Self-Heating of Annealed Ti/Al/Ni/Au Contacts to Two-Dimensional Electron Gas in AlGaN/GaN Heterostructures
Abstract
1. Introduction
2. Samples and Measurement Techniques
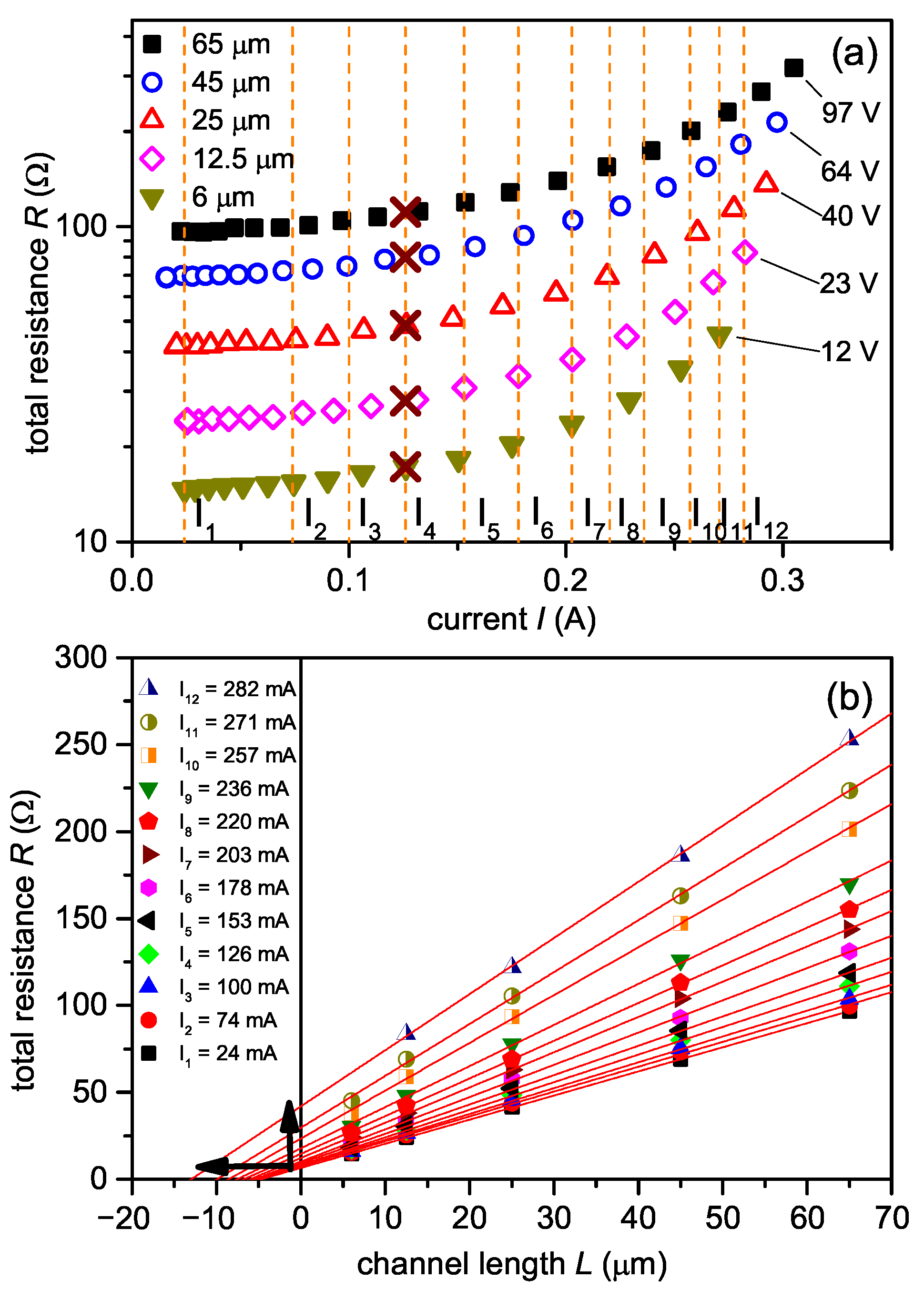
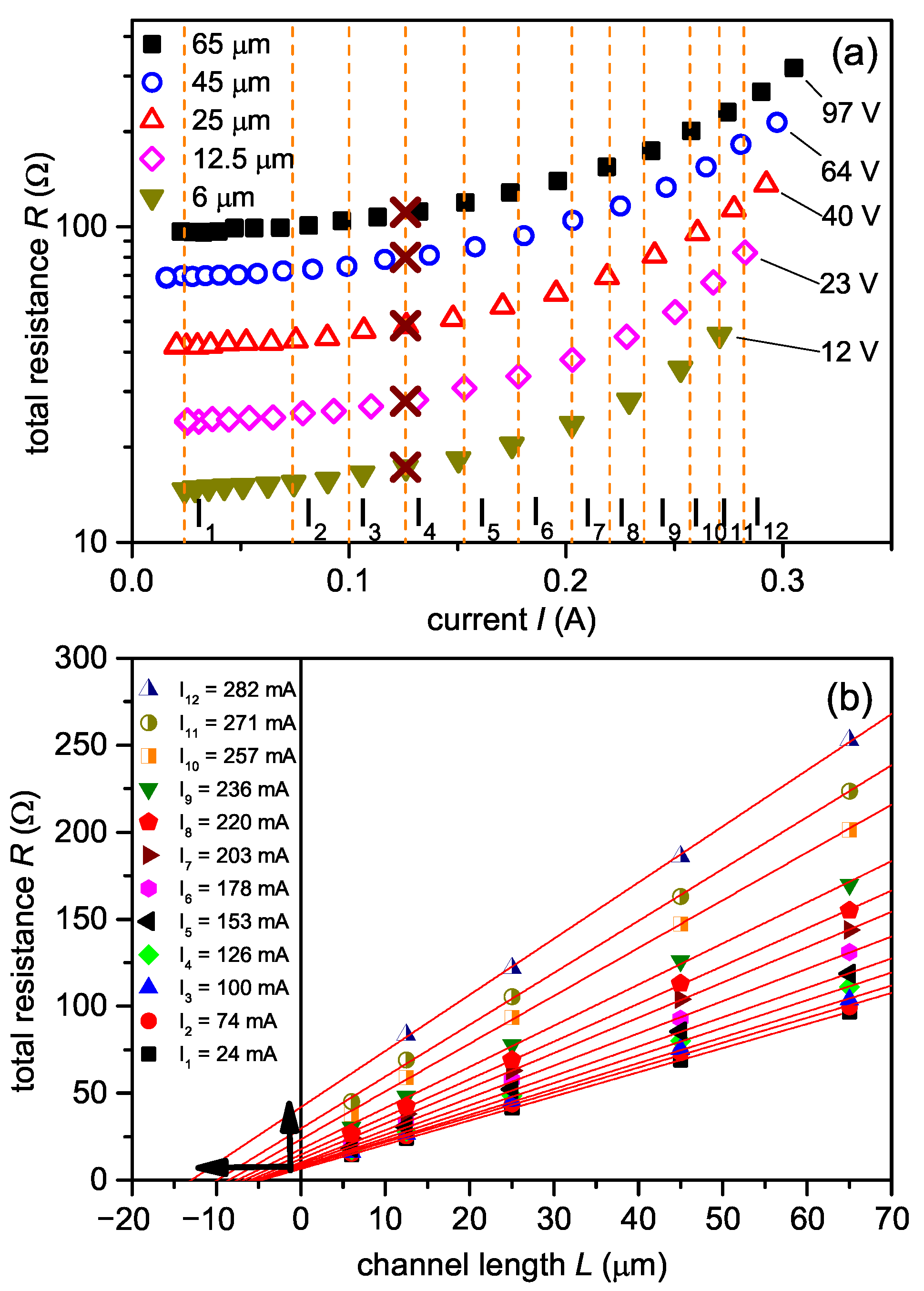
3. Current-Dependent Contact Resistance
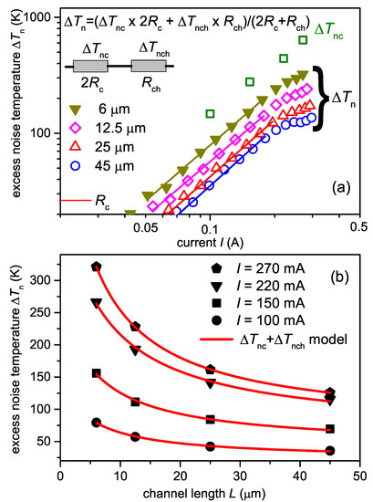
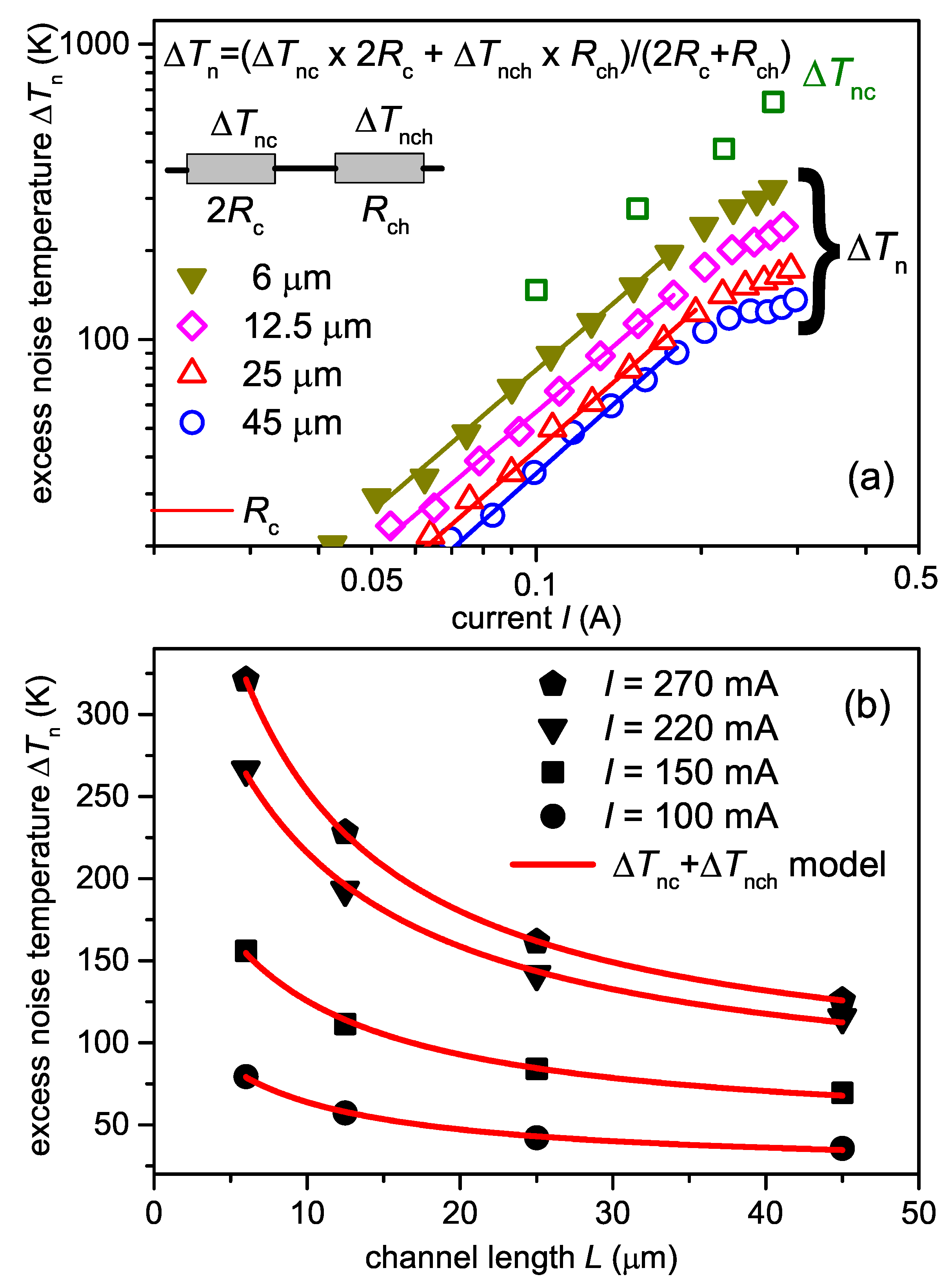
4. Noise Performance of and
5. Discussion
Author Contributions
Funding
Institutional Review Board Statement
Informed Consent Statement
Data Availability Statement
Acknowledgments
Conflicts of Interest
References
- Morkoç, H. Handbook of Nitride Semiconductors and Devices; Wiley-VCH: Weinheim, Germany, 2008. [Google Scholar] [CrossRef]
- Abid, I.; Kabouche, R.; Bougerol, C.; Pernot, J.; Masante, C.; Comyn, R.; Cordier, Y.; Medjdoub, F. High Lateral Breakdown Voltage in Thin Channel AlGaN/GaN High Electron Mobility Transistors on AlN/Sapphire Templates. Micromachines 2019, 10, 690. [Google Scholar] [CrossRef] [PubMed]
- Abid, I.; Mehta, J.; Cordier, Y.; Derluyn, J.; Degroote, S.; Miyake, H.; Medjdoub, F. AlGaN Channel High Electron Mobility Transistors with Regrown Ohmic Contacts. Electronics 2021, 10, 635. [Google Scholar] [CrossRef]
- Gonschorek, M.; Carlin, J.F.; Feltin, E.; Py, M.A.; Grandjean, N. Self heating in AlInN/AlN/GaN high power devices: Origin and impact on contact breakdown and IV characteristics. J. Appl. Phys. 2011, 109, 063720. [Google Scholar] [CrossRef]
- Kuzmík, J.; Bychikhin, S.; Pogany, D.; Gaquière, C.; Morvan, E. Current conduction and saturation mechanism in AlGaN/GaN ungated structures. J. Appl. Phys. 2006, 99, 123720. [Google Scholar] [CrossRef]
- Kuzmik, J.; Tapajna, M.; Valik, L.; Molnar, M.; Donoval, D.; Fleury, C.; Pogany, D.; Strasser, G.; Hilt, O.; Brunner, F.; et al. Self-Heating in GaN Transistors Designed for High-Power Operation. IEEE Trans. Electron Devices 2014, 61, 3429–3434. [Google Scholar] [CrossRef]
- Sarua, A.; Ji, H.F.; Kuball, M.; Uren, M.; Martin, T.; Hilton, K.; Balmer, R. Integrated micro-Raman/infrared thermography probe for monitoring of self-heating in AlGaN/GaN transistor structures. IEEE Trans. Electron Devices 2006, 53, 2438–2447. [Google Scholar] [CrossRef]
- Duffy, S.J.; Benbakhti, B.; Kalna, K.; Boucherta, M.; Zhang, W.D.; Bourzgui, N.E.; Soltani, A. Strain-Reduction Induced Rise in Channel Temperature at Ohmic Contacts of GaN HEMTs. IEEE Access 2018, 6, 42721–42728. [Google Scholar] [CrossRef]
- Ranjan, K.; Arulkumaran, S.; Ng, G.I.; Sandupatla, A. Investigation of Self-Heating Effect on DC and RF Performances in AlGaN/GaN HEMTs on CVD-Diamond. IEEE J. Electron Devices Soc. 2019, 7, 1264–1269. [Google Scholar] [CrossRef]
- Janonis, V.; Pashnev, D.; Grigelionis, I.; Korotieiev, V.; Balagula, R.M.; Minkevicius, L.; Jorudas, J.; Alexeeva, N.; Subacius, L.; Valušis, G.; et al. Electrically-pumped THz emitters based on plasma waves excitation in III-nitride structures. In Terahertz Emitters, Receivers, and Applications XI; Razeghi, M., Baranov, A.N., Eds.; SPIE: Washington, DC, USA, 2020; Volume 11499, p. 8. [Google Scholar] [CrossRef]
- Jorudas, J.; Šimukovič, A.; Dub, M.; Sakowicz, M.; Prystawko, P.; Indrišiūnas, S.; Kovalevskij, V.; Rumyantsev, S.; Knap, W.; Kašalynas, I. AlGaN/GaN on SiC Devices without a GaN Buffer Layer: Electrical and Noise Characteristics. Micromachines 2020, 11, 1131. [Google Scholar] [CrossRef]
- Ardaravičius, L.; Matulionis, A.; Liberis, J.; Kiprijanovic, O.; Ramonas, M.; Eastman, L.F.; Shealy, J.R.; Vertiatchikh, A. Electron drift velocity in AlGaN/GaN channel at high electric fields. Appl. Phys. Lett. 2003, 83, 4038–4040. [Google Scholar] [CrossRef]
- Cheney, D.J.; Douglas, E.A.; Liu, L.; Lo, C.F.; Xi, Y.Y.; Gila, B.P.; Ren, F.; Horton, D.; Law, M.E.; Smith, D.J.; et al. Reliability studies of AlGaN/GaN high electron mobility transistors. Semicond. Sci. Technol. 2013, 28, 074019. [Google Scholar] [CrossRef]
- Meneghini, M.; Meneghesso, G.; Zanoni, E. (Eds.) Power GaN Devices; Power Electronics and Power Systems; Springer International Publishing: Cham, Switzerland, 2017. [Google Scholar] [CrossRef]
- Cai, X.; Du, C.; Sun, Z.; Ye, R.; Liu, H.; Zhang, Y.; Duan, X.; Lu, H. Recent progress of physical failure analysis of GaN HEMTs. J. Semicond. 2021, 42, 051801. [Google Scholar] [CrossRef]
- Mohanty, S.K.; Chen, Y.Y.; Yeh, P.H.; Horng, R.H. Thermal Management of GaN-on-Si High Electron Mobility Transistor by Copper Filled Micro-Trench Structure. Sci. Rep. 2019, 9, 19691. [Google Scholar] [CrossRef] [PubMed]
- Canato, E.; Meneghini, M.; Nardo, A.; Masin, F.; Barbato, A.; Barbato, M.; Stockman, A.; Banerjee, A.; Moens, P.; Zanoni, E.; et al. ESD-failure of E-mode GaN HEMTs: Role of device geometry and charge trapping. Microelectron. Reliab. 2019, 100–101, 113334. [Google Scholar] [CrossRef]
- Meneghini, M.; Hilt, O.; Fleury, C.; Silvestri, R.; Capriotti, M.; Strasser, G.; Pogany, D.; Bahat-Treidel, E.; Brunner, F.; Knauer, A.; et al. Normally-off GaN-HEMTs with p-type gate: Off-state degradation, forward gate stress and ESD failure. Microelectron. Reliab. 2016, 58, 177–184. [Google Scholar] [CrossRef]
- Zhu, Y.; Cao, W.; Fan, Y.; Deng, Y.; Xu, C. Effects of rapid thermal annealing on ohmic contact of AlGaN/GaN HEMTs. J. Semicond. 2014, 35, 026004. [Google Scholar] [CrossRef]
- Kuzmík, J.; Pogany, D.; Gornik, E.; Javorka, P.; Kordoš, P. Electrical overstress in AlGaN/GaN HEMTs: Study of degradation processes. Solid-State Electron. 2004, 48, 271–276. [Google Scholar] [CrossRef]
- Berger, H. Models for contacts to planar devices. Solid-State Electron. 1972, 15, 145–158. [Google Scholar] [CrossRef]
- Schroder, D.K. Semiconductor Material and Device Characterization, 3rd ed.; John Wiley and Sons, Inc.: Hoboken, NJ, USA, 2005. [Google Scholar]
- Barker, J.; Akis, R.; Ferry, D.; Goodnick, S.; Thornton, T.; Koleske, D.; Wickenden, A.; Henry, R. High-field transport studies of GaN. Phys. B Condens. Matter 2002, 314, 39–41. [Google Scholar] [CrossRef]
- Khan, I.; Cooper, J. Measurement of high-field electron transport in silicon carbide. IEEE Trans. Electron Devices 2000, 47, 269–273. [Google Scholar] [CrossRef]
- Ridley, B.K. 379Hot phonons. In Quantum Processes in Semiconductors; Oxford University Press: Oxford, UK, 2013. [Google Scholar] [CrossRef]
- Niranjan, S.; Guiney, I.; Humphreys, C.J.; Sen, P.; Muralidharan, R.; Nath, D.N. Au-free recessed Ohmic contacts to AlGaN/GaN high electron mobility transistor: Study of etch chemistry and metal scheme. J. Vac. Sci. Technol. B 2020, 38, 032207. [Google Scholar] [CrossRef]
- Zhou, D.; Xu, H.; Chen, L.; Lu, H.L.; Huang, W.; Zhang, D.W.; Yan, D. Temperature dependent characteristics of Ti/Al/Ni/Au Ohmic contact on lattice-matched In0.17Al0.83N/GaN heterostructures. Solid-State Electron. 2021, 183, 108108. [Google Scholar] [CrossRef]
- Greco, G.; Iucolano, F.; Roccaforte, F. Ohmic contacts to Gallium Nitride materials. Appl. Surf. Sci. 2016, 383, 324–345. [Google Scholar] [CrossRef]
- Zhang, P.; Lau, Y.Y.; Gilgenbach, R.M. Analysis of current crowding in thin film contacts from exact field solution. J. Phys. D Appl. Phys. 2015, 48, 475501. [Google Scholar] [CrossRef]
- Zhang, P.; Lau, Y.Y. An exact field solution of contact resistance and comparison with the transmission line model. Appl. Phys. Lett. 2014, 104, 204102. [Google Scholar] [CrossRef]
- Duffy, S.J.; Benbakhti, B.; Mattalah, M.; Zhang, W.; Bouchilaoun, M.; Boucherta, M.; Kalna, K.; Bourzgui, N.; Maher, H.; Soltani, A. Low Source/Drain Contact Resistance for AlGaN/GaN HEMTs with High Al Concentration and Si-HP [111] Substrate. ECS J. Solid State Sci. Technol. 2017, 6, S3040. [Google Scholar] [CrossRef]
- Sawada, T.; Yamamura, A.; Sasaki, M.; Takahira, K.; Okamoto, T.; Watanabe, S.; Takeya, J. Correlation between the static and dynamic responses of organic single-crystal field-effect transistors. Nat. Commun. 2020, 11, 4839. [Google Scholar] [CrossRef]
- Giubileo, F.; Di Bartolomeo, A. The role of contact resistance in graphene field-effect devices. Prog. Surf. Sci. 2017, 92, 143–175. [Google Scholar] [CrossRef]
- Tripathy, S.K.; Xu, G.; Mu, X.; Ding, Y.J.; Wang, K.; Cao, Y.; Jena, D.; Khurgin, J.B. Evidence of hot electrons generated from an AlN/GaN high electron mobility transistor. Appl. Phys. Lett. 2008, 92, 013513. [Google Scholar] [CrossRef]
- Khurgin, J.; Jena, D. Isotope Engineering of GaN for Boosting Transistor Speeds. In High-Frequency GaN Electronic Devices; Springer International Publishing: Cham, Switzerland, 2020; pp. 43–82. [Google Scholar] [CrossRef]
- Matulionis, A. GaN-based two-dimensional channels: Hot-electron fluctuations and dissipation. J. Phys. Condens. Matter 2009, 21, 174203. [Google Scholar] [CrossRef]
- Ardaravičius, L.; Liberis, J.; Matulionis, A.; Eastman, L.F.; Shealy, J.R.; Vertiatchikh, A. Self-heating and microwave noise in AlGaN/GaN. Phys. Status Solidi (a) 2004, 201, 203–206. [Google Scholar] [CrossRef]
- Šermukšnis, E.; Liberis, J.; Ramonas, M.; Matulionis, A.; Toporkov, M.; Liu, H.Y.; Avrutin, V.; Özgür, Ü.; Morkoç, H. Hot-electron energy relaxation time in Ga-doped ZnO films. J. Appl. Phys. 2015, 117, 065704. [Google Scholar] [CrossRef]
- Adamov, R.B.; Pashnev, D.; Shalygin, V.A.; Moldavskaya, M.D.; Vinnichenko, M.Y.; Janonis, V.; Jorudas, J.; Tumėnas, S.; Prystawko, P.; Krysko, M.; et al. Optical Performance of Two Dimensional Electron Gas and GaN:C Buffer Layers in AlGaN/AlN/GaN Heterostructures on SiC Substrate. Appl. Sci. 2021, 11, 6053. [Google Scholar] [CrossRef]
- Pashnev, D.; Korotyeyev, V.V.; Jorudas, J.; Kaplas, T.; Janonis, V.; Urbanowicz, A.; Kašalynas, I. Experimental evidence of temperature dependent effective mass in AlGaN/GaN heterostructures observed via THz spectroscopy of 2D plasmons. Appl. Phys. Lett. 2020, 117, 162101. [Google Scholar] [CrossRef]
- Jakštas, V.; Kašalynas, I.; Šimkienė, I.; Strazdienė, V.; Prystawko, P.; Leszczynski, M. Schottky diodes and high electron mobility transistors of 2DEG AlGaN/GaN structures on sapphire substrate. Lith. J. Phys. 2014, 54. [Google Scholar] [CrossRef]
- Jorudas, J.; Malakauskaite, J.; Subacius, L.; Janonis, V.; Jakstas, V.; Kasalynas, I. Development of the planar AlGaN/GaN bow-tie diodes for terahertz detection. In Proceedings of the IEEE 2019 44th International Conference on Infrared, Millimeter, and Terahertz Waves (IRMMW-THz), Paris, France, 1–6 September 2019; Volume 2019-Septe, pp. 1–2. [Google Scholar] [CrossRef]
- Vetury, R.; Zhang, N.; Keller, S.; Mishra, U. The impact of surface states on the DC and RF characteristics of AlGaN/GaN HFETs. IEEE Trans. Electron Devices 2001, 48, 560–566. [Google Scholar] [CrossRef]
- Arulkumaran, S.; Egawa, T.; Ishikawa, H.; Jimbo, T.; Sano, Y. Surface passivation effects on AlGaN/GaN high-electron-mobility transistors with SiO2, Si3N4, and silicon oxynitride. Appl. Phys. Lett. 2004, 84, 613–615. [Google Scholar] [CrossRef]
- Sai, P.; Jorudas, J.; Dub, M.; Sakowicz, M.; Jakštas, V.; But, D.B.; Prystawko, P.; Cywinski, G.; Kašalynas, I.; Knap, W.; et al. Low frequency noise and trap density in GaN/AlGaN field effect transistors. Appl. Phys. Lett. 2019, 115, 183501. [Google Scholar] [CrossRef]
- Sermuksnis, E.; Liberis, J.; Simukovic, A.; Matulionis, A.; Ullah, M.B.; Toporkov, M.; Avrutin, V.; Ozgur, U.; Morkoc, H. Hot-electron noise spectroscopy for HFET channels. In Proceedings of the IEEE 2017 International Conference on Noise and Fluctuations (ICNF), Vilnius, Lithuania, 20–23 June 2017; pp. 1–4. [Google Scholar] [CrossRef]
- Sermuksnis, E.; Liberis, J.; Matulionis, A.; Toporkov, M.; Avrutin, V.; Ozgur, U.; Morkoc, H. Hot-electron noise and energy relaxation in wurtzite ZnO. In Proceedings of the IEEE 2015 International Conference on Noise and Fluctuations (ICNF), Xi’an, China, 2–6 June 2015; pp. 1–4. [Google Scholar] [CrossRef]
- Liberis, J.; Matulionis, A. Microwave noise technique for measurement of hot-electron energy relaxation time and hot-phonon lifetime. Lith. J. Phys. 2007, 47, 491. [Google Scholar]
- Hartnagel, H.; Katilius, R.; Matulionis, A. Microwave Noise in Semiconductor Devices; A Wiley-Interscience Publication; Wiley-VCH: Weinheim, Germany, 2001. [Google Scholar]
- Reeves, G.; Harrison, H. Obtaining the specific contact resistance from transmission line model measurements. IEEE Elect. Dev. Lett. 1982, 3, 111. [Google Scholar] [CrossRef]
- Liberis, J.; Matulionienė, I.; Matulionis, A.; Ramonas, M.; Eastman, L.F. Advanced Semiconductor Materials and Devices Research: III-Nitrides and SiC; Chap Hot Phonons in High-Power Microwave HEMT and FET Channels; Transword: Kerala, India, 2009. [Google Scholar]
- Hajłasz, M.; Donkers, J.J.T.; Sque, S.J.; Heil, S.B.S.; Gravesteijn, D.J.; Rietveld, F.J.R.; Schmitz, J. Sheet resistance under Ohmic contacts to AlGaN/GaN heterostructures. Appl. Phys. Lett. 2014, 104, 242109. [Google Scholar] [CrossRef]
- Shi, W.; Huang, S.; Wang, X.; Jiang, Q.; Yao, Y.; Bi, L.; Li, Y.; Deng, K.; Fan, J.; Yin, H.; et al. Low-thermal-budget Au-free ohmic contact to an ultrathin barrier AlGaN/GaN heterostructure utilizing a micro-patterned ohmic recess. J. Semicond. 2021, 42, 092801. [Google Scholar] [CrossRef]
- Iucolano, F.; Greco, G.; Roccaforte, F. Correlation between microstructure and temperature dependent electrical behavior of annealed Ti/Al/Ni/Au Ohmic contacts to AlGaN/GaN heterostructures. Appl. Phys. Lett. 2013, 103, 201604. [Google Scholar] [CrossRef]
- Kim, S.; Ryou, J.H.; Dupuis, R.D.; Kim, H. Carrier transport mechanism of low resistance Ti/Al/Au ohmic contacts to AlInN/GaN heterostructures. Appl. Phys. Lett. 2013, 102, 052107. [Google Scholar] [CrossRef]
- Sachenko, A.V.; Belyaev, A.E.; Boltovets, N.S.; Konakova, R.V.; Kudryk, Y.Y.; Novitskii, S.V.; Sheremet, V.N.; Li, J.; Vitusevich, S.A. Mechanism of contact resistance formation in ohmic contacts with high dislocation density. J. Appl. Phys. 2012, 111, 083701. [Google Scholar] [CrossRef]
- Fontserè, A.; Pérez-Tomás, A.; Placidi, M.; Llobet, J.; Baron, N.; Chenot, S.; Cordier, Y.; Moreno, J.C.; Gammon, P.M.; Jennings, M.R.; et al. Micro and nano analysis of 0.2 Ω mm Ti/Al/Ni/Au ohmic contact to AlGaN/GaN. Appl. Phys. Lett. 2011, 99, 213504. [Google Scholar] [CrossRef]
- Liu, Z.H.; Arulkumaran, S.; Ng, G.I. Temperature dependence of Ohmic contact characteristics in AlGaN/GaN high electron mobility transistors from −50 to 200 °C. Appl. Phys. Lett. 2009, 94, 142105. [Google Scholar] [CrossRef]
- Blank, T.V.; Gol’Dberg, Y.A. Mechanisms of current flow in metal-semiconductor ohmic contacts. Semiconductors 2007, 41, 1263. [Google Scholar] [CrossRef]
- Dyson, A.; Ridley, B.K. Negative differential resistance associated with hot phonons. J. Appl. Phys. 2012, 112, 063707. [Google Scholar] [CrossRef]









Publisher’s Note: MDPI stays neutral with regard to jurisdictional claims in published maps and institutional affiliations. |
© 2022 by the authors. Licensee MDPI, Basel, Switzerland. This article is an open access article distributed under the terms and conditions of the Creative Commons Attribution (CC BY) license (https://creativecommons.org/licenses/by/4.0/).
Share and Cite
Šermukšnis, E.; Jorudas, J.; Šimukovič, A.; Kovalevskij, V.; Kašalynas, I. Self-Heating of Annealed Ti/Al/Ni/Au Contacts to Two-Dimensional Electron Gas in AlGaN/GaN Heterostructures. Appl. Sci. 2022, 12, 11079. https://doi.org/10.3390/app122111079
Šermukšnis E, Jorudas J, Šimukovič A, Kovalevskij V, Kašalynas I. Self-Heating of Annealed Ti/Al/Ni/Au Contacts to Two-Dimensional Electron Gas in AlGaN/GaN Heterostructures. Applied Sciences. 2022; 12(21):11079. https://doi.org/10.3390/app122111079
Chicago/Turabian StyleŠermukšnis, Emilis, Justinas Jorudas, Artūr Šimukovič, Vitalij Kovalevskij, and Irmantas Kašalynas. 2022. "Self-Heating of Annealed Ti/Al/Ni/Au Contacts to Two-Dimensional Electron Gas in AlGaN/GaN Heterostructures" Applied Sciences 12, no. 21: 11079. https://doi.org/10.3390/app122111079
APA StyleŠermukšnis, E., Jorudas, J., Šimukovič, A., Kovalevskij, V., & Kašalynas, I. (2022). Self-Heating of Annealed Ti/Al/Ni/Au Contacts to Two-Dimensional Electron Gas in AlGaN/GaN Heterostructures. Applied Sciences, 12(21), 11079. https://doi.org/10.3390/app122111079

