Abstract
The temperature control valve system is essential to an aircraft. This study proposes a temperature control valve system in which the cold and hot gas exchange heat through the heat exchanger without mixing to cool the hot gas. The purpose is to maintain the stability of gas flow and temperature at the outlet of the hot path. First, a mathematical model of the temperature control valve is established, and the feasibility of the method is theoretically analyzed. After that, the temperature control valve model is meshed in Ansys, finite element analysis is performed, and the factors that may affect the outlet temperature of the hot path are qualitatively analyzed. A characteristics test experiment for the designed temperature control valve is compared with simulation results to verify the system’s feasibility. A steady-state model of the heat exchanger was obtained by a 25-point orthogonal experiment. Taking the predicted hot-side flow rate of the heat exchanger under different flow conditions as input, the heat exchanger model was fitted and dynamically analyzed, which confirmed the feasibility of PID adaptive control of the temperature control system.
1. Introduction
The primary function of a temperature control valve system [1,2] is to control the opening and closing of a butterfly valve under specified temperature or pressure conditions, thereby controlling the flow of gas flowing through a heat exchanger and realizing the temperature regulation of a cabin. The traditional temperature control system uses the mixing of hot and cold gas for heat exchange, which is a complex system with time-varying, nonlinear, and large time constants [3]. It is difficult to obtain satisfactory results using the traditional control method. We propose a temperature control valve system in which the air at the hot path and the cold path exchange heat through a heat exchanger without mixing. In order to design a control strategy suitable for a temperature control valve system and achieve servo control, it is necessary to study the working principle and characteristics of each system component in which the characteristics of the heat exchanger are analyzed, and the dynamic time constant suitable for the heat exchanger is obtained, proving the feasibility of the adaptive temperature control system.
The temperature of an aircraft cabin is mainly regulated by hot gas and cold gas simultaneously, and the temperature and flow of the cold gas are affected by the flight conditions of the aircraft. While the engine provides hot gas, it is affected by the engine speed. Therefore, the key point of controlling cabin temperature by mixing cold-side and hot-side gas is controlling the hot-side gas flow. A CE525CJ1 cabin heating control system uses engine bleed air to provide hot gas for the cabin and then cools down the cabin twice through a pre-cooler and a heat exchanger to adjust the cabin temperature. In recent years, research on cabin temperature control strategy mainly has included fuzzy control [4], expert-PID decoupling control [5], and a neural network algorithm [6]. Yonggui Zheng et al. [7] used table-based LPID (Lookup PID) controllers to control the temperature and pressure of the aircraft bleed air in a simulation test. The dynamic test errors were within 10%, and the steady-state accuracies were within ±2%. Alexander Pollok [8] proposed a new aircraft cabin temperature control system based on PID control and LQG (Linear Quadratic Regulator) control, effectively reducing the energy consumption of keeping the temperature difference as small as possible.
Currently, Chinese aviation factories generally mix cold and hot gas to cool the gas discharged from the engine and control the flow of cold gas by controlling the rotation angle of the butterfly valve in the temperature control valve to control the outlet temperature. Then, the mixed outlet gas is used to adjust the temperature of the cabin. The advantage of this gas mixing method is that the response speed is fast, and the cabin temperature can be quickly adjusted to the reference temperature. However, the disadvantage is that the temperature and flow of the gas in the hot path cannot be directly controlled by the engine [9], so the outlet temperature is mainly affected by the temperature and flow of the gas in the cold path. The hot gas flow at the hot path’s inlet remains stable, resulting in an unstable flow at the outlet of the hot path. Jennious et al. [10] simulated the air conditioning system of the Boeing 737–800 under two different operating conditions. They concluded that changes in the aircraft’s environmental conditions have a significant impact on the steady-state outlet temperature and have a significant impact on the heat transfer efficiency in the primary and secondary heat exchangers. The method of temperature control by mixing hot-side gas and cold-side gas is unstable under variable environmental conditions. Sathiyaseelan A. and Arul Mozhi Selvan V. [11] discovered that the cabin inlet temperature would fluctuate more during the substantial change in aircraft flight altitude stage by using AMESim simulation, which means that the traditional method cannot effectively control the hot-side gas under variable conditions.
Therefore, we propose a heat exchanger model that does not directly mix the cold-side and hot-side gas to achieve adaptive temperature control of aircraft cabins. Compared with the traditional method of mixing cold-side and hot-side gas, the method proposed in this paper can directly control the hot-side gas provided by the engine to improve the control effect and reduce the energy consumption of the heat exchanger. Based on the fluid heat transfer efficiency theory proposed by Kashif Ali Khan, Asma Rashid Butt, et al. [12,13], we used Ansys to simulate and verify the temperature control valve system. After passing through the heat exchanger, the hot gas flows directly to the outlet without mixing with the cold gas. After heat exchange occurs, the cold gas flows into the atmosphere through the pipeline. At this time, the flow at the outlet is equal to the flow of the hot gas, which makes up for the insufficiency of the unstable flow at the outlet of the original temperature control system. A model of the heat exchange system is designed and studied in this paper. The dynamic characteristics of the heat exchanger were obtained by fitting the experimental data, and the experiments verify the characteristics of the heat exchanger for time and frequency domain analysis and correction of the control system. Based on the dynamic model of the heat exchanger, the temperature control valve was qualitatively analyzed by simulation, and experiments verified the characteristics of the temperature control valve.
2. Materials and Methods
2.1. Research Model of Temperature Control System
The principal experimental diagram of the temperature control system designed in this study is shown in the Figure 1.
Figure 1.
Schematic diagram of the experiment.
In the figure, , , , and are pressure sensors; , , , and are temperature sensors; and and are mass flow meters. Pipeline 1 passes the hot gas, the high-pressure bleed air control device is used to adjust the pressure of the hot gas at the inlet, and the pressure regulating valve is used to adjust the gas flow at the hot path. Pipeline 2 passes the cold gas and uses the butterfly valve to adjust the gas flow at the cold path. The cold and hot gas exchange heat through the heat exchanger without mixing. When the temperature at the outlet of the hot path is lower than the reference temperature, the temperature control valve is properly closed. At this time, the cold gas participates in the heat exchange. When the flow rate decreases, the temperature at the outlet of the hot path increases. When the temperature at the outlet of the hot path is higher than the reference temperature, the butterfly valve is opened, the flow rate of the cold gas participating in the heat exchange increases, and the temperature at the outlet of the hot path decreases. After heat exchange occurs, the cold gas flows directly to the atmosphere, while the hot gas flows out from the outlet of the temperature control valve system to adjust the cabin temperature. At the same time, multiple temperature sensors, pressure sensors, and mass flow meters are used to monitor the gas temperature, pressure, and flow of each part of the temperature control system.
To qualitatively analyze the system, a mathematical model of the temperature control value system was established. As shown in Figure 2, the cross-sectional area of the cold path passage is changed by adjusting the angle of the butterfly valve plate of Pipeline 2 (the inlet of the cold path), thereby changing the flow of the gas at the cold path. A torque motor controls the butterfly valve, and the working current of the torque motor is . When the input current of the torque motor is , the butterfly valve is in a fully open state. As the current increases, the cross-sectional area of the butterfly valve channel decreases when the valve plate rotates, and the flow at the cold path decreases. Therefore, the angle of the valve plate is controlled by the current, and the cross-sectional area of the valve pipeline is further changed to control the flow rate. Finally, the effect of adjusting the temperature at the outlet of Pipeline 1 is achieved.
Figure 2.
Butterfly Valve Control System. (a) Butterfly Valve. (b) Flow Simulation of Butterfly Valve.
With isentropic conditions, the Bernoulli equation of the butterfly valve is:
Solving these yields:
Additionally, − = ξ Then, according to the continuous equation, and the above formula can be solved:
This is the flow equation of the butterfly valve. () and () are the speeds before and after throttling, () is the average flow rate, () and () are the pressures before and after throttling, () is the throttling area, () is the flow, and is the resistance coefficient. In the derivation process, the average weight method is used to replace the butterfly valve with a pipeline of length and section , and the medium is assumed to be an ideal fluid. When the medium flows stably through the pipeline, the compressible fluid flow equation is used:
where is the friction work.
Based on the formula above, three auxiliary equations are introduced, including the variation law equation of the ideal gas variable thermodynamic process
the state equation,
and the continuity equation,
In the above three formulas, is the specific volume, is the adiabatic index, which is taken as 1.4, () and is the gas constant per unit mass, which is , and () is the temperature.
By solving the above four equations together, the flow equation of the cold gas flow equation can be obtained:
In the expression, and are the pressures at the inlet and outlet of the cold path, respectively, and is the flow coefficient. The cross-sectional area of the valve is constantly changing under the influence of the angle of the butterfly valve plate, and there is still a gap when the valve is fully closed, simplifying the model:
In the expression, is the maximum cross-sectional area in the pipeline when the valve is fully opened, and 0.08 is the gap ratio when the valve is fully closed.
To determine the effect of the cold path flow on the outlet temperature of the heat exchanger, Professor Ahmad Fakheri studied the efficiency-unit heat transfer method (ε-NTU) in a paper entitled “Heat Exchanger Efficiency” [14].
In ε-NTU, the effectiveness of the heat exchanger is defined as:
If the absolute maximum heat is in the denominator term, then heat can be transferred from the gas at temperature to the gas at temperature . Heat exchange occurs only in the heat exchanger with the highest heat exchange efficiency, and its heat transfer area tends to be infinite. This method is mainly used when the size and temperature at the inlet of the heat exchanger are known, and the heat transfer rate and temperature at the outlet of the fluid need to be solved (fixed value problem). The size problem can also be solved using this method.
Heat exchanger efficiency is defined as the ratio of the actual heat transfer rate of the heat exchanger to the optimum heat transfer rate:
The best heat transfer efficiency of the heat exchanger results from the influence of the (heat exchange coefficient) and (heat exchange area) of the heat exchanger and it’s arithmetic mean temperature difference, which refers to the average temperature difference between the cold gas and hot gas.
The heat transfer device used in this research is the heat transfer between the cold gas and the hot gas and the heat transfer rate from the hot path to the cold path:
In the above expression, is the specific heat capacity of the cold gas, is the specific heat capacity of the hot gas, is the specific heat capacity of the air, and is the heat transfer rate, in . is the temperature at the inlet of the hot path, is the temperature at the outlet of the hot path, is the temperature at the inlet of the cold path, and is the temperature at the outlet of the cold path.
Since is always less than , is always less than . Then . The auxiliary equations are introduced:
Equations (12)–(14), (16) and (17) are substituted into Equation (15) to obtain:
2.2. Dynamic Characteristic Simulation of Temperature Control System
To qualitatively analyze and verify the influencing factors of the temperature change at the outlet of the temperature control system valve, the temperature control valve is first modeled, and then the dynamic simulation is performed using Ansys. The movement in the cold path pipeline, as well as the temperature, rate, and flow of the gas of each pipeline of the temperature control valve, are observed.
As shown in Figure 3, the CAD model of the temperature control valve system is drawn according to the actual pipe size (diameter: ).
Figure 3.
Temperature control valve system CAD model.
Ansys was used to simulate the situation. As shown in Figure 4, after the model was established, a CAD model of the established temperature control valve was meshed with the method of sweeping, which was convenient for the next calculation.
Figure 4.
Model mesh.
In the solution process, the initial condition parameters of each inlet fluid need to be set in Ansys simulation. In Ansys, we set the butterfly valve pipeline flow rate by finite element analysis method to predict the flow rate and temperature of hot-side and cold-side gas at different valve angles. A CFD model was built by importing CAD model in Ansys. The advantage of using tetrahedral mesh to segment the CAD model is that the mesh size is small, and the number is large. Tetrahedral mesh is suitable for complex surfaces and can be automatically generated. A Coupled Solver based on fluid density was used to solve the flow simulation of a high-speed compressible gas. The time scale factor of the solver was set to 1, and the number of experimental iterations was .
The data for a specific working condition was taken as an example for simulation analysis, and the rotation axis and the speed of the butterfly valve were programmed and set.
As shown in Figure 5, the pressure of the hot path of Pipeline 1 is , the temperature is , the flow rate is , the known air density is , and the pipe diameter is . The flow rate can be obtained as .
Figure 5.
Temperature cloud map at a specific time.
The pressure of the cold path of Pipeline 2 is , the temperature is , the flow rate is , the known air density is , and the pipe diameter is . The flow rate can be obtained as . Iterative calculations were performed.
After the calculation was completed, the simulation results were analyzed, and the flow velocity distribution diagram and the temperature distribution diagram in the results were analyzed when the butterfly valve rotated at different angles. We describe the analysis of the temperature distribution and flow velocity distribution in three states: 0 degrees (cold path aisle is fully closed), 90 degrees (cold path aisle is fully open), and 30 degrees (cold path aisle is half open).
The results show that, since the designed butterfly valve is in a state of constant rotation, when sampling the rotation angle of the butterfly valve at a certain moment, the flow at the cold path is affected by the previous state, so it can be seen from Figure 6 that when the butterfly valve only rotates to 0 degrees, although the cold path channel is closed at this moment, there is still flow through the channel. The gas at the cold path and the gas at the hot path exchange heat in the pre-cooler. It can be seen that the temperature at the outlet is also different when the valve rotation angle is different. The temperature at the outlet is affected by the gas flow at the cold path and the gas flow at the hot path. The cold gas flow can be changed by changing the valve angle. However, in the process of valve rotation from 0 degrees to 90 degrees, the flow rate of the cold path increases continuously, and the temperature at the outlet of the hot path decreases continuously. From the simulation results, it can be seen that there is a causal relationship between the temperature of the hot path and the valve rotation angle.

Figure 6.
Flow velocity and temperature distribution diagram at (a,b) 0 degrees, (c,d) 30 degrees, (e,f) 90 degrees.
After completing the simulation, a temperature control valve experimental platform was built, and the temperature control valve system characteristic test experiment was designed as following Figure 7.
Figure 7.
Schematic diagram of the experimental site.
The control air path of the butterfly valve was connected to the pressure of , and the current of the torque motor was , so the butterfly valve was in a fully open state.
The air source of the pipeline (pipeline 1) was connected, and the solenoid valve of the pressure regulating valve and high-pressure bleed valve was energized with direct current so that the high-pressure bleed valve and the pressure regulating valve were in the ventilated open state.
Pressure was applied to pipeline 1 at , temperature was applied at air, the back pressure valve of the test bench was adjusted to ensure that the flow through pipeline 1 was about , and the back pressure of the test bench was maintained. The valve remained unchanged, and the follow-up test was continued. Parameters such as pressure, temperature, and angular displacement were collected throughout the process. After adding an air source pipeline (pipeline 2), the air supply parameters of the thermodynamic test bench were adjusted, a frequency sweep current signal as shown in Figure 8 was input to the torque motor, and recording was performed after each test point was stable for 15 s to 30 s.
Figure 8.
Current signal.
2.3. Dynamic Model Identification of Heat Exchanger
To realize the PID adaptive temperature control system, it was also necessary to analyze the dynamic characteristics of heat exchanger by experimental data. A large amount of data acquisition was carried out for the heat exchanger under different working conditions, and a dynamic mathematical model of the heat exchanger was established according to the data fitting. The simulation control experiment was carried out based on the data model.
According to the hot-side temperature, hot-side flow, cold-side temperature, and cold-side flow of the heat exchanger under different conditions, the hot-side outlet temperature of the heat exchanger was obtained by mapping. Twenty-five-point orthogonal experiments were carried out to identify the quadratic polynomial interpolation model of the heat exchanger. A time constant of 95% steady state was obtained by inputting the specified step response under different working conditions. Some of the heat exchanger experiment data are as following Figure 9.

Figure 9.
Heat exchanger experimental data: (a) hot-side flow () and cold-side flow (), (b) hot-side inlet temperature () and cold-side inlet temperature (), (c) hot-side outlet temperature ().
According to the collected hot-side temperature, hot-side flow, cold-side temperature, and cold-side flow, a 25-point orthogonal experiment was performed to establish a steady-state model of the heat exchanger. The steady-state model is divided into efficiency data interpolation and hot-side outlet temperature () settlement. The efficiency data assumes that the heat exchanger efficiency is related to the flow ratio () and temperature ratio (), using cubic polynomial fitting. The model maps , , and to hot-side outlet temperature , and the efficiency is used as the fitting intermediate variable, which improves the steady-state temperature fitting accuracy, and reduces the number of variables and the risk of over-fitting.
According to the difference of hot-side flow , the dynamic test data are identified in sections, which improves the identification accuracy and can better observe the changes of dynamic model parameters under different working conditions to establish the steady-state mathematical model of heat exchanger.
Using MATLAB, the experimental data of the heat exchanger was processed, and the steady-state model of the heat exchanger was identified by using the algorithm to 25 orthogonal experimental data. By writing a MATLAB program to obtain 25 sets of experimental results and fitting algorithm processing, the steady-state interpolation model of the heat exchanger was identified. Steady-state mathematical model fitting accuracy is shown in the following Figure 10.
Figure 10.
Fitting result of heat exchanger steady-state model: (a) goodness of fit scatter plot and (b) comparison of fitting results.
For the same heat exchanger experimental data set, two fitting models were designed. The fitting accuracy of the old model reached 0.9675. The fitting accuracy of the final model reached 0.985, and the undetermined coefficients were 10 (less than 25 equations), less than the undetermined coefficients of the quaternary variables, further reducing the risk of overfitting.
The final efficiency () fitting formulas are
The hot-side outlet temperature () can be solved directly according to the efficiency definition.
After improving the steady-state temperature fitting accuracy, in order to obtain the dynamic characteristics of the heat exchanger under the corresponding environment, based on the above experimental design, we used the fitting formula and the outlet temperature of the hot-side outlet temperature () to simulate the actual working conditions of the heat exchanger. We conducted segmented identification experiments on the heat exchanger under the working conditions of , , and , four different hot-side flow rates. Model identification was carried out with the predicted stable outlet temperature after low pass filtering of the temperature sensor as the input and the measured outlet temperature as the output. The input and output curves of the experiment are as following Figure 11.
Figure 11.
Steady-state identification experiment of heat exchanger: (a) input temperature , and (b) output temperature of heat exchanger .
3. Results
After the air supply status of the system was stable, the airflow parameters at the outlet of the system were monitored. When the airflow parameters at the outlet of the system were stable, the system records the test parameters.
The torque motor was controlled by current, a sweep current signal was input to the torque motor, and the valve angle and the temperature change at the outlet of the hot path were observed and recorded.
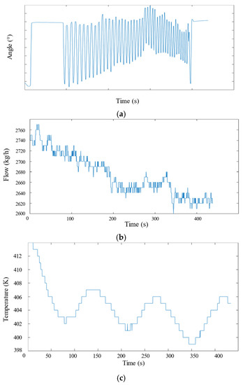
The results in Figure 12 show that the flow of the cold gas was affected by the rotation angle of the butterfly valve, and the temperature at the outlet of the hot gas changed with the flow of the cold gas, which is consistent with the mathematical model and simulation analysis results.
Figure 12.
Experiment results of temperature control valve characteristics: (a) angular displacement of the butterfly valve, (b) gas flow at the cold path’s inlet, and (c) gas flow at the cold path’s inlet.
For the heat exchanger identification experiment, identification experiments were carried out in sections under the above four flow states. Preliminary tests showed that the second-order transfer function had an excellent fitting effect. Therefore, the four-part models were fitted by a second-order transfer function. The results were as following Figure 13.
Figure 13.
Fitting result of second-order transfer function: (a) , (b) , (c) , (d) .
A second-order transfer function of the heat exchanger under four flow conditions was calculated from experimental results. The transfer functions of the four-stage heat exchanger model shown above are
According to the transfer function of the four-stage heat exchanger, step signals were input respectively to obtain the time constant of the heat exchanger under different flow rates.
As shown in Figure 14, the order of the time constants of the four transfer functions are , , , , which conformed to the actual situation. The passband is , within the passband the amplitude from large to small is , , , , and the phase delay from large to small is , , , , which conformed to the actual situation.
Figure 14.
Unit step response of heat exchanger: (a) linear simulation results, (b) heat exchanger frequency response diagram.
Through the simulation and identification experiment of the heat exchanger, the dynamic characteristics of heat exchanger in a temperature control system were qualitatively analyzed. The dynamic characteristics, including the time constant under various working conditions of heat exchanger system, were obtained so that the parameters of PID controller of the temperature control valve torque motor could be calculated according to the dynamic characteristics of the system and used to design the adaptive regulation of the valve and realize the adaptive temperature control system.
4. Discussion
By establishing a mathematical model of the temperature control value system and analyzing and comparing the simulation and experimental results, it can be concluded that changing the gas flow rate at the cold path in this temperature control value system can effectively change the temperature at the outlet of the hot path. The movement of the butterfly valve at the inlet of the cold path changes the cross-sectional area of the cold path inlet pipe to control the flow of the cold gas, thereby affecting the heat exchange between the heat exchanger and the hot gas, and it is possible to control the temperature at the outlet of the hot path.
In addition, the temperature at the outlet of the hot path is affected not only by the rate of the gas at the cold path but also by other factors at the outlet of the hot path, including the rate at the inlet of the hot path, the heat exchange efficiency, and the NTU coefficient. It was confirmed by experiments that the heat exchanger efficiency and NTU coefficient varied with the operating conditions, so the heat exchanger was fitted based on the collected data.
According to the result of the temperature control valve system characteristic test experiment, the factors affecting of heat exchanger efficiency under different working conditions were obtained. In order to achieve the temperature adaptive control system, based on 25-point orthogonal experimental data, a second-order polynomial interpolation model of the heat exchanger was identified by experiment. The experimental results show that the fitting accuracy of the heat exchanger model reached 0.985. Based on this model, we took the unit step hot-side outlet stable temperature as the heat exchanger model input and the hot-side outlet temperature as the output to obtain the transfer function of the heat exchanger under different flow conditions.
5. Conclusions
A heat exchanger was designed to achieve heat exchange between the hot gas and the cold gas of a temperature control valve system without mixing, effectively improving the cold gas and the hot gas of the original temperature control system. A disadvantage was the unstable flow from the back to the outlet. Through CAD modeling of the temperature control value system, an Ansys simulation was designed to qualitatively analyze the influence of the temperature at the outlet of the hot path on the temperature control value system. Then, a characteristics test experiment for the temperature control valve and heat exchanger was designed. A current was used to control the torque motor, a series of data were collected, the simulation conclusion was verified, and the possible reasons for the temperature control valve system’s effect on the change of the temperature at the outlet of the hot path were analyzed based on the two aspects of simulation and experiment. Based on the affecting factor, a four-segment identification experiment was designed to analyze the dynamic characteristics of the heat exchanger. According to the experimental data, a steady-state model of the heat exchanger was obtained by a 25-point orthogonal experiment. Taking the predicted hot-side flow rate of the heat exchanger under different flow conditions as input, the heat exchanger model was fitted and dynamically analyzed, obtaining the transfer function of heat exchanger under different working conditions.
A mathematical model of the temperature control system was established for the temperature control system. Dynamic simulation of the temperature control valve was carried out by Ansys. The factors affecting the temperature changing of the hot-side outlet were the flow rate of the cold-side gas, the flow rate of the hot-side gas, heat exchanger efficiency and the NTU coefficients. Controlling the butterfly valve rotation could effectively control the cold-side of the gas flow to achieve the hot-side of the gas temperature control. The dynamic time constant of heat exchanger, combined with the given phase margin and current phase angle, could be used to calculate the maximum lead angle to calculate the real-time PID parameters of the control system and realize the adaptive control of the temperature valve motor.
Compared with the current temperature control strategies based on the mixing of hot-side and cold-side gases in the air mixing chamber, the control strategy proposed in this paper can be used without hot and cold mixing directly. Therefore, the hot-side gas can be directly controlled, the control efficiency can be improved, and the energy consumption generated by the air mixing chamber temperature difference can be reduced.
Future work will include fit the experimental dynamic time constant of the heat exchanger. According to the given phase margin and the current angle of the system, the cutoff frequency, open-loop transfer function, and maximum advance angle of the system can be calculated. The real-time PID parameters of the temperature control valve can be calculated to realize the adaptive control of the temperature control system under different working conditions.
Author Contributions
Data curation, Z.S.; formal analysis, X.Q.; investigation, Q.L.; methodology, Q.L.; project administration, Z.S. and Z.W.; resources, Z.S.; supervision, X.Q. and Z.W.; validation, M.D.; writing—original draft, Z.S., M.D. and Q.L.; writing—review & editing, M.D. and Z.W. All authors have read and agreed to the published version of the manuscript.
Funding
This work was funded by Shaanxi province Major Science and Technology projects (No. 2019zdzx01-01-02) and the key research and development program of Shaanxi province (No. 2020ZDLGY06-10, No. 2021GY-302, No. 2022ZDLGY03-06).
Institutional Review Board Statement
Not applicable.
Informed Consent Statement
Not applicable.
Data Availability Statement
The data that support the findings of the study are available from the corresponding author, Z.W., upon reasonable request.
Conflicts of Interest
The authors declare no conflict of interest.
Nomenclature
| Area (m2) | Heat exchanger rate | ||
| Air specific heat capacity (J/(kg·K)) | Gas constant per unit mass (J/(kg·K)) | ||
| Cold gas specific heat capacity (J/(kg·K)) | Pipeline radius (m) | ||
| Flow coefficient | Cold path inlet temperature (K) | ||
| Hot gas specific heat capacity J/(kg·K)) | Cold path outlet temperature (K) | ||
| Heat exchanger efficiency | Hot path inlet temperature (K) | ||
| Acceleration of gravity (m/s2) | Hot path outlet temperature (K) | ||
| Cold path flow (kg/h) | Heat exchange coefficient | ||
| Hot gas flow (kg/h) | Flow rate (m/s) | ||
| Length (m) | Resistance coefficient | ||
| Friction work (J) | Adiabatic index | ||
| Pressure (kPa) | Number of transfer units | ||
| Flow (kg/h) |
References
- Mu, Y.; Liu, M.; Ma, Z. Research on the Measuring Characteristics of a New Design Butterfly Valve Flowmeter. Flow Meas. Instrum. 2019, 70, 101651. [Google Scholar] [CrossRef]
- Alexander, P.; Daniel, B.; Ines, K.; Dirk, Z. Rapid Development of an Aircraft Cabin Temperature Regulation Concept. In Proceedings of the 12th International Modelica Conference, Prague, Czech Republic, 15–17 May 2017. [Google Scholar]
- Liu, Y.; Wu, C.; Min, Z.; Zhang, X. Control Logic Design Based on Modeling of Aircraft Cockpit Temperature Control System. In Proceedings of the International Conference on Man-Machine-Environment System Engineering, Singapore, 19–21 October 2019. [Google Scholar]
- Sathiyaseelan, A.; Arul, M.S.V. Temperature Control of Combat Aircraft Environmental Control System by Time-delay in Loop with Control Input Normalization. In Proceedings of the 2020 Fourth International Conference on Inventive Systems and Control (ICISC), Coimbatore, India, 8–10 January 2020. [Google Scholar]
- Ren, M.; Wang, J.; Li, R.; Dang, Y. Control law design for temperature control system of large-scale aircraft cabin. Acta Aeronaut. Astronaut. Sin. 2017, 38, 721501. [Google Scholar]
- Zhang, T.H.; You, X.Y. The Use of Genetic Algorithm and Self-updating Artificial Neural Network for the inverse design of cabin environment. Indoor Environ. 2017, 26, 347–354. [Google Scholar] [CrossRef]
- Zheng, Y.; Liu, M.; Wu, H.; Wang, J. Temperature and Pressure Dynamic Control for the Aircraft Engine Bleed Air Simulation Test Using the LPID Controller. Aerospace 2021, 8, 367. [Google Scholar] [CrossRef]
- Pollok, A. Control Strategies for an Advanced Aircraft-cabin Temperature-system. In Proceedings of the 2017 IEEE Conference on Control Technology and Applications (CCTA), Maui, HI, USA, 27–30 August 2017. [Google Scholar]
- Yang, Y.; Gao, Z. Power Optimization of the Environmental Control System for the Civil more Electric Aircraft. Energy 2019, 172, 196–206. [Google Scholar] [CrossRef]
- Jennious, I.; Ali, F.; Miguez, M.E.; Escobar, I.C. Simulation of an Aircraft Environmental Control System. Appl. Therm. Eng. 2020, 172, 114925. [Google Scholar] [CrossRef]
- Sathiyaseelan, A.; Arul, M.S.V. Modeling and Simulation of a Fighter Aircraft Cabin Temperature Control System Using AMESim. SAE Tech. Pap. 2020, 28, 497. [Google Scholar]
- Khan, K.A.; Butt, A.R.; Raza, N. Effects of Heat and Mass Transfer on Unsteady Boundary Layer Flow of a Chemical Reacting Casson Fluid. Results Phys. 2018, 8, 610–620. [Google Scholar] [CrossRef]
- Khan, K.A.; Butt, A.R.; Raza, N.; Maqbool, K. Unsteady Magneto-hydrodynamics Flow between two Orthogonal Moving Porous Plates. Eur. Phys. J. Plus 2019, 134, 1. [Google Scholar] [CrossRef]
- Fakheri, A. Heat Exchanger Fundamentals: Analysis and Theory of Design; Springer: Cham, Switzerland; Berlin/Heidelberg, Germany, 2018; pp. 1315–1352. [Google Scholar]
Publisher’s Note: MDPI stays neutral with regard to jurisdictional claims in published maps and institutional affiliations. |
© 2022 by the authors. Licensee MDPI, Basel, Switzerland. This article is an open access article distributed under the terms and conditions of the Creative Commons Attribution (CC BY) license (https://creativecommons.org/licenses/by/4.0/).