Surface Settlement during Tunneling: Field Observation Analysis
Abstract
:1. Introduction
- −
- Slurry pressure building;
- −
- Earth pressure building;
- −
- Air pressure building;
- −
- Combined pressure building.
- The geological engineering conditions;
- The structural features of new buildings and adjacent built-up areas;
- The engineering parameters of the tunneling.
2. Materials and Methods
3. Results
4. Discussion
- (1)
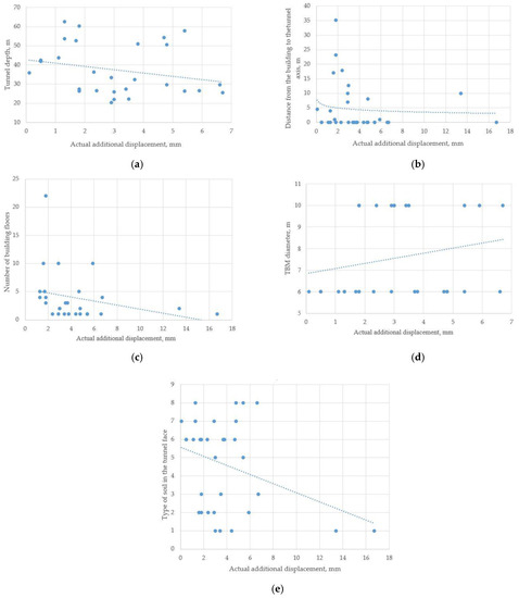
- The dependence of the additional displacements of the facilities above the TBM pressure balance was the most explicit (the correlation was 0.77). The dependence of the displacements on the type of soil was less evident, but it is also necessary to take this parameter into account when designing. There was no dependence on the other factors (see Table 1).
- (2)
- In the case of insufficient earth pressure (less than 2.0 bar), the building settlement increased in the considered conditions of the construction.
- (3)
- The rate of tunneling and installation of rings in the design position (excluding the cases of halting and restarting the shield) did not significantly affect additional displacements of the monitored facility.
- (4)
- Based on the case of this construction facility, there is a need to adjust the pressure balance at a distance of at least two diameters of the designed tunnel from the facility, based on the data of the geodetic observations of the ground surface settlement, taking account of the tunnel depth, as well as the geological and engineering conditions.
- (5)
- When the pressure exceeded 2.7 bar, a rise in the deformation benchmark was observed, which indicates the need to limit the pressure in each case.
Author Contributions
Funding
Institutional Review Board Statement
Informed Consent Statement
Data Availability Statement
Conflicts of Interest
References
- Mazeyin, S.V.; Voznesensky, A.S. Experience of tunnel shield boring with hydraulic pressure. Metro Tunn. 2019, 1, 14–17. [Google Scholar]
- Karasev, M.A. Analysis of causes of land surface deformation and character of formation of subsidence trough caused by construction of transport tunnels. Not. Min. Inst. 2011, 190, 163–170. [Google Scholar]
- Herrenknecht.com. Available online: https://www.herrenknecht.com/en/products/productdetail/partial-face-excavation-machine/ (accessed on 12 September 2022).
- Li, Z.; Lv, J.; Xie, X.; Fu, H.; Huang, J.; Li, Z. Mechanical Characteristics of Structures and Ground Deformation Caused by Shield Tunneling Under-Passing Highways in Complex Geological Conditions Based on the MJS Method. Appl. Sci. 2021, 11, 9323. [Google Scholar] [CrossRef]
- Zhou, X.; Yang, Y. Effect of Foam Parameters on Cohesionless Soil Permeability and Its Application to Prevent the Water Spewing. Appl. Sci. 2020, 10, 1787. [Google Scholar] [CrossRef] [Green Version]
- Boone, S.; Artigiani, E.; Shirlaw, J.N.; Ginanneschi, R.; Leinaala, T. Use of ground conditioning agents for Earth Pressure Balance machine tunneling. In Congres International de Chambéry–Octobre; Les tunnels, clé d’une Europe durable: Chambery, France, 2005; pp. 313–319. [Google Scholar]
- Industry-Wide Standard 2.27.19-2011 “Tunnel Construction Using Tunnel Boring Machines and High-Precision Lining Techniques”, Issued by the National Association of Builders “Assimilation of the Subterranean Space. Using TBM and High-Precision Lining to Make Tunnels”. Available online: https://nostroy.ru/standards-snip/system_nostroy/standarty_nostroy/%D0%BA%D0%BA_%D0%A1%D0%A2%D0%9E%20%D0%9D%D0%9E%D0%A1%D0%A2%D0%A0%D0%9E%D0%99%202.27.19-2011.pdf/ (accessed on 25 September 2022).
- Anagnostou, G.; Kovari, K. Face stability conditions with earth-pressure-balanced shields. Tunn. Undergr. Space Technol. 1996, 11, 165–173. [Google Scholar] [CrossRef]
- Park, B.; Lee, C.; Choi, S.-W.; Kang, T.-H.; Chang, S.-H. Discrete-Element Analysis of the Excavation Performance of an EPB Shield TBM under Different Operating Conditions. Appl. Sci. 2021, 11, 5119. [Google Scholar] [CrossRef]
- Budach, C.; Thewes, M. Application ranges of EPB shields in coarse ground based on laboratory research. Tunn. Undergr. Space Technol. 2015, 50, 296–304. [Google Scholar] [CrossRef]
- Maidl, B.; Herrenknecht, M.; Maidl, U.; Wehrmeyer, G. Mechanised Shield Tunneling, 2nd ed.; Wilhelm Ernst & Sohn: Berlin, Germany, 2012; pp. 264–271. [Google Scholar] [CrossRef]
- Liu, Z.; Wang, S.; Qu, T.; Geng, X. The Role of Foam in Improving the Workability of Sand: Insights from DEM. Minerals 2022, 12, 186. [Google Scholar] [CrossRef]
- Wei, Y.; Wang, D.; Li, J.; Jie, Y. Effects of Soil Conditioning on Characteristics of a Clay-Sand-Gravel Mixed Soil Based on Laboratory Test. Appl. Sci. 2020, 10, 3300. [Google Scholar] [CrossRef]
- Peck, R.B. Deep excavations and tunnelling in soft ground. In Proceedings of the 7th International Conference on Soil Mechanics and Foundation Engineering, Sociedad Mexicana de Mecanica, Mexico City, Mexico, 25–29 August 1969; pp. 225–325. [Google Scholar]
- Atkinson, J.H.; Potts, D.M. Subsidence above Shallow Tunnels in Soft Ground. J. Geotech. Eng. Div. 1977, 103, 307–325. [Google Scholar] [CrossRef]
- Sagaseta, C.; Verruijt, A.; Booker, J.R. Surface settlements due to deformation of a tunnel in an elastic half plane. Géotechnique 1998, 48, 709–713. [Google Scholar]
- Mazein, S.V.; Pavlenko, A.M. Dependence of daylight surface sediments on rock massif properties and engineering parameters of tunnel boring machines (TBM). Min. Inf. Anal. Bull. 2007, 6, 171–176. [Google Scholar]
- Ahangari, K.; Moeinossadat, S.R.; Behnia, D. Estimation of tunnelling-induced settlement by modern intelligent methods. Soils Found. 2015, 55, 737–748. [Google Scholar] [CrossRef]
- Su, J.; Wang, Y.; Niu, X.; Sha, S.; Yu, J. Prediction of ground surface settlement by shield tunneling using XGBoost and Bayesian Optimization. Eng. Appl. Artif. Intell. 2022, 114, 105020. [Google Scholar] [CrossRef]
- Reza, M.; Golpasand, B.; Moosazadeh, S. Investigation on the efficiency of different methods for evaluation of ground settlement due to excavation of Tabriz metro tunnel, line 2. Am. J. Civ. Eng. 2022, 1–22. [Google Scholar] [CrossRef]
- Kontogianni, V.; Psimoulis, P.; Stiros, S. What is the contribution of time-dependent deformation in tunnel convergence? Eng. Geol. 2006, 82, 264–267. [Google Scholar] [CrossRef]
- Bouayad, F.; Emeriault, F. Modeling the relationship between ground surface settlements induced by shield tunneling and the operational and geological parameters based on the hybrid PCA/ANFIS method. Tunn. Undergr. Space Technol. 2017, 68, 142–152. [Google Scholar] [CrossRef]
- Kim, C.Y.; Bae, G.J.; Hong, S.W.; Park, C.H.; Moon, H.K.; Shin, H.S. Neural network based prediction of ground surface settlements due to tunnelling. Comput. Geotech. 2001, 28, 517–547. [Google Scholar] [CrossRef]
- Kim, D.; Kwon, K.; Pham, K.; Oh, J.Y.; Choi, H. Surface settlement prediction for urban tunneling using machine learning algorithms with Bayesian optimization. Autom. Constr. 2022, 140, 104331. [Google Scholar] [CrossRef]
- Kim, D.; Pham, K.; Oh, J.Y.; Lee, S.J.; Choi, H. Classification of surface settlement levels induced by TBM driving in urban areas using random forest with data-driven feature selection. Autom. Constr. 2022, 135, 104109. [Google Scholar] [CrossRef]
- Mair, R.J.; Taylor, R.N.; Bracegirdle, A. Subsurface settlement profiles above tunnels in clays. Geotechnique 1993, 43, 315–320. [Google Scholar] [CrossRef]
- Chakeri, H.; Ozcelik, Y.; Unver, B. Effects of important factors on surface settlement prediction for metro tunnel excavated by EPB. Tunn. Undergr. Space Technol. 2013, 36, 14–23. [Google Scholar] [CrossRef]
- Mazein, S.V.; Pavlenko, A.M. Influence of current shield tunneling parameters on surface subsidence. Min. Inf. Anal. Bull. 2007, 5, 133–138. [Google Scholar]
- Ling, X.; Kong, X.; Tang, L.; Zhao, Y.; Tang, W.; Zhang, Y. Predicting earth pressure balance (EPB) shield tunneling-induced ground settlement in compound strata using random forest. Transp. Geotech. 2022, 35, 100771. [Google Scholar] [CrossRef]
- Chou, W.I.; Bobet, A. Predictions of ground deformations in shallow tunnels in clay. Tunn. Undergr. Space Technol. 2002, 17, 3–19. [Google Scholar] [CrossRef]
- Wang, F. Empirical evidence for estimation of subsurface settlement caused by tunneling in sand. Undergr. Space 2021, 6, 577–584. [Google Scholar] [CrossRef]
- Broere, W.; Festa, D. Correlation between the kinematics of a Tunnel Boring Machine and the observed soil displacements. Tunn. Undergr. Space Technol. 2017, 70, 125–147. [Google Scholar] [CrossRef] [Green Version]
- Vu, M.N.; Broere, W.; Bosch, J. Volume loss in shallow tunnelling. Tunn. Undergr. Space Technol. 2016, 59, 77–90. [Google Scholar] [CrossRef] [Green Version]
- Lee, H.; Choi, H.; Choi, S.-W.; Chang, S.-H.; Kang, T.-H.; Lee, C. Numerical Simulation of EPB Shield Tunnelling with TBM Operational Condition Control Using Coupled DEM–FDM. Appl. Sci. 2021, 11, 2551. [Google Scholar] [CrossRef]
- Lee, H.-K.; Song, M.-K.; Lee, S.S. Prediction of Subsidence during TBM Operation in Mixed-Face Ground Conditions from Realtime Monitoring Data. Appl. Sci. 2021, 11, 12130. [Google Scholar] [CrossRef]
- Li, X.; Zhang, D.; Hou, Y. Analysis of Shield Tunnel Ground Deformation Characteristics and Affecting Factors in Water-Rich Soft Stratum: A Case Study on the Section Tunnel of Tianjin Metro Line 6. Appl. Sci. 2022, 12, 6208. [Google Scholar] [CrossRef]
- Attewell, P.B.; Farmer, I.W. Ground disturbance caused by shield tunnelling in a stiff overconsolidated clay. Eng. Geol. 1974, 8, 361–381. [Google Scholar] [CrossRef]
- Ding, Z.; He, S.Y.; Zhou, W.H.; Xu, T.; He, S.H.; Zhang, X. Analysis of ground deformation induced by shield tunneling considering the effects of muck discharge and grouting. Transp. Geotech. 2021, 30, 100629. [Google Scholar] [CrossRef]
- Ter-Martirosyan, A.Z.; Isaev, I.O.; Almakaeva, A.S. Identification of the actual volume loss of soil (Stakhanovskaya Street—Nizhegorodskaya Street section). Vestn. MGSU 2020, 15, 1644–1653. [Google Scholar] [CrossRef]
- Ter-Martirosyan, A.Z.; Babushkin, N.F.; Isaev, I.O.; Shishkina, V.V. Identification of the actual volume loss of soil by analyzing the monitoring data. Geotechnics 2020, 12, 6–14. [Google Scholar] [CrossRef]
- Ter-Martirosyan, A.Z.; Kivlyuk, V.P.; Isaev, I.O.; Shishkina, V.V. Identification of the actual volume loss of soil (Kosino-Yugo-Vostochnaya section). Geotechnics 2021, 12, 5–14. [Google Scholar] [CrossRef]
- Ter-Martirosyan, A.Z.; Kivlyuk, V.P.; Isaev, I.O.; Shishkina, V.V. Identification of the volume loss of soil by analyzing the monitoring data. Zhilishch. Stroit. 2021, 9, 3–9. [Google Scholar] [CrossRef]
- Protod’yakonov, M.M. Rock Pressure and Mine Mounting, Part 1; GIZ: Moscow, Russia, 1931; pp. 70–73. [Google Scholar]
- Wright, S. Correlation and causation. J. Agric. Res. 1921, 20, 557–585. [Google Scholar]
- Ershov, E.B. Applying the determination factor to the general case of linear regression estimated using different versions of the least squares method. Econ. Math. Meth. 2002, 38, 107–120. [Google Scholar]
- Researchgate.net. Available online: https://www.researchgate.net/figure/Chaddock-scale-for-interpretation-of-correlation-analysis-results_tbl2_358611944 (accessed on 13 September 2022).
- Mishra, P.; Singh, U.; Pandey, C.M.; Mishra, P.; Pandey, G. Application of Student’s t-test, Analysis of Variance, and Covariance. Ann. Card. Anaesth 2019, 22, 407–411. [Google Scholar] [CrossRef]





| Factor No. | Group of Influence | Factor |
|---|---|---|
| 1 | Geological engineering conditions | Physical–mechanical properties of soils [17,18,19,20] |
| 2 | Rheological properties of soils [21] | |
| 3 | Class and type of soil * [15,17,22,23] | |
| 4 | Thickness of soil layers above the tunnel [24,25] | |
| 5 | Ground water level [20,23,24,25] | |
| 6 | Structural features of a new construction facility and the number of stories in the surrounding buildings | Tunnel diameter * [18,23,26,27] |
| 7 | Tunnel slope [26,27,28] | |
| 8 | Tunnel depth * [15,18,23,26,30,31] | |
| 9 | Distance between the tunnel and the monitored object in the plan * [24,25] | |
| 10 | Loading that comes from the building in the area of influence * [20,24,25,27] | |
| 11 | Engineering parameters of the tunneling | Pressure balance * [21,24,25,27,28,29,32,33,34,35,36] |
| 12 | Injection rate and injected amount; modulus of elasticity of the grout [19,20,24,25,32,33,34,36,37,38] | |
| 13 | Advance rate of the boring machine * [19,23,24,25,32] | |
| 14 | Rotary table torque [19,24,25,34,35] |
| Ring No. | P, Bar | Monitoring Cycle, No. | Advance Rate, m/hour | Settlement per Monitoring Cycle, mm | Absolute Settlement of the Relative Zero Cycle, mm |
|---|---|---|---|---|---|
| 441 | 1.8 | 2 | 0.30 | −0.9 | −2.9 |
| 453 | 1.7 | 3 | 0.30 | −8.8 | −11.7 |
| 457 | 1.7 | 4 | 0.36 | −13.3 | −25.0 |
| 459 | 2.2 | 5 | 0.40 | −2.6 | −26.6 |
| 462 | 2.5 | 6 | 0.37 | −0.7 | −27.3 |
| 464 | 2.8 | 7 | 0.33 | −1.1 | −28.4 |
| 465 | 2.8 | 8 | 0.36 | 1.2 | −27.2 |
| 466 | 2.8 | 9 | 0.35 | 0.8 | −26.4 |
Publisher’s Note: MDPI stays neutral with regard to jurisdictional claims in published maps and institutional affiliations. |
© 2022 by the authors. Licensee MDPI, Basel, Switzerland. This article is an open access article distributed under the terms and conditions of the Creative Commons Attribution (CC BY) license (https://creativecommons.org/licenses/by/4.0/).
Share and Cite
Ter-Martirosyan, A.Z.; Cherkesov, R.H.; Isaev, I.O.; Shishkina, V.V. Surface Settlement during Tunneling: Field Observation Analysis. Appl. Sci. 2022, 12, 9963. https://doi.org/10.3390/app12199963
Ter-Martirosyan AZ, Cherkesov RH, Isaev IO, Shishkina VV. Surface Settlement during Tunneling: Field Observation Analysis. Applied Sciences. 2022; 12(19):9963. https://doi.org/10.3390/app12199963
Chicago/Turabian StyleTer-Martirosyan, Armen Z., Rustam H. Cherkesov, Ilya O. Isaev, and Victoria V. Shishkina. 2022. "Surface Settlement during Tunneling: Field Observation Analysis" Applied Sciences 12, no. 19: 9963. https://doi.org/10.3390/app12199963
APA StyleTer-Martirosyan, A. Z., Cherkesov, R. H., Isaev, I. O., & Shishkina, V. V. (2022). Surface Settlement during Tunneling: Field Observation Analysis. Applied Sciences, 12(19), 9963. https://doi.org/10.3390/app12199963

