Abstract
Chirality plays an important role in the development of many pharmaceuticals, being a general property of ‘handedness’; nevertheless, a large number of pharmaceuticals are still marketed and administered as racemates. Chirality is all around and even within us; indeed, receptors and enzymes are chiral entities and interact in a specific manner with chiral drugs. Consequently, controlling enantiomeric purity and isolating the enantiomers from chiral drugs remains a crucial subject for analytical, clinical, and regulatory purposes, thus, improving the drug safety profile. The classical examples of spontaneous enantiomerization and severe toxicity related to chirality are represented by ibuprofen and thalidomide, respectively, but numerous other cases have been reported in the literature. This review intends to offer a brief overview on the most common chiral drugs used in therapy for the treatment of various diseases.
1. Introduction
The ability of chiral molecules to interact differently with left versus right circularly polarized light is known as optical activity and is one of the most extensively studied activities since its discovery at the beginning of the 19th century [1]. An optical active entity (for example, an enzyme or a receptor) recognizes between two enantiomers, selecting the one that fits better, i.e., the one that gives a three-point interaction with the ligands [2]. The enantiomer responsible of the biological activity is called “eutomer”, while the other one, inactive or less active, is referred to as the “distomer” [3]. In 1992, the Food & Drug Administration (FDA) outlined a series of guidelines for the pharmaceutical development of single enantiomers and racemates [4,5]. Nearly 56% of the pharmaceuticals marketed and used in therapy are chiral compounds and, amongst them, 88% are administered as racemates [6]. Interestingly, 20 out of 35 pharmaceuticals approved by the Food and Drug Administration (FDA) in 2020 are chiral [7], and a growing tendency to authorization requests for chiral drugs has been ascertained. In recent years, an increasing trend in enantiomerically pure substances has been observed in medicinal chemistry in order to reduce the toxicity or side effects associated with the inactive enantiomer [8,9]. In any case, the decision to use a single enantiomer versus a mixture of enantiomers of a particular drug should be made on the basis of the data from clinical trials and clinical expertise. The use of the single enantiomer drugs may lead to simpler and more selective pharmacological profiles, improved therapeutic indices, simpler pharmacokinetics and decreased drug interactions, and also requests to determine and control the enantiomeric purity of the enantiomers from a racemic mixture (Figure 1). In this context, chirality has become a significant challenge in the synthesis and development of drugs [10]. Different methods have been used to obtain the single enantiomers, which make use of resolution procedures, enantioselective syntheses, and enantioselective analytical approaches [11,12,13,14,15,16]. Specifically, enantioselective gas chromatography [17,18], supercritical fluid chromatography [19], high performance liquid chromatography [20,21], ligand-exchange chromatography [22], and chiral electrochromatography [23] are used. Recently, molecularly imprinted technique (MIT) has received wide consideration for the separation of racemates due to its simple operations [24]. Moreover, chiral metal–organic frameworks (CMOF) materials are commonly used for chiral recognition, separation, and catalysis [25]. More new methods for isolation of enantiomers and control of their enantiomeric purity have been proposed [26,27]; however, given the high cost of enantioselective syntheses [28,29] or the separation of enantiomers [30,31], the racemic mixtures of chiral drugs are still often used in therapy. It has also to be considered that the determination of the exact 3D structure of drug candidates is of foremost importance for the pharmaceutical industry in different stages of the discovery [32]. A growing interest of chirality in the exploration of 3D chemical space and modern drug discovery approaches have been recently reported for the high throughput hit identification (hit-ID) [33]. In 1999, Agranat and Caner introduced the term “chiral switch”, which was then modified and refers to the development of a single enantiomer from a chiral drug, previously approved and marketed as a racemate or as a mixture of diastereoisomers [34,35]. Chirality may also influence metabolism of drugs; indeed, it may happen that the metabolite of one enantiomer can be more active than the other isomer [36,37]. Thalidomide is often used as the classical example of a drug that cannot be used as a racemic mixture, given the toxicity of the distomer [38], even though this assumption has been challenged by some authors [39].
Figure 1.
Advantages in the use of single enantiomer drugs.
Thalidomide was a drug first used for relief of morning sickness in pregnant women, but then it was withdrawn from the market for its dramatic effects on normal fetal development. Toxicity of thalidomide was demonstrated to be related to the distomer and the (S)-isomer, while the (R)-enantiomer represented the eutomer [40]. Schoetz et al. reported a capillary electrokinetic chromatography study for the enantiomerization of thalidomide [41]. For this purpose, the drug repositioning, which consists of identifying and studying new uses for existing or abandoned pharmacotherapies, is a very useful approach for developing drugs for the treatment of several diseases with lower overall costs and shorter development timelines, is of help [42,43]. Indeed, with this approach, several years later, thalidomide was accidentally discovered to be uniquely effective in treating severe complications of leprosy. Recently, this drug has been proposed as a repositioned drug for the treatment of several diseases, including cancer, specifically the multiple myeloma [44]. Finally, the left–right asymmetry in body structures is often studied in animal models, such as Drosophila melanogaster, in which many organs show stereotypic left–right asymmetry [45,46]. A recent study on the withdrawal rate, due to safety-related issues of pure enantiomers, compared to that of chiral mixtures and achiral drugs, showed lower likelihood of the withdrawal rate of pure enantiomers than the others. The longest mean survival time was found for pure enantiomers (62.4 ± 0.8 years), followed by achiral drugs (55.4 ± 0.9 years, p < 0.01) and chiral mixtures (52.4 ± 1.4 years, p < 0.01). The difference was more remarkable for drugs launched in certain time periods. Pure enantiomers had higher survival rates than chiral mixtures if launched before 1941 (p = 0.02), between 1961–1980 (p < 0.001), or between 1981–2000 (p < 0.001) [47]. This review aims to highlight the importance of chirality in drug activity, reporting some significative examples of chiral drugs used in therapy. We believe that this topic is important to deepen the molecular mechanisms behind widespread diseases [48], overcome antimicrobial resistance [49], and reduce the toxicity of drugs [8].
2. Drugs Acting on the Cardiovascular System
2.1. Antiarrhythmics
Antiarrhythmic drugs have been differently classified [50]. According to the Vaughan Williams classification, class I, including drugs acting on sodium channels, is subdivided into three subclasses: class IA (quinidine, procainamide, and disopyramide), class IB (lidocaine, tocainide, mexiletine, and diphenylhydantoin), and class IC (flecainide, propafenone, and moricizine). Class II are the β-adrenergic blocking agents; class III (amiodarone, bretylium, dofetilide, azimilide, and ibutilide) includes drugs that block the potassium channels. Finally, drugs that block calcium influx, during the various phases of the action potential prolong repolarization, are grouped as class IV agents (diltiazem, verapamil). Most of these drugs are chiral, including quinidine (1, Table 1) and disopyramide (2), mexiletine (3) and tocainide (4), flecainide (5), propafenone (6), and sotalol and ibutilide (7). Class IB antiarrhythmics mexiletine and tocainide have been widely studied for their chirality. (R)-mexiletine has shown higher activity than the racemate [51,52]. In particular, some metabolites of mexiletine were described and sometimes they showed a higher activity than the parent compound, as was the case for meta-hydroxymexiletine [53]. The same stereoselectivity pattern observed for mexiletine was found for this metabolite: the (R)-enantiomer was the eutomer on arrhythmia, showing a negative inotropism higher than the one displayed by mexiletine [54,55]. Class IB antiarrhythmics have been demonstrated to act on the Nav1.4 voltage-gated sodium channel that is present in skeletal muscle; thus, these compounds also exert antimyotonic activity, i.e., activity towards myotonias, diseases of the skeletal muscle characterized by skeletal muscle stiffness. Some analogues of these drugs are more active than the parent compounds and have been studied both in their racemic and enantiomeric forms [56,57]. Ivabradine (8) is a contemporary antiarrhythmic compound that promotes only HCN4 channel inhibition [58] and was first authorized by the European Medicines Agency (EMA) in 2005 for stable angina treatment, then, in 2015, it was approved by the FDA. It is extensively used in heart failure in patients for whom the β-blockers are contraindicated, or in combination with a β-blocker, as well as a calcium channel blocker, in the cases in which the β-blockers or calcium channel blockers alone are not able to control the disease. It is commercialized as a pure soluble (S)-enantiomer under different brand names, with no in vivo racemization [59,60]. However, the higher toxicity of (S)-ivabradine than its enantiomer towards the marine bacterium Vibrio fischeri has been recently demonstrated [61].
Table 1.
Structures of chiral drugs in therapy.
2.2. Antihyperthensive Drugs
2.2.1. Angiotensin-Converting Enzyme Inhibitors
The angiotensin-converting enzyme (ACE) inhibitors, including captopril (9), benazepril (10), enalapril (11), moexipril, and imidapril, are chiral compounds. They present two stereogenic centers, thus, they may exist as two enantiomeric pairs of two diastereoisomers. (S)-Captopril was the first ACE inhibitor drug to be synthesized for hypertension therapy in the 1970s [62]. Benazepril is used for the treatment of congestive heart failure, hypertension, and chronic renal failure and it has also demonstrated a protective action that protects against doxorubicin cardiotoxicity [63]. Benazepril contains two stereogenic centers but is currently available as the single enantiomer (S,S) for the treatment of hypertension [64]. Enalapril is a well-tolerated, affordable, and widely used drug that has been suggested as a preventive therapy for arrhythmogenic right ventricular cardiomyopathy type 5 (ARVC5), the most aggressive form of arrhythmogenic cardiomyopathy in humans for which there is no therapy [65]. The (S)-enantiomer possesses the ACE inhibiting activity, while the (R)-enantiomer was less active [66].
2.2.2. Sartans
Sartans are chemical compounds with antagonistic action against the AT1 receptors of angiotensin II [67]. Losartan, an achiral compound, is the progenitor of the group, followed by valsartan (12), irbesartan, candesartan, eprosartan, telmisartan, and a few other compounds. Among the latter, valsartan is chiral and is used as a single (S)-enantiomer, since the activity of the (R)-enantiomer is clearly lower than the (S) one [68]. The (R)-enantiomer of valsartan fails to affect plasminogen activator I activity induced by angiotensin II, and its activity is lower than the (S)-enantiomer. Consequently, (R)-valsartan is an impurity and is needed to control the levels in commercial preparations of (S)-valsartan [69].
2.2.3. Neprilysin Inhibitors
Ecadotril (13) is a chiral potent and selective inhibitor of neprilysin (or neutral endopeptidase, NEP), which is a membrane-bound zinc metallopeptidase responsible for the inactivation of numerous vasoactive peptides, such as natriuretic peptide, vasoactive intestinal peptide and bradykinin. Ecadotril acts as a prodrug of the thiorphan enantiomers. The enantiomers exhibit different pharmaceutical profiles: dexecadotril, the (R)-enantiomer of ecatodril, has an intestinal antisecretory action, whereas (S)-ecadotril shows cardiovascular activity [70,71].
3. Beta-Adrenergic Drugs
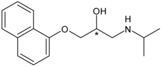
It is commonly known that enantiomers of the beta-adrenoreceptor antagonists (beta-blockers) in humans differ both for their pharmacokinetic and pharmacodynamic behaviours [72]. The β-adrenergic blockers are an important class of cardiovascular medications, used for decades for the treatment of arterial hypertension, chronic heart failure, and coronary artery disease. They belong to the class of aryloxypropanolamines (propranolol (14), bisoprolol (15), carvedilol (16), metoprolol (17)) or arylethanolamines (labetalol (18), sotalol (19), nebivolol (20)) and are chiral drugs [73]. On the other hand, the β2-adrenergic agonists are bronchodilators that had been well-established in the management of asthma and chronic obstructive pulmonary disease (COPD) [74]. Short-acting β2-agonists (salbutamol (21), terbutaline) and long-acting β2-agonists (formoterol (22), salmeterol, indacaterol, olodaterol, and vilanterol) are powerful bronchodilators used to treat respiratory disorders and present an almost chiral centre, being the (R)-enantiomer the eutomer [75]. In the case of formoterol, in which there are two stereogenic centers, the active enantiomer is the (R,R)-formoterol [76]. The recently inhaled β2-agonists abediterol (23), with longer half-life than the previous one, offers potent bronchodilation and a sustained duration of action suited to a once-a-day dosing, plus a reduced potential for class-related cardiac side effects [77,78].
4. Drugs Acting on Central Nervous System (CNS)
Chiral drugs acting on the central nervous system (CNS) have been recently reviewed [79]. Ketamine, and particularly (S)-ketamine, is used in clinics for premedication, sedation, induction, and maintenance of general anesthesia, which is then termed “dissociative anesthesia” [80]. The anesthetic potency of the (S)-enantiomer is approximately three to four-fold higher than that of the (R)-enantiomer. In 2019, the (S)-isomer of ketamine (esketamine (24)) was approved for use in treatment-resistant depression in the United States (Spravato) and in Europe [81]. However, new preclinical findings suggest that (R)-ketamine might produce better efficacy and tolerability relative to (S)-ketamine [82]. Duloxetine (25) is a potent reuptake inhibitor of serotonin and nor-epinephrine and is used for the treatment of a major depressive disorder, diabetic neuropathic pain, stress urinary incontinence, generalized anxiety disorder, and fibromyalgia [83]. A rapid and low-cost liquid chromatography (LC) method for control of the enantiomeric purity of duloxetine has been recently reported [84]. Atomoxetine (26) is an inhibitor of the presynaptic norepinephrine transporter. It is a chiral drug used for the management of attention-deficit hyperactivity disorder (ADHD) in children and adolescents [85]. Recently, the combination of atomoxetine and fesoterodine (Ato-Feso), a chiral anti-muscarinic drug, is under study as a possibility for the treatment of obstructive sleep apnea [86]. Finally, chirality has been recently considered an important factor for the development of new antiepileptic drugs [87]. Valnoctamide (27) is an anticonvulsant also bearing anxiolytic and antibipolar properties. It is an amide derivative of valproic acid that possesses stereo-selective pharmacokinetics both in animals and human [88,89,90].
5. Local Anesthetics
The main local anesthetics in use are bupivacaine (28), lidocaine, benzocaine, ropivacaine (29), and chloroprocaine and are used primarily as injectable anesthetics. Differences in (R)- and (S)-enantiomers of local anesthetics were found in terms of pharmacodynamic and pharmacokinetic activity, as well as toxicity [91]. For the local anesthetic bupivacaine, the (S)-enantiomer is significantly less cardiotoxic than the (R)-enantiomer and the racemate. Thus, the chiral switching to the levorotatory enantiomer resulted in the development of a local anesthetic drug with a clinical profile similar to that of the previously marketed racemate, but with a decrease in cardiovascular toxicity: levobupivacaine was approved in the United States in 2000 [92]. Ropivacaine was the first local anesthetic to be used in clinical practice as a pure (S)-enantiomer [93]. Moreover, some clinical data suggest that ropivacaine is clinically safer than bupivacaine [94].
6. Non-Steroidal Anti-Inflammatory Drugs (NSAIDs)
Ibuprofen (30) is a chiral NSAID, often taken as an example of chiral inversion: (S)-ibuprofen is far more active than (R)-ibuprofen in inhibiting cyclooxygenase 1 (COX-1) enzyme. When administered as the racemate, the ibuprofen has proven to undergo unidirectional enantiomerization being converted in vivo into the (S)-ibuprofen, thus, the (R)-ibuprofen behaves as a pro-drug for the (S)-enantiomer [95]. Ibuprofen was the first chiral drug of the NSAIDs class to be switched to the single-enantiomer version in 1994, then the ketoprofen (31) was submitted to chiral switching and marketed as the (S)-(+)-enantiomer in 1998. In this case, the metabolic enantiomerization from (R) to (S) in vivo, and vice versa, was shown to be negligible in humans [26]. Other chiral NSAIDs are naproxene, carprofen, fenoprofen, flurbiprofen, and indoprofen, and for all of them, the (S)-enantiomer is the eutomer. Finally, the chiral NSAIDs pyranoindoles etodolac (32) and pemedolac exhibit anti-inflammatory and analgesic activities [96]. Etodolac has also shown anticancer activity, with the (R)-etodolac being a more potent inhibitor of the Wnt signaling than its enantiomer [97].
7. Antimicrobials
7.1. Antibacterials
Linezolid (33) is a chiral antibacterial with remarkable properties [98]: it is the only chiral antibacterial drug active against the multi-resistant Gram-positive bacteria, also clinically important, with an excellent oral bioavailability and effective penetration at therapeutic concentrations into almost every organ in the body. It is also even able to act against Enterococcus faecalis, a commensal and nosocomial pathogen responsible for serious infections in humans [99]. Linezolid is the first antibiotic belonging to the class of oxazolidinones to be approved by the FDA in 1999 and the (S)-enantiomer is the eutomer [100,101]. Tedizolid (34) is a parenteral antibacterial agent belonging to oxazolidinones, approved by the FDA in June 2014 and positively endorsed by the Committee for Medicinal Products for Human Use (CHMP) in January 2015. Tedizolid phosphate has a favorable safety profile and has been approved to treat acute bacterial skin and skin structure infections, and the antibacterial activity is due to the (R)-enantiomer, while the (S)-enantiomer is devoid of this activity [102]. The fluoroquinolone class of antibiotics comprehends chiral drugs, including ofloxacin (35), gemifloxacin, lomefloxacin, and gatifloxacin. The eutomer of the ofloxacin is the (S)-ofloxacin, which is named and commercialized as levofloxacin, and acts as DNA topoisomerase IV inhibitor [103]. Gatifloxacin (36) belongs to the fourth generation of quinolones and shows a stereogenic center on the piperazine ring at C-7, thus, it exists as two enantiomers, (S)- and (R)-gatifloxacin, with the (S)-enantiomer being the eutomer. Recently, complexes of the Schiff base of gemifloxacin have demonstrated high antifungal and antibacterial activity [104,105].
7.2. Antimalarial and Antivirals
Most commonly used antiviral and antimalarial agents possess a stereogenic carbon atom. The chiral antimalarial drugs chloroquine (37) and its hydroxyl analog hydroxychloroquine (38) are also known for their antiviral activities against human immunodeficiency virus type 1 (HIV-1) and acquired immunodeficiency syndrome (AIDS) virus [106]. These drugs have shown preliminary inhibitory effects against the new pandemic Coronavirus 19 (COVID-19) [107] and apparent efficacy in clinical studies [108]. Cabotegravir (39) is an HIV integrase strand transfer inhibitor with potent antiviral activity and very useful in HIV prevention in uninfected women [109]. The antiviral remdesivir was the first FDA-approved treatment for COVID-19 and is a chiral aryloxy-phosphoramidate prodrug, as it is metabolized into nucleoside triphosphate (active drug form) inside the cell through sequential reactions by ester-mediated-hydrolysis [110]. In a recent study on Opuntia ficus-indica, a plant with interesting biological activities widespread worldwide in tropical and subtropical regions, including the Mediterranean Sea [111], chiral phytochemicals extracted from this plant were suggested as interesting protease inhibitor candidates for anti-COVID-19 disease acting as inhibitors of the main protease (Mpro), which is essential for viral replication [112].
8. Proton Pump Inhibitors (PPIs)
Nowadays, proton pump inhibitors (PPIs) are among the most prescribed classes of drugs used to treat several gastrointestinal conditions, such as gastroesophageal reflux or Barrett’s esophagus, as well as laryngopharyngeal reflux [113]. Omeprazole (40), the first PPI studied, contains a stereogenic sulfur atom. It represents a pro-drug, which is rendered achiral via reduction or oxidation of the sulfoxide. Omeprazole, represents a case in which the single-enantiomer offered little clinical advantage over the racemate; however, it was introduced into the market as a single enantiomer as a patent protection strategy of the pharmaceutical companies against the generic competitors [114]. Esomeprazole is the S-isomer of omeprazole with favorable pharmacokinetic profile relative to omeprazole [115]. After some years, another PPI, namely lansoprazole (41), underwent the “chiral switch” as well; in 2009, Takeda launched the single dextrorotatory enantiomer, namely the (R)-lansoprazole, or dexlansoprazole, on the USA market. Additionally, in this case, this enantiomer has not been proved to be superior to the racemate in terms of efficacy in the pre-approval studies [116].
9. Anticancer Drugs
Anticancer drugs often derive from nature and typically have more rings and more stereogenic centers in their structures, with respect to the synthetic ones. The antibiotics produced from microbes, such as doxorubicin, bleomycin, actinomycin, and mitomycin C, have been demonstrated to possess good anticancer properties [117]. Moreover, plant-derived compounds are used widely as antitumor agents, namely, the Vinca alkaloids, the camptothecins (42), the epipodophyllotoxins (43), and the taxanes [118]. Moreover, flavanoles and flavanones are natural compounds that present a stereogenic center and, specifically, naringenin (44), hesperetin (45) and hesperidin, the main bioactive polyphenols in vegetables and citrus fruits, have demonstrated antitumor activity [119,120]. They may exist as both enantiomers, even though in nature they are mainly present as (S)-enantiomers [121]. The major catechin found in green tea, (−)-epigallocatechin-3-gallate (46), showed a potent antioxidant activity through its ability to scavenge free radicals and chelate metal ions, and also showing antitumor effects [122,123]. Other anticancer drugs with different mechanisms of action are chiral. In November 2018, (S,R)-enantiomer of larotrectinib (47), a chiral small molecule acting as inhibitor of tropomyosin receptor kinase (TRK), received its first global approval in the USA: (i) for the treatment of adult and pediatric patients with solid tumors that have a neurotrophic receptor tyrosine kinase (NTRK) gene fusion without a known acquired resistance mutation; (ii) for metastatic solid cancers or where surgical resection is likely to result in severe morbidity, and (iii) for those patients that have no satisfactory alternative treatments or that have progressed following treatment [124,125]. The chiral drug (S)-niraparib (48) (Zejula®) is a poly (ADP-ribose) polymerase (PARP) inhibitor, which is approved for the maintenance treatment of adults with advanced ovarian, fallopian tube, or primary peritoneal cancer with complete or partial response to platinum-based chemotherapy [125,126].
10. Anti-Histamine Drugs (H1 Receptor Antagonists)
Cetirizine (49) and terfenadine (50) are chiral second-generation H1 histamine antagonists [127]. Levocetirizine, the (R)-enantiomer, is often recommended for breast-feeding women due to the fewer sedative effects than the first-generation antihistamines [128]. Terfenadine is a second-generation antihistamine that induces the QT interval prolongation, contributing to cardiac arrhythmias [129]. Fexofenadine (51) is a highly selective third-generation antihistamine widely used in allergic diseases, for which studies are almost contradictory: it has been proved to have cardiotoxic effects [130], while for other authors it had a favorable safety profile compared with other second-generation antihistamines even in children [131]. Racemic dimetindene (52) maleate is a widely used H1 antihistamine drug in medication against allergic reactions in humans, although this action mostly arises from the (R)-enantiomer [132]. Recently, this compound has been suggested to induce resistance to blast fungus Magnaporthe oryzae, responsible for the rice blast disease, the most destructive rice disease all over the world, through activating the salicylic acid signaling pathway in rice plants [133].
11. Selective Serotonin Reuptake Inhibitors (SSRIs)
The 4-arylpiperidines, such as paroxetine (53) and femoxetine (54), are chiral selective 5-HT reuptake inhibitors used for the treatment of depression, anxiety, and panic disorders [134]. Paroxetine contains two stereogenic centers and, hence, forms erythro and threo (or cis and trans) diastereoisomers, occurring as pair of enantiomers. The cis isomers of paroxetine are significantly less potent than trans ones and, among them, the trans-(–)-paroxetine ((3S,4R)-3-(1,3-benzodioxol-5-yloxymethyl)-4-(4-fluorophenyl)piperidine) displays the highest 5-HT uptake [135]. Lately, studies on this compound have been necessarily increased because of the COVID-19 pandemic and now post-COVID syndrome in which the treatment of depression has become essential for numerous patients, regardless of gender [136,137]. Femoxetine is a closely related compound and, as for paroxetine, the (3S,4R)-femoxetine is the one responsible with an antidepressant activity [138].
12. Serine Protease Factor B Inhibitors
The complement system is an essential part of the innate immune system due to its ability to detect extraneous cell and induce their death. Despite this, its overregulation produces different diseases, including macular degeneration, paroxysmal nocturnal hemoglobinuria, and nephropathy. Thus, the identification of new molecules able to block the alternative pathway of the complement system and, in particular, the activation of the factor B by inhibiting the serine protease, could be essential for the treatment of numerous complement-mediated diseases. LNP023 (55) is a chiral reversible binding inhibitor with high affinity and selectivity for complement factor B and is currently adopted in clinical trials for the treatment of various renal diseases with an abnormal complement system involvement, including paroxysmal nocturnal hemoglobinuria, IgA nephropathy, and membranous nephropathy [139]. It has also been recently suggested for the treatment of Lupus nephritis, one of the most common complications of systemic lupus erythematosus in MRL/lpr mice [140].
13. Repositioned Chiral Drugs
Drug repositioning or drug repurposing represents an effective strategy to find new indications for existing drugs and is highly efficient, low-cost, and quite riskless. It shortens the traditional drug development strategies that generally include five long and intricate steps: discovery and preclinical, safety review, clinical research, FDA review, and FDA post-market safety monitoring [141]. As an example, thalidomide (56) is a chiral drug, once used to relieve morning sickness, and then unfortunately renowned as teratogen and neurotoxic. It is now a repositioned drug that received the approval by FDA for the treatment of erythema nodosum leprosum and multiple myeloma under strict control. It has also been found to be effective in the treatment of advanced renal, esophageal, chemotherapy refractory endometrial and pancreatic cancer and is used in the treatment of inflammatory skin, autoimmune disorders and inflammatory bowel disease [38,142]. Many repositioning drugs have been used for the treatment of COVID-19 as well and many others are undergoing extensive clinical research. Among them, several heterocyclic-based approved chiral drugs have been recently reported for the treatment of COVID-19, such as cidofovir (57), ribavirin (58), and ruxolitinib (59) [143]. Cidofovir is a broad-spectrum antiviral agent, which acts as a nucleoside phosphonate analogue in vitro against multiple viruses, including all serotypes of human adenovirus [144]. Ribavirin is a common antiviral drug that inhibits the replication and spread of multiple viruses, including severe acute respiratory syndrome (SARS), Middle East respiratory syndrome (MERS), and Lassa fever [145]. Ruxolitinib is a potent and selective oral inhibitor of Janus kinases JAK1 and JAK2. It has been approved for the treatment of myelofibrosis by the US FDA in 2011 and by the European Medicines Agency (EMA) in 2012. In 2014, it received the approval for the treatment of hydroxyurea-resistant or -intolerant polycythemia vera [146].
14. Conclusions
Chirality represents a burning concept in chemistry and is a very diffused feature of many natural or synthetic drugs, which possess a wide application range. A chiral molecule containing a single stereogenic center may exist as a mixture of enantiomers in different ratios or as an enantiopure form. It is well known that enantiomers only show the same physical and chemical properties in an achiral environment but behave very differently in a chiral one. Moreover, the isomers may present different or even completely opposite metabolic, toxicological, and pharmacological profiles. Hence, the individual components of an enantiomeric pair typically have significant differences in their pharmacokinetic and pharmacodynamic activities. The continued awareness of pharmacologists on the important role of chirality in numerous applications and the proper unambiguous identification of stereoisomers are of fundamental importance. In particular, for the medicinal and industrial relevant targets, further studies addressing the issue of racemization during synthesis and the preparation of stereochemically defined peptide products are required. This review intends to further focus the attention of researchers on an interesting area of chemistry.
Author Contributions
Conceptualization, A.C.; methodology, D.I.; software, A.F. and M.D.L.; validation, C.S. and I.A.; resources, A.C.; data curation, J.C.; writing—original draft preparation, J.C.; writing—review and editing, A.C. and M.S.S.; visualization, I.A.; supervision, M.S.S. and A.C. All authors have read and agreed to the published version of the manuscript.
Funding
This research received no external funding.
Institutional Review Board Statement
Not applicable.
Informed Consent Statement
Not applicable.
Data Availability Statement
Not applicable.
Conflicts of Interest
The authors declare no conflict of interest.
References
- Eliel, E.L.; Wilen, S.H. Stereochemistry of Organic Compounds; John Wiley & Sons: New York, NY, USA, 1994. [Google Scholar]
- De Camp, W.H. The FDA Perspective on the development of stereoisomers. Chirality 1989, 1, 2–6. [Google Scholar] [CrossRef] [PubMed]
- Hutt, A.J. Drug chirality and its pharmacological consequences. In Smith and Williams’ Introduction to the Principles of Drug Design and Action; CRC Press: Boca Raton, FL, USA, 2019; pp. 97–166. [Google Scholar]
- Food and Drug Administration. FDA’s policy statement for the development of new stereoisomeric drugs. 57 Fed. Reg. 1992, 22, 249. [Google Scholar]
- De Camp, W.H. Chiral drugs: The FDA perspective on manufacturing and control. J. Pharm. Biomed. Anal. 1993, 11, 1167–1172. [Google Scholar] [CrossRef]
- Singh, M.; Sethi, S.; Bhushan, R. Liquid chromatographic methods for separation, determination, and bioassay of enantiomers of etodolac: A review. J. Sep. Sci. 2019, 43, 18–30. [Google Scholar] [CrossRef] [PubMed]
- Jarvis, L.M. FDA gives its nod to 53 new drugs in 2020. Chem. Eng. News 2021, 99. Available online: https://cen.acs.org/pharmaceuticals/drug-development/FDA-gives-nod-53-new/99/i2 (accessed on 5 August 2022).
- Coelho, M.M.; Fernandes, C.; Remião, F.; Tiritan, M.E. Enantioselectivity in drug pharmacokinetics and toxicity: Pharmacological relevance and analytical methods. Molecules 2021, 26, 3113. [Google Scholar] [CrossRef]
- Davies, N.M.; Teng, X.W. Importance of chirality in drug therapy and pharmacy practice: Implications for psychiatry. Adv. Pharm. 2003, 1, 242–252. [Google Scholar]
- Brooks, W.H.; Guida, W.C.; Daniel, K.G. The significance of chirality in drug design and development. Curr. Top. Med. Chem. 2011, 11, 760–770. [Google Scholar] [CrossRef]
- Maier, N.M.; Franco, P.; Lindner, W. Separation of enantiomers: Needs, challenges, perspectives. J. Chromatog. A 2001, 906, 3–33. [Google Scholar] [CrossRef]
- Kumari Rayala, V.P.; Kandula, J.S. Advances and challenges in the pharmacokinetics and bioanalysis of chiral drugs. Chirality 2022, in press. [Google Scholar] [CrossRef]
- Hancu, G.; Papp, L.A.; Tóth, G.; Kelemen, H. The use of dual cyclodextrin chiral selector systems in the enantioseparation of pharmaceuticals by capillary electrophoresis: An overview. Molecules 2021, 26, 2261. [Google Scholar] [CrossRef] [PubMed]
- Cabedo, N.; Andreu, I.; Ramirez de Arellano, M.C.; Chagraoui, A.; Serrano, A.; Bermejo, A.; Protais, P.; Cortes, D. Enantioselective syntheses of dopaminergic (R)-and (S)-benzyltetrahydroisoquinolines. J. Med. Chem. 2001, 44, 1794–1801. [Google Scholar] [CrossRef] [PubMed]
- Lorenz, H.; Seidel-Morgenstern, A. Processes to separate enantiomers. Angew. Chem. Int. Ed. 2014, 53, 1218–1250. [Google Scholar] [CrossRef]
- Bredikhin, A.A.; Bredikhina, Z.A. Stereoselective crystallization as a basis for single-enantiomer drug production. Chem. Eng. Technol. 2017, 40, 1211–1220. [Google Scholar] [CrossRef]
- Betzenbichler, G.; Huber, L.; Kräh, S.; Morkos, M.L.; Siegle, A.; Trapp, O. Chiral stationary phases and applications in gas chromatography. Chirality 2022, 34, 732–759. [Google Scholar] [CrossRef]
- Chankvetadze, B. Application of enantioselective separation techniques to bioanalysis of chiral drugs and their metabolites. TrAC Trends Anal. Chem. 2021, 143, 116332. [Google Scholar] [CrossRef]
- Felletti, S.; Ismail, O.H.; De Luca, C.; Costa, V.; Gasparrini, F.; Pasti, L.; Marchetti, N.; Cavazzini, A.; Catani, M. Recent achievements and future challenges in supercritical fluid chromatography for the enantioselective separation of chiral pharmaceuticals. Chromatographia 2019, 82, 65–75. [Google Scholar] [CrossRef]
- Folprechtová, D.; Kalíková, K.; Kadkhodaei, K.; Reiterer, C.; Armstrong, D.W.; Tesařová, E.; Schmid, M.G. Enantioseparation performance of superficially porous particle vancomycin-based chiral stationary phases in supercritical fluid chromatography and high performance liquid chromatography; applicability for psychoactive substances. J. Chromatog. A 2021, 1637, 461846. [Google Scholar] [CrossRef]
- Woiwode, U.; Neubauer, S.; Lindner, W.; Buckenmaier, S.; Lämmerhofer, M. Enantioselective multiple heartcut two-dimensional ultra-high-performance liquid chromatography method with a coreshell chiral stationary phase in the second dimension for analysis of all proteinogenic amino acids in a single run. J. Chromatog. A 2018, 1562, 69–77. [Google Scholar] [CrossRef]
- Davankov, V.A. Resolution of racemates by ligand-exchange chromatography. In Advances in Chromatography; CRC Press: Boca Raton, FL, USA, 2021; pp. 139–195. [Google Scholar]
- Fanali, S.; Chankvetadze, B. History, advancement, bottlenecks, and future of chiral capillary electrochromatography. J. Chromatog. A 2021, 1637, 461832. [Google Scholar] [CrossRef]
- Pu, J.; Wang, H.; Huang, C.; Bo, C.; Gong, B.; Ou, J. Progress of molecular imprinting technique for enantioseparation of chiral drugs in recent ten years. J. Chromatog. A 2022, 1668, 462914. [Google Scholar] [CrossRef] [PubMed]
- Gong, W.; Chen, Z.; Dong, J.; Liu, Y.; Cui, Y. Chiral metal-organic frameworks. Chem. Rev. 2022, 122, 9078–9144. [Google Scholar] [CrossRef] [PubMed]
- Bhushan, R. ′Ab Ovo′ chiral phases and chiral reagents for liquid chromatographic separation and isolation of enantiomers. Chem. Rec. 2022, 22, e202100295. [Google Scholar] [CrossRef] [PubMed]
- Wang, X.; Jameson, C.J.; Murad, S. Modeling enantiomeric separations as an interfacial process using amylose Tris(3,5-dimethylphenyl carbamate) (ADMPC) polymers coated on amorphous silica. Langmuir 2020, 36, 1113–1124. [Google Scholar] [CrossRef]
- Wang, M.; Zhang, L.; Huo, X.; Zhang, Z.; Yuan, Q.; Li, P.; Chen, J.; Zou, Y.; Wu, Z.; Zhang, W. Catalytic asymmetric synthesis of the anti-COVID-19 drug remdesivir. Angew. Chem. Int. Edit. 2020, 59, 20814–20819. [Google Scholar] [CrossRef]
- Catalano, A.; Carocci, A.; Fracchiolla, G.; Franchini, C.; Lentini, G.; Tortorella, V.; De Luca, A.; De Bellis, J.; Desaphy, J.-F.; Conte Camerino, D. Stereospecific synthesis of “para-hydroxymexiletine” and sodium channel blocking activity evaluation. Chirality 2004, 16, 72–78. [Google Scholar]
- Peepliwal, A.K.; Bagade, S.B.; Bonde, C.G. A review: Stereochemical consideration and eudismic ratio in chiral drug development. J. Biomed. Sci. Res. 2010, 2, 29–45. [Google Scholar]
- Mane, S. Racemic drug resolution: A comprehensive guide. Analyt. Met. 2016, 8, 7567–7586. [Google Scholar] [CrossRef]
- Bogaerts, J.; Aerts, R.; Vermeyen, T.; Johannessen, C.; Herrebout, W.; Batista, J.M. Tackling Stereochemistry in Drug Molecules with Vibrational Optical Activity. Pharmaceuticals 2021, 14, 877. [Google Scholar] [CrossRef]
- Silvestri, I.P.; Colbon, P.J. The growing importance of chirality in 3D chemical space exploration and modern drug discovery approaches for Hit-ID: Topical Innovations. ACS Med. Chem. Lett. 2021, 12, 1220–1229. [Google Scholar] [CrossRef]
- Calcaterra, A.; D’Acquarica, I. The market of chiral drugs: Chiral switches versus de novo enantiomerically pure compounds. J. Pharm. Biomed. Anal. 2018, 147, 323–340. [Google Scholar] [CrossRef] [PubMed]
- Hancu, G.; Modroiu, A. Chiral switch: Between therapeutical benefit and marketing strategy. Pharmaceuticals 2022, 15, 240. [Google Scholar] [CrossRef] [PubMed]
- Spalding, D. The importance of the physicochemical properties of drugs to drug metabolism. In A Handbook of Bioanalysis and Drug Metabolism; CRC Press: Boca Raton, FL, USA, 2021; pp. 8–31. ISBN 9780203642535. [Google Scholar]
- Kirchmair, J.; Howlett, A.; Peironcely, J.E.; Murrell, D.S.; Williamson, M.J.; Adams, S.E.; Hankemeier, T.; van Buren, L.; Duchateau, G.; Klaffke, W.; et al. How do metabolites differ from their parent molecules and how are they excreted? J. Chem. Inf. Mod. 2013, 53, 354–367. [Google Scholar] [CrossRef] [PubMed]
- Amare, G.G.; Meharie, B.G.; Belayneh, Y.M. A drug repositioning success: The repositioned therapeutic applications and mechanisms of action of thalidomide. J. Oncol. Pharm. Pract. 2021, 27, 673–678. [Google Scholar] [CrossRef]
- Winter, W.; Frankus, E. Thalidomide enantiomers. Lancet 1992, 33, 365. [Google Scholar] [CrossRef]
- Vargesson, N. Thalidomide-induced teratogenesis: History and mechanisms. Birth Defects Res. Part A Clin. Mol. Teratol. 2015, 105, 140–156. [Google Scholar] [CrossRef] [Green Version]
- Schoetz, G.; Trapp, O.; Schurig, V. Determination of the enantiomerization barrier of thalidomide by dynamic capillary electrokinetic chromatography. Electrophoresis 2001, 22, 3185–3190. [Google Scholar] [CrossRef]
- Catalano, A.; Iacopetta, D.; Pellegrino, M.; Aquaro, S.; Franchini, C.; Sinicropi, M.S. Diarylureas: Repositioning from antitumor to antimicrobials or multi-target agents against new pandemics. Antibiotics 2021, 10, 92. [Google Scholar] [CrossRef]
- Catalano, A.; Iacopetta, D.; Sinicropi, M.S.; Franchini, C. Diarylureas as antitumor agents. Appl. Sci. 2021, 11, 374. [Google Scholar]
- Mercurio, A.; Adriani, G.; Catalano, A.; Carocci, A.; Rao, L.; Lentini, G.; Cavalluzzi, M.M.; Franchini, C.; Vacca, A.; Corbo, F. A mini-review on thalidomide: Chemistry, mechanisms of action, therapeutic potential and anti-angiogenic properties in multiple myeloma. Curr. Med. Chem. 2017, 24, 2736–2744. [Google Scholar] [CrossRef]
- Inaki, M.; Sasamura, T.; Matsuno, K. Cell chirality drives left-right asymmetric morphogenesis. Front. Cell Develop. Biol. 2018, 6, 34. [Google Scholar]
- Carrisi, C.; Madeo, M.; Morciano, P.; Dolce, V.; Cenci, G.; Cappello, A.R.; Mazzeo, G.; Iacopetta, D.; Capobianco, L. Identification of the Drosophila melanogaster mitochondrial citrate carrier: Bacterial expression, reconstitution, functional characterization and developmental distribution. J. Biochem. 2008, 144, 389–392. [Google Scholar] [CrossRef] [PubMed]
- Aydin, V.; Bahar, A.; Vizdiklar, C.; Akici, A. The association of chiral characteristic with drug withdrawal due to safety: A comparative analysis. Br. J. Clin. Pharmacol. 2022, in press. [CrossRef] [PubMed]
- Barreiro, J.C.; Tiritan, M.E.; Cass, Q.B. Challenges and innovations in chiral drugs in an environmental and bioanalysis perspective. Trends Anal. Chem. 2021, 142, 116326. [Google Scholar] [CrossRef]
- Catalano, A.; Iacopetta, D.; Ceramella, J.; Scumaci, D.; Giuzio, F.; Saturnino, C.; Aquaro, S.; Rosano, C.; Sinicropi, M.S. Multidrug resistance (MDR): A widespread phenomenon in pharmacological therapies. Molecules 2022, 27, 616. [Google Scholar] [CrossRef]
- Barton, A.K.; McGowan, M.; Smyth, A.; Wright, G.A.; Gardner, R.S. Classification and choice of antiarrhythmic therapies. Prescriber 2020, 31, 11–17. [Google Scholar] [CrossRef]
- Catalano, A.; Carocci, A. Antiarrhythmic mexiletine: A review on synthetic routes to racemic and homochiral mexiletine and its enantioseparation. Curr. Med. Chem. 2016, 23, 3227–3244. [Google Scholar] [CrossRef]
- De Luca, A.; Talon, S.; de Bellis, M.; Desaphy, J.-F.; Franchini, C.; Lentini, G.; Catalano, A.; Corbo, F.; Tortorella, V.; Conte-Camerino, D. Inhibition of skeletal muscle sodium currents by mexiletine analogues: Specific hydrophobic interactions rather than lipophilia per se account for drug therapeutic profile. Naunyn Schmiedeberg’s Arch. Pharmacol. 2003, 367, 318–327. [Google Scholar] [CrossRef]
- Catalano, A.; Desaphy, J.F.; Lentini, G.; Carocci, A.; Di Mola, A.; Bruno, C.; Carbonara, R.; de Palma, A.; Budriesi, R.; Ghelardini, C.; et al. Synthesis and toxicopharmacological evaluation of m-hydroxymexiletine, the first metabolite of mexiletine more potent than the parent compound on voltage-gated sodium channels. J. Med. Chem. 2012, 55, 1418–1422. [Google Scholar] [CrossRef]
- Catalano, A.; Carocci, A.; Sinicropi, M.S. Mexiletine metabolites: A review. Curr. Med. Chem. 2015, 22, 1400–1413. [Google Scholar] [CrossRef]
- De Bellis, M.; De Luca, A.; Rana, F.; Cavalluzzi, M.M.; Catalano, A.; Lentini, G.; Franchini, C.; Tortorella, V.; Conte Camerino, D. Evaluation of the pharmacological activity of the major mexiletine metabolites on skeletal muscle sodium currents. Br. J. Pharmacol. 2006, 149, 300–310. [Google Scholar] [CrossRef] [PubMed] [Green Version]
- Muraglia, M.; de Bellis, M.; Catalano, A.; Carocci, A.; Franchini, C.; Carrieri, A.; Fortugno, C.; Bertucci, C.; Desaphy, J.F.; De Luca, A.; et al. N-aryl-2,6-dimethylbenzamides, a new generation of tocainide analogues as blockers of skeletal muscle voltage-gated sodium channels. J. Med. Chem. 2014, 57, 2589–2600. [Google Scholar] [CrossRef] [PubMed]
- Catalano, A.; Carocci, A.; Corbo, F.; Franchini, C.; Muraglia, M.; Scilimati, A.; de Bellis, M.; De Luca, A.; Conte Camerino, D.; Sinicropi, M.S.; et al. Constrained analogues of tocainide as potent skeletal muscle sodium channel blockers towards the development of antimyotonic agents. Eur. J. Med. Chem. 2008, 43, 2535–2540. [Google Scholar] [CrossRef] [PubMed]
- Osei, K.; Taskesen, T.; Goerbig-Campbell, J.; Hounshell, T. Ivabradine toxicity: A case report and review. HeartRhythm Case Rep. 2020, 6, 183–186. [Google Scholar] [CrossRef] [PubMed] [Green Version]
- European Medicines Agency (EMEA). Annual Report of the European Medicines Agency 2005; EMEA/MB/63019/2006; European Medicines Agency: London, UK, 2005. [Google Scholar]
- Liu, X.; Liu, Y.; He, H.; Cai, Z.; Yang, Y. New synthetic route to (1S)-4, 5-dimethoxy-1-[(methylamino) methyl] benzocyclobutane, a key intermediate of ivabradine. Synth. Commun. 2014, 44, 451–456. [Google Scholar] [CrossRef]
- Amariei, G.; Jiménez-Jiménez, S.; García, M.Á.; Marina, M.L.; Boltes, K. First eco-toxicological evidence of ivabradine effect on the marine bacterium Vibrio fischeri: A chiral view. Sci. Tot. Environ. 2022, 838, 156617. [Google Scholar] [CrossRef]
- Ondetti, M.A.; Rubin, B.; Cushman, D.W. Design of specific inhibitors of angiotensin-converting enzyme: New class of orally active antihypertensive agents. Science 1977, 196, 441–444. [Google Scholar] [CrossRef]
- Zhan, L.; Wang, X.; Zhang, Y.; Zhu, G.; Ding, Y.; Chen, X.; Jiang, W.; Wu, S. Benazepril hydrochloride protects against doxorubicin cardiotoxicity by regulating the PI3K/Akt pathway. Exp. Ther. Med. 2021, 22, 1082. [Google Scholar] [CrossRef]
- Domínguez, F.; Lalaguna, L.; López-Olañeta, M.; Villalba-Orero, M.; Padrón-Barthe, L.; Román, M.; Bello-Arroyo, E.; Briceño, A.; Gonzalez-Lopez, E.; Segovia-Cubero, J.; et al. Early preventive treatment with enalapril improves cardiac function and delays mortality in mice with arrhythmogenic right ventricular cardiomyopathy type 5. Circ. Heart Fail. 2021, 14, e007616. [Google Scholar] [CrossRef]
- Cirilli, R.; La Torre, F. Stereoselective analysis of benazepril and its stereoisomers by reversed-phase high-performance liquid chromatography on a chiral AGP column. J. Chromatog. A 1998, 818, 53–60. [Google Scholar] [CrossRef]
- Stefan, R.I.; Aboul-Enein, H.Y.; Radu, G.L. Biosensors for the enantioselective analysis of S-enalapril and S-ramipril. Prep. Biochem. Biotechnol. 1998, 28, 305–312. [Google Scholar] [CrossRef] [PubMed]
- Alghamdi, H.A.; Attique, S.A.; Yan, W.; Arooj, A.; Albulym, O.; Zhu, D.; Bilal, M.; Nawaz, M.Z. Repurposing the inhibitors of COVID-19 key proteins through molecular docking approach. Proc. Biochem. 2021, 110, 216–222. [Google Scholar] [CrossRef] [PubMed]
- Ladhari, A.; La Mura, G.; Di Marino, C.; Di Fabio, G.; Zarrelli, A. Sartans: What they are for, how they degrade, where they are found and how they transform. Sustain. Chem. Pharm. 2021, 20, 100409. [Google Scholar] [CrossRef]
- Ebrahimi, M.; Sohrabi, M.R.; Motiee, F.; Davallo, M. L and D enantiomer binary mixture determination simultaneously by spectrophotometric method without separation step based on artificial neural network and least squares support vector machine in valsartan pharmaceutical production. Optik 2021, 247, 168011. [Google Scholar] [CrossRef]
- Bayes-Genis, A. Neprilysin inhibitors. In Encyclopedia of Molecular Pharmacology; Offermanns, S., Rosenthal, W., Eds.; Springer: Cham, Switzerland, 2021. [Google Scholar] [CrossRef]
- Monteil, T.; Danvy, D.; Sihel, M.; Leroux, R.; Plaquevent, J.C. Strategies for access to enantiomerically pure ecadotril, dexecadotril and fasidotril: A review. Mini Rev. Med. Chem. 2002, 2, 209–217. [Google Scholar] [CrossRef]
- Mehvar, R.; Brocks, D.R. Stereospecific pharmacokinetics and pharmacodynamics of beta-adrenergic blockers in humans. J. Pharm. Pharm. Sci. 2001, 4, 185–200. [Google Scholar] [PubMed]
- Diaconu, C.C.; Marcu, D.R.; Bratu, O.G.; Stanescu, A.M.A.; Gheorghe, G.; Hlescu, A.A.; Mischianu, D.L.; Manea, M. Beta-blockers in cardiovascular therapy: A review. J. Mind Med. Sci. 2019, 6, 216–223. [Google Scholar] [CrossRef]
- Liang, Y.; Mak, J.C. Inhaled therapies for asthma and chronic obstructive pulmonary disease. Curr. Pharm. Des. 2021, 27, 1469–1481. [Google Scholar] [CrossRef]
- Yang, A.; Yu, G.; Wu, Y.; Wang, H. Role of β2-adrenergic receptors in chronic obstructive pulmonary disease. Life Sci. 2020, 265, 118864. [Google Scholar] [CrossRef]
- Jacobson, G.A.; Hostrup, M.; Narkowicz, C.K.; Nichols, D.S.; Walters, E.H. Enantioselective disposition of (R,R)-formoterol, (S,S)-formoterol and their respective glucuronides in urine following single inhaled dosing and application to doping control. Drug Test. Anal. 2019, 11, 950–956. [Google Scholar] [CrossRef]
- Garzon-Siatoya, W.T.; Carrillo-Martin, I.; Chiarella, S.E.; Gonzalez-Estrada, A. State-of-the-art beta-adrenoreceptor agonists for the treatment of asthma. Exp. Opin. Pharmacother. 2022, 23, 243–254. [Google Scholar] [CrossRef] [PubMed]
- Aparici, M.; Gavaldà, A.; Ramos, I.; Carcasona, C.; Otal, R.; Fernández-Blanco, J.A.; Montero, J.L.; García, V.M.; López, R.; de Alba, J.; et al. In vitro and in vivo preclinical profile of abediterol (LAS100977), an inhaled long-acting β2-adrenoceptor agonist, compared with indacaterol, olodaterol and vilanterol. Eur. J. Pharmacol. 2016, 770, 61–69. [Google Scholar] [CrossRef] [PubMed]
- Saganuwan, S.A. Chirality of central nervous system (CNS) acting drugs: A formidable therapeutic hurdle against CNS diseases. Centr. Nerv. System Ag. Med. Chem. 2019, 19, 171–179. [Google Scholar] [CrossRef] [PubMed]
- Bonaventura, J.; Lam, S.; Carlton, M.; Boehm, M.A.; Gomez, J.L.; Solís, O.; Sánchez-Soto, M.; Morris, P.J.; Fredriksson, I.; Thomas, C.J.; et al. Pharmacological and behavioral divergence of ketamine enantiomers: Implications for abuse liability. Mol. Psychiatry 2021, 26, 6704–6722. [Google Scholar] [CrossRef] [PubMed]
- Cristea, I.A.; Naudet, F. US Food and Drug Administration approval of esketamine and brexanolone. Lancet Psych. 2019, 6, 975–977. [Google Scholar] [CrossRef]
- Popik, P.; Khoo, S.Y.S.; Kuziak, A.; Golebiowska, J.; Potasiewicz, A.; Hogendorf, A.; Popik, O.; Matloka, M.; Moszczynski, R.; Nikiforuk, A.; et al. Distinct cognitive and discriminative stimulus effects of ketamine enantiomers in rats. Pharmacol. Biochem. Behav. 2020, 197, 173011. [Google Scholar] [CrossRef]
- Rodrigues-Amorim, D.; Olivares, J.M.; Spuch, C.; Rivera-Baltanás, T. A systematic review of efficacy, safety, and tolerability of duloxetine. Front. Psych. 2020, 11, 554899. [Google Scholar] [CrossRef]
- Vyas, R.; Bhushan, R.; Nagar, H.; Sharma, A. RP-HPLC Enantioseparation and control of enantiomeric purity of duloxetine using a new chiral reagent and recovery of enantiomers. Biomed. Chromatog. 2021, 35, e5228. [Google Scholar] [CrossRef]
- Khoodoruth, M.A.S.; Ouanes, S.; Khan, Y.S. A systematic review of the use of atomoxetine for management of comorbid anxiety disorders in children and adolescents with attention-deficit hyperactivity disorder. Res. Develop. Disabil. 2022, 128, 104275. [Google Scholar] [CrossRef]
- Messineo, L.; Taranto-Montemurro, L.; Calianese, N.; Gell, L.K.; Azarbarzin, A.; Labarca, G.; Vena, D.; Yang, H.C.; Wang, T.Y.; Wellman, A.; et al. Atomoxetine and fesoterodine combination improves obstructive sleep apnoea severity in patients with milder upper airway collapsibility. Respirology 2022, 27, 975–982. [Google Scholar] [CrossRef]
- Abram, M.; Jakubiec, M.; Kaminski, K. Chirality as an important factor for the development of new antiepileptic drugs. ChemMedChem 2019, 14, 1744–1761. [Google Scholar] [CrossRef] [PubMed]
- Bialer, M. Chemical properties of antiepileptic drugs (AEDs). Adv. Drug Deliv. Rev. 2012, 64, 887–895. [Google Scholar] [CrossRef] [PubMed]
- Barel, S.; Yagen, B.; Schurig, V.; Soback, S.; Pisani, F.; Perucca, E.; Bialer, M. Stereoselective pharmacokinetic analysis of valnoctamide in healthy subjects and in patients with epilepsy. Clin. Pharmacol. Ther. 1997, 61, 442–449. [Google Scholar] [CrossRef]
- Kaufmann, D.; Yagen, B.; Minert, A.; Wlodarczyk, B.; Finnell, R.H.; Schurig, V.; Devor, M.; Bialer, M. Evaluation of the antiallodynic, teratogenic and pharmacokinetic profile of stereoisomers of valnoctamide, an amide derivative of a chiral isomer of valproic acid. Neuropharmacology 2010, 52, 1228–1236. [Google Scholar] [CrossRef] [PubMed]
- Čižmáriková, R.; Čižmárik, J.; Valentová, J.; Habala, L.; Markuliak, M. Chiral aspects of local anesthetics. Molecules 2020, 25, 2738. [Google Scholar] [CrossRef] [PubMed]
- Foster, R.H.; Markham, A. Levobupivacaine. Drugs 2000, 59, 551–579. [Google Scholar] [CrossRef]
- Catalano, A. The 2,6-xylyl moiety as a privileged scaffold of pharmaceutical significance. Curr. Med. Chem. 2022, 29, 3984–3990. [Google Scholar] [CrossRef]
- Ekatodramis, G.; Borgeat, A. The enantiomers: Revolution or evolution. Curr. Top. Med. Chem. 2001, 1, 205–206. [Google Scholar] [CrossRef]
- Hao, H.; Wang, G.; Sun, J. Enantioselective pharmacokinetics of ibuprofen and involved mechanisms. Drug Metab. Rev. 2005, 37, 215–234. [Google Scholar] [CrossRef]
- Catalano, A.; Iacopetta, D.; Ceramella, J.; Saturnino, C.; Sinicropi, M.S. A comprehensive review on pyranoindole-containing agents. Curr. Med. Chem. 2022, 29, 3667–3683. [Google Scholar] [CrossRef]
- Roberts, J.S.; Ma, C.; Robertson, S.Y.; Kang, S.; Han, C.S.; Deng, S.X.; Zheng, J.J. R-etodolac is a more potent Wnt signaling inhibitor than enantiomer, S-etodolac. Biochem. Biophys. Rep. 2022, 30, 101231. [Google Scholar] [CrossRef] [PubMed]
- Hashemian, S.M.R.; Farhadi, T.; Ganjparvar, M. Linezolid: A review of its properties, function, and use in critical care. Drug Des. Develop. Ther. 2018, 12, 1759. [Google Scholar] [CrossRef]
- Pozzi, C.; Ferrari, S.; Cortesi, D.; Luciani, R.; Stroud, R.M.; Catalano, A.; Costi, M.P.; Mangani, S. The structure of Enterococcus faecalis thymidylate synthase provides clues about folate bacterial metabolism. Acta Crystallogr. D Biol. Crystallogr. 2012, 68, 1232–1241. [Google Scholar] [CrossRef] [PubMed]
- Diekema, D.J.; Jones, R.N. Oxazolidinone antibiotics. Lancet 2001, 358, 1975–1982. [Google Scholar] [CrossRef]
- Parisi, O.I.; Fiorillo, M.; Caruso, A.; Cappello, A.R.; Saturnino, C.; Puoci, F.; Panno, A.; Dolce, V.; El-Kashef, H.; Sinicropi, M.S. Enhanced cellular uptake by “pharmaceutically oriented devices” of new simplified analogs of Linezolid with antimicrobial activity. Int. J. Pharm. 2014, 461, 163–170. [Google Scholar] [CrossRef]
- Iqbal, K.; Milioudi, A.; Wicha, S.G. Pharmacokinetics and pharmacodynamics of tedizolid. Clin. Pharmacokinet. 2022, 61, 489–503. [Google Scholar] [CrossRef] [PubMed]
- Bhagwat Ashlesha, B.; Khedkar, K.M. Impurity Profiling: A Review. Asian J. Pharm. Res. Develop. 2022, 10, 135–143. [Google Scholar]
- Elshafie, H.S.; Sadeek, S.A.; Camele, I.; Mohamed, A.A. Biochemical characterization of new gemifloxacin Schiff base (GMFX-o-phdn) metal complexes and evaluation of their antimicrobial activity against some phyto-or human pathogens. Int. J. Mol. Sci. 2022, 23, 2110. [Google Scholar] [CrossRef]
- Ceramella, J.; Iacopetta, D.; Catalano, A.; Cirillo, F.; Lappano, R.; Sinicropi, M.S. A review on the antimicrobial activity of Schiff bases: Data collection and recent studies. Antibiotics 2022, 11, 191. [Google Scholar] [CrossRef]
- Wei, Z.X.; Tang, T.T.; Jiang, S.P. The antiviral mechanisms, effects, safety and adverse effects of chloroquine. Eur. Rev. Med. Pharmacol. Sci. 2020, 24, 7164–7172. [Google Scholar]
- Iacopetta, D.; Ceramella, J.; Catalano, A.; Saturnino, C.; Pellegrino, M.; Mariconda, A.; Longo, P.; Sinicropi, M.S.; Aquaro, S. COVID-19 at a glance: An up-to-date overview on variants, drug design and therapies. Viruses 2022, 14, 573. [Google Scholar] [CrossRef] [PubMed]
- D’Acquarica, I.; Agranat, I. Chiral switches of chloroquine and hydroxychloroquine: Potential drugs to treat COVID-19. Drug Discov. Today 2020, 25, 1121. [Google Scholar] [CrossRef] [PubMed]
- Delany-Moretlwe, S.; Hughes, J.P.; Bock, P.; Ouma, S.G.; Hunidzarira, P.; Kalonji, D.; Kayange, N.; Makhema, J.; Mandima, P.; Mathew, C.; et al. Cabotegravir for the prevention of HIV-1 in women: Results from HPTN 084, a phase 3, randomised clinical trial. Lancet 2022, 399, 1779–1789. [Google Scholar] [CrossRef]
- Götte, M. Remdesivir for the treatment of COVID-19: The value of biochemical studies. Curr. Opin. Virol. 2021, 49, 81–85. [Google Scholar] [CrossRef] [PubMed]
- Sinicropi, M.S.; Baldino, N.; Ceramella, J.; Iacopetta, D.; Scali, E.; Basile, G.; Saturnino, C.; Catalano, A. Opuntia ficus indica (L.) Mill. An Ancient Plant Source of Nutraceuticals. Curr. Top. Med. Chem. 2022, 22, 1736–1749. [Google Scholar]
- Vicidomini, C.; Roviello, V.; Roviello, G.N. In silico investigation on the interaction of chiral phytochemicals from Opuntia ficus-indica with SARS-CoV-2 Mpro. Symmetry 2021, 13, 1041. [Google Scholar] [CrossRef]
- Nehra, A.K.; Alexander, J.A.; Loftus, C.G.; Nehra, V. Proton pump inhibitors: Review of emerging concerns. Mayo Clinic Proc. 2018, 93, 240–246. [Google Scholar] [CrossRef] [Green Version]
- Olbe, L.; Carlsson, E.; Lindberg, P. A proton-pump inhibitor expedition: The case histories of omeprazole and esomeprazole. Nat. Rev. Drug Discov. 2003, 2, 132–139. [Google Scholar] [CrossRef]
- McKeage, K.; Blick, S.K.; Croxtall, J.D.; Lyseng-Williamson, K.A.; Keating, G.M. Esomeprazole. Drugs 2008, 68, 1571–1607. [Google Scholar] [CrossRef]
- Hershcovici, T.; Jha, L.K.; Fass, R. Dexlansoprazole MR—A review. Ann. Med. 2011, 43, 366–374. [Google Scholar] [CrossRef]
- Valentová, J.; Lintnerová, L. Chirality in Anticancer Agents. In Current Topics in Chirality-From Chemistry to Biology; IntechOpen: London, UK, 2021; Chapter 8; ISBN 978-1-83968-954-3. [Google Scholar]
- Martino, E.; Casamassima, G.; Castiglione, S.; Cellupica, E.; Pantalone, S.; Papagni, F.; Rui, M.; Siciliano, A.M.; Collina, S. Vinca alkaloids and analogues as anti-cancer agents: Looking back, peering ahead. Bioorganic Med. Chem. Lett. 2018, 28, 2816–2826. [Google Scholar] [CrossRef] [PubMed]
- Roohbakhsh, A.; Parhiz, H.; Soltani, F.; Rezaee, R.; Iranshahi, M. Molecular mechanisms behind the biological effects of hesperidin and hesperetin for the prevention of cancer and cardiovascular diseases. Life Sci. 2015, 124, 64–74. [Google Scholar] [CrossRef] [PubMed]
- Stabrauskiene, J.; Kopustinskiene, D.M.; Lazauskas, R.; Bernatoniene, J. Naringin and naringenin: Their mechanisms of action and the potential anticancer activities. Biomedicines 2022, 10, 1686. [Google Scholar] [CrossRef]
- Pinto, C.; Cidade, H.; Pinto, M.; Tiritan, M.E. Chiral flavonoids as antitumor agents. Pharmaceuticals 2021, 14, 1267. [Google Scholar] [CrossRef] [PubMed]
- George, V.C.; Dellaire, G.; Rupasinghe, H.P.V. Plant flavonoids in cancer chemoprevention: Role in genome stability. J. Nutr. Biochem. 2017, 45, 1–14. [Google Scholar] [CrossRef] [PubMed]
- Bonomo, M.G.; Catalano, A.; Finelli, F.; Giuzio, F.; Iacopetta, D.; Ceramella, J.; Sinicropi, M.S.; Capasso, A.; Saturnino, C. Nutraceutical functions of green tea. Pharmacologyonline 2021, 3, 1156–1166. [Google Scholar]
- Scott, L.J. Larotrectinib: First global approval. Drugs 2019, 79, 201–206. [Google Scholar] [CrossRef]
- Chu, X.; Bu, Y.; Yang, X. Recent Research Progress of Chiral Small Molecular Antitumor-Targeted Drugs Approved by the FDA From 2011 to 2019. Front. Oncol. 2021, 11, 785855. [Google Scholar]
- Lee, A. Niraparib: A review in first-line maintenance therapy in advanced ovarian cancer. Targ. Oncol. 2021, 16, 839–845. [Google Scholar] [CrossRef]
- Sanchez-Borges, M.; Ansotegui, I.J. Second generation antihistamines: An update. Curr. Opin. Allergy Clin. Immunol. 2019, 19, 358–364. [Google Scholar] [CrossRef]
- Wegler, C.; Saleh, A.; Lindqvist, A.; Nordeng, H.; Smeraglia, J.; Baranczewski, P. Simple and rapid quantification of cetirizine, venlafaxine, and O-desmethylvenlafaxine in human breast milk, and metformin in human milk and plasma with UHPLC-MS/MS. J. Chromatog. B 2022, 1205, 123340. [Google Scholar] [CrossRef] [PubMed]
- Lu, H.R.; Hermans, A.N.; Gallacher, D.J. Does terfenadine-induced ventricular tachycardia/fibrillation directly relate to its QT prolongation and Torsades de Pointes? Br. J. Pharmacol. 2012, 166, 1490–1502. [Google Scholar] [CrossRef] [PubMed] [Green Version]
- Craun, K.L.; Schury, M.P. Fexofenadine. In StatPearls [Internet]; StatPearls Publishing: Treasure Island, FL, USA, 2021. [Google Scholar]
- Meltzer, E.O.; Rosario, N.A.; van Bever, H.; Lucio, L. Fexofenadine: Review of safety, efficacy and unmet needs in children with allergic rhinitis. Allergy Asthma Clin. Immun. 2021, 17, 113. [Google Scholar] [CrossRef]
- Van Eeckhaut, A.; Detaevernier, M.R.; Crommen, J.; Michotte, Y. Differential effects of organic modifiers on the enantioseparation of dimetindene maleate with carboxymethyl-β-cyclodextrin in capillary electrophoresis. J. Sep. Sci. 2004, 27, 21–27. [Google Scholar] [CrossRef] [PubMed]
- Salman, E.K.; Ghoniem, E.K.; Badr, E.S.; Emeran, A.A. The potential of dimetindene maleate inducing resistance to blast fungus Magnaporthe oryzae through activating the salicylic acid signaling pathway in rice plants. Pest Manag. Sci. 2021, 78, 633–642. [Google Scholar] [CrossRef] [PubMed]
- Vashistha, V.K.; Sethi, S.; Tyagi, I.; Das, D.K. Chirality of antidepressive drugs: An overview of stereoselectivity. Asian Biomed. 2022, 16, 55–69. [Google Scholar] [CrossRef]
- Chaubey, N.R.; Ghosh, S.K. An enantiodivergent and formal synthesis of paroxetine enantiomers by asymmetric desymmetrization of 3-(4-fluorophenyl) glutaric anhydride with a chiral SuperQuat oxazolidin-2-one. Tetrahedron Asymm. 2012, 23, 1206–1212. [Google Scholar] [CrossRef]
- Catalano, A.; Iacopetta, D.; Ceramella, J.; de Maio, A.C.; Basile, G.; Giuzio, F.; Bonomo, M.G.; Aquaro, S.; Walsh, T.J.; Sinicropi, M.S.; et al. Are nutraceuticals effective in COVID-19 and post-COVID prevention and treatment? Foods 2022, 11, 2884. [Google Scholar] [CrossRef]
- Catalano, A. COVID-19: Could irisin become the handyman myokine of the 21st century. Coronaviruses 2020, 1, 32–41. [Google Scholar] [CrossRef]
- Otvos, S.B.; Kappe, C.O. Continuous flow asymmetric synthesis of chiral active pharmaceutical ingredients and their advanced intermediates. Green Chem. 2021, 23, 6117–6138. [Google Scholar] [CrossRef]
- Schubart, A.; Anderson, K.; Mainolfi, N.; Sellner, H.; Ehara, T.; Adams, C.M.; Mac Sweeney, A.; Liao, S.-M.; Crowley, M.; Littlewood-Evans, A.; et al. Small-molecule factor B inhibitor for the treatment of complement-mediated diseases. Proc. Natl. Acad. Sci. USA 2019, 116, 7926–7931. [Google Scholar] [CrossRef] [PubMed]
- Chen, K.; Deng, Y.; Shang, S.; Tang, L.; Li, Q.; Bai, X.; Chen, X. Complement factor B inhibitor LNP023 improves lupus nephritis in MRL/lpr mice. Biomed. Pharmacother. 2022, 153, 113433. [Google Scholar] [CrossRef] [PubMed]
- Jourdan, J.P.; Bureau, R.; Rochais, C.; Dallemagne, P. Drug repositioning: A brief overview. J. Pharm. Pharmacol. 2020, 72, 1145–1151. [Google Scholar] [CrossRef] [Green Version]
- De Maio, A.C.; Basile, G.; Iacopetta, D.; Catalano, A.; Ceramella, J.; Cafaro, D.; Saturnino, C.; Sinicropi, M.S. The significant role of nutraceutical compounds in ulcerative colitis treatment. Curr. Med. Chem. 2022, 29, 4216–4234. [Google Scholar]
- Srivastava, R.; Singh, R. Synthesis of Four Heterocyclic Drug Molecules Repurposed for COVID-19. Mini Rev. Org. Chem. 2022, 19, 180–187. [Google Scholar]
- Verma, A.; Vimalesvaran, S.; Lampejo, T.; Deep, A.; Dhawan, A. Use of cidofovir in recent outbreak of adenovirus-associated acute liver failure in children. Lancet Gastroenterol. Hepatol. 2022, 7, 700–702. [Google Scholar] [CrossRef]
- Eberhardt, K.A.; Mischlinger, J.; Jordan, S.; Groger, M.; Günther, S.; Ramharter, M. Ribavirin for the treatment of Lassa fever: A systematic review and meta-analysis. Int. J. Infect. Dis. 2019, 87, 15–20. [Google Scholar] [CrossRef]
- Ajayi, S.; Becker, H.; Reinhardt, H.; Engelhardt, M.; Zeiser, R.; Von Bubnoff, N.; Wasch, R. Ruxolitinib. Recent Results Cancer Res. 2018, 212, 119–132. [Google Scholar]
Publisher’s Note: MDPI stays neutral with regard to jurisdictional claims in published maps and institutional affiliations. |
© 2022 by the authors. Licensee MDPI, Basel, Switzerland. This article is an open access article distributed under the terms and conditions of the Creative Commons Attribution (CC BY) license (https://creativecommons.org/licenses/by/4.0/).



























































