Abstract
This study is focused on the impact of the Eurocode 8 draft revision on the seismic zonation of Romania, one of the countries with the highest hazard levels in Europe. In this study, the design response spectra are evaluated for a number of sites in Romania for which both shear wave velocity profiles and ground motion recordings are available. The impact of the proposed changes on the structural design for structures situated in the southern part of Romania is also discussed. The results show considerable differences between the design response spectra computed according to the Eurocode 8 draft revision and the design response spectra from the current Romanian seismic code P100-1/2013. The differences are larger in the case of the sites situated in the southern part of Romania and those which have large design values for the control period TC. In Bucharest, for instance, it was found that the maximum design spectral accelerations would correspond to those from the 2006 version of the code while the maximum design spectral displacements would be significantly smaller than the levels produced by the 1981 or 1992 versions of the code. The results presented herein show that the differences in the seismic hazard and design ground motions are mainly due to the effects of local soil and site conditions and the associated site amplification proposed in the current Romanian seismic code and EC8 draft revision. Moreover, it has been shown that more analyses are needed to apply the seismic actions proposed in Eurocode 8 revision specifically for the sites in Romania under the influence of Vrancea intermediate-depth earthquakes so as to ensure an increased level of seismic safety for structures designed and built in the future.
1. Introduction
This study is focused on the impact of the Eurocode 8 draft revision [1] on the seismic zonation of Romania. The derivation of the site amplification factors from the Eurocode 8 draft revision [1] is presented in the study of Paolucci et al. [2]. Significant changes, from the point of view of site amplification factors, are introduced in the Eurocode 8 draft revision [1] compared to the current version of the Eurocode 8 [3]. The Eurocode 8 draft revision [1] proposes intensity-dependent site amplification factors, contrasting to the constant soil parameters used in the current version of the Eurocode 8 [3]. The site amplification factors proposed in the Eurocode 8 draft revision [1] were derived using a database of ground motions recorded during shallow earthquakes that had focal depths of less than 35 km [2]. The procedure used for the calibration of the site amplification factors for the original version of the Eurocode 8 [3] is presented in the study by Rey et al. [4]. On the other hand, the seismic hazard of the Romanian territory is dominated by the Vrancea intermediate-depth seismic source for the southern and eastern parts of the country, while the crustal seismic sources are dominant for the sites situated in the western part of the country. According to Bala et al. [5], the Vrancea intermediate-depth source is situated at the contact point of multiple tectonic units: the East European platform (north and north-east); the Scythian Platform (east); the North Dobrogean orogen (south-east); the Moesian platform (south and south-west); the Carpathians orogen; and the Transylvanian basin (north-west). The seismicity of this source is concentrated in a narrow seismogenic volume reaching focal depths in excess of 200 km. On average, 2–3 large magnitude earthquakes (moment magnitudes MW > 7.0) occur in this region in each century [6]. A more detailed evaluation of the tectonic regime of this seismic source can be found in the study by Petrescu et al. [7]. Pavel et al. [8] have proposed intensity-dependent site amplification factors for Vrancea intermediate-depth earthquakes using the procedure from the studies of Pitilakis et al. [9,10]. The main parameters used for the site classification of the 122 sites analysed in the study of Pavel et al. [8] were the sites’ fundamental period T0 and the thickness and the average shear wave velocity of the soil profile, which were evaluated using both borehole data and the other proxy measures (topographic slope method). Significant differences were observed for the site amplification factors of soil formations that had a great overall thickness (>60.0 m), which were derived using the comparison of ground motion recordings from crustal earthquakes and those computed from the recordings of Vrancea intermediate-depth seismic events. For the sites situated in the southern part of Romania, nonlinear soil behaviour was expected under the influence of significant Vrancea intermediate-depth earthquakes [11]. Other site condition proxies or combinations were proposed in different studies [12,13].
The seismic design of structures in Romania has officially been enforced since 1963. After the major Vrancea intermediate-depth earthquake of March 1977, vast changes in the seismic design code were performed. Over the past 30 years, no major earthquake (either shallow or intermediate-depth) has occurred in Romania, so an evaluation of the design response spectra using ground motion recordings cannot be performed. Iervolino et al. [14,15] have evaluated which earthquakes can likely cause the exceedance of seismic design actions in Italy. The authors estimated that the area in which the seismic design action can be exceeded may be of the order of several thousand square kilometres for Italy and that the exceedances can occur for seismic events that have significantly smaller magnitudes compared to those taken into account in seismic hazard assessment. In the case of Romania, Pavel and Vacareanu [16] have evaluated the exceedance probabilities of the current design response spectra via the action of crustal seismic events. The analyses have shown that the exceedance of the design response spectra can occur in some areas, even in the case of earthquakes having moment magnitudes MW = 4.5–4.8.
2. Ground Motion Database
For the analyses performed in this study, we only considered the sites for which both ground motion recordings from significant earthquakes and shear wave velocity profiles were available simultaneously. The list of sites from Romania and the Republic of Moldova is presented in Table 1. The estimated average shear wave velocity values in the top 30 m of soil deposits (Vs,30) were taken based on the topographic slope method of Wald and Allen [17]. The computed Vs30 values were obtained based on shear wave velocity profiles collected during various research projects (JICA [18], BIGSEES [19], etc.) or from research contracts with the industry. The Vs30 values for the sites located within Prahova county were retrieved from [20]. The Vs30 value for Bucharest represented a mean value obtained from more than 40 shear wave velocity profiles [21]. The Vs30 for Chisinau (a site in the Republic of Moldova) was based on the information provided in [22]. Table 1 also shows the local geological conditions based on the geological map of Romania [23]. For almost all sites, with the exception of Banloc, only ground motion recordings from Vrancea intermediate-depth earthquakes were available. The ground motion database consists of recordings obtained during the most important Vrancea intermediate-depth earthquakes from the past 45 years, namely the 4 March 1977 event (moment magnitude MW = 7.4 and focal depth h = 94 km), August 30, 1986 (MW = 7.1, h = 131 km) and 30 May 1990 (MW = 6.9, h = 91 km). In the case of the Banloc station, the ground motions recorded during a MW 5.5 crustal earthquake (focal depth h = 9 km) from 1991 were employed. The moment magnitudes and focal depths of the considered seismic events were taken from the ROMPLUS earthquake catalogue [24]. It can be observed from Table 1 that all analysed sites can be assigned as having site classes B, C or F according to the Eurocode 8 draft revision [1]. None of the sites can be considered as having rock conditions. The engineering bedrock is defined according to the Eurocode 8 draft revision [1] as having a shear wave velocity of at least 800 m/s.
Table 1.
The database of sites used in the analyses, the computed and estimated Vs30 using the topographic slope method [17], the local geological conditions, the estimated depth to engineering bedrock and the seismic source for which the ground motion recordings are available.
The positions of the 15 analysed sites and the epicentres of the earthquakes for which ground motion recordings were available are illustrated in Figure 1. It can be observed that most of the sites are situated in the southern and eastern parts of Romania, where the influence of the Vrancea intermediate-depth seismic source is dominant.
Figure 1.
The positions of the 15 analysed seismic stations and of the epicentres of the earthquakes for which ground motion recordings were available. The contour of the Vrancea intermediate-depth seismic source, as defined in the BIGSEES project [25], is also illustrated with the dashed line.
The mean and the maximum acceleration response spectra for each site class category, defined using the criteria from the Eurocode 8 draft revision [1], are shown in Figure 2. All response spectra were computed considering a damping ratio of 5%. The significant intermediate- and long-period spectral amplifications occurring for class F sites are noteworthy. A total of 59 ground motion recordings from the four abovementioned seismic events were used in the analysis.
Figure 2.
(a) The median spectral accelerations as a function of the site class; (b) the maximum spectral accelerations as a function of the site class.
3. Derivation of Site-Specific Design Response Spectra
The site-specific design response spectra for each of the analysed sites were obtained using the procedure specified in the Eurocode 8 draft revision [1]. Based on the available site information, the site amplification factors for short periods (Fα) and for intermediate periods (Fβ) were evaluated. The site-specific seismic hazard for rock conditions corresponding to short periods (Sα,RP) and intermediate periods (Sβ,RP) were taken based on the current version of the European Seismic Hazard Model (ESHM 2020) for Romania [26]. These spectral acceleration values were close to those computed by Pavel et al. [27] using a different seismic source model. In both seismic hazard models, the BC Hydro ground motion model proposed by Abrahamson et al. [28] was employed for the evaluation of the ground motion amplitudes of Vrancea intermediate-depth earthquakes.
A comparison between the spectral accelerations that had a mean return period of 475 years for T = 0.2 s and T = 1.0 s for rock conditions obtained from the seismic hazard study of Pavel et al. [27] and from the ESHM 2020 model [26] is shown in Figure 3. From Figure 3, it can be observed that the spectral ordinates for rock conditions computed from the two seismic hazard models (Pavel et al. [27] and the ESHM 2020) are almost identical.
Figure 3.
(a) A comparison between the spectral accelerations that had a mean return period of 475 years for rock conditions for T = 0.2 s obtained from the seismic hazard model of Pavel et al. [27] and from the ESHM 2020 model [26]; (b) a comparison between the spectral accelerations for rock conditions for T = 1.0 s obtained from the seismic hazard model of Pavel et al. [27] and from the ESHM 2020 model [26].
4. Evaluation of Design Response Spectra
The design response spectra derived in the previous section were evaluated against those from the current seismic design code in Romania P100-1/2013 [29]. This code, as well as its previous versions from 1992 [30] and 2006 [31], defines the design response spectra based on two parameters: the design peak ground acceleration (which has a mean return period of 225 years) and the control period TC (which is a proxy for the site conditions). The difference in soil conditions is accounted for in the seismic design code P100-1/2013 [29] by having three values of the control period TC, namely 0.7 s, 1.0 s and 1.6 s. Neither version of the Romanian seismic design codes employed the site classifications approach from the original Eurocode 8 [3]. The zonation map for TC from the most recent version of the Romanian design code P100-1/2013 [29] was based on the ground motions recorded during the Vrancea intermediate-depth earthquakes of March 1977, August 1986 and May 1990. More details about the zonation maps in the previous versions of the code can be found in the papers of Crainic et al. [32] and Lungu et al. [33]. The control period TC was evaluated numerically using the relations proposed by Lungu et al. [34]. The reasons for the approach employed in the P100 series of design codes were mainly related to the significant long-period spectral amplifications that were observed in the ground motion recordings of large magnitude Vrancea intermediate-depth seismic events at sites located in the southern part of Romania and could not be captured using the Eurocode 8 [3] approach. For instance, in the case of Bucharest, the study of Pavel et al. [35] revealed that the median site amplifications decrease with the increase in the peak ground acceleration for spectral periods of up to 2.0 s, while for longer periods, an increase in the median site amplifications can be observed. As well as the recorded evidence, the significant damage and collapse of high-rise structures in Bucharest were observed during the last two major Vrancea earthquakes in 1940 and 1977, which shows the long-period content of the ground motions in this area.
A comparison between the following parameters (control period TC and maximum spectral acceleration corresponding to the plateau of constant values) of the design acceleration response spectra from the current seismic design code of Romania P100-1/2013 [29] and based on the current Eurocode 8 draft revision [1] is shown in Figure 4 for soil class B sites, in Figure 5 for soil class C sites and in Figure 6 for soil class F sites.
Figure 4.
(a) A comparison between the control period TC from P100-1/2013 [29] and based on Eurocode 8 draft revision [1] for category B sites; (b) a comparison between the maximum spectral acceleration from P100-1/2013 [29] and based on Eurocode 8 draft revision [1] for category B sites.
Figure 5.
(a) A comparison between the control period TC from P100-1/2013 [29] and based on Eurocode 8 draft revision [1] for category C sites; (b) a comparison between the maximum spectral acceleration from P100-1/2013 [29] and based on Eurocode 8 draft revision [1] for category C sites.
Figure 6.
(a) A comparison between the control period TC from P100-1/2013 [29] and based on Eurocode 8 draft revision [1] for category F sites; (b) a comparison between the maximum spectral acceleration from P100-1/2013 [29] and based on Eurocode 8 draft revision [1] for category F sites.
It can be observed from the comparisons presented in Figure 4, Figure 5 and Figure 6 that the largest differences between the metrics computed according to P100-1/2013 [29] and based on the Eurocode 8 draft revision [1] were obtained for the control period TC. In most of the cases (with the exception of Banloc), the maximum spectral acceleration was obtained based on the approach from Eurocode 8 draft revision [1].
In addition, in the case of Bucharest, a comparison between the design acceleration response spectra computed based on the current Eurocode 8 draft revision [1] (mean return period of 475 years), the seismic design code P100-1/2013 [29] (mean return period of 225 years) and the envelope of the spectral acceleration from the ground motions recorded during Vrancea earthquakes is shown in Figure 7.
Figure 7.
(a) A comparison between the design absolute acceleration response spectra from P100-1/2013 [29] (mean return period of 225 years), the Eurocode 8 draft revision [1] (mean return period of 475 years) and the envelope of the spectral accelerations from the ground motions recorded in the Bucharest area during Vrancea intermediate-depth earthquakes; (b) a comparison between the design displacement response spectra from P100-1/2013 [29] (mean return period of 225 years), the Eurocode 8 draft revision [1] (mean return period of 475 years) and the envelope of the spectral displacements from the ground motions recorded in the Bucharest area during Vrancea intermediate-depth earthquakes.
Another comparison between the ground motions recorded at the Banloc station during the crustal earthquake of December 1991, and the design response spectra based on the Eurocode 8 draft revision [1] and the seismic design code P100-1/2013 [29] is shown in Figure 8. It has to be highlighted that this particular ground motion recording can be characterised as being pulse-like [16] and it therefore contains significant long-period spectral amplifications.
Figure 8.
(a) A comparison between the design absolute acceleration response spectra from P100-1/2013 [29], the Eurocode 8 draft revision [1] and the spectral accelerations of the ground motions recorded at the Banloc station during the 1991 crustal earthquake; (b) a comparison between the design relative displacement response spectra from P100-1/2013 [29], the Eurocode 8 draft revision [1] and the spectral displacements of the ground motions recorded at the Banloc station during the 1991 crustal earthquake.
It is clearly visible from both Figure 6 and Figure 7 that the design response spectra derived based on the relations provided in the Eurocode 8 draft revision [1] fail to capture the intermediate- and long-period spectral amplifications observed in the response spectra of the ground motions recorded at Bucharest. It can also be observed that there are period ranges in which the envelopes of the spectral accelerations or displacements are superior to the ordinates computed according to the Eurocode 8 draft revision [1]. It has to be emphasised that the mean return periods of the Vrancea intermediate-depth earthquakes and the crustal event in western Romania, which was recorded at Banloc, is less than 80 years. The two seismic sources that produced the earthquakes (Vrancea intermediate-depth and Banat) are capable of producing much larger earthquakes [25]. The source for these differences are mainly attributed to the site amplification factors proposed in the Eurocode 8 draft revision [1] and were derived considering crustal seismic events. In the case of spectral displacements, the empirical model of Olteanu and Vacareanu [36] shows that significant amplifications are to be expected for soft soil sites under the action of moderate and large magnitude Vrancea intermediate-depth earthquakes.
Another evaluation of the design response spectrum computed according to the Eurocode 8 draft revision [1] (mean return period of 475 years) against the ground motions recorded during the Vrancea intermediate-depth earthquakes of 4 March 1977 (moment magnitude MW = 7.4 and focal depth h = 94 km), 30 August 1986 (MW = 7.1, h = 131 km) and 30 May 1990 (MW = 6.9, h = 91 km) was performed for Chisinau, the capital city of the Republic of Moldova. The comparison is illustrated in Figure 9, for both the absolute acceleration response spectra and the normalised acceleration response spectra. The epicentral distances from the recording stations in Chisinau were of about 250 km in the case of the 1977 and 1986 events and 200 km for the 1990 earthquake. It can be observed that the design acceleration response spectrum is exceeded for short periods (a small period interval) and that, in the intermediate period range (up to 1.0 s), the design acceleration response spectrum is almost identical to the maximum spectral acceleration from the ground motion recordings.
Figure 9.
A comparison between the (a) design absolute acceleration response spectrum (with a mean return period of 475 years) for Chisinau, computed using the site amplifications from the Eurocode 8 draft revision [1] and the ground motions recorded during the Vrancea intermediate-depth earthquakes of 1977, 1986 and 1990, and the (b) design normalised acceleration response spectrum (with a mean return period of 475 years) for Chisinau, computed using the site amplifications from the Eurocode 8 draft revision [1] and the ground motions recorded during the Vrancea intermediate-depth earthquakes of 1977, 1986 and 1990.
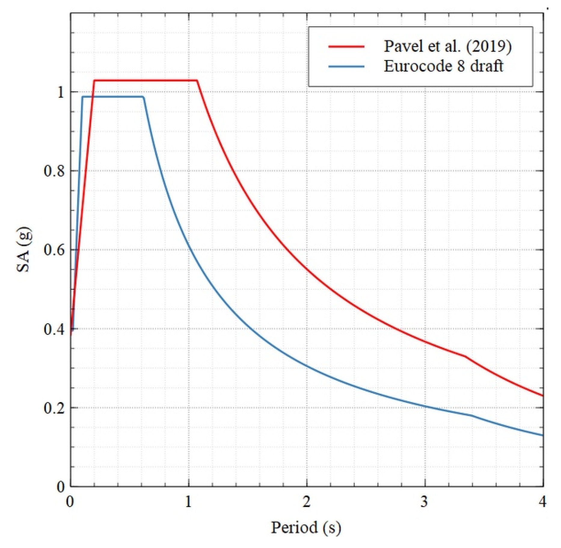
A comparison between the design acceleration response spectra for Bucharest that was computed using the site amplification proposed by Pavel et al. [8] for sites under the influence of Vrancea intermediate-depth earthquakes and those from the Eurocode 8 draft revision [1] is illustrated in Figure 10. The comparison was performed for the same level of seismic hazard for rock conditions. It can be easily observed that the site amplification proposed by Pavel et al. [8] led to significantly larger seismic hazard levels. The control period TC was almost double that obtained using the site amplification factors from the Eurocode 8 draft revision [1].
Figure 10.
A comparison between the design acceleration response spectra for Bucharest computed using the site amplification proposed by Pavel et al. [4] and the site amplifications from the Eurocode 8 draft revision [1].
5. Impact on Structural Design
The structural design of intermediate- and long-period structures situated on soil sites in southern Romania and exposed to the influence of Vrancea intermediate-depth earthquakes is particularly challenging due to the combination of large seismic design forces (the constant acceleration plateau extends up to 1.0 s or even 1.6 s) and large displacement demands. After the Vrancea intermediate-depth earthquake of March 1977, the design peak ground acceleration for Bucharest increased from 0.2 g to 0.3 g (the current value provided by the P100-1/2013 design code [29] with a mean return period of 225 years). The value of the control period TC for Bucharest has been almost unchanged in the past 45 years (it increased from 1.5 s to 1.6 s in the 2006 version of the design code). The smallest TC value used for design in Romania in the past 45 years was TC = 0.7 s, a value which is close to that of the design acceleration response spectrum constructed for Bucharest using the Eurocode 8 draft revision [1] parameters. Thus, each seismic design code generation has increased the level of safety of newly built structures compared to those designed using previous design code generations.
The relative displacement check (for ultimate limit state) was introduced in the 1981 version of the design code in order to ensure the stiffness of the structural system. Starting with the 2006 version of the code, the relative displacement check was introduced for the serviceability limit state (SLS) as well. The story drift limits and the corresponding limit states for each version of the seismic design code in Romania since 1992 are shown in Table 2. The story drift limits for the SLS checks and for the ULS check in the 1992 version of the code are presented as a function of the type of non-structural elements.
Table 2.
The limit states, story drift limits and corresponding mean return periods for the relative displacement checks required by the different generations of the Romanian seismic design code.
Considering the differences between the values of the control period TC noted in Figure 4, Figure 5 and Figure 6, the use of the design spectra computed based on the Eurocode 8 draft revision [1] in the areas exposed to Vrancea intermediate-depth earthquakes would lead to structures which have a lower structural safety level compared to the structures designed according to the current Romanian seismic design code P100-1/2013 [29], even though the mean return period of the seismic action increased (from 225 years to 475 years). In Bucharest, for instance, the maximum design spectral accelerations would correspond to those from the 2006 version of the seismic code P100-1/2006 [31], while the maximum design spectral displacements would be significantly smaller than the design values produced by the 1981 (P100-81 [37]) or 1992 (P100-92 [30]) versions of the code.
6. Conclusions
This study focused on the evaluation of the potential impact of the Eurocode 8 draft revision [1] on the seismic zonation of Romania. To achieve this aim, the design spectra according to the methodology provided by the Eurocode 8 draft revision were obtained for sites for which both ground motion recordings and shear wave velocity profiles were available simultaneously. The impact of the proposed changes on the structural design of structures situated in the southern part of Romania was also discussed. The main results of this study can be summarised as follows:
- The spectral ordinates for rock conditions computed from two seismic hazard models (Pavel et al. [19] and ESHM 2020) are almost identical. Therefore, the preliminary findings from this study highlight the need for more analyses in order to calibrate the site amplification factors for sites exposed to Vrancea intermediate-depth earthquakes;
- The design response spectra computed for two soil category F sites (Bucharest and Banloc) fail to capture the intermediate- and long-period spectral amplifications observed in the ground motions recorded at these sites;
- The design acceleration response spectrum for Bucharest, computed using the site-amplification factors proposed by Pavel et al. [8], has a much longer control period TC compared to that obtained using the site amplification factors from the Eurocode 8 draft revision [1];
- The largest differences between the metrics computed using P100-1/2013 [15] and the Eurocode 8 draft revision [1] were obtained for the control period TC. In most cases (with the exception of Banloc), the approach from the Eurocode 8 draft revision [1] leads to higher spectral accelerations for short periods;
- The use of the design spectra computed based on the Eurocode 8 draft revision [1] in the areas exposed to Vrancea intermediate-depth earthquakes would lead to structures that have a lower structural safety level than the structures designed according to the current Romanian seismic design code P100-1/2013 [15], even though the mean return period of the seismic action increased;
- In the case of Bucharest, the maximum design spectral accelerations would correspond to those from the 2006 version of the seismic code P100-1/2006 [17], while the maximum design spectral displacements would be significantly smaller than the design values produced in the 1981 (P100-81 [24]) or 1992 (P100-92 [16]) versions of the code.
The results presented herein show that the differences in the seismic hazard and design ground motions are mainly due to the effects of local soil and site conditions and the associated site amplification proposed in the current Romanian seismic code and the EC8 draft revision [1]. Moreover, it has been shown that more analyses are needed to apply the seismic actions proposed in the Eurocode 8 draft revision [1] specifically for the sites in Romania that are under the influence of Vrancea intermediate-depth earthquakes so as to ensure an increased level of seismic safety for structures designed and built in the future. It also has to be considered that the seismic hazard of Romania is a combination of crustal seismic sources and the Vrancea intermediate-depth seismic source. More detailed site investigations (including numerical site response analyses) are necessary in Romania in order to have a better understanding of the effects of site conditions, especially in areas exposed to high seismic hazard levels.
Author Contributions
Database, F.P. and R.V.; methodology, R.V. and K.P.; investigation. F.P.; writing—original draft preparation, F.P.; writing—review and editing, K.P. All authors have read and agreed to the published version of the manuscript.
Funding
This research received no external funding.
Institutional Review Board Statement
Not applicable.
Informed Consent Statement
Not applicable.
Data Availability Statement
The data presented in this study are available on request from the first author.
Acknowledgments
The support of Laurentiu Danciu from ETHZ who provided the seismic hazard data of the rock conditions for the analysed sites is gratefully acknowledged.
Conflicts of Interest
The author declares no conflict of interest.
References
- CEN/TC 250/SC 8. Eurocode 8: Earthquake Resistance Design of Structures Work-Ing Draft 18.02.2021; CEN: Bruxelles, Belgium, 2021. [Google Scholar]
- Paolucci, R.; Aimar, M.; Ciancimino, A.; Dotti, M.; Foti, S.; Lanzano, G.; Mattevi, P.; Pacor, F.; Vanini, M. Checking the Site Categorization Criteria and Amplification Factors of the 2021 Draft of Eurocode 8 Part 1–1. Bull. Earthq. Eng. 2021, 19. [Google Scholar] [CrossRef]
- CEN. Eurocode 8: Design of Structures for Earthquake Resistance. Part 1: General Rules, Seismic Actions and Rules for Buildings; CEN: Bruxelles, Belgium, 2004. [Google Scholar]
- Rey, J.; Faccioli, E.; Bommer, J.J. Derivation of Design Soil Coefficients (S) and Response Spectral Shapes for Eurocode 8 Using the European Strong-Motion Database. J. Seismol. 2002, 6, 547–555. [Google Scholar] [CrossRef]
- Bala, A.; Radulian, M.; Toma-Danila, D. Present-Day Stress Field Pattern in the Vrancea Seismic Zone (Romania) Deduced from Earthquake Focal Mechanism Inversion. Ann. Geophys. 2021, 64, PE660. [Google Scholar] [CrossRef]
- Placinta, A.O.; Borleanu, F.; Popescu, E.; Radulian, M.; Munteanu, I. Earthquake Source Properties of a Lower Crust Sequence and Associated Seismicity Perturbation in the SE Carpathians, Romania, Collisional Setting. Acoustics 2021, 3, 270–296. [Google Scholar] [CrossRef]
- Petrescu, L.; Borleanu, F.; Radulian, M.; Ismail-Zadeh, A.; Maţenco, L. Tectonic Regimes and Stress Patterns in the Vrancea Seismic Zone: Insights into Intermediate-Depth Earthquake Nests in Locked Collisional Settings. Tectonophysics 2020, 799, 228688. [Google Scholar] [CrossRef]
- Pavel, F.; Vacareanu, R.; Pitilakis, K. Intensity-Dependent Site Amplification Factors for Vrancea Intermediate-Depth Earthquakes. Bull. Earthq. Eng. 2019, 17, 2363–2380. [Google Scholar] [CrossRef]
- Pitilakis, K.; Riga, E.; Anastasiadis, A. New Code Site Classification, Amplification Factors and Normalized Response Spectra Based on a Worldwide Ground-Motion Database. Bull. Earthq. Eng. 2013, 11, 925–966. [Google Scholar] [CrossRef]
- Pitilakis, K.; Riga, E.; Anastasiadis, A.; Fotopoulou, S.; Karafagka, S. Towards the Revision of EC8: Proposal for an Alternative Site Classification Scheme and Associated Intensity Dependent Spectral Amplification Factors. Soil Dyn. Earthq. Eng. 2019, 126, 105137. [Google Scholar] [CrossRef]
- Cioflan, C.O.; Marmureanu, A.; Marmureanu, G. The Quantitative Evidence of the Soil Nonlinear Behavior during of Strong Vrancea Earthquakes in Real/Nonlinear Seismology. Rom. Rep. Phys. 2011, 63, 839–851. [Google Scholar]
- Derras, B.; Bard, P.-Y.; Cotton, F. V S30, Slope, H 800 and f 0: Performance of Various Site-Condition Proxies in Reducing Ground-Motion Aleatory Variability and Predicting Nonlinear Site Response. Earth Planets Space 2017, 69, 133. [Google Scholar] [CrossRef] [Green Version]
- Zhu, C.; Pilz, M.; Cotton, F. Which Is a Better Proxy, Site Period or Depth to Bedrock, in Modelling Linear Site Response in Addition to the Average Shear-Wave Velocity? Bull. Earthq. Eng. 2020, 18, 797–820. [Google Scholar] [CrossRef]
- Iervolino, I.; Giorgio, M.; Cito, P. Which Earthquakes Are Expected to Exceed the Design Spectra? Earthq. Spectra 2019, 35, 1465–1483. [Google Scholar] [CrossRef]
- Iervolino, I.; Vitale, A.; Cito, P. Empirical Assessment of Seismic Design Hazard’s Exceedance Area. Sci Rep. 2021, 11, 18803. [Google Scholar] [CrossRef] [PubMed]
- Pavel, F.; Vacareanu, R. Analysis of Exceedance Probabilities for Design Spectral Accelerations from Crustal Earthquakes in Romania. J. Seismol. 2019, 23, 1327–1345. [Google Scholar] [CrossRef]
- Wald, D.J.; Allen, T.I. Topographic Slope as a Proxy for Seismic Site Conditions and Amplification. Bull. Seismol. Soc. Am. 2007, 97, 1379–1395. [Google Scholar] [CrossRef] [Green Version]
- Vacareanu, R.; Lungu, D.; Aldea, A.; Arion, C.; Kato, H. Outline and Outcomes of the JICA Technical Cooperation Project of Seismic Risk In Romania. In Proceedings of the 14th World Conference on Earthquake Engineering, Beijing, China, 12–17 October 2008. [Google Scholar]
- BIGSEES Project. Available online: http://bigsees.infp.ro/ (accessed on 3 January 2022).
- Moldoveanu, T.; Stan, E.; Radan, P.; Dutu, M.; Istrate, M.; Toma-Danila, D.; Tiganescu, A. Seismic Hazard and Risk Maps for Prahova County; SC Geohazard SRL: Bucharest, Romania, 2018. [Google Scholar]
- Pavel, F. Variability of Ground Motion Amplitudes Recorded in Bucharest Area during Vrancea Intermediate-Depth Earthquakes. Shock. Vib. 2021, 2021, 5189966. [Google Scholar] [CrossRef]
- Zaicenco, A. Evaluation on A Probabilistic Basis of the Structural Effects of Vrancea Earthquakes on the Territory of MOLDOVA and the Republic of Moldova; Technical University of Civil Engineering Bucharest: Bucharest, Romania, 1997. [Google Scholar]
- Cioflica, G.; Lazar, C.; Pop, G.; Rusu, A. Romanian Geological Map. 1980. Available online: http://www.geotutorials.ro/atlas-geografic/harti-romania/atlas-geografic-1980/harta-geologica-a-romaniei/ (accessed on 30 December 2021).
- ROMPLUS. Earthquake Catalog. Available online: http://www.infp.ro/data/romplus.txt (accessed on 30 December 2021).
- Pavel, F.; Vacareanu, R.; Douglas, J.; Radulian, M.; Cioflan, C.; Barbat, A. An Updated Probabilistic Seismic Hazard Assessment for Romania and Comparison with the Approach and Outcomes of the SHARE Project. Pure Appl. Geophys. 2016, 173, 1881–1905. [Google Scholar] [CrossRef] [Green Version]
- EFEHR. Hazard.EFEHR. Available online: http://hazard.efehr.org/en/home/ (accessed on 3 January 2022).
- Pavel, F.; Vacareanu, R.; Pitilakis, K. Preliminary Revision of the Seismic Zonation from the Current Romanian Seismic Design Code. In Earthquake Geotechnical Engineering for Protection and Development of Environment and Constructions, Proceedings of the 7th International Conference on Earthquake Geotechnical Engineering, (ICEGE 2019); CRC Press: Rome, Italy, 2019; pp. 4412–4419. ISBN 978-0-429-63350-8. [Google Scholar]
- Abrahamson, N.; Gregor, N.; Addo, K. BC Hydro Ground Motion Prediction Equations for Subduction Earthquakes. Earthq. Spectra 2016, 32, 23–44. [Google Scholar] [CrossRef]
- MDRAP. Code for Seismic Design—Part I—Design Prescriptions for Buildings; MDRAP: Bucharest, Romania, 2013. [Google Scholar]
- MLPAT. P100-92: Code for the Seismic Design of Dwellings, Social-Cultural, Agro-Zootechnical and Industrial Buildings; MLPAT: Bucharest, Romania, 1992. [Google Scholar]
- Ministry of Transportation, Construction & Tourism (MTCT). P100-1/2006: Code for Seismic Design-Part I-Design Prescriptions for Buildings; MTCT: Bucharest, Romania, 2006. [Google Scholar]
- Crainic, L.; Dalban, C.; Postelnicu, T.; Sandi, H.; Teretean, T. A New Approach of Thr Romanian Seismic Code for Buildings. In Proceedings of the 10th World Conference on Earthquake Engineering, Madrid, Spain, 19–24 July 1992; pp. 5655–5660. [Google Scholar]
- Lungu, D.; Arion, C.; Aldea, A.; Vacareanu, R. Reprezentation of Seismic Action in the New Romanian Code for Design of Earthquake Resistant Buildings P100-2003. In Proceedings of the 13th World Conference on Earthquake Engineering, Vancouver, BC, Canada, 1–6 August 2004. [Google Scholar]
- Lungu, D.; Cornea, T.; Aldea, A.; Zaicenco, A. Basic Representation of Seismic Action. In Design of Structures in Seismic Zones: Eurocode 8—Worked Examples; Bridgeman Ltd.: Timisoarea, Romania, 1997; pp. 1–60. [Google Scholar]
- Pavel, F.; Vacareanu, R.; Pitilakis, K.; Anastasiadis, A. Investigation on Site-Specific Seismic Response Analysis for Bucharest (Romania). Bull. Earthq. Eng. 2020, 18, 1933–1953. [Google Scholar] [CrossRef]
- Olteanu, P.; Vacareanu, R. Ground Motion Model for Spectral Displacement of Intermediate-Depth Earthquakes Generated by Vrancea Seismic Source. Geosciences 2020, 10, 282. [Google Scholar] [CrossRef]
- International Conference on Child Psychiatry and Developmental Concerns (ICCPDC). P100-81: Code for the Seismic Design of Dwellings, Social-Cultural, Agro-Zootechnical and Industrial Buildings; ICCPDC: Bucharest, Romania, 1981. [Google Scholar]
Publisher’s Note: MDPI stays neutral with regard to jurisdictional claims in published maps and institutional affiliations. |
© 2022 by the authors. Licensee MDPI, Basel, Switzerland. This article is an open access article distributed under the terms and conditions of the Creative Commons Attribution (CC BY) license (https://creativecommons.org/licenses/by/4.0/).









