymer Flooding in China Offshore Heavy Oilfield. In Proceedings of the International Petroleum Technology Conference, Dubai, United Arab Emirates, 4–6 December 2007. [Google Scholar]
- Carpenter, C. Study Reviews Recent Polymerflooding Advances in China. J. Pet. Technol. 2022, 74, 90–93. [Google Scholar] [CrossRef]
- Zhu, D.W.; Zhang, J.C.; Han, Y.G.; Wang, H.Y.; Feng, Y.J. Laboratory Study on the Potential EOR Use of HPAM/VES Hybrid in High-Temperature and High-Salinity Oil Reservoirs. J. Chem. 2013, 2013, 927519. [Google Scholar] [CrossRef]
- Liu, J.-F.; Feng, J.-Y.; Yang, S.-Z.; Gang, H.-Z.; Mu, B.-Z. The recovery of viscosity of HPAM solution in presence of high concentration sulfide ions. J. Pet. Sci. Eng. 2020, 195, 107605. [Google Scholar] [CrossRef]
- Zhang, T.-C.; Ge, J.-J.; Wu, H.; Guo, H.-B.; Jiao, B.-L.; Qian, Z. Effect of AMPS(2-acrylamido-2-methylpropane sulfonic acid) content on the properties of polymer gels. Pet. Sci. 2022, 19, 697–706. [Google Scholar] [CrossRef]
- Xu, L.; Che, L.; Zheng, J.; Huang, G.; Wu, X.; Chen, P.-y.; Zhang, L.; Hu, Q. Synthesis and thermal degradation property study of N-vinylpyrrolidone and acrylamide copolymer. RSC Adv. 2014, 4, 33269–33278. [Google Scholar] [CrossRef]
- Wang, M.; Xiao, Q.; Gou, Y.; Deng, F.; Wang, B.; Zhang, D. Laboratory Experimental Study on New Polymer in Xinjiang Lukeqin High Temperature and High Salt Reservoir. In Proceedings of the SPE International Heavy Oil Conference and Exhibition, Kuwait City, Kuwait, 10–12 December 2018. [Google Scholar]
- Xin, S.U.; Lu, X.; Cao, W.; Yang, H.; Zhang, J.; PetroChina. Seepage Characteristic of Hydrophobically Associating Polymer/Surfactant Binary Combination. Oilfield Chem. 2016, 33, 495–498, 504. [Google Scholar]
- Mei-Long, F.U.; Cheng, Y.E.; Liu, F.; Zhou, J.C. Polyacrylamide Displacing Technology in Lukeqin Deep Heavy Oil. Oilfield Chem. 2011, 28, 263–266. [Google Scholar]
- Yan, L.; Feng, M.; Gou, S.; Zhongbin, Y.E. Synthesis and evaluation of heat-resistant and salt-tolerant tetrapolymer(AM-AA-SAS-St)as an oil displacement agent. Chem. Res. Appl. 2012. [Google Scholar]
- Liao, H.; Yu, H.; Xu, G.; Liu, P.; He, Y.; Zhou, Y. Polymer-Surfactant Flooding in Low-Permeability Reservoirs: An Experimental Study. ACS Omega 2022, 7, 4595–4605. [Google Scholar] [CrossRef] [PubMed]
- Xuan, Y.; Ma, D.; Zhou, M.; Gao, M. Significance of polymer on emulsion stability in surfactant-polymer flooding. J. Appl. Polym. Sci. 2015, 132, 42171. [Google Scholar] [CrossRef]
- Sun, L.; Li, B.; Jiang, H.; Li, Y.; Jiao, Y. An Injectivity Evaluation Model of Polymer Flooding in Offshore Multilayer Reservoir. Energies 2019, 12, 1444. [Google Scholar] [CrossRef]











| Density | Live Oil Viscosity | Solidify Point | Wax Content | Asphaltene | Non-Hydrocarbon |
|---|---|---|---|---|---|
| (g/cm3) | (mPa·s) | (°C) | (%) | (%) | (%) |
| 0.9668 | 526 | 14 | 3.11 | 18.32 | 26.26 |
| Ion Species | K+ | Na+ | Ca2+ | Mg2+ | Cl- | SO42− | TDS |
|---|---|---|---|---|---|---|---|
| Content (mg/L) | 194.1 | 22,397.23 | 5964.1 | 275.4 | 26,538.76 | 7.21 | 55,376.8 |
| Sample | A1 | A2 | A3 | B1 | B2 | B3 | |
|---|---|---|---|---|---|---|---|
| Concentration (mg/L) | 0 | 2000 | 2000 | 2000 | 2000 | 2000 | 2000 |
| Time (h) | 7 | 5 | 3 | 3.5 | 3 | 4 | 2 |
| Viscosity (mPa·s) | 43 | 40 | 36 | 35 | 37 | 41 | 34 |
| Concentration (mg/L) | 0 | 200 | 500 | 1000 | 2000 | 5000 |
|---|---|---|---|---|---|---|
| Time (h) | 7 | 6.5 | 6 | 5 | 2 | 1.2 |
| Viscosity (mPa·s) | 46 | 42 | 38 | 37 | 34 | 25 |
| Sample | QJ75-39 |
|---|---|
| Solid content (%) | 90.14 |
| Molecular weight (×106) | 6.43 |
| Intrinsic viscosity (mL/g) | 1163 |
| Filter ratio | 1 |
| Residual monomer (%) | 0.01 |
| Degree of hydrolysis (%) | 5.2 |
| Insoluble fraction (%) | 0.008 |
| No. | Kg (mD) | Kw (mD) | Porosity (%) | Effluent Viscosity (mPa·s) | Equilibrium Pressure (Mpa) | RF | RRF |
|---|---|---|---|---|---|---|---|
| A | 300 | 102 | 13.81 | 23.7 | 2.50 | 353.4 | 98.9 |
| B | 600 | 208 | 16.61 | 28.2 | 1.08 | 259.5 | 81.7 |
| Injection (PV) | Porosity (%) | Kw (mD) | So (%) | Rw (%) | Ultimate Recovery (%) | EOR (%) |
|---|---|---|---|---|---|---|
| 0.2 | 15.98 | 206 | 65.85 | 39.5 | 52.26 | 12.76 |
| 0.3 | 15.77 | 201.7 | 65.36 | 40.55 | 57.72 | 17.17 |
| 0.5 | 15.48 | 197.5 | 66.43 | 39.7 | 60.35 | 20.65 |
Publisher’s Note: MDPI stays neutral with regard to jurisdictional claims in published maps and institutional affiliations. |
© 2022 by the authors. Licensee MDPI, Basel, Switzerland. This article is an open access article distributed under the terms and conditions of the Creative Commons Attribution (CC BY) license (https://creativecommons.org/licenses/by/4.0/).
Share and Cite
Zhang, F.; Jiang, Y.; Liu, P.; Wang, B.; Sun, S.; Hua, D.; Zhao, J. Laboratory Experimental Study on Polymer Flooding in High-Temperature and High-Salinity Heavy Oil Reservoir. Appl. Sci. 2022, 12, 11872. https://doi.org/10.3390/app122211872
Zhang F, Jiang Y, Liu P, Wang B, Sun S, Hua D, Zhao J. Laboratory Experimental Study on Polymer Flooding in High-Temperature and High-Salinity Heavy Oil Reservoir. Applied Sciences. 2022; 12(22):11872. https://doi.org/10.3390/app122211872
Chicago/Turabian StyleZhang, Fujian, Youwei Jiang, Pengcheng Liu, Bojun Wang, Shuaishuai Sun, Daode Hua, and Jiu Zhao. 2022. "Laboratory Experimental Study on Polymer Flooding in High-Temperature and High-Salinity Heavy Oil Reservoir" Applied Sciences 12, no. 22: 11872. https://doi.org/10.3390/app122211872
APA StyleZhang, F., Jiang, Y., Liu, P., Wang, B., Sun, S., Hua, D., & Zhao, J. (2022). Laboratory Experimental Study on Polymer Flooding in High-Temperature and High-Salinity Heavy Oil Reservoir. Applied Sciences, 12(22), 11872. https://doi.org/10.3390/app122211872

